Use of Oak and Cherry Wood Chips during Alcoholic Fermentation and the Maturation Process of Rosé Wines: Impact on Phenolic Composition and Sensory Profile
Abstract
1. Introduction
2. Results
2.1. Evolution of General Phenolic Composition and Color Parameters during Alcoholic Fermentation
2.2. Physicochemical Composition of Rosé Wines
2.3. Evolution of General Phenolic Composition and Color Parameters of Rosé Wines During Maturation
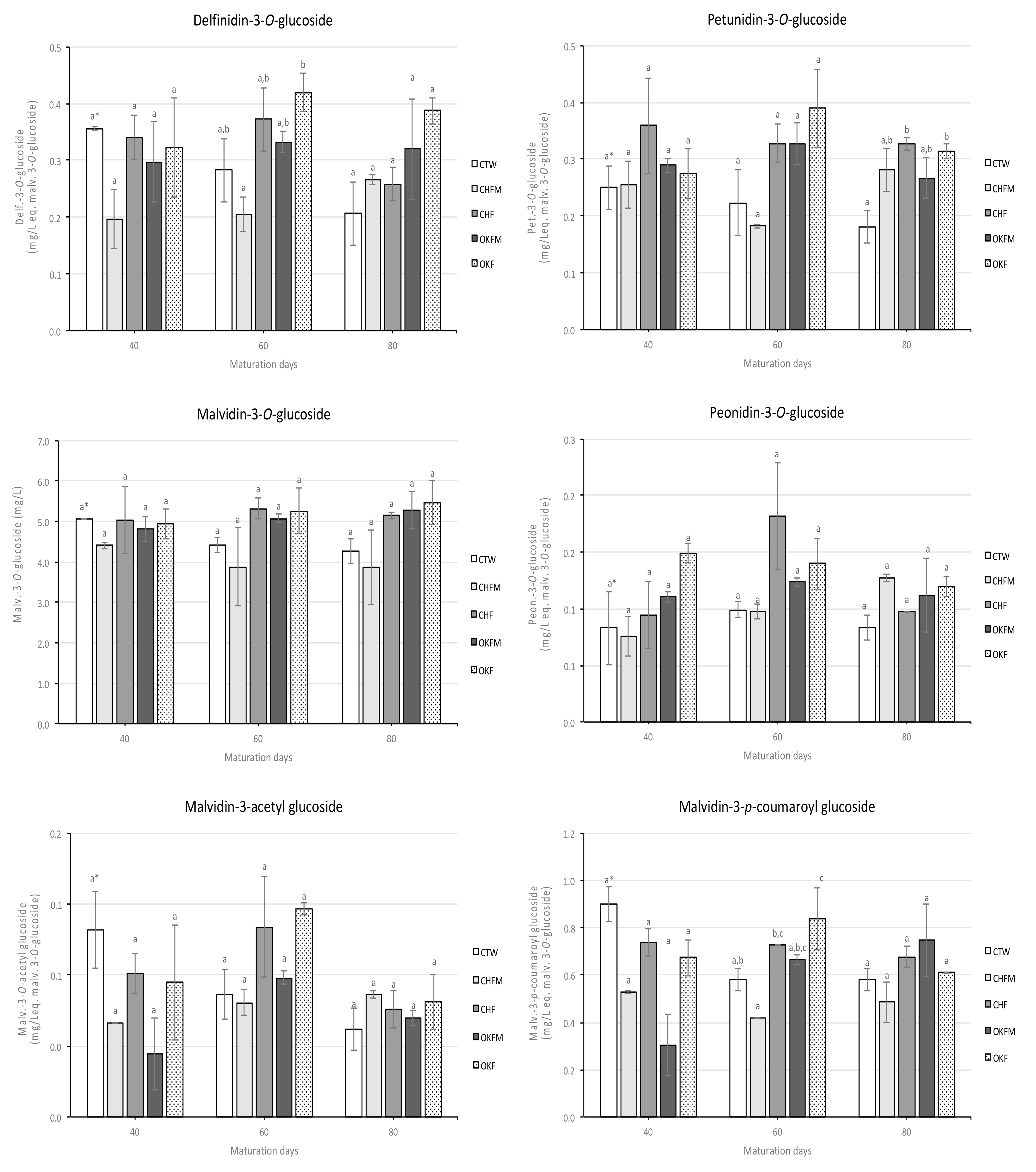
2.4. Evolution of Individual Phenolic Compounds of Rosé Wines during Maturation
2.5. Evolution of Sensory Profile of Rosé Wines during Maturation
2.6. PCA Applied to Rosé Musts and Wines Characterization
3. Discussion
3.1. General Phenolic Composition and Color Parameter Changes in Rosé Musts and Wines
3.2. Evolution of Individual Phenolic Compounds of Rosé Wines
3.3. Sensory Profile of Rosé Wines
4. Materials and Methods
4.1. Grapes and Winemaking Process
4.2. Experimental Conditions
4.3. General Physicochemical Characterization
4.4. Determination of Global Phenolic Parameters
4.5. Fractionation of Proanthocyanidins According to Their Degree of Polymerization
4.6. HPLC Analysis of Individual Flavanols
4.7. HPLC Analysis of Individual Monomeric Anthocyanins
4.8. Sensory Evaluation
4.9. Statistical Analysis
5. Conclusions
Author Contributions
Funding
Acknowledgments
Conflicts of Interest
References
- André, P.; Bénard, P.; Bourzeix, M.; Flanzy, C. Vinification par maceration carbonique. Élaboration de vins rosés. Annales de Technologie Agricole 1980, 29, 497–508. [Google Scholar]
- Fauvet, J.; Guittard, A. La vinification en rosé. In Oenologie, Fondements Scientifiques et Technologiques; Flanzy, C., Ed.; Tec & Doc.: Paris, France, 1998; pp. 739–751. [Google Scholar]
- Salinas, M.R.; Garijo, J.; Pardo, F.; Zalacain, A.; Alonso, G.L. Influence of prefermentative maceration temperature on the colour and the phenolic and volatile composition of rosé wines. J. Sci. Food Agric. 2005, 85, 1527–1536. [Google Scholar] [CrossRef]
- Ribéreau-Gayon, P.; Glories, Y.; Maujean, A.; Dubourdieu, D. Handbook of Enology I—The Microbiology of Wine and Vinifications, 2nd ed.; John Wiley & Sons Ltd.: Chichester, UK, 2006. [Google Scholar]
- Puértolas, E.; Saldaña, G.; Condón, S.; Álvarez, I.; Raso, J. Evolution of polyphenolic compounds in red wine from Cabernet Sauvignon grapes processed by pulsed electric fields during aging in bottle. Food Chem. 2010, 119, 1063–1070. [Google Scholar] [CrossRef]
- Suriano, S.; Basile, T.; Tarricone, L.; Di Gennaro, D.; Tamborra, P. Effects of skin maceration time on the phenolic and sensory characteristics of Bombino Nero rosé wines. Ital. J. Agron. 2015, 10, 21–29. [Google Scholar] [CrossRef]
- Salinas, M.R.; Garijo, J.; Pardo, F.; Zalacain, A.; Alonso, G.L. Color, polyphenol, and aroma compounds in rosé wines after prefermentative maceration and enzymatic treatments. Am. J. Enol. Vitic. 2003, 54, 195–202. [Google Scholar]
- Puértolas, E.; Saldaña, G.; Álvarez, I.; Raso, J. Experimental design approach for the evaluation of anthocyanin content of rosé wines obtained by pulsed electric fields. Influence of temperature and time of maceration. Food Chem. 2011, 126, 1482–1487. [Google Scholar] [CrossRef]
