Design and Synthesis of Molecular Hybrids of Sophora Alkaloids and Cinnamic Acids as Potential Antitumor Agents
Abstract
1. Introduction
2. Results and Discussion
2.1. Chemistry
2.2. Biological Evaluation
2.2.1. Antiproliferative Activity and Structure-Activity Relationships Analysis
2.2.2. The Morphological Analysis by Hoechst 33258 Staining
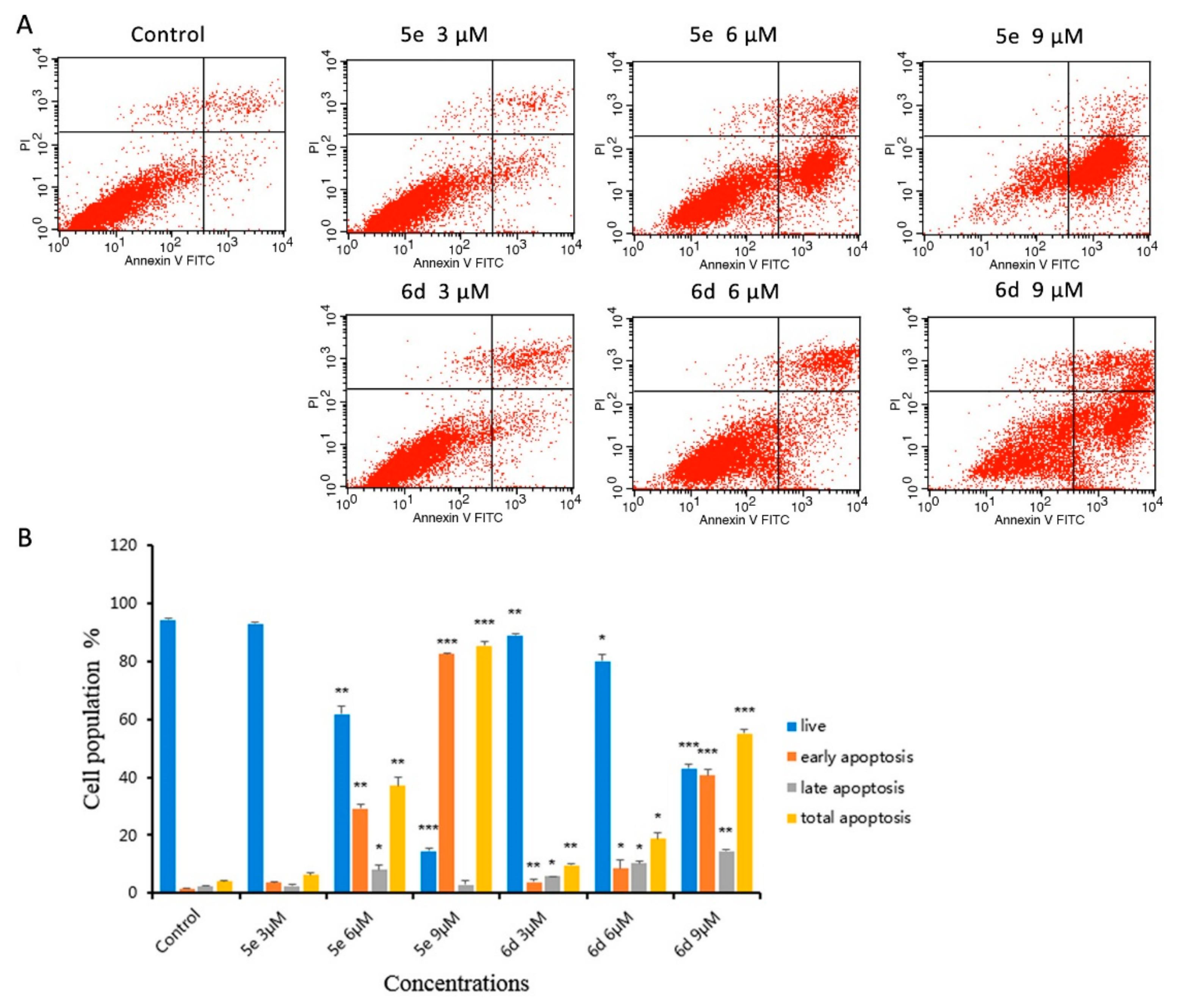
2.2.3. Cell Apoptosis Assay
2.2.4. Mitochondria Membrane Potential (MMP) Analysis
2.2.5. Measurement of Intracellular Reactive Oxygen Species (ROS)
3. Experimental Section
3.1. Chemistry
3.1.1. Methyl Matrinate Dihydrochloride (1)
3.1.2. Methyl 12-[(Tert-Butyl)Oxycarbonyl]-Matrinate (2)
3.1.3. 12-[(Tert-Butyl)Oxycarbonyl]-Matrinol (3)
3.1.4. General Procedures for 12-[(Tert-Butyl)Oxycarbonyl]-1′-O-Substituted Cinnamoyl Matrinol (4)
3.1.5. General Procedures for 1′-O-Substituted Cinnamoyl Matrinol Dihydrochloride (5)
3.1.6. 1′-O-Substituted Cinnamoyl Sophoridinol Dihydrochloride (6)
3.1.7. Methyl Sophocarpinate Dihydrochloride (7)
3.2. Biological Evaluation
3.2.1. Cell Lines and Cell Culture
3.2.2. Antiproliferative Activity
3.2.3. Hoechst 333258 Staining
3.2.4. Cell Apoptosis Assay
3.2.5. Mitochondrial Membrane Potential Assay
3.2.6. Measurement of Intracellular ROS Level
3.2.7. Statistical Analysis
4. Conclusions
Supplementary Materials
Author Contributions
Funding
Conflicts of Interest
References
- Zhang, Y.; Zhang, H.; Yu, P.F.; Liu, Q.; Liu, K.; Duan, H.Y.; Luan, G.L.; Yagasaki, K.; Zhang, G.Y. Effects of matrine against the growth of human lung cancer and hepatoma cells as well as lung cancer cell migration. Cytotechnology 2009, 59, 191. [Google Scholar] [CrossRef] [PubMed]
- Yu, P.F.; Liu, Q.; Liu, K.; Yagasaki, K.; Wu, E.; Zhang, G.Y. Matrine suppresses breast cancer cell proliferation and invasion via VEGF-Akt-NF-κB signaling. Cytotechnology 2009, 59, 219–229. [Google Scholar] [CrossRef] [PubMed]
- Liu, X.Y.; Fang, H.; Yang, Z.G.; Wang, X.Y.; Ruan, L.M.; Fang, D.R.; Ding, Y.G.; Wang, Y.N.; Zhang, Y.; Jiang, X.L.; et al. Matrine inhibits invasiveness and metastasis of human malignant melanoma cell line A375 in vitro. Int. J. Dermatol. 2008, 47, 448–456. [Google Scholar] [CrossRef] [PubMed]
- Li, M.C.; Wang, Y.L.; Dong, L.Y. Effect and mechanism of allomatrine in proliferation and invasion in vitro inhibition of human lung cancer A549 cell line. Chin. Pharm. J. 2015, 50, 1111–1116. [Google Scholar]
- Hu, H.G.; Wang, S.Z.; Zhang, C.M.; Wang, L.; Ding, L.; Zhang, J.P.; Wu, Q.Y. Synthesis and in vitro inhibitory activity of matrine derivatives towards pro-inflammatory cytokines. Bioorgan. Med. Chem. Lett. 2010, 20, 7537–7539. [Google Scholar] [CrossRef] [PubMed]
