Binding Kinetics of Ruthenium Pyrithione Chemotherapeutic Candidates to Human Serum Proteins Studied by HPLC-ICP-MS
Abstract
1. Introduction
2. Results and Discussion
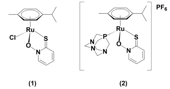
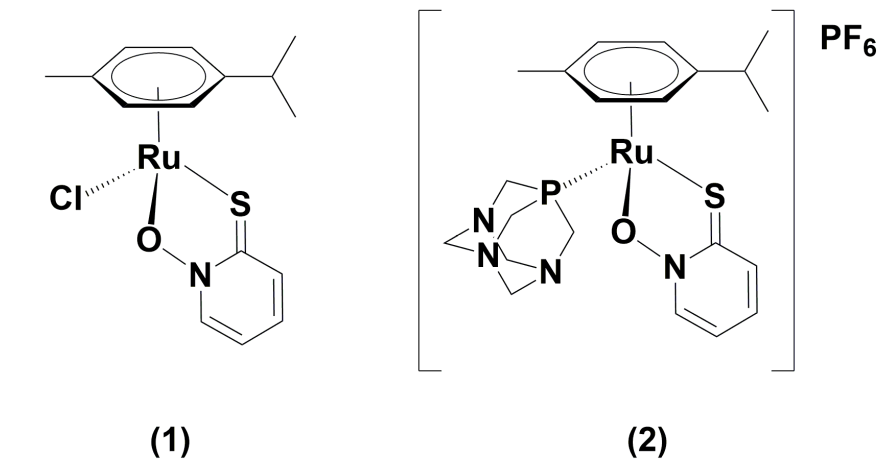
2.1. Stability of [(η6-p-Cymene)Ru(1-Hydroxypyridine-2(1H)-Thionato)Cl (1) and [(η6-p-Cymene)Ru(1-Hydroxypyridine-2(1H)-Thionato)pta]PF6 (2) and Their Behaviour in Aqueous Solutions
2.2. Optimization of the Analytical Procedure for Speciation of Ru Complexes (1) and (2) on the CLC Column
2.3. Quantification of Separated Ru Species on the CLC Column by the Post-Column ID-ICP-MS
2.4. Analytical Figures of Merit
2.4.1. Column Recovery
2.4.2. Repeatability and Reproducibility of Measurement
2.4.3. Limit of Detection, Limit of Quantification and Linearity of Measurement
2.5. Kinetics of the Interaction of Ru Complex (1) and (2) With Human Serum Proteins
3. Materials and Methods
3.1. Materials
3.2. Instrumentation
3.3. Sample Preparation
3.4. Determination of Total Ru Concentration in Spiked Human Serum
3.5. Chromatographic Procedure
3.6. Quantification of Separated Ru Species by Post-Column Isotope Dilution
4. Conclusions
Supplementary Materials
Author Contributions
Funding
Acknowledgments
Conflicts of Interest
References
- Ferlay, J.; Colombet, M.; Soerjomataram, I.; Mathers, C.; Parkin, D.M.; Piñeros, M.; Znaor, A.; Bray, F. Estimating the global cancer incidence and mortality in 2018: GLOBOCAN sources and methods. Int. J. Cancer 2019, 144, 1941–1953. [Google Scholar] [CrossRef]
- Muhammad, N.; Guo, Z. Metal-based anticancer chemotherapeutics. Curr. Opin. Chem. Biol. 2014, 19, 144–c153. [Google Scholar] [CrossRef]
- Dasari, S.; Tchounwou, P.B. Cisplatin in cancer therapy: Molecular mechanisms of action. Eur. J. Pharmacol. 2014, 0, 364–378. [Google Scholar] [CrossRef]
- National Cancer Institute. Available online: https://www.cancer.gov/about-cancer/treatment/clinical-trials/intervention/carboplatin (accessed on 28 February 2020).