- Gil, M.; Louazil, P.; Iturmendi, N.; Moine, V.; Cheynier, V.; Saucier, C. Effect of polyvinylpolypyrrolidone treatment on rosés wines during fermentation: Impact on color, polyphenols and thiol aromas. Food Chem. 2019, 295, 493–498. [Google Scholar] [CrossRef]
- Radeka, S.; Lukić, I.; Peršuric, D. Influence of different maceration treatments on the aroma profile of rosé and red wines from Croatian aromatic cv. Muškat ruža porečki (Vitis vinifera L.). Food Technol. Biotechnol. 2012, 50, 442–453. [Google Scholar]
- Wang, J.; Capone, D.L.; Wilkinson, K.L.; Jeffery, D.W. Chemical and sensory profiles of rosé wines from Australia. Food Chem. 2016, 196, 682–693. [Google Scholar] [CrossRef]
- Wang, Q.J.; Spence, C. Drinking through rosé-coloured glasses: Influence of wine colour on the perception of aroma and flavour in wine experts and novices. Food Res. Int. 2019, 126, 108678. [Google Scholar] [CrossRef]
- Wirth, J.; Caillé, S.; Souquet, J.M.; Samson, A.; Fulcrand, H.; Cheynier, V.; Dieval, J.B.; Vidal, S. Impact of post-bottling oxygen exposure on the sensory characteristics and phenolic composition of Grenache rosé wines. Food Chem. 2012, 132, 1861–1871. [Google Scholar] [CrossRef]
- Guaita, M.; Petrozziello, M.; Motta, S.; Bonello, F.; Cravero, M.C.; Marulli, C.; Bosso, A. Effect of the closure type on the evolution of the physical-chemical and sensory characteristics of a Montepulciano d’Abruzzo rosé wine. J. Food Sci. 2013, 78, C160–C169. [Google Scholar] [CrossRef] [PubMed]
- Santos, F.; Correia, A.C.; Ortega-Heras, M.; García-Lomillo, J.; González-SanJosé, M.L.; Jordão, A.M.; Ricardo-da-Silva, J.M. Acacia, cherry and oak wood chips used for a short aging period of rosé wines: Effects on general phenolic parameters, volatile composition and sensory profile. J. Sci. Food Agric. 2019, 99, 3588–3603. [Google Scholar] [CrossRef] [PubMed]
- Sartor, S.; Toaldo, I.M.; Panceri, C.P.; Caliari, V.; Luna, A.S.; Gois, J.S.; Bordignon-Luiz, M.T. Changes in organic acids, polyphenolic and elemental composition of rosé sparkling wines treated with mannoproteins during over-lees aging. Food Res. Int. 2019, 124, 34–42. [Google Scholar] [CrossRef]
- De Coninck, G.; Jordão, A.M.; Ricardo-da-Silva, J.M.; Laureano, O. Evolution of phenolic composition and sensory proprieties in red wine aged in contact with Portuguese and French oak wood chips. J. Int. Sci. Vigne Vin 2006, 40, 23–34. [Google Scholar] [CrossRef]
- Chinnici, F.; Natali, N.; Sonni, F.; Bellachioma, A.; Riponi, C. Comparative changes in color features and pigment composition of red wines aged in oak and cherry wood casks. J. Agric. Food Chem. 2011, 59, 6575–6582. [Google Scholar] [CrossRef]
- Chinnici, F.; Natali, N.; Bellachioma, A.; Versari, A.; Riponi, C. Changes in phenolic composition of red wines aged in cherry wood. LWT Food Sci. Technol. 2015, 60, 977–984. [Google Scholar] [CrossRef]
- Fernández de Simón, B.; Martínez, J.; Sanz, M.; Cadahía, E.; Esteruelas, E.; Muñoz, A.M. Volatile compounds and sensorial characterization of red wine aged in cherry, chestnut, false acacia, ash and oak wood barrels. Food Chem. 2014, 147, 346–356. [Google Scholar] [CrossRef]
- Tavares, M.; Jordão, A.M.; Ricardo-da-Silva, J.M. Impact of cherry, acacia and oak chips on red wine phenolic parameters and sensory profile. OENO One 2017, 51, 329–342. [Google Scholar] [CrossRef]
