Effect of Terpenoids and Flavonoids Isolated from Baccharis conferta Kunth on TPA-Induced Ear Edema in Mice
Abstract
1. Introduction
2. Results and Discussion
2.1. Anti-Inflammatory Effect of Extracts and Fractions of B. conferta
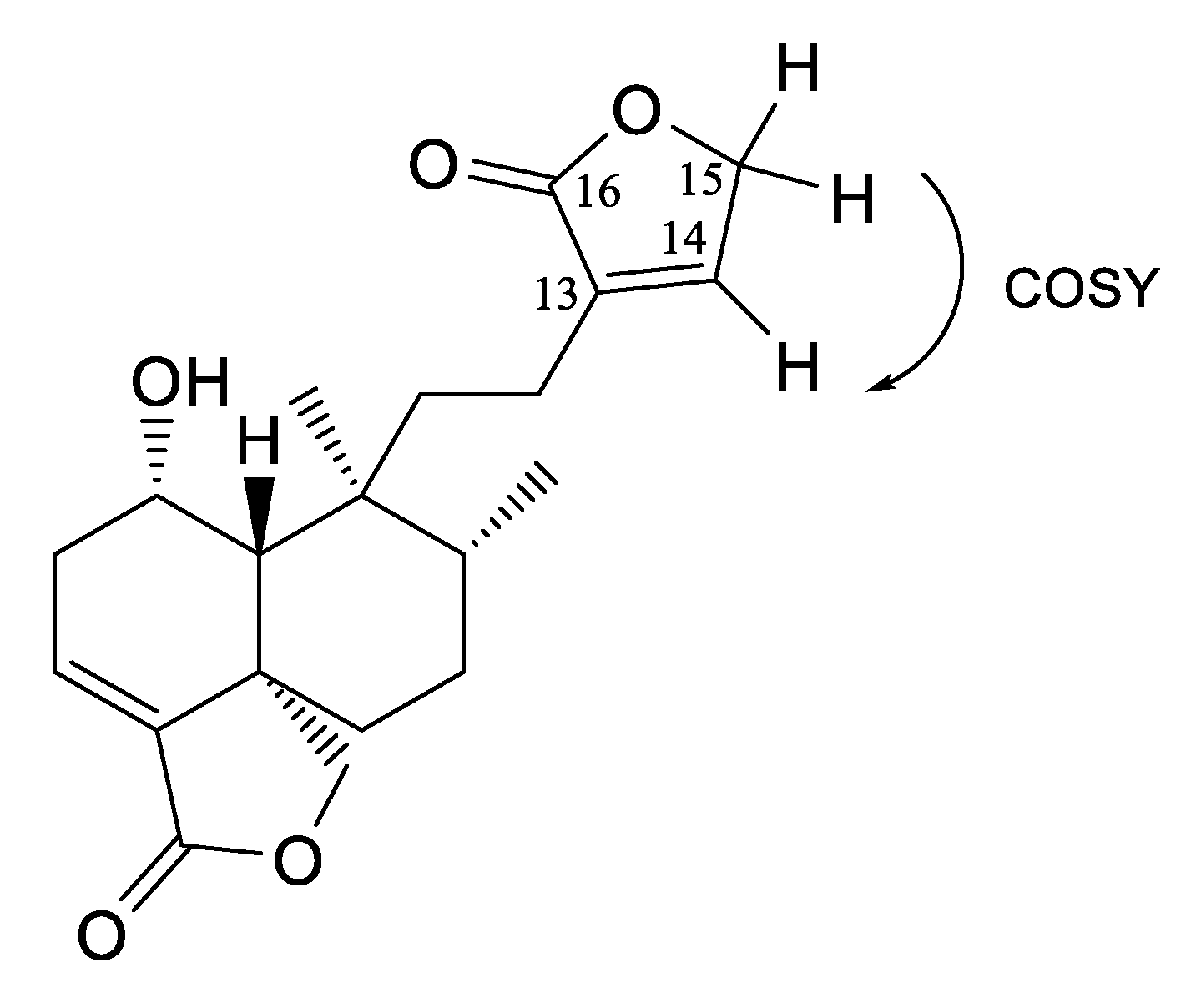
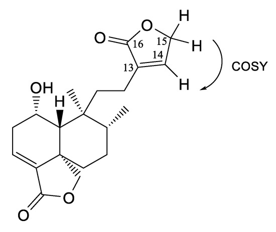
2.2. Isolation and Elucidation of Compounds 1–7
2.3. Anti-Inflammatory Effect of Compounds of B. Conferta
2.4. Histological Analysis of Ear Edema-Induced by TPA
3. Materials and Methods
3.1. General Experimental Procedures
3.2. Plant Material
3.3. Preparation of Eextracts
3.4. Chromatographic Fractionation of the Most Active Extract (BcD)
3.5. Isolation and Identification of Compounds (1-4) from the BcD2 Active Fraction
3.6. Isolation and Identification of Compounds (5-7) from the BcD3 Active Fraction
3.7. Experimental Animals
3.8. TPA-Induced Mouse Ear Edema
3.9. Histological Analysis
3.10. Statistical Analysis
4. Conclusions
Supplementary Materials
Author Contributions
Funding
Acknowledgments
Conflicts of Interest
References
- Martínez, M.J.A.; Bessa, A.L.; Benito, P.B. Biologically active substances from the genus Baccharis L. (Compositae). Stud. Nat. Prod. Chem. 2005, 30, 703–759. [Google Scholar]
- Ramos Campos, F.; Bressan, J.; Godoy Jasinski, V.C.; Zuccolotto, T.; da Silva, L.E.; Bonancio Cerqueira, L. Baccharis (Asteraceae): Chemical constituents and biological activities. Chem. Biodiversity 2016, 13, 1–17. [Google Scholar] [CrossRef]
- Hanh, T.T.H.; Anh, D.H.; Quang, T.H.; Trung, N.Q.; Thao, D.T.; Cuong, N.T.; An, N.T.; Cuong, N.X.; Nam, N.H.; Kiem, P.V.; et al. Scutebatolides A-C, new neo-clerodane diterpenoids from Scutellaria barbata D. Don with cytotoxic activity. Phytochem. Lett. 2019, 29, 65–69. [Google Scholar] [CrossRef]
- Guo, P.; Yushan, L.; Jin, D.-Q.; Xu, J.; He, Y.; Zhang, L.; Guo, Y. neo-Clerodane diterpenes from Ajuga ciliata and their inhibitory activities on LPS-induced NO production. Phytochem. Lett. 2012, 5, 563–566. [Google Scholar] [CrossRef]
- Perez, R.M. Anti-inflammatory Activity of Compounds Isolated from Plants. Sientific World 2001, 1, 713–784. [Google Scholar] [CrossRef]