- Stojanovska, V.; Prakash, M.; McQuade, R.; Fraser, S.; Apostolopoulos, V.; Sakkal, S.; Nurgali, K. Oxaliplatin Treatment Alters Systemic Immune Responses. BioMed. Res. Internat. 2019. ID 4650695. [Google Scholar] [CrossRef] [PubMed]
- Galluzzi, L.; Senovilla, L.; Vitale, I.; Michels, J.; Martins, I.; Kepp, O.; Castedo, M.; Kroemer, G. Molecular mechanisms of cisplatin resistance, Review. Oncogene 2012, 31, 1869–1883. [Google Scholar] [CrossRef] [PubMed]
- Florea, A.-M.; Büsselberg, D. Cisplatin as an Anti-Tumor Drug: Cellular Mechanisms of Activity, Drug Resistance and Induced Side Effects. Cancers 2011, 3, 1351–1371. [Google Scholar] [CrossRef] [PubMed]
- Odularu, A.T.; Ajibade, P.A.; Mbese, J.Z.; Oyedeji, O.O. Developments in platinum-group metals as dual antibacterial and anticancer agents. Review. J. Chem. 2019, 2019. ID-5459461. [Google Scholar] [CrossRef]
- Ursic, K.; Kos, S.; Kamenšek, U.; Cemazar, M.; Ščančar, J.; Bucek, S.; Kranjc Brezar, S.; Staresinic, B.; Sersa, G. Comparable effectiveness and immunomodulatory actions of oxaliplatin and cisplatin in electrochemotherapy of murine melanoma. Bioelectrochem. 2018, 119, 161–171. [Google Scholar] [CrossRef]
- Niksic Zakelj, M.; Prevc, A.; Kranjc Brezar, S.; Cemažar, M.; Todorovic, V.; Savarin, M.; Ščančar, J.; Kosjek, T.; Groselj, B.; Strojan, P.; et al. Electrochemotherapy of radioresistant head and neck squamous cell carcinoma cells and tumor xenografts. Oncol. Rep. 2019, 41, 1658–1668. [Google Scholar]
- Pérez-Herrero, E.; Fernández-Medarde, A. Advanced targeted therapies in cancer: Drug nanocarriers, the future of chemotherapy. Eur. J. Pharm. Biopharm. 2015, 93, 52–79. [Google Scholar] [CrossRef]
- Ndagi, U.; Mhlongo, N.; Soliman, M.E. Metal complexes in cancer therapy–An update from drug design perspective. Drug Des. Devel. Ther. 2017, 11, 599–616. [Google Scholar] [CrossRef] [PubMed]
- Kenny, R.G.; Marmion, C.J. Toward Multi-Targeted Platinum and Ruthenium Drugs. A New Paradigm in Cancer Drug Treatment Regimens? Chem. Rev. 2019, 119, 1058–1137. [Google Scholar] [CrossRef] [PubMed]
- Iida, J.; Bell-Loncella, E.T.; Purazo, M.L.; Lu, Y.; Dorchak, J.; Clancy, R.; Slavik, J.; Lou Cutler, M.; Shriver, C.D. Inhibition of cancer cell growth by ruthenium complexes. J. Transl. Med. 2016, 14, 48. [Google Scholar] [CrossRef] [PubMed]
- Liu, J.; Lai, H.; Xiong, Z.; Chenb, B.; Chen, T. Functionalization and cancer-targeting design of ruthenium complexes for precise cancer therapy. Chem. Commun. 2019, 55, 9904–9914. [Google Scholar] [CrossRef] [PubMed]
- Coverdale, J.P.C.; Laroiya-McCarron, T.; Romero-Canelón, I. Designing ruthenium anticancer drugs: What have we learnt from the key drug candidates? Review. Inorganics 2019, 7, 31. [Google Scholar] [CrossRef]
- Alessio, E.; Messori, L. NAMI-A and KP1019/1339, Two iconic ruthenium anticancer drug candidates face-to-face: A case story in medicinal inorganic chemistry. Molecules 2019, 24, 1995. [Google Scholar] [CrossRef]
- Nowak-Sliwinska, P.; van Beijnum, J.R.; Casini, A.; Nazarov, A.A.; Wagnieres, G.; van den Bergh, H.; Dyson, P.J.; Griffioen, A.W. Organometallic ruthenium(II) arene compounds with antiangiogenic activity. J. Med. Chem. 2011, 54, 3895–3902. [Google Scholar] [CrossRef]