- Laqui-Estaña, J.; López-Solís, R.; Peña-Neira, A.; Medel-Marabolí, M.; Obreque-Slier, E. Wines in contact with oak wood: The impact of the variety (Carménère and Cabernet Sauvignon), format (barrels, chips and staves), and aging time on the phenolic composition. J. Sci. Food Agric. 2019, 99, 436–448. [Google Scholar] [CrossRef]
- Kozlovic, G.; Jeromel, A.; Maslov, L.; Pollnitz, A.; Orlic, S. Use of acacia barrique barrels: Influence on the quality of Malvazika from Istria wines. Food Chem. 2010, 120, 698–702. [Google Scholar] [CrossRef]
- Nunes, P.; Muxagata, S.; Correia, A.C.; Nunes, F.; Cosme, F.; Jordão, A.M. Effect of oak wood barrel capacity and utilization time on phenolic and sensorial profile evolution of an Encruzado white wine. J. Sci. Food Agric. 2017, 97, 4847–4856. [Google Scholar] [CrossRef] [PubMed]
- Delia, L.; Jordão, A.M.; Ricardo-da-Silva, J.M. Influence of different wood chips species (oak, acacia and cherry) used in a short period of aging on the quality of ‘Encruzado’ white wines. Mitt. Klosterneuburg 2017, 67, 84–96. [Google Scholar]
- Gutiérrez-Afonso, V.L. Sensory descriptive analysis between white wines fermented with oak chips and in barrels. J. Food Sci. 2002, 67, 2415–2419. [Google Scholar] [CrossRef]
- Kyraleou, M.; Tzanakouli, E.; Kotseridis, Y.; Chira, K.; Ligas, I.; Kallithraka, S.; Teissedre, P.-L. Addition of wood chips in red wine during and after alcoholic fermentation: Differences in color parameters, phenolic content and volatile composition. OENO One 2016, 50. [Google Scholar] [CrossRef]
- Fernández de Simón, B.; Cadahía, E.; Muiño, I.; Del Álamo-Sanza, M.; Nevares, I. Volatile composition of toasted oak chips and staves and of red wine aged with them. Am. J. Enol. Vitic. 2010, 61, 157–165. [Google Scholar]
- Del Álamo-Sanza, M.; Fernandez Escudero, J.A.; De Castro Torio, R. Changes in phenolic compounds and colour parameters of red wine aged with oak chips and in oak barrels. Food Sci. Technol. Int. 2004, 10, 233–241. [Google Scholar] [CrossRef]
- Gordillo, B.; Cejudo-Bastante, M.J.; Rodriguez-Pulido, F.J.; Gonzalez-Miret, M.L.; Heredia, F.J. Application of the differential colorimetry and polyphenolic profile to the evaluation of the chromatic quality of Tempranillo red wines elaborated in warm climate. Influence of the presence of oak wood chips during fermentation. Food Chem. 2013, 141, 2184–2190. [Google Scholar] [CrossRef]
- Jordão, A.M.; Ricardo-da-Silva, J.M.; Laureano, O.; Mullen, W.; Crozier, A. Effect of ellagitannins, ellagic acid and some volatile compounds from oak wood on the (+)-catechin, procyanidin B1 and malvidin-3-glucoside content of model wine solutions. Aust. J. Grape Wine Res. 2008, 14, 260–270. [Google Scholar] [CrossRef][Green Version]
- Brouillard, R.; Dangles, O. Anthocyanins molecular interactions: The first step in the formation of new pigments during wine aging. Food Chem. 1994, 51, 365–371. [Google Scholar] [CrossRef]
- He, F.; Liang, N.N.; Mu, L.; Pan, Q.H.; Wang, J.; Reeves, M.J.; Duan, C.Q. Anthocyanins and their variation in red wines II. Anthocyanin derived pigments and their color evolution. Molecules 2012, 17, 1483–1519. [Google Scholar] [CrossRef] [PubMed]