- Kumar, A.; Premoli, M.; Aria, F.; Bonini, S.A.; Maccarinelli, G.; Gianoncelli, A.; Memo, M.; Mastinu, A. Cannabimimetic plants: are they new cannabinoidergic modulators. Planta 2019, 249, 1681–1694. [Google Scholar] [CrossRef] [PubMed]
- Mastinu, A.; Bonini, S.A.; Rungratanawanich, W.; Aria, F.; Marziano, M.; Maccarinelli, G.; Abate, G.; Premoli, M.; Memo, M.; Uberti, D. Gama-oryzanol Prvents LPS-imduced Brain Inflammation and Cognitive Impairment in Adult Mice. Nutrients 2019, 11. [Google Scholar] [CrossRef] [PubMed]
- Salinas-Sánchez, D.O.; Herrera-Ruiz, M.; Pérez, S.; Jiménez-Ferrer, E.; Zamilpa, A. Anti-inflammatory activity of Hautriwaic acid isolated from Dodonaea viscosa leaves. Molecules 2012, 17, 4292–4299. [Google Scholar] [CrossRef] [PubMed]
- Salinas-Sánchez, D.O.; Zamilpa, A.; Pérez, S.; Herrera-Ruiz, M.; Tortoriello, J.; González-Cortazar, M.; Jiménez-Ferrer, E. Effect of Hautriwaic acid isolated from Dodonaea viscosa in a model of kaolin/carrageenan-induced monoarthritis. Planta Med. 2015, 81, 1240–1247. [Google Scholar] [CrossRef] [PubMed]
- Argueta, V.A.; Cano Asseleih, L.M.; Rodarte, M.L. Atlas de las plantas de la medicina tradicional mexicana, 1st ed.; Instituto Nacional Indigenista: Cuernavaca, Morelos, Mexico, 1994; pp. 602–603. [Google Scholar]
- Monroy-Ortriz, C.; Castillo-España, P. Plantas medicinales utilizadas en el estado de Morelos, 2nd ed.; Universidad Autónoma del Estado de Morelos: Cuernavaca, Morelos, Mexico, 2007; p. 62. [Google Scholar]
- Weimann, C.; Göransson, U.; Pongprayoon-Claeson, U.; Claeson, P.; Bohlin, L.; Rimpler, H.; Heinrich, M. Spasmolytic effects of Baccharis conferta and some of its constituents. J. Pharma Pharmacol. 2002, 54, 99–104. [Google Scholar] [CrossRef]
- Cortes-Morales, J.A.; Olmedo-Juárez, A.; Trejo-Tapia, G.; González-Cortazar, M.; Domínguez-Mendoza, B.E.; Mendoza-de Gives, P.; Zamilpa, A. In vitro ovicidal activity of Baccharis conferta Kunth against Haemonchus contortus. Exp. Parasitol. 2019, 197, 20–28. [Google Scholar] [CrossRef] [PubMed]
- Bohlmann, F.; Zdero, C. Weitere Inhaltsstoffe aus Baccharis conferta H. B. K. Chem. Ber. 1976, 109, 1450–1452. [Google Scholar] [CrossRef]