- Kljun, J.; Anko, M.; Traven, K.; Sinreih, M.; Pavlič, R.; Peršič, Š.; Ude, Ž.; Esteve Codina, E.; Stojan, J.; Lanišnik Rižner, T.; et al. Pyrithione-based ruthenium complexes as inhibitors of aldo–keto reductase 1C enzymes and anticancer agents. Dalton Trans. 2016, 45, 11791–11800. [Google Scholar] [CrossRef]
- Ristovski, S.; Uzelac, M.; Kljun, J.; Lipec, T.; Uršič, M.; Zemljič, Š.; Žužek, M.C.; Trobec, T.; Fragnež, R.; Sepčić, K.; et al. Organoruthenium Prodrugs as a New Class of Cholinesterase and Glutathione-S-Transferase Inhibitors. Chem. Med. Chem. 2018, 13, 1–12. [Google Scholar] [CrossRef]
- Kladnik, J.; Kljun, J.; Burmeister, H.; Ott, I.; Romero-Canel, I.; Turel, I. Towards identification of essential structural elements of organoruthenium(ii)-pyrithionato complexes for anticancer activity. Chem. Eur. J. 2019, 25, 1–15. [Google Scholar] [CrossRef]
- Montes-Bayón, M.; Sharar, M.; Corte-Rodriguez, M. Trends on (elemental and molecular) mass spectrometry based strategies for speciation and metallomics. Trends Anal. Chem. 2018, 104, 4–10. [Google Scholar] [CrossRef]
- Galvez, L.; Theiner, S.; Grabaric, M.; Kowol, C.R.; Keppler, B.K.; Hann, S.; Koellensperger, G. Critical assessment of different methods for quantitative measurement of metallodrug-protein associations. Anal. Bioanal. Chem. 2018, 410, 7211–7220. [Google Scholar] [CrossRef] [PubMed]
- Holtkamp, H.U.; Hartinger, G. Advanced metallomics methods in anticancer metallodrug mode of action studies. Trends Anal. Chem. 2018, 104, 110–117. [Google Scholar] [CrossRef]
- Delafiori, J.; Ring, G.; Furey, A. Clinical applications of HPLC–ICP-MS element speciation: A review. Talanta 2016, 153, 306–331. [Google Scholar] [CrossRef] [PubMed]
- Wang, D.; Hea, B.; Yana, X.; Nonga, Q.; Wang, C.; Jiang, J.; Hu, L.; Jiang, G. 3D printed gel electrophoresis device coupling with ICP-MS for online separation and detection of metalloproteins. Talanta 2019, 197, 145–150. [Google Scholar] [CrossRef]
- Pozebon, D.; Scheffler, G.L.; Dressler, V.L. Recent applications of laser ablation inductively coupled plasma mass spectrometry (LA-ICP-MS) for biological sample analysis: A follow-up review. J. Anal. At. Spectrom. 2017, 32, 890–919. [Google Scholar] [CrossRef]
- Lothian, A.; Roberts, B.R. Standards for quantitative metalloproteomic analysis using size exclusion ICP-MS. JOVE-J. Vis. Exp. 2016, 110, 1–8. [Google Scholar] [CrossRef]
- Klose, M.H.M.; Schöberl, A.; Heffeter, P.; Berger, W.; Hartinger, C.G.; Koellensperger, G.; Meier-Menches, S.M.; Keppler, B.K. Serum-binding properties of isosteric ruthenium and osmium anticancer agents elucidated by SEC–ICP–MS. Monatsh. Chem. Chem. Mon. 2018, 149, 1719–1726. [Google Scholar] [CrossRef]
- Černigoj, U.; Vidic, U.; Nemec, B.; Gašperšič, J.; Vidič, J.; Lendero Krajnc, N.; Štrancar, A.; Podgornik, A. Characterization of methacrylate chromatographic monoliths bearing affinity ligands. J. Chromatogr. A 2016, 1464, 72–78. [Google Scholar] [CrossRef]