- Huang, W.C.; Chan, C.C.; Wu, S.J.; Chen, L.C.; Shen, J.J.; Kuo, M.L.; Chen, M.C.; Liou, C.J. Matrine attenuates allergic airway inflammation and eosinophil infiltration by suppressing eotaxin and Th2 cytokine production in asthmatic mice. J. Ethnopharmacol. 2014, 151, 470–477. [Google Scholar] [CrossRef] [PubMed]
- Sun, D.Q.; Wang, J.; Yang, N.D.; Ma, H.X. Matrine suppresses airway inflammation by downregulating SOCS3 expression via inhibition of NF-κB signaling in airway epithelial cells and asthmatic mice. Biochem. Biophys. Res. Commun. 2016, 477, 83–90. [Google Scholar] [CrossRef]
- Liu, J.Y.; Hu, J.H.; Zhu, Q.G.; Li, F.Q.; Wang, J.; Sun, H.J. Effect of matrine on the expression of substance P receptor and inflammatory cytokines production in human skin keratinocytes and fibroblasts. Int. Immunopharmacol. 2007, 7, 816–823. [Google Scholar] [CrossRef]
- Zhang, J.P.; Zhang, M.; Zhou, J.P.; Liu, F.T.; Zhou, B.; Xie, W.F.; Guo, C.; Zhang, C.; Qian, D.H. Antifibrotic effects of matrine on in vitro and in vivo models of liver fibrosis in rats. Acta Pharmacol. Sin. 2001, 22, 183–186. [Google Scholar]
- Yang, Y.J.; Xiu, J.H.; Zhang, X.; Zhang, L.F.; Yan, K.; Qin, C.; Liu, J.N. Antiviral effect of matrine against human enterovirus 71. Molecules 2012, 17, 10370–10376. [Google Scholar] [CrossRef]
- Zhang, Y.Y.; Zhu, H.Y.; Ye, G.; Huang, C.G.; Yang, Y.Z.; Chen, R.Z.; Yu, Y.; Cui, X.L. Antiviral effects of sophoridine against coxsackievirus B3 and its pharmacokinetics in rats. Life Sci. 2006, 78, 1998–2005. [Google Scholar] [CrossRef] [PubMed]
- Guo, B.; Li, C.; Deng, Z.P.; Chen, S.X.; Ji, Z.H.; Zhang, J.W.; Chen, M.F.; Xu, F. A new method for measurement of (−)-sophocarpine, a candidate therapeutic for viral myocarditis, in plasma: Application to a toxicokinetic study in beagle dogs. Rapid Commun. Mass Spectrom. 2005, 19, 2840–2848. [Google Scholar] [CrossRef]
- Küçükboyaci, N.; Özkan, S.; Adigüzel, N.; Tosun, F. Characterisation and antimicrobial activity of Sophora alopecuroides L. var. alopecuroides alkaloid extracts. Turk. J. Biol. 2011, 35, 379–385. [Google Scholar]
- Liu, X.Y.; Wang, R.T.; Cui, C.; Wang, Z.H.; Tong, H.; Deng, Y.Q.; Zhang, Z.Z. Effect of oxymatrine on L929 tumor cell-induced immunosuppression. Chin. J. Immunol. 2009, 3, 216–220. [Google Scholar]
- Li, H.J.; Li, X.J.; Bai, M.L.; Suo, Y.E.; Zhang, G.H.; Cao, X.Y. Matrine inhibited proliferation and increased apoptosis in human breast cancer MCF-7 cells via upregulation of Bax and downregulation of Bcl-2. Int. J. Exp. Pathol. 2015, 8, 14793–14799. [Google Scholar]
