Pharmacokinetics of Two Chlorine-Substituted Bis-Pyridinium Mono-Aldoximes with Regenerating Effect on Butyrylcholinesterase
Abstract
1. Introduction
2. Results
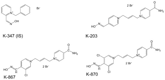
- K-203 (i.m. dose: 30 µmol) 21,086 µmol min L−1
- K-867 (i.m. dose: 3 µmol) 1,287 µmol min L−1
- K-867 (i.m. dose: 30 µmol) 12,199 µmol min L−1
- K-870 (i.m. dose: 100 µmol) 27,227 µmol min L−1
3. Materials and Methods
4. Conclusions
Author Contributions
Funding
Acknowledgments
Conflicts of Interest
References
- Okumura, T.; Suzuki, K.; Fukuda, A.; Kohama, A.; Takasu, N.; Ishimatsu, S.; Hinohara, S. The Tokyo subway sarin attack: Disaster management, Part 1: Community emergency response. Acad. Emerg. Med. 1998, 5, 613–617. [Google Scholar] [CrossRef] [PubMed]
- John, H.; Van der Schans, M.J.; Koller, M.; Spruit, H.E.T.; Worek, F.; Thiermann, H.; Noort, D. Fatal sarin poisoning in Syria 2013: Forensic verification within an international laboratory network. Forensic Toxicol. 2018, 36, 61–71. [Google Scholar] [CrossRef] [PubMed]
- Droste, D.J.; Shelley, M.L.; Gearhart, J.M.; Kempisty, D.M. A systems dynamics approach to the efficacy of oxime therapy for mild exposure to sarin gas. Am. J. Disaster Med. 2016, 11, 89–118. [Google Scholar] [CrossRef] [PubMed]
- Petroianu, G.A.; Kalasz, H. Comparison of the ability of pyridinium aldoximes to reactivate human RPC cholinesterases inhibited by ethyl- and methyl paraoxone. Curr. Org. Chem. 2007, 11, 1624–1634. [Google Scholar] [CrossRef]
- Strelitz, J.; Engel, L.S.; Keifer, M.C. Blood acetylcholinesterase and butyrylcholinesterase as biomarkers of cholinesterase depression among pesticide handlers. Occup. Environ. Med. 2014, 71, 842–847. [Google Scholar] [CrossRef] [PubMed]
- Szegi, P.; Kalász, H.; Laufer, R.; Kuca, K.; Tekes, K. Pyridinium aldoxime analysis by HPLC: The method for studies on pharmacokinetics and stability. Anal. Bioanal. Chem. 2010, 397, 579–586. [Google Scholar] [CrossRef] [PubMed]
- Nurulain, S.M.; Ohja, S.; Dharensekaran, S.; Kuca, K.; Nalin, N.; Sharma, C.; Adem, A.; Kalász, H. HPLC determination of K027 in the body of pregnant mice. Acta Chromatogr. 2017, 29, 85–93. [Google Scholar] [CrossRef]
- Kalász, H.; Laufer, R.; Szegi, P.; Kuca, K.; Musilek, K.; Tekes, K. HPLC study of the pharmacokinetics of K-203. Acta Chromatogr. 2008, 20, 575–584. [Google Scholar] [CrossRef]
- Kalász, H.; Szökő, É.; Tábi, T.; Petroianu, G.A.; Lorke, D.E.; Alafifi, O.A.; Almerri, S.A.; Tekes, K. Analysis of pralidoxime in serum, brain and CSF of rats. Med. Chem. 2009, 5, 237–241. [Google Scholar] [CrossRef]
- Sakurada, K.; Matsubara, K.; Shimizu, K.; Shiono, H.; Seto, Y.; Tsuge, K.; Yoshino, M.; Sakai, I.; Mukoyama, H.; Takatori, T. Pralidoxime iodide (2-pAM) penetrates across the blood-brain barrier. Neurochem. Res. 2003, 28, 1401–1407. [Google Scholar] [CrossRef]
