Feedforward Artificial Neural Network-Based Model for Predicting the Removal of Phenolic Compounds from Water by Using Deep Eutectic Solvent-Functionalized CNTs
Abstract
1. Introduction
1.1. Background
1.2. Problem Statement and Motivation
2. Materials and Methods
2.1. Objectives
2.2. Chemicals and Materials
2.3. Preparation of DES
2.4. Functionalization of CNTs
2.5. Batch Adsorption Studies
2.6. Artificial Neural Network Model
2.7. ANN Model Development
2.8. Performance Indicators
3. Results and Discussion
3.1. Characterization of DES–CNTs and Adsorption Studies
3.2. ANN Model Performance
3.3. Sensitivity Study
3.3.1. Effects of Initial Pollutant Concentration
3.3.2. Effect of Aqueous Solution pH
3.3.3. Effects of Adsorbent Dosage
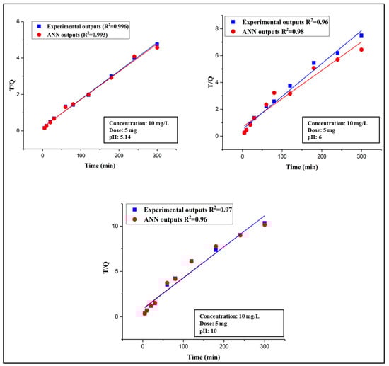
3.3.4. Adsorption Kinetics Study
4. Conclusions
Author Contributions
Funding
Acknowledgments
Conflicts of Interest
References
- Ahmaruzzaman, M. Adsorption of phenolic compounds on low-cost adsorbents: A review. Adv. Colloid Interface Sci. 2008, 143, 48–67. [Google Scholar] [CrossRef] [PubMed]
- Gan, L.; Li, B.; Guo, M.; Weng, X.; Wang, T.; Chen, Z. Mechanism for removing 2,4-dichlorophenol via adsorption and Fenton-like oxidation using iron-based nanoparticles. Chemosphere 2018, 206, 168–174. [Google Scholar] [CrossRef] [PubMed]
- Kalderis, D.; Kayan, B.; Akay, S.; Kulaksız, E.; Gözmen, B. Adsorption of 2,4-dichlorophenol on paper sludge/wheat husk biochar: Process optimization and comparison with biochars prepared from wood chips, sewage sludge and hog fuel/demolition waste. J. Environ. Chem. Eng. 2017, 5, 2222–2231. [Google Scholar] [CrossRef]
- Bedoux, G.; Roig, B.; Thomas, O.; Dupont, V.; Le Bot, B. Occurrence and toxicity of antimicrobial triclosan and by-products in the environment. Environ. Sci. Pollut. Res. 2012, 19, 1044–1065. [Google Scholar] [CrossRef] [PubMed]
- Chen, J.; Qu, R.; Pan, X.; Wang, Z. Oxidative degradation of triclosan by potassium permanganate: Kinetics, degradation products, reaction mechanism, and toxicity evaluation. Water Res. 2016, 103, 215–223. [Google Scholar] [CrossRef]
- Ren, L.; Zhang, J.; Li, Y.; Zhang, C. Preparation and evaluation of cattail fiber-based activated carbon for 2, 4-dichlorophenol and 2, 4, 6-trichlorophenol removal. Chem. Eng. J. 2011, 168, 553–561. [Google Scholar] [CrossRef]
- Guidelines for Drinking-Water Quality, 4th ed.; WHO: Geneva, Switzerland, 2011.