- Zhou, M.; Li, J.Q.; Li, T.; Chen, G.S.; Zhang, Z.Q.; Si, Z.Z. Matrine induced apoptosis in Hep3B cells-via the inhibition of MDM2. Mol. Med. Rep. 2017, 15, 442–450. [Google Scholar] [CrossRef][Green Version]
- Wang, Y.; Liu, Y.H.; Jiang, J.S.; Cui, H.B. Antitumor effects of matrine on cancer stem like cells isolated from the human liver cancer SMMC-7721 cell line. Oncol. Lett. 2018, 15, 1777–1782. [Google Scholar] [CrossRef] [PubMed]
- Chang, J.L.; Hu, S.P.; Wang, W.Y.; Li, Y.M.; Zhi, W.L.; Lu, S.; Shi, Q.; Wang, Y.J.; Yang, Y.P. Matrine inhibits prostate cancer via activation of the unfolded protein response/endoplasmic reticulum stress signaling and reversal of epithelial to mesenchymal transition. Mol. Med. Rep. 2018, 18, 945–957. [Google Scholar] [CrossRef]
- Xu, Z.H.; Zhang, F.; Bai, C.; Yao, C.; Zhong, H.R.; Zou, C.P.; Chen, X. Sophoridine induces apoptosis and S phase arrest via ROS-dependent JNK and ERK activation in human pancreatic cancer cells. J. Exp. Clin. Cancer Res. 2017, 36, 124–134. [Google Scholar] [CrossRef]
- Yang, X.Y.; Zeng, C.; Li, J.G. Study of pharmacokinetic and anti-tumor effect of sophocarpine. Tradit. Chin. Drug Res. Clin. Pharmacol. 2017, 28, 644–648. [Google Scholar]
- Dai, Z.J.; Gao, J.; Ji, Z.Z.; Wang, X.J.; Ren, H.T.; Liu, X.X.; Wu, W.Y.; Kang, H.F.; Guan, H.T. Matrine induces apoptosis in gastric carcinoma cells via alteration of Fas/FasL and activation of caspase-3. J. Ethnopharmacol. 2009, 123, 91–96. [Google Scholar] [CrossRef] [PubMed]
- Zhang, P.; Wang, Z.M.; Chong, T.; Ji, Z.Z. Matrine inhibits proliferation and induces apoptosis of the androgen-independent prostate cancer cell line PC-3. Mol. Med. Rep. 2012, 5, 783–787. [Google Scholar] [CrossRef] [PubMed]
- Liang, C.Z.; Zhang, J.K.; Shi, Z.L.; Liu, B.; Shen, C.Q.; Tao, H.M. Matrine induces caspase-dependent apoptosis in human osteosarcoma cells in vitro and in vivo through the upregulation of Bax and Fas/FasL and downregulation of Bcl-2. Cancer Chemother. Pharmacol. 2012, 69, 317–331. [Google Scholar] [CrossRef]
- Zhang, S.H.; Zhang, Y.; Zhuang, Y.; Wang, J.J.; Ye, J.Q.; Zhang, S.; Wu, J.B.; Yu, K.; Han, Y.X. Matrine induces apoptosis in human acute myeloid leukemia cells via the mitochondrial pathway and Akt inactivation. PLoS ONE 2012, 7, e46853. [Google Scholar] [CrossRef]
- Li, X.M.; Wu, Y.G.; Pan, D.X.; Wu, L.K.; Yu, Y.H.; Zhang, A.H.; Chen, S.L.; Guan, Z.Z.; Yang, X.Y. Sophoridine is a new antitumor medicine with new molecular structure. Chin. J. New Drugs 2006, 15, 654–657. [Google Scholar]