- Darias-Martín, J.; Carrillo-López, M.; Echavarri-Granado, J.F.; Díaz-Romero, C. The magnitude of copigmentation in the colour of aged red wines made in the Canary Islands. Eur. Food Res. Technol. 2007, 224, 643–648. [Google Scholar] [CrossRef]
- Boulton, R.B. The copigmentation of anthocyanins and its role in the color of red wine. A critical review. Am. J. Enol. Vitic. 2001, 52, 67–87. [Google Scholar]
- Hermosín-Gutiérrez, I.; Saánchez-Lorenzo, E.; Vicario-Espinosa, A. Phenolic composition and magnitude of copigmentation in long and shortly aged red wines made from the cultivars, Cabernet Sauvignon, Cencibel, and Syrah. Food Chem. 2005, 92, 269–283. [Google Scholar] [CrossRef]
- Kelebek, H.; Canbas, A.; Selli, S. HPLC-DAD–MS analysis of anthocyanins in rose wine made from cv. Öküzgözü grapes, and effect of maceration time on anthocyanin content. Chromatographia 2007, 66, 207–212. [Google Scholar] [CrossRef]
- Jordão, A.M.; Lozano, V.; González-SanJosé, M.L. Influence of different wood chip extracts species on color changes and anthocyanin content in synthetic wine solutions. Foods 2019, 8, 254. [Google Scholar] [CrossRef] [PubMed]
- Barrera-García, V.D.; Gougeon, R.D.; Majo, D.D.; Aguirre, C.; Voilley, A.; Chassagne, D. Different sorption behaviors for wine polyphenols in contact with oak wood. J. Agric. Food Chem. 2007, 55, 7021–7027. [Google Scholar] [CrossRef]
- Del Álamo-Sanza, M.; Domínguez, I.N. Wine aging in bottle from artificial systems (staves and chips) and oak woods: Anthocyanin composition. Anal. Chim. Acta 2006, 563, 255–263. [Google Scholar] [CrossRef]
- Gambuti, A.; Capuano, R.; Lisanti, M.T.; Strollo, D.; Moio, L. Effect of aging in new oak, one year-used oak, chestnut barrels and bottle on color, phenolics and gustative profile of three monovarietal red wines. Eur. Food Res. Technol. 2010, 231, 455–465. [Google Scholar] [CrossRef]
- Sanz, M.; Cadahía, E.; Esteruelas, E.; Muñoz, A.M.; Fernández de Simón, B.; Hernández, T.; Estrella, I. Phenolic compounds in cherry (Prunus avium) heartwood with a view to their use in cooperage. J. Agric. Food Chem. 2010, 58, 4907–4914. [Google Scholar] [CrossRef]
- Zhang, B.; Cai, J.; Duan, C.-Q.; Reeves, M.J.; He, F. A Review of polyphenolics in oak woods. Int. J. Mol. Sci. 2015, 16, 6978–7014. [Google Scholar] [CrossRef] [PubMed]
- Jordão, A.M.; Lozano, V.; Correia, A.C.; Ortega-Heras, M.; González-SanJosé, M.L. Comparative analysis of volatile and phenolic composition of alternative wood chips from cherry, acacia and oak for potential use in enology. BIO Web Conf. 2016, 7, 02012. [Google Scholar] [CrossRef]
- Chira, K.; Teissedre, P.L. Chemical and sensory evaluation of wine matured in oak barrel: Effect of oak species involved and toasting process. Eur. Food Res. Technol. 2015, 240, 533–547. [Google Scholar] [CrossRef]
- Férnandez de Simón, B.; Esteruelas, E.; Munõz, A.M.; Cadahía, E.; Sanz, M. Volatile compounds in acacia, chestnut, cherry, ash, and oak woods, with a view to their use in cooperage. J. Agric. Food Chem. 2009, 57, 3217–3227. [Google Scholar] [CrossRef] [PubMed]
- Alarcón, M.; Díaz-Maroto, M.C.; Pérez-Coello, M.S.; Alañón, M.E. Isolation of natural flavoring compounds from cooperage woods by pressurized hot water extraction (PHWE). Holzforschung 2018, 73, 295–303. [Google Scholar] [CrossRef]