- Liu, C.; Li, J.; Sun, L.; Zhou, Y.; Liu, C.; Wang, H.; Huo, P.; Ma, C.; Yan, Y. Visible-light driven photocatalyst of CdTe/CdS homologous heterojunction on N-rGO photocatalyst for efficient degradation of 2,4-dichlorophenol. J. Taiwan Inst. Chem. Eng. 2018. [Google Scholar] [CrossRef]
- Nezamzadeh-Ejhieh, A.; Ghanbari-Mobarakeh, Z. Heterogeneous photodegradation of 2, 4-dichlorophenol using FeO doped onto nano-particles of zeolite P. J. Ind. Eng. Chem. 2015, 21, 668–676. [Google Scholar] [CrossRef]
- Xu, J.; Lv, X.; Li, J.; Li, Y.; Shen, L.; Zhou, H.; Xu, X. Simultaneous adsorption and dechlorination of 2, 4-dichlorophenol by Pd/Fe nanoparticles with multi-walled carbon nanotube support. J. Hazard. Mater. 2012, 225, 36–45. [Google Scholar] [CrossRef] [PubMed]
- Bentaleb, K.; Bouberka, Z.; Chinoune, K.; Nadim, A.; Maschke, U. Enhanced adsorption of 2,4-dichlorophenol from aqueous solution using modified low cost Algerian geomaterial. J. Taiwan Inst. Chem. Eng. 2017, 80, 578–588. [Google Scholar] [CrossRef]
- Andreozzi, R.; Di Somma, I.; Marotta, R.; Pinto, G.; Pollio, A.; Spasiano, D. Oxidation of 2, 4-dichlorophenol and 3, 4-dichlorophenol by means of Fe (III)-homogeneous photocatalysis and algal toxicity assessment of the treated solutions. Water Res. 2011, 45, 2038–2048. [Google Scholar] [CrossRef] [PubMed]
- Soori, F.; Nezamzadeh-Ejhieh, A. Synergistic effects of copper oxide-zeolite nanoparticles composite on photocatalytic degradation of 2, 6-dimethylphenol aqueous solution. J. Mol. Liq. 2018, 255, 250–256. [Google Scholar] [CrossRef]
- Nezamzadeh-Ejhieh, A.; Amiri, M. CuO supported Clinoptilolite towards solar photocatalytic degradation of p-aminophenol. Powder Technol. 2013, 235, 279–288. [Google Scholar] [CrossRef]
- Busca, G.; Berardinelli, S.; Resini, C.; Arrighi, L. Technologies for the removal of phenol from fluid streams: A short review of recent developments. J. Hazard. Mater. 2008, 160, 265–288. [Google Scholar] [CrossRef]
- Mittal, A.; Thakur, V.; Gajbe, V.J.E.S.; Research, P. Adsorptive removal of toxic azo dye Amido Black 10B by hen feather. Environ. Sci. Pollut. Res. 2013, 20, 260–269. [Google Scholar] [CrossRef] [PubMed]
- Nabeerasool, M.; Campen, A.; Polya, D.; Brown, N.; van Dongen, B. Removal of metaldehyde from water using a novel coupled adsorption and electrochemical destruction technique. Water 2015, 7, 3057–3071. [Google Scholar] [CrossRef]
- Chen, K.; Lyu, H.; Hao, S.; Luo, G.; Zhang, S.; Chen, J. Separation of phenolic compounds with modified adsorption resin from aqueous phase products of hydrothermal liquefaction of rice straw. Bioresour. Technol. 2015, 182, 160–168. [Google Scholar] [CrossRef]
- Liu, Q.-S.; Zheng, T.; Wang, P.; Jiang, J.-P.; Li, N. Adsorption isotherm, kinetic and mechanism studies of some substituted phenols on activated carbon fibers. Chem. Eng. J. 2010, 157, 348–356. [Google Scholar] [CrossRef]
- Kusmierek, K.; Sankowska, M.; Swiatkowski, A. Adsorption of dichlorophenols from aqueous solutions onto multi-walled carbon nanotubes. Przem. Chem. 2013, 92, 1257–1260. [Google Scholar]
- Köseoğlu, E.; Akmil-Başar, C. Preparation, structural evaluation and adsorptive properties of activated carbon from agricultural waste biomass. Adv. Powder Technol. 2015, 26, 811–818. [Google Scholar] [CrossRef]