- Guerrero, C.; Romo de Vivar, A. Estructura y estereoquímica de la bacchofertina, diterpeno aislado de Baccharis conferta H.B.K. Rev. Lat. Quím. 1973, 4, 178–184. [Google Scholar]
- Ascari, J.; de Oliveira, M.S.; Nunes, D.S.; Granato, D.; Scharf, D.R.; Simionatto, E.; Otuki, M.; Soley, B.; Heiden, G. Chemical composition, antioxidant and anti-inflammatory activities of the essential oils from male and female specimens of Baccharis punctulata (Asteraceae). J. Ethnopharmacol. 2019, 24, 1–7. [Google Scholar] [CrossRef]
- Abad, M.J.; Bessa, A.L.; Ballarin, B.; Aragón, O.; Gonzales, E.; Bermejo, P. Anti-inflammatory activity of four Bolivian Baccharis species (Compositae). J. Ethnopharmacol. 2006, 103, 338–344. [Google Scholar] [CrossRef] [PubMed]
- Zheng, X.K.; Guo, J.H.; Feng, W.S.; Li, H.W. Three new sesquiterpenes from Euonymus schensianus Maxim. Chin. Chem. Lett. 2009, 20, 952–954. [Google Scholar] [CrossRef]
- Chen, Q.L.; Wang, L.; Feng, F. Chemical constituents from the aerial part of Echinacea purpurea. Zhong Yao Cai 2013, 36, 739–743. [Google Scholar]
- Bohlmann, F.; Zdero, C.; King, R.M.; Robinson, H. Kingidiol, a kolavane derivative from Baccharis kingii. Phytochemistry 1984, 23, 1511–1512. [Google Scholar] [CrossRef]
- Lee, S.H.; Oh, H.W.; Fang, Y.; An, S.B.; Park, D.S.; Song, H.H.; Oh, S.R.; Kim, N.; Raikhel, A.S.; Je, Y.H.; et al. Identification of plant compounds that disrupt the insect juvenile hormone receptor complex. Proc. Natl. Acad. Sci. USA 2015, 112, 1733–1738. [Google Scholar] [CrossRef]
- Mahato, S.B.; Kundu, A.P. 13C NMR Spectra of pentacyclic triterpenoids-a compilation and some salient features. Phytochemistry 1994, 37, 1517–1575. [Google Scholar] [CrossRef]
- Argandoña, V.H.; Faini, F.A. Oleanolic acid content in Baccharis linearis and its effects on Heliothis zea larvae. Phytochemistry 1993, 33, 1377–1379. [Google Scholar] [CrossRef]
- Freitas, C.S.; Baggio, C.H.; Dos Santos, A.C.; Mayer, B.; Twardowschy, A.; Luiz, A.P.; Santos, A.R.S. Antinociceptive properties of the hydroalcoholic extract, fractions and compounds obtained from the aerial parts of Baccharis illinita DC in mice. Basic Clin. Pharmacol. Toxicol. 2009, 104, 285–292. [Google Scholar] [CrossRef] [PubMed]
