Design, Synthesis, and Biological Evaluation of Aromatic Amide-Substituted Benzimidazole-Derived Chalcones. The Effect of Upregulating TP53 Protein Expression
Abstract
1. Introduction
2. Results and Discussion
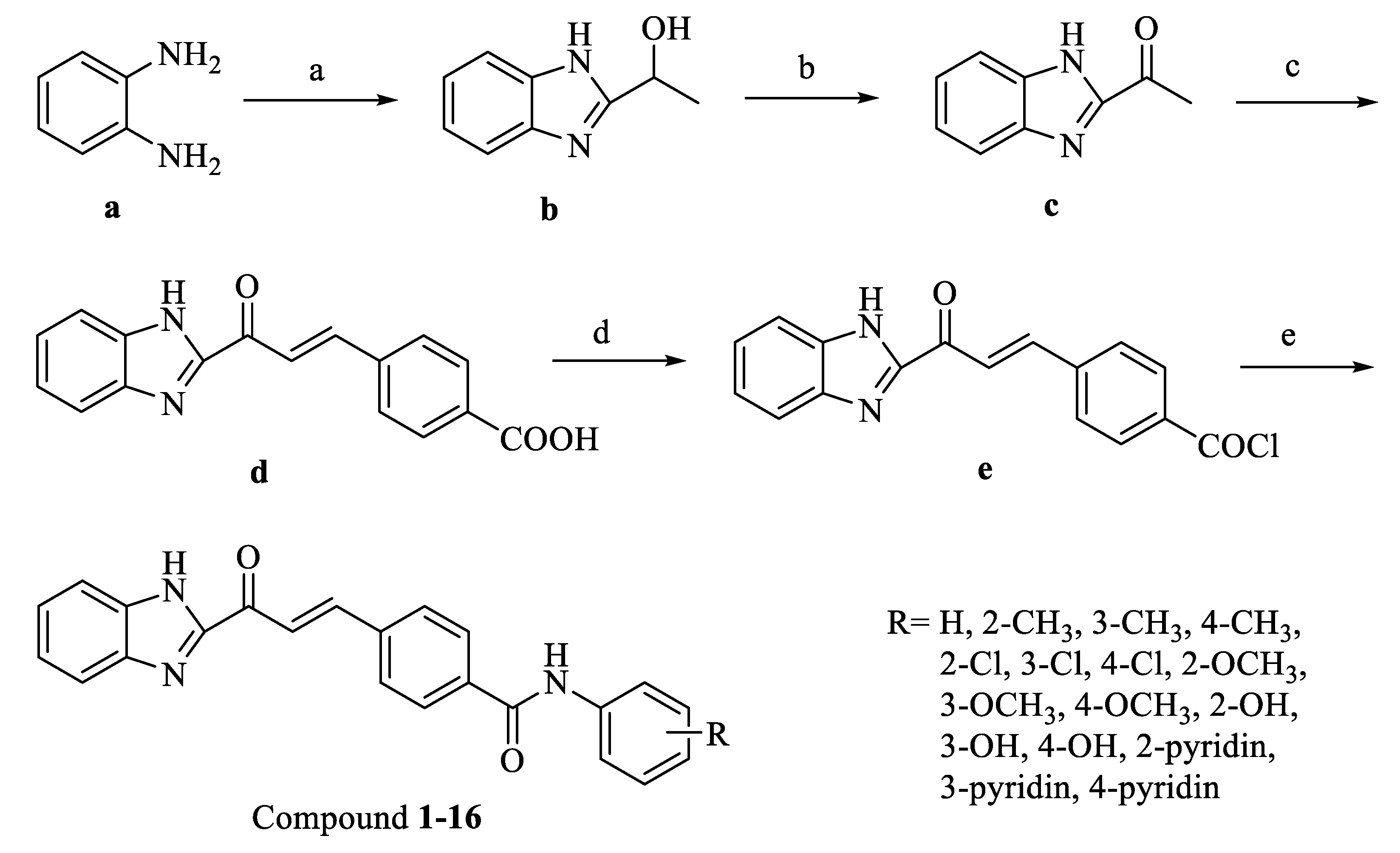
2.1. Chemistry
2.2. In Vitro Antiproliferative Activity and Structure-Activity Relationship
2.3. Cell Cycle Analysis
2.4. Western Blot Analysis
2.5. In Vitro Antiproliferative Activity Against HCT116 (p53−/−)
3. Experimental Section
3.1. Synthesis and Characterization
3.1.1. General Procedure for all Derivatives
3.1.2. (E)-4-(3-(1H-benzo[d]imidazol-2-yl)-3-oxoprop-1-en-1-yl)-N-phenylbenzamide (1)
3.1.3. (E)-4-(3-(1H-benzo[d]imidazol-2-yl)-3-oxoprop-1-en-1-yl)-N-(o-tolyl)benzamide (2)
3.1.4. (E)-4-(3-(1H-benzo[d]imidazol-2-yl)-3-oxoprop-1-en-1-yl)-N-(m-tolyl)benzamide (3)
3.1.5. (E)-4-(3-(1H-benzo[d]imidazol-2-yl)-3-oxoprop-1-en-1-yl)-N-(p-tolyl)benzamide (4)
3.1.6. (E)-4-(3-(1H-benzo[d]imidazol-2-yl)-3-oxoprop-1-en-1-yl)-N-(2-chlorophenyl)benzamide (5)
3.1.7. (E)-4-(3-(1H-benzo[d]imidazol-2-yl)-3-oxoprop-1-en-1-yl)-N-(3-chlorophenyl)benzamide (6)
3.1.8. (E)-4-(3-(1H-benzo[d]imidazol-2-yl)-3-oxoprop-1-en-1-yl)-N-(4-chlorophenyl)benzamide (7)
3.1.9. (E)-4-(3-(1H-benzo[d]imidazol-2-yl)-3-oxoprop-1-en-1-yl)-N-(pyridin-2-yl)benzamide (8)
3.1.10. (E)-4-(3-(1H-benzo[d]imidazol-2-yl)-3-oxoprop-1-en-1-yl)-N-(pyridin-3-yl)benzamide (9)
3.1.11. (E)-4-(3-(1H-benzo[d]imidazol-2-yl)-3-oxoprop-1-en-1-yl)-N-(pyridin-4-yl)benzamide (10)
3.1.12. (E)-4-(3-(1H-benzo[d]imidazol-2-yl)-3-oxoprop-1-en-1-yl)-N-(2-methoxyphenyl)benzamide (11)
3.1.13. (E)-4-(3-(1H-benzo[d]imidazol-2-yl)-3-oxoprop-1-en-1-yl)-N-(3-methoxyphenyl)benzamide (12)
3.1.14. (E)-4-(3-(1H-benzo[d]imidazol-2-yl)-3-oxoprop-1-en-1-yl)-N-(4-methoxyphenyl)benzamide (13)
3.1.15. (E)-4-(3-(1H-benzo[d]imidazol-2-yl)-3-oxoprop-1-en-1-yl)-N-(2-hydroxyphenyl)benzamide (14)
3.1.16. (E)-4-(3-(1H-benzo[d]imidazol-2-yl)-3-oxoprop-1-en-1-yl)-N-(3-hydroxyphenyl)benzamide (15)
3.1.17. (E)-4-(3-(1H-benzo[d]imidazol-2-yl)-3-oxoprop-1-en-1-yl)-N-(4-hydroxyphenyl)benzamide (16)
3.2. MTT Assay
3.3. Cell Cycle Analysis
3.4. Western Blotting
4. Conclusions