- Pérez-Coello, M.S.; González-Viñas, M.A.; García-Romero, E.; Cabezudo, M.D.; Sanz, J. Chemical and sensory changes in white wines fermented in the presence of oak chips. Int. J. Food Sci. Technol. 2000, 35, 23–32. [Google Scholar] [CrossRef]
- Sánchez-Palomo, E.; Alonso-Villegas, R.; Delgado, J.A.; González-Viñas, M.S. Improvement of Verdejo white wines by contact with oak chips at different winemaking stages. LWT Food Sci. Technol. 2017, 79, 111–118. [Google Scholar] [CrossRef]
- Rodriguez-Bencomo, J.J.; Ortega-Heras, M.; Pérez-Magarino, S. Effect of alternative techniques to ageing on lees and use of non-toasted oak chips in alcoholic fermentation on the aromatic composition of red wine. Eur. Food Res. Technol. 2010, 230, 485–496. [Google Scholar] [CrossRef]
- Rapp, A.; Mandery, H. Wine aroma. Experientia 1986, 42, 873–884. [Google Scholar] [CrossRef]
- OIV. International Oenological Codex; Edition Officielle Organisation International de la Vigne et du Vin: Paris, France, 2014. [Google Scholar]
- Kramling, T.E.; Singleton, V.L. An estimate of the non flavonoid phenols in wines. Am. J. Enol. Vitic. 1969, 20, 86–92. [Google Scholar]
- Somers, T.C.; Evans, M.E. Spectral evaluation of young red wines: Anthocyanin equilibria, total phenolics, free and molecular SO2, “chemical age”. J. Sci. Food Agric. 1977, 28, 279–287. [Google Scholar] [CrossRef]
- Sun, B.; Leandro, C.; Ricardo-da-Silva, J.M.; Spranger, I. Separation of grape and wine proanthocyanidins according to their degree of polymerization. J. Agric. Food Chem. 1998, 46, 1390–1396. [Google Scholar] [CrossRef]
- Sun, B.; Ricardo-da-Silva, J.M.; Spranger, I. Critical factors of vanillin assay for catechins and proanthocyanidins. J. Agric. Food Chem. 1998, 46, 4267–4274. [Google Scholar] [CrossRef]
- Ricardo-da-Silva, J.M.; Rosec, J.P.H.; Bourzeix, M.; Heredia, N. Separation and quantitative determination of grape and wine procyanidins by high performance reversed fase liquid chromatography. J. Sci. Food Agric. 1990, 53, 8592. [Google Scholar] [CrossRef]
- Monagas, M.; Gómez-Cordovés, C.; Bartolomé, B.; Laureano, O.; Ricardo-da-Silva, J.M. Monomeric, oligomeric, and polymeric flavan-3-ol composition of wines and grapes from Vitis vinifera L. Cv. Graciano, Tempranillo, and Cabernet Sauvignon. J. Agric. Food Chem. 2003, 51, 6475–6481. [Google Scholar] [CrossRef]
- Dallas, C.; Laureano, O. Effects of pH, sulphur dioxide, alcohol content, temperature and storage time on colour composition of a young Portuguese red table wine. J. Sci. Food Agric. 1994, 65, 477–485. [Google Scholar] [CrossRef]
- ISO 3591. 1977. Sensory Analysis-Apparatus-Wine-Tasting Glass. Available online: http://www.iso.org/iso/rss.xlm?csnumber=9002&rss=detail (accessed on 20 November 2012).





| Alcoholic Fermentation Days | ||||||||||||||||||
|---|---|---|---|---|---|---|---|---|---|---|---|---|---|---|---|---|---|---|
| 0 | 2 | 6 | 8 | 10 | 20 | |||||||||||||
| Parameters | Rosé Musts | |||||||||||||||||
| CTM | OK | CH | CTM | OK | CH | CTM | OK | CH | CTM | OK | CH | CTM | OK | CH | CTM | OK | CH | |