- Lynch, K.B.; Ren, J.; Beckner, M.A.; He, C.; Lui, S. Monolith columns for liquid chromatographic separations of intact proteins: A review of recent advances and applications. Anal. Chim. Acta 2019, 1046, 48–68. [Google Scholar] [CrossRef]
- Milačič, R.; Zuliani, T.; Vidmar, J.; Ščančar, J. Monolithic chromatography in speciation analysis of metal-containing biomolecules: A review. J. Anal. At. Spectrom. 2016, 31, 1766–1779. [Google Scholar] [CrossRef]
- Martinčič, A.; Milačič, R.; Čemažar, M.; Serša, G.; Ščančar, J. The use of CIM-DEAE monolithic chromatography coupled to ICP-MS to study the distribution of cisplatin in human serum. Anal. Methods 2012, 4, 780–790. [Google Scholar] [CrossRef]
- Martinčič, A.; Cemazar, M.; Sersa, G.; Kovač, V.; Milačič, R.; Ščančar, J. A novel method for speciation of Pt in human serum incubated with cisplatin, oxaliplatin and carboplatin by conjoint liquid chromatography on monolithic disks with UV and ICP-MS detection. Talanta 2013, 116, 141–148. [Google Scholar]
- Marković, K.; Milačič, R.; Vidmar, J.; Marković, S.; Uršič, K.; Nikšić Žakelj, M.; Cemazar, M.; Sersa, G.; Unk, M.; Ščančar, J. Monolithic chromatography on conjoint liquid chromatography columns for speciation of platinum-based chemotherapeutics in serum of cancer patients. J. Trace Elem. Med. Biol. 2020, 57, 28–39. [Google Scholar]
- Martinčič, A.; Milačič, R.; Vidmar, J.; Turel, I.; Keppler, B.K.; Ščančar, J. New method for the speciation of ruthenium-based chemotherapeutics in human serum by conjoint liquidchromatography on affinity and anion-exchange monolithic disks. J. Chromatogr. A 2014, 1371, 168–176. [Google Scholar] [CrossRef] [PubMed]
- Larios, R.; Estela del Castillo Busto, M.; Garcia-Sar, D.; Ward-Deitrich, C.; Goenaga-Infante, H. Accurate quantification of carboplatin adducts with serum proteins by monolithic chromatography coupled to ICPMS with isotope dilution analysis. J. Anal. At. Spectrom. 2019, 34, 729–740. [Google Scholar] [CrossRef]
- Wang, F.; Habtemariam, A.; van der Geer, E.P.; Fernández, R.; Melchart, M.; Deeth, R.J.; Aird, R.; Guichard, S.; Fabbiani, F.P.; Lozano-Casal, P.; et al. Controlling ligand substitution reactions of organometallic complexes: Tuning cancer cell cytotoxicity. Proc. Natl. Acad. Sci. 2005, 102, 18269–18274. [Google Scholar] [CrossRef]
- Pizarro, A.M.; Habtemariam, A.; Sadler, P.J. Activation mechanisms for organometallic anticancer complexes. Top. Organomet. Chem. 2010, 32, 21–56. [Google Scholar]
- Ang, W.H.; Daldini, E.; Scolaro, C.; Scopelliti, R.; Juillerat-Jeannerat, L.; Dyson, P.J. Development of organometallic ruthenium−arene anticancer drugs that resist hydrolysis. Inorg. Chem. 2006, 45, 9006–9013. [Google Scholar] [CrossRef] [PubMed]
- Rodríguez-González, P.; Marchante-Gayón, J.M.; García Alonso, J.I.; Sanz-Medel, A. Isotope dilution analysis for elemental speciation: A tutorial review. Spectrochim. Acta Part B Atomic Spectroscopy 2005, 60, 151–207. [Google Scholar] [CrossRef]
- Yang, F.; Zhang, Y.; Liang, H. Interactive association of drugs binding to human serum albumin. Int. J. Mol. Sci. 2014, 15, 3580–3595. [Google Scholar] [CrossRef] [PubMed]