Author Contributions
Funding
Conflicts of Interest
References
- Duffy, M.J. The war on cancer: Are we winning? Tumor Biol. 2013, 34, 1275–1284. [Google Scholar] [CrossRef] [PubMed]
- Hanahan, D.; Weinberg, R.A. Hallmarks of cancer: The next generation. Cell 2011, 144, 646–674. [Google Scholar] [CrossRef] [PubMed]
- Khoo, K.H.; Verma, C.S.; Lane, D.P. Drugging the p53 pathway: Understanding the route to clinical efficacy. Nat. Rev. Drug Discov. 2014, 13, 217–236. [Google Scholar] [CrossRef]
- Xie, X.; Wang, X.; Liao, W.; Fei, R.; Wu, N.; Cong, X.; Chen, Q.; Wei, L.; Wang, Y.; Chen, H. MYL6B, a myosin light chain, promotes MDM2-mediated p53 degradation and drives HCC development. J. Exp. Clin. Cancer Res. 2018, 37, 28. [Google Scholar] [CrossRef] [PubMed]
- Brown, C.J.; Lain, S.; Verma, C.S.; Fersht, A.R.; Lane, D.P. Awakening guardian angels: Drugging the p53 pathway. Nat. Rev. Cancer 2009, 9, 862–873. [Google Scholar] [CrossRef] [PubMed]
- Hainaut, P.; Hollstein, M. p53 and human cancer: The first ten thousand mutations. Adv. Cancer Res. 1999, 77, 81–137. [Google Scholar]
- Levine, A.J.; Finlay, C.A.; Hinds, P.W. P53 is a tumor suppressor gene. Cell 2004, 116, S67–S70. [Google Scholar] [CrossRef]
- Martins, C.P.; Brown-Swigart, L.; Evan, G.I. Modeling the therapeutic efficacy of p53 restoration in tumors. Cell 2006, 127, 1323–1334. [Google Scholar] [CrossRef] [PubMed]
- Yu, X.; Vazquez, A.; Levine, A.J.; Carpizo, D.R. Allele-specific p53 mutant reactivation. Cancer Cell 2012, 21, 614–625. [Google Scholar] [CrossRef] [PubMed]
- Sriraman, A.; Radovanovic, M.; Wienken, M.; Najafova, Z.; Li, Y.; Dobbelstein, M.J.O. Cooperation of Nutlin-3a and a Wip1 inhibitor to induce p53 activity. Oncotarget 2016, 7, 31623–31638. [Google Scholar] [CrossRef] [PubMed]
- Zhao, Y.; Bernard, D.; Wang, S.J.B. Small molecule inhibitors of MDM2-p53 and MDMX-p53 interactions as new cancer therapeutics. BioDiscovery 2013, 8, e8950. [Google Scholar] [CrossRef]
- Vu, B.; Wovkulich, P.; Pizzolato, G.; Lovey, A.; Ding, Q.; Jiang, N.; Liu, J.J.; Zhao, C.; Glenn, K.; Wen, Y.; et al. Discovery of RG7112: A small-molecule MDM2 inhibitor in clinical development. ACS Med. Chem. Lett. 2013, 4, 466–469. [Google Scholar] [CrossRef]