- Zhou, Y.; Liu, X.; Tang, L.; Zhang, F.; Zeng, G.; Peng, X.; Luo, L.; Deng, Y.; Pang, Y.; Zhang, J. Insight into highly efficient co-removal of p-nitrophenol and lead by nitrogen-functionalized magnetic ordered mesoporous carbon: Performance and modelling. J. Hazard. Mater. 2017, 333, 80–87. [Google Scholar] [CrossRef] [PubMed]
- Daifullah, A.A.M.; Girgis, B.S. Removal of some substituted phenols by activated carbon obtained from agricultural waste. Water Res. 1998, 32, 1169–1177. [Google Scholar] [CrossRef]
- Jung, M.-W.; Ahn, K.-H.; Lee, Y.; Kim, K.-P.; Rhee, J.-S.; Tae Park, J.; Paeng, K.-J. Adsorption characteristics of phenol and chlorophenols on granular activated carbons (GAC). Microchem. J. 2001, 70, 123–131. [Google Scholar] [CrossRef]
- Hamdaoui, O.; Naffrechoux, E. Modeling of adsorption isotherms of phenol and chlorophenols onto granular activated carbon: Part I. Two-parameter models and equations allowing determination of thermodynamic parameters. J. Hazard. Mater. 2007, 147, 381–394. [Google Scholar] [CrossRef]
- Ahmaruzzaman, M.; Gayatri, S.L. Activated neem leaf: A novel adsorbent for the removal of phenol, 4-nitrophenol, and 4-chlorophenol from aqueous solutions. J. Chem. Eng. Data. 2011, 56, 3004–3016. [Google Scholar] [CrossRef]
- Chen, C.; Wang, X. Adsorption of Ni (II) from aqueous solution using oxidized multiwall carbon nanotubes. Ind. Eng. Chem. Res. 2006, 45, 9144–9149. [Google Scholar] [CrossRef]
- Mubarak, N.M.; Sahu, J.N.; Abdullah, E.C.; Jayakumar, N.S. Rapid adsorption of toxic Pb(II) ions from aqueous solution using multiwall carbon nanotubes synthesized by microwave chemical vapor deposition technique. J. Environ. Sci. 2016, 45, 143–155. [Google Scholar] [CrossRef]
- Luo, C.; Wei, R.; Guo, D.; Zhang, S.; Yan, S. Adsorption behavior of MnO2 functionalized multi-walled carbon nanotubes for the removal of cadmium from aqueous solutions. Chem. Eng. J. 2013, 225, 406–415. [Google Scholar] [CrossRef]
- Ruthiraan, M.; Mubarak, N.M.; Thines, R.K.; Abdullah, E.C.; Sahu, J.N.; Jayakumar, N.S.; Ganesan, P. Comparative kinetic study of functionalized carbon nanotubes and magnetic biochar for removal of Cd2+ ions from wastewater. Korean J. Chem. Eng. 2015, 32, 446–457. [Google Scholar] [CrossRef]
- Thines, R.; Mubarak, N.; Ruthiraan, M.; Abdullah, E.; Sahu, J.; Jayakumara, N.; Ganesan, P.; Sajuni, N. Adsorption isotherm and thermodynamics studies of Zn (II) on functionalized and non-functionalized carbon nanotubes. Adv. Sci. Eng. Med. 2014, 6, 974–984. [Google Scholar] [CrossRef]
- Dehghani, M.H.; Mostofi, M.; Alimohammadi, M.; McKay, G.; Yetilmezsoy, K.; Albadarin, A.B.; Heibati, B.; AlGhouti, M.; Mubarak, N.M.; Sahu, J.N. High-performance removal of toxic phenol by single-walled and multi-walled carbon nanotubes: Kinetics, adsorption, mechanism and optimization studies. J. Ind. Eng. Chem. 2016, 35, 63–74. [Google Scholar] [CrossRef]
- Peng, X.; Li, Y.; Luan, Z.; Di, Z.; Wang, H.; Tian, B.; Jia, Z. Adsorption of 1, 2-dichlorobenzene from water to carbon nanotubes. Chem. Phys. Lett. 2003, 376, 154–158. [Google Scholar] [CrossRef]