- Yong, J.P.; Wu, X.Y.; Lu, C.Z. Anticancer advances of matrine and its derivatives. Curr. Pharm. Des. 2015, 21, 3673–3680. [Google Scholar] [CrossRef]
- Zhang, L.; Liu, W.T.; Zhang, R.W.; Wang, Z.W.; Shen, Z.D.; Chen, X.H.; Bi, K.S. Pharmacokinetic study of matrine, oxymatrine and oxysophocarpine in rat plasma after oral administration of Sophora flavescens Ait. extract by liquid chromatography tandem mass spectrometry. J. Pharm. Biomed. Anal. 2008, 47, 892–898. [Google Scholar] [CrossRef] [PubMed]
- Claudio, V.-J.; Amanda, D.; Vanderlan da Silva, B.; Eliezer, J.B.; Carlos Alberto Manssour, F. Molecular hybridization: A useful tool in the design of new drug prototypes. Curr. Med. Chem. 2007, 14, 1829–1852. [Google Scholar] [CrossRef] [PubMed]
- Hoskins, J.A. The occurrence, metabolism and toxicity of cinnamic acid and related compounds. J. Appl. Toxicol. 1984, 4, 283–292. [Google Scholar] [CrossRef] [PubMed]
- Lapeyre, C.; Delomenède, M.; Bedos-Belval, F.; Duran, H.; Nègre-Salvayre, A.; Baltas, M. Design, synthesis, and evaluation of pharmacological properties of cinnamic derivatives as antiatherogenic agents. J. Med. Chem. 2005, 48, 8115–8124. [Google Scholar] [CrossRef] [PubMed]
- Gaspar, A.; Garrido, E.M.; Esteves, M.; Quezada, E.; Milhazes, N.; Garrido, J.; Borges, F. New insights into the antioxidant activity of hydroxycinnamic acids: Synthesis and physicochemical characterization of novel halogenated derivatives. Eur. J. Med. Chem. 2009, 44, 2092–2099. [Google Scholar] [CrossRef] [PubMed]
- Menezes, J.C.J.M.D.S.; Kamat, S.P.; Cavaleiro, J.A.S.; Gaspar, A.; Garrido, J.; Borges, F. Synthesis and antioxidant activity of long chain alkyl hydroxycinnamates. Eur. J. Med. Chem. 2011, 46, 773–777. [Google Scholar] [CrossRef] [PubMed]
- Yen, G.C.; Chen, Y.L.; Sun, F.M.; Chiang, Y.L.; Lu, S.H.; Weng, C.J. A comparative study on the effectiveness of cis- and trans-form of cinnamic acid treatments for inhibiting invasive activity of human lung adenocarcinoma cells. Eur. J. Pharm. Sci. 2011, 44, 281–287. [Google Scholar] [CrossRef] [PubMed]
- Liu, L.; Hudgins, W.R.; Shack, S.; Yin, M.Q.; Samid, D. Cinnamic acid: A natural product with potential use in cancer intervention. Int. J. Cancer 1995, 62, 345–350. [Google Scholar] [CrossRef]
- De, P.; Baltas, M.; Bedos-Belval, F. Cinnamic acid derivatives as anticancer agents-A review. Curr. Med. Chem. 2011, 18, 1672–1703. [Google Scholar] [CrossRef]