- Seršen, S.; Kljun, J.; Kryeziu, K.; Panchuk, R.; Alte, B.; Körner, W.; Heffeter, P.; Berger, W.; Turel, I. Structure-related mode-of-action differences of anticancer organoruthenium complexes with β-diketonates. J. Med. Chem. 2015, 58, 3984–3996. [Google Scholar] [CrossRef] [PubMed]
- Sheng, Y.; Hou, Z.; Cui, S.; Cao, K.; Yuan, S.; Sun, M.; Kljun, J.; Huang, G.; Turel, I.; Liu, Y. Covalent versus non-covalent binding of ruthenium η6-p-cymene complexes to zinc-finger protein NCp7. Chem. Eur. J. 2019, 25, 12789–12794. [Google Scholar] [CrossRef] [PubMed]
- Briš, A.; Jašík, J.; Turel, I.; Roithová, J. Anti-cancer organoruthenium(II) complexes and their interactions with cysteine and its analogues. A mass-spectrometric study. Dalton Trans. 2019, 48, 2626–2634. [Google Scholar] [CrossRef] [PubMed]
Sample Availability: Samples of the compounds (1) and (2) are available from the authors. |






| Complex | Ru Injected (µg/mL) | Unbound Ru (µg/mL) | Ru-Tf (µg/mL) | Ru-HSA (µg/mL) | Ru-IgG (µg/mL) | Ru Eluted (µg/mL) | Column Recovery (%) |
|---|---|---|---|---|---|---|---|
| (1) | 4.14 ± 0.08 | 1.28 ± 0.01 | 0.038 ± 0.001 | 2.48 ± 0.02 | 0.125 ± 0.002 | 3.92 ± 0.001 | 95 ± 1 |
| (2) | 0.838 ± 0.025 | 0.386 ± 0.004 | 0.014 ± 0.001 | 0.443 ± 0.005 | 0.027 ± 0.001 | 0.869 ± 0.008 | 104 ± 3 |
| Complex (1) | Complex (2) | |||
|---|---|---|---|---|
| Ru species | Repeatability RSD (%) | Reproducibility RSD (%) | Repeatability RSD (%) | Reproducibility RSD (%) |
| Unbound Ru | 1.6 | 6.9 | 1.2 | 4.4 |
| Ru-Tf | 3.3 | 5.2 | 1.6 | 6.3 |
| Ru-HSA | 0.63 | 1.4 | 2.9 | 3.3 |
| Ru-IgG | 2.7 | 4.9 | 3.8 | 4.0 |
| Ru Species | LOD (ng/mL Ru) | LOQ (ng/mL Ru) |
|---|---|---|
| Unbound | 0.32 | 1.1 |
| Ru-Tf | 0.12 | 0.40 |
| Ru-HSA | 1.6 | 5.3 |
| Ru-IgG | 1.1 | 3.6 |
© 2020 by the authors. Licensee MDPI, Basel, Switzerland. This article is an open access article distributed under the terms and conditions of the Creative Commons Attribution (CC BY) license (http://creativecommons.org/licenses/by/4.0/).
Share and Cite
Marković, K.; Milačič, R.; Marković, S.; Kladnik, J.; Turel, I.; Ščančar, J. Binding Kinetics of Ruthenium Pyrithione Chemotherapeutic Candidates to Human Serum Proteins Studied by HPLC-ICP-MS. Molecules 2020, 25, 1512. https://doi.org/10.3390/molecules25071512
Marković K, Milačič R, Marković S, Kladnik J, Turel I, Ščančar J. Binding Kinetics of Ruthenium Pyrithione Chemotherapeutic Candidates to Human Serum Proteins Studied by HPLC-ICP-MS. Molecules. 2020; 25(7):1512. https://doi.org/10.3390/molecules25071512
Chicago/Turabian StyleMarković, Katarina, Radmila Milačič, Stefan Marković, Jerneja Kladnik, Iztok Turel, and Janez Ščančar. 2020. "Binding Kinetics of Ruthenium Pyrithione Chemotherapeutic Candidates to Human Serum Proteins Studied by HPLC-ICP-MS" Molecules 25, no. 7: 1512. https://doi.org/10.3390/molecules25071512
APA StyleMarković, K., Milačič, R., Marković, S., Kladnik, J., Turel, I., & Ščančar, J. (2020). Binding Kinetics of Ruthenium Pyrithione Chemotherapeutic Candidates to Human Serum Proteins Studied by HPLC-ICP-MS. Molecules, 25(7), 1512. https://doi.org/10.3390/molecules25071512