- Chen, G.-C.; Shan, X.-Q.; Wang, Y.-S.; Wen, B.; Pei, Z.-G.; Xie, Y.-N.; Liu, T.; Pignatello, J.J. Adsorption of 2,4,6-trichlorophenol by multi-walled carbon nanotubes as affected by Cu(II). Water Res. 2009, 43, 2409–2418. [Google Scholar] [CrossRef]
- Wu, C.-H. Adsorption of reactive dye onto carbon nanotubes: Equilibrium, kinetics and thermodynamics. J. Hazard. Mater. 2007, 144, 93–100. [Google Scholar] [CrossRef]
- Abdel Salam, M.; Burk, R.C. Thermodynamics of pentachlorophenol adsorption from aqueous solutions by oxidized multi-walled carbon nanotubes. Appl. Surf. Sci. 2008, 255, 1975–1981. [Google Scholar] [CrossRef]
- Rauwel, P.; Rauwel, E. Towards the Extraction of Radioactive Cesium-137 from Water via Graphene/CNT and Nanostructured Prussian Blue Hybrid Nanocomposites: A Review. Nanomaterials 2019, 9, 682. [Google Scholar] [CrossRef]
- Zhao, H.; Liu, X.; Cao, Z.; Zhan, Y.; Shi, X.; Yang, Y.; Zhou, J.; Xu, J. Adsorption behavior and mechanism of chloramphenicols, sulfonamides, and non-antibiotic pharmaceuticals on multi-walled carbon nanotubes. J. Hazard. Mater. 2016, 310, 235–245. [Google Scholar] [CrossRef] [PubMed]
- Ren, X.; Chen, C.; Nagatsu, M.; Wang, X. Carbon nanotubes as adsorbents in environmental pollution management: A review. Chem. Eng. J. 2011, 170, 395–410. [Google Scholar] [CrossRef]
- Thines, R.; Mubarak, N.; Nizamuddin, S.; Sahu, J.; Abdullah, E.; Ganesan, P. Application potential of carbon nanomaterials in water and wastewater treatment: A review. J. Taiwan Inst. Chem. Eng. 2017, 72, 116–133. [Google Scholar] [CrossRef]
- Mubarak, N.; Sahu, J.; Abdullah, E.; Jayakumar, N. Removal of heavy metals from wastewater using carbon nanotubes. Sep. Purif. Rev. 2014, 43, 311–338. [Google Scholar] [CrossRef]
- Ahmed, M.B.; Zhou, J.L.; Ngo, H.H.; Guo, W. Adsorptive removal of antibiotics from water and wastewater: Progress and challenges. Sci. Total Environ. 2015, 532, 112–126. [Google Scholar] [CrossRef] [PubMed]
- Aljumaily, M.M.; Alsaadi, M.A.; Das, R.; Hamid, S.B.A.; Hashim, N.A.; AlOmar, M.K.; Alayan, H.M.; Novikov, M.; Alsalhy, Q.F.; Hashim, M.A. Optimization of the Synthesis of Superhydrophobic Carbon Nanomaterials by Chemical Vapor Deposition. Sci. Rep. 2018, 8, 2778. [Google Scholar] [CrossRef] [PubMed]
- Ibrahim, R.K.; Hayyan, M.; AlSaadi, M.A.; Hayyan, A.; Ibrahim, S. Environmental application of nanotechnology: Air, soil, and water. Environ. Sci. Pollut. Res. 2016, 23, 13754–13788. [Google Scholar] [CrossRef] [PubMed]
- Yu, B.; Zhou, F.; Liu, G.; Liang, Y.; Huck, W.T.; Liu, W. The electrolyte switchable solubility of multi-walled carbon nanotube/ionic liquid (MWCNT/IL) hybrids. Chem. Commun. 2006, 22, 2356–2358. [Google Scholar] [CrossRef] [PubMed]
- Pénicaud, A.; Poulin, P.; Derré, A.; Anglaret, E.; Petit, P. Spontaneous dissolution of a single-wall carbon nanotube salt. J. Am. Chem. Soc. 2005, 127, 8–9. [Google Scholar] [CrossRef] [PubMed]
- Datsyuk, V.; Kalyva, M.; Papagelis, K.; Parthenios, J.; Tasis, D.; Siokou, A.; Kallitsis, I.; Galiotis, C. Chemical oxidation of multiwalled carbon nanotubes. Carbon 2008, 46, 833–840. [Google Scholar] [CrossRef]