| Total phenols index (absorbance units) | 10.33 a (1) ± 0.15 | 11.26b ± 0.02 | 12.06c ± 0.16 | 8.83 a ± 0.02 | 8.76 a ± 0.01 | 9.48 b ± 0.05 | 9.38 b ± 0.12 | 8.90 a ± 0.08 | 10.08c ± 0.07 | 9.58 a ± 0.07 | 10.00 b ± 0.05 | 10.05 b ± 0.08 | 9.65 a ± 0.13 | 10.26 b ± 0.02 | 10.46 b ± 0.05 | 9.21 a ± 0.12 | 10.41 b ± 0.10 | 10.80c ± 0.17 |
| Non-flavonoid phenols (absorbance units) | 4.06 a ± 0.12 | 4.98 b ± 0.11 | 4.79 b ± 0.01 | 3.88 b ± 0.05 | 3.69 a ± 0.03 | 3.75 a ± 0.03 | 4.00 a ± 0.15 | 4.11 a ± 0.02 | 4.55 b ± 0.01 | 3.90 a ± 0.19 | 4.41 a ± 0.06 | 4.23 a ± 0.33 | 3.92 a ± 0.03 | 3.89 a ± 0.05 | 4.17 b ± 0.02 | 3.62 a ± 0.02 | 3.85b ± 0.05 | 4.02c ± 0.02 |
| Flavonoid phenols (absorbance units) | 6.26 a ± 0.27 | 6.28 a ± 0.12 | 7.27 b ± 0.15 | 4.95 a ± 0.03 | 5.07 b ± 0.01 | 5.72c ± 0.03 | 5.37 b ± 0.06 | 4.78 a ± 0.06 | 5.53 b ± 0.08 | 5.68 a ± 0.11 | 5.58 a ± 0.09 | 5.81 a ± 0.24 | 5.72 a ± 0.09 | 6.37 b ± 0.07 | 6.29 b ± 0.05 | 5.59 a ± 0.14 | 6.56 b ± 0.15 | 6.77 b ± 0.19 |
| Total anthocyanins (mg/L) (2) | 50.78 a ± 2.02 | 56.92b ± 4.36 | 67.53c ± 1.23 | 48.12 b ± 1.04 | 36.88 a ± 1.38 | 44.78 b ± 4.25 | 44.14 b ± 1.15 | 30.74 a ± 1.11 | 37.76c ± 3.31 | 60.88 b ± 1.26 | 29.74 a ± 1.11 | 30.36 a ± 3.66 | 46.47 b ± 2.20 | 24.07 a ± 1.16 | 27.72 a ± 2.53 | 42.02c ± 1.14 | 35.04 b ± 2.34 | 24.04 a ± 1.09 |
| Colored anthocyanins (mg/L) (2) | 14.04 b ± 0.07 | 9.45 a ± 0.08 | 9.68 a ± 0.19 | 11.63 a ± 0.09 | 13.92 b ± 0.10 | 14.90c ± 0.04 | 8.37 a ± 0.03 | 8.97 a ± 0.01 | 10.29 b ± 0.03 | 11.31 b ± 0.02 | 9.38 a ± 0.06 | 9.23 a ± 0.08 | 7.88 b ± 0.03 | 8.23 c ± 0.03 | 7.42 a ± 0.10 | 9.17c ± 0.11 | 8.03 b ± 0.02 | 7.58 a ± 0.01 |
| Ionization degree of anthocyanins (%) | 27.67 b ± 1.09 | 16.66a ±1.16 | 14.33 a ± 0.34 | 24.18 a ± 0.48 | 37.77 b ± 1.16 | 33.48 b ± 3.22 | 18.97 a ± 0.47 | 29.21 a ± 1.10 | 29.28 a ± 2.64 | 18.58 a ± 0.34 | 31.56 b ± 1.38 | 30.67 b ± 3.27 | 16.99 a ± 0.89 | 34.25 b ± 1.73 | 26.90 c ± 2.33 | 21.84 a ± 0.72 | 22.98 a ± 1.51 | 31.56 b ± 1.48 |
| Total pigments (absorbance units) | 2.72 a ± 0.10 | 2.99 a ± 0.21 | 3.50 b ± 0.05 | 2.59 b ± 0.05 | 1.98 a ± 0.04 | 2.35 b ± 0.21 | 2.35 a ± 0.05 | 1.68 a ± 0.05 | 2.05 a ± 0.47 | 3.19 b ± 0.05 | 1.65 a ± 0.04 | 1.71 a ± 0.17 | 2.45 b ± 0.11 | 1.38 a ± 0.05 | 1.58 a ± 0.10 | 2.35c ± 0.05 | 1.98 b ± 0.11 | 1.48 a ± 0.03 |
| Polymeric pigments (absorbance units) | 0.11c ± 0.01 | 0.09 b ± 0.01 | 0.07 a ± 0.00 | 0.11 b ± 0.01 | 0.08 a ± 0.00 | 0.07 a ± 0.01 | 0.09 a ± 0.01 | 0.08 a ± 0.01 | 0.09 a ± 0.00 | 0.09 a ± 0.00 | 0.09 a ± 0.01 | 0.11 b ± 0.01 | 0.08 a ± 0.01 | 0.10 b ± 0.00 | 0.11 b ± 0.01 | 0.16 b ± 0.01 | 0.14 a ± 0.02 | 0.16 a ± 0.01 |
| Polymerization degree of pigments (%) | 4.13c ± 0.21 | 3.02 b ± 0.36 | 2.13 a ± 0.10 | 4.30 b ± 0.60 | 4.30 b ± 0.46 | 3.00 a ± 0.34 | 3.80 a ± 0.13 | 5.21 a ± 2.10 | 5.10 a ± 1.23 | 2.89 a ± 0.15 | 5.90 b ± 0.12 | 7.01 b ± 1.05 | 3.26 a ± 0.09 | 7.68 b ± 0.99 | 7.48 b ± 0.34 | 6.50 a ± 0.14 | 7.08 a ± 0.42 | 11.30 b ± 0.31 |
| Color intensity (absorbance units) | 1.29 b ± 0.02 | 0.92 a ± 0.01 | 0.87 a ± 0.03 | 1.07 a ± 0.03 | 1.17 b ± 0.00 | 1.20 b ± 0.00 | 0.77 a ± 0.01 | 0.83 b ± 0.00 | 0.95c ± 0.01 | 1.01c ± 0.00 | 0.87 a ± 0.01 | 0.93 b ± 0.01 | 0.72 a ± 0.01 | 0.82 b ± 0.01 | 0.81 b ± 0.02 | 1.01c ± 0.01 | 0.87 a ± 0.01 | 0.90 b ± 0.00 |