- Zhou, T.; Shi, Q.; Bastow, K.F.; Lee, K.H. Antitumor agents 286. Design, synthesis, and structure−activity relationships of 3′R,4′R-disubstituted-2′,2′-dimethyldihydropyrano[2,3-f]chromone (DSP) analogues as potent chemosensitizers to overcome multidrug resistance. J. Med. Chem. 2010, 53, 8700–8708. [Google Scholar] [CrossRef]
- Qian, Y.; Zhang, H.J.; Zhang, H.; Xu, C.; Zhao, J.; Zhu, H.L. Synthesis, molecular modeling, and biological evaluation of cinnamic acid metronidazole ester derivatives as novel anticancer agents. Bioorgan. Med. Chem. 2010, 18, 4991–4996. [Google Scholar] [CrossRef]
- Li, L.H.; Zhao, P.; Hu, J.L.; Liu, J.H.; Liu, Y.; Wang, Z.Q.; Xia, Y.F.; Dai, Y.; Chen, L. Synthesis, in vitro and in vivo antitumor activity of scopoletin-cinnamic acid hybrids. Eur. J. Med. Chem. 2015, 93, 300–307. [Google Scholar] [CrossRef]
- Liang, C.Y.; Pei, S.M.; Ju, W.H.; Jia, M.Y.; Tian, D.N.; Tang, Y.H.; Mao, G.N. Synthesis and in vitro and in vivo antitumour activity study of 11-hydroxyl esterified bergenin/cinnamic acid hybrids. Eur. J. Med. Chem. 2017, 133, 319–328. [Google Scholar] [CrossRef]
- Wang, S.G.; Kong, L.Y.; Li, Y.H.; Cheng, X.Y.; Su, F.; Tang, S.; Bi, C.W.; Jiang, J.D.; Li, Y.H.; Song, D.Q. Structure–activity relationship of N-benzenesulfonyl matrinic acid derivatives as a novel class of coxsackievirus B3 inhibitors. Bioorgan. Med. Chem. Lett. 2015, 25, 3690–3693. [Google Scholar] [CrossRef]
- Cheng, X.Y.; Li, Y.H.; Tang, S.; Zhang, X.; Wang, Y.X.; Wang, S.G.; Jiang, J.D.; Li, Y.H.; Song, D.Q. Synthesis and evaluation of halogenated 12N-sulfonyl matrinic butanes as potential anti-coxsackievirus agents. Eur. J. Med. Chem. 2017, 126, 133–142. [Google Scholar] [CrossRef] [PubMed]
Sample Availability: Samples of the compounds 5a-5l, 6a-6k and 8a-8b are available from the authors. |








| Compound | Substituents | |||
|---|---|---|---|---|
| R1 | R2 | R3 | R4 | |
| 5a | H | H | H | H |
| 5b | Cl | H | H | H |
| 5c | H | Cl | H | H |
| 5d | H | H | Cl | H |
| 5e | H | Cl | Cl | H |
| 5f | H | Br | H | H |
| 5g | H | H | CF3 | H |
| 5h | H | H | NO2 | H |
| 5i | H | H | CH3 | H |
| 5j | H | H | OCH3 | H |
| 5k | H | OCH2O | H | |
| 5l | H | OCH3 | OCH3 | OCH3 |
| 6a | H | H | H | H |
| 6b | Cl | H | H | H |
| 6c | H | Cl | H | H |
| 6d | H | H | Cl | H |
| 6e | H | Cl | Cl | H |
| 6f | H | Br | H | H |
| 6g | H | H | CF3 | H |
| 6h | H | H | NO2 | H |
| 6i | H | H | CH3 | H |
| 6j | H | H | OCH3 | H |
| 6k | H | OCH2O | H | |
| 8a | Cl | H | H | H |
| 8b | H | H | OCH3 | H |
| Compound | IC50 (μM) a,b | ||
|---|---|---|---|
| HeLa | HepG2 | A549 | |
| 5a | 10.70 ± 1.22 | 14.50 ± 0.37 | 19.73 ± 0.78 |
| 5b | 8.15 ± 0.62 | 7.18 ± 1.99 | 7.30 ± 0.85 |