- Ibrahim, R.K.; Al Saadi, M.A.; Al Omar, M.K.; Ibrahim, S. Adsorption of 2, 4-dichlorophenol from water using deep eutectic solvents-functionalized carbon nanotubes. Desalin. Water Treat. 2018, 116, 214–231. [Google Scholar] [CrossRef]
- Liu, P.; Hao, J.-W.; Mo, L.-P.; Zhang, Z.-H. Recent advances in the application of deep eutectic solvents as sustainable media as well as catalysts in organic reactions. RSC Adv. 2015, 5, 48675–48704. [Google Scholar] [CrossRef]
- Abo-Hamad, A.; Hayyan, M.; AlSaadi, M.A.; Hashim, M.A. Potential applications of deep eutectic solvents in nanotechnology. Chem. Eng. J. 2015, 273, 551–567. [Google Scholar] [CrossRef]
- De María, P.D.; Maugeri, Z. Ionic liquids in biotransformations: From proof-of-concept to emerging deep-eutectic-solvents. Curr. Opin. Chem. Biol. 2011, 15, 220–225. [Google Scholar] [CrossRef]
- Zhang, M.; Liu, Y.-H.; Shang, Z.-R.; Hu, H.-C.; Zhang, Z.-H. Supported molybdenum on graphene oxide/Fe3O4: An efficient, magnetically separable catalyst for one-pot construction of spiro-oxindole dihydropyridines in deep eutectic solvent under microwave irradiation. Catal. Commun. 2017, 88, 39–44. [Google Scholar] [CrossRef]
- Hayyan, M.; Abo-Hamad, A.; AlSaadi, M.A.; Hashim, M.A. Functionalization of graphene using deep eutectic solvents. Nanoscale Res. Lett. 2015, 10, 1. [Google Scholar] [CrossRef] [PubMed]
- AlOmar, M.K.; Alsaadi, M.A.; Hayyan, M.; Akib, S.; Ibrahim, R.K.; Hashim, M.A. Lead removal from water by choline chloride based deep eutectic solvents functionalized carbon nanotubes. J. Mol. Liq. 2016, 222, 883–894. [Google Scholar] [CrossRef]
- Gomolka, Z.; Twarog, B.; Zeslawska, E.; Lewicki, A.; Kwater, T. Using Artificial Neural Networks to Solve the Problem Represented by BOD and DO Indicators. Water 2017, 10, 4. [Google Scholar] [CrossRef]
- Giri, A.; Patel, R.; Mahapatra, S. Artificial neural network (ANN) approach for modelling of arsenic (III) biosorption from aqueous solution by living cells of Bacillus cereus biomass. Chem. Eng. J. 2011, 178, 15–25. [Google Scholar] [CrossRef]
- Paschalidou, A.K.; Karakitsios, S.; Kleanthous, S.; Kassomenos, P.A. Forecasting hourly PM 10 concentration in Cyprus through artificial neural networks and multiple regression models: Implications to local environmental management. Environ. Sci. Pollut. Res. 2011, 18, 316–327. [Google Scholar] [CrossRef]
- Cho, K.H.; Sthiannopkao, S.; Pachepsky, Y.A.; Kim, K.-W.; Kim, J.H. Prediction of contamination potential of groundwater arsenic in Cambodia, Laos, and Thailand using artificial neural network. Water Res. 2011, 45, 5535–5544. [Google Scholar] [CrossRef]
- Podder, M.; Majumder, C. The use of artificial neural network for modelling of phycoremediation of toxic elements As (III) and As (V) from wastewater using Botryococcus braunii. Spectrochim. Acta Part A 2016, 155, 130–145. [Google Scholar] [CrossRef]
- Fiyadh, S.S.; AlSaadi, M.A.; AlOmar, M.K.; Fayaed, S.S.; El-Shafie, A. Arsenic removal from water using N, N-diethylethanolammonium chloride based DES-functionalized CNTs:(NARX) neural network approach. J. Water Supply Res. Technol. 2018, 67, 531–542. [Google Scholar] [CrossRef]
- Ibrahim, R.K.; Hayyan, M.; Alsaadi, M.A.; Ibrahim, S.; Hayyan, A.; Hashim, M.A. Diethylene glycol based deep eutectic solvents and their physical properties. Stud. Univ. Babes-Bolyai Chem. 2017, 62, 433–450. [Google Scholar] [CrossRef]