- Boller, S.; Soldi, C.; Marques, M.C.A.; Santos, E.P.; Cabrini, D.A.; Pizzolatti, M.G.; Zampronio, A.R.; Otuki, M.F. Anti-inflammatory effect of crude extract and isolated compounds from Baccharis illinita DC in acute skin inflammation. J. Ethnopharmacol. 2010, 130, 262–266. [Google Scholar] [CrossRef]
- Omosa, L.K.; Midiwo, J.O.; Derese, S.; Yenesew, A.; Peter, M.G.; Heydenreich, M. Neo-Clerodane diterpenoids from the leaf exudate of Dodonaea angustifolia. Phytochem. Lett. 2010, 3, 217–220. [Google Scholar] [CrossRef]
- Soon-Ho, Y.; Hyun Jung, K.; Ik-Soo, L. A polyacetylene and flavonoids from Cirsium rhinoceros. Arch. Pharm. Res. 2003, 26, 128–131. [Google Scholar] [CrossRef] [PubMed]
- Osei-Safo, D.; Chama, M.A.; Addae-Mensah, I.; Waibel, R. Hispidulin and other constituents of Scoparia dulcis Linn. J. Sci. Technol. 2009, 29, 7–15. [Google Scholar] [CrossRef]
- Clavin, M.; Gorzalczany, S.; Macho, A.; Muñoz, E.; Ferraro, G.; Acevedo, C.; Martino, V. Anti-inflammatory activity of flavonoids from Eupatorium arnottianum. J. Ethnopharmacol. 2007, 112, 585–589. [Google Scholar] [CrossRef]
- Patel, K.; Patel, D.K. Medicinal importance, pharmacological activities, and analytical aspects of hispidulin: A concise report. J. Tradit. Complement. Med. 2017, 7, 360–366. [Google Scholar] [CrossRef]
- Liu, J. Pharmacology of oleanolic acid and ursolic acid. J. Ethnopharmacol. 1995, 49, 57–68. [Google Scholar] [CrossRef]
- Cottiglia, F.; Casu, L.; Bonsignore, L.; Casu, M.; Floris, C.; Sosa, S.; Altinier, G.; Della, R. Topical anti-inflammatory activity of flavonoids and a new xanthone from Santolina insularis. Z Naturforsch C. 2005, 60, 63–66. [Google Scholar] [CrossRef]
- Shin, M.-S.; Park, J.Y.; Lee, J.; Yoo, H.H.; Hahm, D.-H.; Lee, S.C.; Kang, K.S. Anti-inflammatory effects and corresponding mechanisms of cirsimaritin extracted from Cirsium japonicum var. maackii Maxim. Bioorg. Med. Chem. Lett. 2017, 27, 3076–3080. [Google Scholar] [CrossRef] [PubMed]
- Payá, M.; Ferrándiz, M.L.; Sanz, M.J.; Bustos, G.; Blasco, R.; Ríos, J.L.; Alcaráz, M.J. Study of the antioedema activity of some seaweed and sponge extracts from the Mediterranean coast in mice. Phytother. Res. 1993, 7, 159–162. [Google Scholar] [CrossRef]