| 5c | 9.28 ± 1.08 | 10.38 ± 1.38 | 12.17 ± 0.84 |
| 5d | 4.67 ± 0.16 | 8.65 ± 0.77 | 12.69 ± 0.81 |
| 5e | 5.05 ± 0.19 | 6.09 ± 0.54 | 6.65 ± 0.89 |
| 5f | 8.12 ± 0.70 | 7.90 ± 0.66 | 12.31 ± 0.80 |
| 5g | 5.06 ± 0.62 | 8.77 ± 0.96 | 6.54 ± 0.86 |
| 5h | 18.52 ± 0.65 | 20.80 ± 2.82 | 22.42 ± 0.50 |
| 5i | 6.35 ± 0.82 | 9.64 ± 1.92 | 24.40 ± 0.83 |
| 5j | 7.54 ± 0.74 | 15.01 ± 1.27 | 19.21 ± 0.79 |
| 5k | 9.47 ± 0.56 | 11.53 ± 1.21 | 21.50 ± 0.76 |
| 5l | 7.76 ± 0.81 | 8.88 ± 0.78 | 12.24 ± 0.72 |
| 6a | 9.86 ± 0.49 | 11.60 ± 1.29 | >40 |
| 6b | 17.06 ± 0.85 | 7.99 ± 0.84 | 14.16 ± 0.81 |
| 6c | 11.21 ± 0.42 | 6.15 ± 0.56 | 35.88 ± 0.81 |
| 6d | 7.93 ± 0.60 | 6.18 ± 0.45 | 5.47 ± 0.88 |
| 6e | 6.79 ± 1.23 | 3.81 ± 0.24 | 13.48 ± 0.92 |
| 6f | 13.98 ± 0.42 | 4.33 ± 0.37 | 14.48 ± 0.92 |
| 6g | 7.63 ± 0.85 | 5.84 ± 1.18 | >40 |
| 6h | 24.61 ± 4.83 | 19.26 ± 2.54 | >40 |
| 6i | 6.15 ± 0.49 | 4.16 ± 0.29 | 10.63 ± 0.99 |
| 6j | 10.02 ± 3.24 | 11.84 ± 0.95 | >40 |
| 6k | 13.40 ± 0.60 | 12.87 ± 0.78 | 27.27 ± 0.93 |
| 8a | 13.54 ± 2.47 | >40 | >40 |
| 8b | 13.96 ± 0.93 | >40 | >40 |
| matrine | 1883 ± 271 | 1241 ± 225 | >4000 |
| sophoridine | 1532 ± 191 | 1035 ± 167 | >4000 |
| cisplatin | 20.44 ± 6.23 | 39.90 ± 4.31 | 79.20 ± 5.60 |
© 2020 by the authors. Licensee MDPI, Basel, Switzerland. This article is an open access article distributed under the terms and conditions of the Creative Commons Attribution (CC BY) license (http://creativecommons.org/licenses/by/4.0/).
Share and Cite
Shang, H.; Li, L.; Ma, L.; Tian, Y.; Jia, H.; Zhang, T.; Yu, M.; Zou, Z. Design and Synthesis of Molecular Hybrids of Sophora Alkaloids and Cinnamic Acids as Potential Antitumor Agents. Molecules 2020, 25, 1168. https://doi.org/10.3390/molecules25051168
Shang H, Li L, Ma L, Tian Y, Jia H, Zhang T, Yu M, Zou Z. Design and Synthesis of Molecular Hybrids of Sophora Alkaloids and Cinnamic Acids as Potential Antitumor Agents. Molecules. 2020; 25(5):1168. https://doi.org/10.3390/molecules25051168
Chicago/Turabian StyleShang, Hai, Lingyu Li, Liyan Ma, Yu Tian, Hongmei Jia, Tao Zhang, Meng Yu, and Zhongmei Zou. 2020. "Design and Synthesis of Molecular Hybrids of Sophora Alkaloids and Cinnamic Acids as Potential Antitumor Agents" Molecules 25, no. 5: 1168. https://doi.org/10.3390/molecules25051168
APA StyleShang, H., Li, L., Ma, L., Tian, Y., Jia, H., Zhang, T., Yu, M., & Zou, Z. (2020). Design and Synthesis of Molecular Hybrids of Sophora Alkaloids and Cinnamic Acids as Potential Antitumor Agents. Molecules, 25(5), 1168. https://doi.org/10.3390/molecules25051168