| Color hue (absorbance units) | 0.46 a ± 0.03 | 0.51c ± 0.06 | 0.48 b ± 0.01 | 0.45c ± 0.02 | 0.42 b ± 0.02 | 0.40 a ± 0.01 | 0.45 a ± 0.01 | 0.47 b ± 0.02 | 0.46a, b ± 0.00 | 0.45 a ± 0.01 | 0.47 b ± 0.02 | 0.50c ± 0.01 | 0.47 a ± 0.02 | 0.51 b ± 0.03 | 0.54 c ± 0.01 | 0.50 a ± 0.01 | 0.52 b ± 0.01 | 0.54 c ± 0.02 |
| Color due to copigmentation (%) | 64.38 a ± 3.11 | 61.19a ± 0.05 | 63.37 a ± 6.28 | 68.79 b ± 2.10 | 44.38 a ± 10.85 | 63.33 b ± 5.31 | 45.14a, b ± 2.71 | 39.84 a ± 5.29 | 53.26 b ± 1.88 | 63.47 a ± 13.82 | 44.02 a ± 0.36 | 48.98 a ± 3.45 | 43.03 a ± 2.73 | 41.05 a ± 0.06 | 48.55 b ± 0.183 | 61.44 c ± 2.07 | 32.63 a ± 1.66 | 43.73 b ± 6.64 |
| Maturation Days | |||||||||||||||
|---|---|---|---|---|---|---|---|---|---|---|---|---|---|---|---|
| 40 | 60 | 80 | |||||||||||||
| Rosé Wines | |||||||||||||||
| Parameters | CTW | OKF | OKFM | CHF | CHFM | CTW | OKF | OKFM | CHF | CHFM | CTW | OKF | OKFM | CHF | CHFM |
| Total phenols index (absorbance units) | 11.26b(1) ± 0.56 | 10.00 a ± 0.00 | 10.00 a ± 0.00 | 11.86 b ± 0.23 | 11.73 b ± 0.15 | 10.66 a ± 0.40 | 9.90 a ± 0.10 | 10.06 a ± 0.05 | 11.60b ± 0.17 | 12.06 b ± 0.55 | 10.76a,b ± 0.58 | 10.06a ± 0.05 | 10.16 a ± 0.00 | 11.93c ± 0.58 | 11.70b,c ± 0.17 |
| Non-flavonoid phenols (absorbance units) | 3.71 b ± 0.02 | 3.63 a ± 0.03 | 3.64 a ± 0.02 | 3.66a, b ± 0.00 | 3.82c ± 0.04 | 3.70 b ± 0.00 | 3.58c ± 0.06 | 3.65 b ± 0.01 | 3.67a, b ± 0.01 | 3.78 a ± 0.01 | 3.81c ± 0.00 | 3.59 a ± 0.02 | 3.63 a ± 0.01 | 3.73 b ± 0.02 | 3.78c ± 0.01 |
| Flavonoid phenols (absorbance units) | 7.55 b ± 0.54 | 6.37 a ± 0.03 | 6.36 a ± 0.02 | 8.20 b ± 0.22 | 7.91 b ± 0.11 | 6.96 a ± 0.40 | 6.31 a ± 0.14 | 6.41 a ± 0.04 | 7.92 b ± 0.16 | 8.28 b ± 0.55 | 6.95a, b ± 0.58 | 6.47 a ± 0.03 | 6.53 a ± 0.05 | 8.20c ± 0.57 | 7.91 b,c ± 0.15 |
| Total anthocyanins (mg/L) (2) | 36.40b ± 3.46 | 31.57a,b ± 1.15 | 31.62a,b ± 1.11 | 31.64a,b ± 1.88 | 24.93 a ± 5.99 | 32.51 a ± 2.67 | 33.24 a ± 1.09 | 31.14 a ± 1.13 | 28.36a ±0.07 | 31.38 a ± 3.19 | 32.94 a ± 1.41 | 34.09a ± 1.30 | 29.58 a ± 4.19 | 33.55a ± 4.02 | 32.87 a ± 1.95 |
| Colored anthocyanins (mg/L) (2) | 2.10 a ± 0.02 | 5.02 b ± 0.02 | 5.31c ± 0.02 | 4.96 b ± 0.20 | 5.08 b,c ± 0.03 | 2.14 a ± 0.06 | 4.04c ± 0.01 | 5.06 b ± 0.17 | 4.29d ± 0.04 | 4.59 b ± 0.07 | 1.72 a ± 0.08 | 3.28d ± 0.02 | 4.07 b ± 0.02 | 3.39c ± 0.04 | 4.36 b ± 0.03 |
| Ionization degree of anthocyanins (%) | 5.80 a ± 0.51 | 15.91 b ± 0.59 | 16.81 b ± 0.56 | 15.73 b ± 1.55 | 21.26 b ± 5.58 | 6.64 a ± 0.78 | 12.18 b ± 0.36 | 16.25c ± 0.50 | 15.13c ± 0.14 | 14.72c ± 1.26 | 5.25 a ± 0.48 | 9.64 b ± 0.30 | 13.96c ± 2.06 | 10.21b ± 1.22 | 13.31c ± 0.70 |
| Total pigments (absorbance units) | 1.95 b ± 0.15 | 1.78a, b ± 0.05 | 1.78a, b ± 0.05 | 1.81a, b ± 0.10 | 1.44 a ± 0.30 | 1.75 a ± 0.11 | 1.85 a ± 0.05 | 1.75 a ± 0.05 | 1.61 a ± 0.01 | 1.75 a ± 0.15 | 1.78 a ± 0.05 | 1.88 a ± 0.05 | 1.65 a ± 0.21 | 1.88 a ± 0.21 | 1.81 a ± 0.10 |
| Polymeric pigments (absorbance units) | 0.07 a ± 0.01 | 0.12 b ± 0.01 | 0.12 b ± 0.01 | 0.15c ± 0.01 | 0.12 b ± 0.02 | 0.07 a ± 0.01 | 0.11 b ± 0.01 | 0.11 b ± 0.01 | 0.11 b ± 0.01 | 0.10 b ± 0.01 | 0.08 a ± 0.01 | 0.10 b ± 0.01 | 0.10 b ± 0.01 | 0.13c ± 0.00 | 0.10 b ± 0.01 |
| Polymerization degree of pigments (%) | 4.11 a ± 0.94 | 6.91 b ± 0.22 | 6.84 b ± 0.16 | 7.78 b ± 0.24 | 8.56 b ± 1.59 | 4.32 a ± 0.92 | 6.14 b ± 0.08 | 6.63 b ± 0.17 | 7.34 b ± 0.14 | 6.26 b ± 0.89 | 4.62 a ± 0.58 | 5.75a,b ± 0.40 | 6.27 b ± 0.82 | 6.64 b ± 0.43 | 5.76a, b ± 0.25 |