Sample Availability: Samples of the compounds 1–7 are available from the authors. |





| Substance | Edema (mg) mean ± SEM | Edema inhibition (%) |
|---|---|---|
| VEH | 14.3 ± 1.5 | --- |
| BcH | 9.5 ± 0.54 *b | 42.83 |
| BcD | 3.08 ± 0.31 ** | 78.50 |
| BcM | 7.73 ± 0.11 *c | 45.92 |
| BcD1 | 9.78 ± 0.28 **a | 31.64 |
| BcD2 | 4.54 ± 0.23 ** | 68.29 |
| BcD3 | 2.53 ± 0.33 ** | 82.28 |
| 1 | 3.12 ± 0.36 ** | 78.18 |
| 2 | 2.36 ± 0.45 ** | 83.50 |
| 3 | 0.84 ± 0.41 ** | 94.13 |
| 5 | 3.32 ± 0.39 ** | 76.78 |
| 6 | 0.27 ± 0.02 ** | 98.14 |
| 7 | 3.66 ± 0.5 ** | 74.41 |
| INDO | 1.22 ± 0.54 ** | 85.66 |
| Position | δC 2 | δC 3 | δC 5 |
|---|---|---|---|
| 1 | 64.3 | 17.4 | 63.2 |
| 2 | 37.2 | 27.4 | 36.7 |
| 3 | 129.2 | 129.4 | 129.9 |
| 4 | 138.0 | 145.1 | 137.4 |
| 5 | 44.9 | 43.0 | 44.7 |
| 6 | 35.5 | 31.3 | 35.3 |
| 7 | 27.7 | 26.9 | 27.5 |
| 8 | 37.4 | 36.5 | 37.2 |
| 9 | 39.3 | 38.9 | 39.0 |
| 10 | 49.8 | 46.4 | 49.8 |
| 11 | 37.6 | 38.7 | 35.0 |
| 12 | 18.3 | 18.3 | 18.9 |
| 13 | 124.8 | 125.5 | 133.9 |
| 14 | 110.7 | 110.9 | 143.9 |
| 15 | 142.9 | 142.7 | 70.3 |
| 16 | 138.4 | 138.4 | 174.0 |
| 17 | 15.2 | 15.9 | 14.9 |
| 18 | 169.8 | 64.3 | 169.6 |
| 19 | 73.2 | 65.6 | 73.3 |
| 20 | 18.5 | 18.8 | 18.0 |
| Position | δH (J in Hz) 2 | δH (J in Hz) 3 | δH (J in Hz) 5 |
|---|---|---|---|
| 1a 1b | 4.43 (s, br) | 1.64 (m) 1.61(m) | 4.43 (d, br, 1.9) |
| 2a 2b | 2.49(ddd, 3.2, 5.7, 18.5) 2.44 (dd, 3.8, 18.5) | 2.31 (m) 2.17 (m) | 2.46 (m) 2.46 (m) |
| 3 | 6.57 (dd, 1.92, 6.41) | 5.76 (dd, 3.6) | 6.57 (dd, 2.6, 6.6) |
| 4 | - | - | - |
| 5 | - | - | - |
| 6a 6b | 1.26 (ddd, 1.9, 3.8, 12.8) 1.9 (dd, 3.8, 12.8) | 1.16 (dd, 7.3, 12.8) 2.27 (dd, 12.84, 17.6) | 1.25 (m) 1.95 (dd, 1.9, 13.2) |
| 7a 7b | 1.59 (dddd, 1.9, 3.8, 4.4, 12.8) 1.66 (m) | 1.52 (dd, 5.5, 11.3) 1.46 (ddd, 2.9, 9.9, 11.7) | 1.6 (m) 1.63 (m) |
| 8 | 1.67 (m) | 1.63 (m) | 1.63 (m) |
| 9 | - | - | - |
| 10 | 1.79 (s, br) | 1.53 (m) | 1.72 (s, br) |
| 11a 11b | 1.82 (ddd, 4.4, 7.6, 12.1) 1.75 (dd, 5.1, 12.8) | 1.52 (m) 1.63 (m) | 1.85 (ddd, 3.9, 9.2, 13.2) 1.62 (m) |
| 12a 12b | 2.43 (ddd, 5, 14, 17.9) 2.12 (ddd, 4.4, 13.4, 17.9) | 2.29(m) 2.17 (m) | 2.29 (ddd, 2.65, 4.64, 13.93) 1.98 (m) |