- Okuno, S.; Sakurada, K.; Ohta, H.; Ikegaya, H.; Kazui, Y.; Akutsu, T.; Takatori, T.; Iwadate, K. Blood-brain barrier penetration of novel pyridinealdoxime methiodide (PAM)-type oximes examined by brain microdialysis with LC-MS/MS. Toxicol. Appl. Pharmacol. 2008, 227, 8–15. [Google Scholar] [CrossRef] [PubMed]
- Gyenge, M.; Kalász, H.; Petroianu, G.A.; Laufer, R.; Kuca, K.; Tekes, K. Measurement of K-27, an oxime-type cholinesterase reactivator by high-performance liquid chromatography with electrochemical detection from different biological samples. J. Chromatogr. A 2007, 1161, 146–151. [Google Scholar] [CrossRef] [PubMed]
- Csermely, T.; Kalász, H.; Petroianu, G.A.; Kuca, K.; Darvas, F.; Ludányi, K.; Mudhafar, A.A.; Tekes, K. Analysis of pyridinium aldoximes-a chromatographic approach. Curr. Med. Chem. 2008, 15, 2401–2418. [Google Scholar] [CrossRef] [PubMed]
- Kalász, H.; Szegi, P.; Jánoki, G.; Balogh, L.; Pöstényi, Z.; Musilek, K.; Petroianu, G.A.; Siddiq, A.; Tekes, K. Study on medicinal chemistry of K203 in Wistar rats and Beagle dogs. Curr. Med. Chem. 2013, 20, 2137–2144. [Google Scholar] [CrossRef] [PubMed]
- Nurulain, S.M.; Kalász, H.; Szegi, P.; Kuca, K.; Adem, A.; Hasan, M.Y.B.; Hashemi, F.; Tekes, K. HPLC analysis in drug level monitoring of K027. Acta Chromatogr. 2013, 25, 703–710. [Google Scholar] [CrossRef]
- Kalász, H.; Nurulain, S.M.; Veress, G.; Antus, S.; Darvas, F.; Adeghate, E.; Adem, A.; Hashemi, F.; Tekes, K. Mini review on blood-brain barrier penetration of pyridinium aldoximes. J. Appl. Toxicol. 2015, 35, 116–123. [Google Scholar] [CrossRef]
- Petroianu, G.A.; Lorke, D.E.; Hasan, M.Y.; Adem, A.; Sheen, R.; Nurulain, S.M.; Kalász, H. Paraoxon has only a minimal effect on pralidoxime brain concentration in rats. J. Appl. Toxicol. 2007, 27, 350–357. [Google Scholar] [CrossRef]
- Karasova, J.Z.; Kvetina, J.; Tacheci, I.; Radochova, V.; Musilek, K.; Kuca, K.; Bures, J. Pharmacokinetic profile of promising acetylcholinesterase reactivators K027 and K203 in experimental pigs. Toxicol. Lett. 2017, 273, 20–25. [Google Scholar] [CrossRef]
- Jeong, H.C.; Park, N.J.; Chae, C.H.; Musilek, K.; Kassa, J.; Kuca, K.; Jung, Y.S. Fluorinated pyridinium oximes as potential reactivators for acetylcholinesterases inhibited by paraoxon organophosphorus agent. Bioorg. Med. Chem. 2009, 17, 6213–6217. [Google Scholar] [CrossRef]
- Kim, T.H.; Kuca, K.; Jun, D.; Jung, Y.S. Design and synthesis of new bis-pyridinium oxime reactivators for acetylcholinesterase inhibited by organophosphorous nerve agents. Bioorg. Med. Chem. Lett. 2005, 15, 2914–2917. [Google Scholar] [CrossRef]
- Jun, D.; Musilova, L.; Pohanka, M.; Jung, S.J.; Bostik, P.; Kuca, K. Reactivation of human acetylcholinesterase and butyrylcholinesterase inhibited by leptophos-oxon with different oxime reactivators in vitro. Int. J. Mol. Sci. 2010, 11, 2856–2863. [Google Scholar] [CrossRef] [PubMed]