| Color intensity (absorbance units) | 0.35 a ± 0.03 | 0.63 b ± 0.00 | 0.65 b ± 0.00 | 0.68 b ± 0.01 | 0.64 b ± 0.01 | 0.34 a ± 0.04 | 0.54 b ± 0.01 | 0.62c ± 0.01 | 0.58 b,c ± 0.01 | 0.58 b,c ± 0.02 | 0.35 a ± 0.02 | 0.48 b ± 0.01 | 0.52 b,c ± 0.00 | 0.54c ± 0.01 | 0.55c ± 0.01 |
| Color hue (absorbance units) | 0.81c ± 0.02 | 0.62 a, b ± 0.01 | 0.61 a ± 0.01 | 0.66 b ± 0.00 | 0.63a, b ± 0.01 | 0.79 b ± 0.04 | 0.65 a ± 0.02 | 0.61 a ± 0.01 | 0.66 a ± 0.02 | 0.63 a ± 0.01 | 0.93d ± 0.03 | 0.68 b ± 0.01 | 0.63 a ± 0.01 | 0.73c ± 0.01 | 0.63 a ± 0.01 |
| Color due to copigmentation (%) | 41.48 a ± 2.90 | 36.83 a ± 0.16 | 36.64 a ± 2.01 | 35.50 a ± 2.34 | 41.95 a ± 6.58 | 43.76 b ± 0.13 | 38.65a,b ± 0.23 | 37.46a,b ± 2.35 | 36.05a ± 5.62 | 41.53a,b ± 0.45 | 43.02 a ± 0.61 | 38.76a ± 2.48 | 42.90 a ± 2.59 | 38.75a ± 6.28 | 42.40 a ± 0.35 |
| Experimental Conditions | Sample Codes |
|---|---|
| Alcoholic fermentation | |
| Rosé must without wood chip contact | CTM |
| Rosé must with oak (Quercus petraea) wood chip contact | OK |
| Rosé must with cherry (Prunus avium) wood chip contact | CH |
| Aging process | |
| Rosé wine produced without wood chip contact during alcoholic fermentation and maturation process | CTW |
| Rosé wine produced with oak (Quercus petraea) wood chip contact only during alcoholic fermentation | OKF |
| Rosé wine produced with oak (Quercus petraea) wood chip contact during alcoholic fermentation and maturation process | OKFM |
| Rosé wine produced with cherry (Prunus avium) wood chip contact only during alcoholic fermentation | CHF |
| Rosé wine produced with cherry (Prunus avium) wood chip contact during alcoholic fermentation and maturation process | CHFM |
© 2020 by the authors. Licensee MDPI, Basel, Switzerland. This article is an open access article distributed under the terms and conditions of the Creative Commons Attribution (CC BY) license (http://creativecommons.org/licenses/by/4.0/).
Share and Cite
Nunes, I.; Correia, A.C.; Jordão, A.M.; M. Ricardo-da-Silva, J. Use of Oak and Cherry Wood Chips during Alcoholic Fermentation and the Maturation Process of Rosé Wines: Impact on Phenolic Composition and Sensory Profile. Molecules 2020, 25, 1236. https://doi.org/10.3390/molecules25051236
Nunes I, Correia AC, Jordão AM, M. Ricardo-da-Silva J. Use of Oak and Cherry Wood Chips during Alcoholic Fermentation and the Maturation Process of Rosé Wines: Impact on Phenolic Composition and Sensory Profile. Molecules. 2020; 25(5):1236. https://doi.org/10.3390/molecules25051236
Chicago/Turabian StyleNunes, Inês, Ana C. Correia, António M. Jordão, and Jorge M. Ricardo-da-Silva. 2020. "Use of Oak and Cherry Wood Chips during Alcoholic Fermentation and the Maturation Process of Rosé Wines: Impact on Phenolic Composition and Sensory Profile" Molecules 25, no. 5: 1236. https://doi.org/10.3390/molecules25051236
APA StyleNunes, I., Correia, A. C., Jordão, A. M., & M. Ricardo-da-Silva, J. (2020). Use of Oak and Cherry Wood Chips during Alcoholic Fermentation and the Maturation Process of Rosé Wines: Impact on Phenolic Composition and Sensory Profile. Molecules, 25(5), 1236. https://doi.org/10.3390/molecules25051236