| 13 | - | - | - |
| 14 | 6.28 (s, br) | 6.25 (s, br) | 7.1 (s, br) |
| 15a 15b | 7.37 (t, 1.9) | 7.35 (s, br) | 4.8 (s, br) 4.8 (s, br) |
| 16 | 7.24 (s, br) | 7.20 (s) | - |
| 17 | 0.86 (d, 6.4) | 0.87 (d, 6.6) | 0.84 (d, 6.6) |
| 18a 18b | -- | 4.21 (d,11.3) 3.84 (d, 11.3) | -- |
| 19a 19b | 4.63 (dd, 2.56, 7.69) 4.33 (d, 7.69) | 3.98 (d, 10.6) 3.66 (d, 10.6) | 4.68 (dd, 1.9, 7.3) 4.3 (d, 7.9) |
| 20 | 0.89 (s) | 0.79 (s) | 0.9 (s) |
| Compounds | Emax | ED50 (mg/ear) |
|---|---|---|
| 1 | 71.42 | 0.3177 |
| 2 | 102.04 | 0.3601 |
| 3 | 120.48 | 0.1286 |
| 5 | 149.25 | 0.3619 |
| 6 | 103.09 | 0.1662 |
© 2020 by the authors. Licensee MDPI, Basel, Switzerland. This article is an open access article distributed under the terms and conditions of the Creative Commons Attribution (CC BY) license (http://creativecommons.org/licenses/by/4.0/).
Share and Cite
Ana Silvia, G.-R.; Gabriela, T.-T.; Maribel, H.-R.; Nayeli, M.-B.; José Luis, T.-E.; Alejandro, Z.; Manasés, G.-C. Effect of Terpenoids and Flavonoids Isolated from Baccharis conferta Kunth on TPA-Induced Ear Edema in Mice. Molecules 2020, 25, 1379. https://doi.org/10.3390/molecules25061379
Ana Silvia G-R, Gabriela T-T, Maribel H-R, Nayeli M-B, José Luis T-E, Alejandro Z, Manasés G-C. Effect of Terpenoids and Flavonoids Isolated from Baccharis conferta Kunth on TPA-Induced Ear Edema in Mice. Molecules. 2020; 25(6):1379. https://doi.org/10.3390/molecules25061379
Chicago/Turabian StyleAna Silvia, Gutiérrez-Román, Trejo-Tapia Gabriela, Herrera-Ruiz Maribel, Monterrosas-Brisson Nayeli, Trejo-Espino José Luis, Zamilpa Alejandro, and González-Cortazar Manasés. 2020. "Effect of Terpenoids and Flavonoids Isolated from Baccharis conferta Kunth on TPA-Induced Ear Edema in Mice" Molecules 25, no. 6: 1379. https://doi.org/10.3390/molecules25061379
APA StyleAna Silvia, G.-R., Gabriela, T.-T., Maribel, H.-R., Nayeli, M.-B., José Luis, T.-E., Alejandro, Z., & Manasés, G.-C. (2020). Effect of Terpenoids and Flavonoids Isolated from Baccharis conferta Kunth on TPA-Induced Ear Edema in Mice. Molecules, 25(6), 1379. https://doi.org/10.3390/molecules25061379