- Stulp, F.; Sigaud, O. Many regression algorithms, one unified model: A review. Neural Netw. 2015, 69, 60–79. [Google Scholar] [CrossRef] [PubMed]
- El-Shafie, A.H.; El-Manadely, M.S. An integrated neural network stochastic dynamic programming model for optimizing the operation policy of Aswan High Dam. Hydrol. Res. 2011, 42, 50. [Google Scholar] [CrossRef]
- Strik, D.P.; Domnanovich, A.M.; Zani, L.; Braun, R.; Holubar, P. Prediction of trace compounds in biogas from anaerobic digestion using the MATLAB Neural Network Toolbox. Environ. Model. Softw. 2005, 20, 803–810. [Google Scholar] [CrossRef]
- Kurt, H.; Kayfeci, M. Prediction of thermal conductivity of ethylene glycol–water solutions by using artificial neural networks. Appl. Energy 2009, 86, 2244–2248. [Google Scholar] [CrossRef]
- Hemmat Esfe, M.; Afrand, M.; Yan, W.-M.; Akbari, M. Applicability of artificial neural network and nonlinear regression to predict thermal conductivity modeling of Al2O3–water nanofluids using experimental data. Int. Commun. Heat Mass Transf. 2015, 66, 246–249. [Google Scholar] [CrossRef]
- El-Shafie, A.; Taha, M.R.; Noureldin, A. A neuro-fuzzy model for inflow forecasting of the Nile river at Aswan high dam. Water Resour. Manag. 2007, 21, 533–556. [Google Scholar] [CrossRef]
- LeCun, Y. Efficient Learning and Second-Order Methods; AT&T Bell Laboratories: Holmdel, NJ, USA, 1993. [Google Scholar]
- Fiyadh, S.S.; AlSaadi, M.A.; AlOmar, M.K.; Fayaed, S.S.; Mjalli, F.S.; El-Shafie, A.J.J.O.E.E. BTPC-Based DES-Functionalized CNTs for As3+ Removal from Water: NARX Neural Network Approach. J. Environ. Eng. 2018, 144, 04018070. [Google Scholar] [CrossRef]
- Kermani, B.G.; Schiffman, S.S.; Nagle, H.T. Performance of the Levenberg–Marquardt neural network training method in electronic nose applications. Sens. Actuators B Chem. 2005, 110, 13–22. [Google Scholar] [CrossRef]
- Yu, H.; Wilamowski, B.M. Levenberg-marquardt training. Ind. Electron. Handb. 2011, 5, 1. [Google Scholar]
- Lalis, J.; Gerardo, B.; Byun, Y. An adaptive stopping criterion for backpropagation learning in feedforward neural network. Int. J. Multimed. Ubiquitous Eng. 2014, 9, 149–156. [Google Scholar] [CrossRef]
- Banerjee, A.; Sarkar, P.; Banerjee, S. Application of statistical design of experiments for optimization of As(V) biosorption by immobilized bacterial biomass. Ecol. Eng. 2016, 86, 13–23. [Google Scholar] [CrossRef]
- Kazemipour, M.; Ansari, M.; Tajrobehkar, S.; Majdzadeh, M.; Kermani, H.R. Removal of lead, cadmium, zinc, and copper from industrial wastewater by carbon developed from walnut, hazelnut, almond, pistachio shell, and apricot stone. J. Hazard. Mater. 2008, 150, 322–327. [Google Scholar] [CrossRef] [PubMed]
- Witek-Krowiak, A.; Szafran, R.G.; Modelski, S.J.D. Biosorption of heavy metals from aqueous solutions onto peanut shell as a low-cost biosorbent. Desalination 2011, 265, 126–134. [Google Scholar] [CrossRef]
- Gupta, V.K.; Ali, I.; Saini, V.K.J.J.o.C.; Science, I. Adsorption of 2, 4-D and carbofuran pesticides using fertilizer and steel industry wastes. J. Colloid Interface Sci. 2006, 299, 556–563. [Google Scholar] [CrossRef] [PubMed]