- Kassa, J.; Karasova, J.Z.; Musilek, K.; Kuca, K.; Jung, A.Y. A comparison of the neuroprotective efficacy of newly developed oximes (K117, K127) and currently available oxime (obidoxime) in tabun-poisoned rats. Toxicol. Mech. Methods 2009, 19, 232–238. [Google Scholar] [CrossRef] [PubMed][Green Version]
- Winter, M.; Wille, T.; Musilek, K.; Kuca, K.; Thiermann, H.; Worek, F. Investigation of the reactivation kinetics of a large series of bispyridinium oximes with organophosphate-inhibited human acetylcholinesterase. Toxicol. Lett. 2016, 244, 136–142. [Google Scholar] [CrossRef] [PubMed]
- Lorke, D.E.; Kalasz, H.; Petroianu, G.A.; Tekes, K. Entry of oximes into the brain: A review. Curr. Med. Chem. 2008, 15, 743–753. [Google Scholar] [CrossRef]
- Zorbaz, T.; Malinak, D.; Maraković, N.; Maček, H.N.; Zandona, A.; Novotny, M.; Skarka, A.; Andrys, R.; Benkova, M.; Soukup, O.; et al. Pyridinium Oximes with Ortho-Positioned Chlorine Moiety Exhibit Improved Physicochemical Properties and Efficient Reactivation of Human Acetylcholinesterase Inhibited by Several Nerve Agents. J. Med. Chem. 2018, 61, 10753–10766. [Google Scholar] [CrossRef]
- Tekes, K.; Karvaly, G.; Nurulain, S.; Kuca, K.; Musilek, K.; Adeghate, E.; Jung, Y.S.; Kalász, H. Pharmacokinetics of K117 and K127, two novel antidote candidates to treat Tabun poisoning. Chem. Biol. Interact. 2019, 310, 108737. [Google Scholar] [CrossRef]
- Karvaly, G.B.; Szimrók, Z.; Fúrész, J.; Tekes, K.; Kuca, K.; Kalász, H. A simple, high-throughput assay of cholinesterase reactivators in serum. J. Sep. Sci. 2020. (under review). [Google Scholar]
Sample Availability: Samples of the compounds included in this study are available from the authors. |








© 2020 by the authors. Licensee MDPI, Basel, Switzerland. This article is an open access article distributed under the terms and conditions of the Creative Commons Attribution (CC BY) license (http://creativecommons.org/licenses/by/4.0/).
Share and Cite
Kalász, H.; Szimrók, Z.; Karvaly, G.; Adeghate, J.; Tekes, K. Pharmacokinetics of Two Chlorine-Substituted Bis-Pyridinium Mono-Aldoximes with Regenerating Effect on Butyrylcholinesterase. Molecules 2020, 25, 1250. https://doi.org/10.3390/molecules25051250
Kalász H, Szimrók Z, Karvaly G, Adeghate J, Tekes K. Pharmacokinetics of Two Chlorine-Substituted Bis-Pyridinium Mono-Aldoximes with Regenerating Effect on Butyrylcholinesterase. Molecules. 2020; 25(5):1250. https://doi.org/10.3390/molecules25051250
Chicago/Turabian StyleKalász, Huba, Zoltán Szimrók, Gellért Karvaly, Jennifer Adeghate, and Kornélia Tekes. 2020. "Pharmacokinetics of Two Chlorine-Substituted Bis-Pyridinium Mono-Aldoximes with Regenerating Effect on Butyrylcholinesterase" Molecules 25, no. 5: 1250. https://doi.org/10.3390/molecules25051250
APA StyleKalász, H., Szimrók, Z., Karvaly, G., Adeghate, J., & Tekes, K. (2020). Pharmacokinetics of Two Chlorine-Substituted Bis-Pyridinium Mono-Aldoximes with Regenerating Effect on Butyrylcholinesterase. Molecules, 25(5), 1250. https://doi.org/10.3390/molecules25051250