- Ma, J.-W.; Wang, H.; Wang, F.-Y.; Huang, Z.-H.J.S.S. Adsorption of 2, 4-dichlorophenol from aqueous solution by a new low-cost adsorbent–activated bamboo charcoal. Sep. Sci. Technol. 2010, 45, 2329–2336. [Google Scholar] [CrossRef]
- Das, B.; Mondal, N.; Bhaumik, R.; Roy, P. Insight into adsorption equilibrium, kinetics and thermodynamics of lead onto alluvial soil. Int. J. Environ. Sci. Technol 2014, 11, 1101–1114. [Google Scholar] [CrossRef]
- Wang, L.; Zhang, J.; Zhao, R.; Zhang, C.; Li, C.; Li, Y. Adsorption of 2, 4-dichlorophenol on Mn-modified activated carbon prepared from Polygonum orientale Linn. Desalination 2011, 266, 175–181. [Google Scholar] [CrossRef]
- Shaarani, F.; Hameed, B. Batch adsorption of 2, 4-dichlorophenol onto activated carbon derived from agricultural waste. Desalination 2010, 255, 159–164. [Google Scholar] [CrossRef]
Sample Availability: Not Available. |








| Indicator | FBPNN |
|---|---|
| MSE | 5.01 ×10−5 |
| RMSE | 7.08 ×10−3 |
| RRMSE | 1.94 ×10−2 |
| MAPE | 1.52 |
| Pseudo First Order | Pseudo Second Order | Intraparticle | |||||
|---|---|---|---|---|---|---|---|
| pH | C0 mg/L | Experimental R2 | ANN Output R2 | Experimental R2 | ANN Output R2 | Experimental R2 | ANN Output R2 |
| 5.14 | 10 | 0.772 | 0.764 | 0.996 | 0.993 | 0.879 | 0.881 |
| 6 | 10 | 0.883 | 0.879 | 0.96 | 0.98 | 0.887 | 0.876 |
| 10 | 10 | 0.88 | 0.87 | 0.97 | 0.96 | 0.892 | 0.887 |
© 2020 by the authors. Licensee MDPI, Basel, Switzerland. This article is an open access article distributed under the terms and conditions of the Creative Commons Attribution (CC BY) license (http://creativecommons.org/licenses/by/4.0/).
Share and Cite
Ibrahim, R.K.; Fiyadh, S.S.; AlSaadi, M.A.; Hin, L.S.; Mohd, N.S.; Ibrahim, S.; Afan, H.A.; Fai, C.M.; Ahmed, A.N.; Elshafie, A. Feedforward Artificial Neural Network-Based Model for Predicting the Removal of Phenolic Compounds from Water by Using Deep Eutectic Solvent-Functionalized CNTs. Molecules 2020, 25, 1511. https://doi.org/10.3390/molecules25071511
Ibrahim RK, Fiyadh SS, AlSaadi MA, Hin LS, Mohd NS, Ibrahim S, Afan HA, Fai CM, Ahmed AN, Elshafie A. Feedforward Artificial Neural Network-Based Model for Predicting the Removal of Phenolic Compounds from Water by Using Deep Eutectic Solvent-Functionalized CNTs. Molecules. 2020; 25(7):1511. https://doi.org/10.3390/molecules25071511
Chicago/Turabian StyleIbrahim, Rusul Khaleel, Seef Saadi Fiyadh, Mohammed Abdulhakim AlSaadi, Lai Sai Hin, Nuruol Syuhadaa Mohd, Shaliza Ibrahim, Haitham Abdulmohsin Afan, Chow Ming Fai, Ali Najah Ahmed, and Ahmed Elshafie. 2020. "Feedforward Artificial Neural Network-Based Model for Predicting the Removal of Phenolic Compounds from Water by Using Deep Eutectic Solvent-Functionalized CNTs" Molecules 25, no. 7: 1511. https://doi.org/10.3390/molecules25071511
APA StyleIbrahim, R. K., Fiyadh, S. S., AlSaadi, M. A., Hin, L. S., Mohd, N. S., Ibrahim, S., Afan, H. A., Fai, C. M., Ahmed, A. N., & Elshafie, A. (2020). Feedforward Artificial Neural Network-Based Model for Predicting the Removal of Phenolic Compounds from Water by Using Deep Eutectic Solvent-Functionalized CNTs. Molecules, 25(7), 1511. https://doi.org/10.3390/molecules25071511