- Zhao, C.Y.; Grinkevich, V.; Nikulenkov, F.; Bao, W.; Selivanova, G. Rescue of the apoptotic-inducing function of mutant p53 by small molecule RITA. Cell Cycle 2010, 9, 1847–1855. [Google Scholar] [CrossRef]
- Guo, Z.Z.; Zhuang, C.L.; Zhu, L.J.; Zhang, Y.Q.; Yao, J.Z.; Dong, G.Q.; Wang, S.Z.; Liu, Y.; Chen, H.; Sheng, C.Q.; et al. Structure-activity relationship and antitumor activity of thio-benzodiazepines as p53-MDM2 protein-protein interaction inhibitors. Eur. J. Med. Chem. 2012, 56, 10–16. [Google Scholar] [CrossRef] [PubMed]
- Tonsing-Carter, E.; Bailey, B.J.; Saadatzadeh, M.R.; Ding, J.; Wang, H.; Sinn, A.L.; Peterman, K.M.; Spragins, T.K.; Silver, J.M.; Sprouse, A.A.; et al. Potentiation of carboplatin-mediated DNA damage by the Mdm2 modulator Nutlin-3a in a humanized orthotopic breast-to-lung metastatic model. Mol. Cancer Ther. 2015, 14, 2850–2863. [Google Scholar] [CrossRef] [PubMed]
- Ambrosini, G.; Sambol, E.B.; Carvajal, D.; Vassilev, L.T.; Singer, S.; Schwartz, G.K. Mouse double minute antagonist Nutlin-3a enhances chemotherapy-induced apoptosis in cancer cells with mutant p53 by activating E2F1. Oncogene 2006, 26, 3473–3481. [Google Scholar] [CrossRef] [PubMed]
- Berghausen, J.; Buschmann, N.; Furet, P.; Gessier, F.; Lisztwan, J.H.; Holzer, P.; Jacoby, E.; Kallen, J.; Masuya, K.; Soldermann, C.P. Substituted Isoquinolinones and Quinazolinones. U.S. Patent 8,440,693, 14 May 2013. [Google Scholar]
- Furet, P.; Guagnano, V.; Holzer, P.; Kallen, J.; Liao, L.; Mah, R.; Mao, L.; Masuya, K.; Schlapbach, A.; Stutz, S. Substituted Pyrrolo[3,4-D] Imidazoles for the Treatment of MDM2/4 Mediated Diseases. U.S. Patent 8,815,926, 26 August 2014. [Google Scholar]
- Furet, P.; Guagnano, V.; Holzer, P.; Mah, R.; Masuya, K.; Schlapbach, A.; Stutz, S.; Vaupel, A. Pyrazolopyrrolidine Compounds. U.S. Patent 8,969,341, 3 March 2015. [Google Scholar]
- Wu, L.T.; Jiang, Z.; Shen, J.J.; Yi, H.; Zhan, Y.C.; Sha, M.Q.; Wang, Z.; Xue, S.T.; Li, Z.R. Design, synthesis and biological evaluation of novel benzimidazole-2-substituted phenyl or pyridine propyl ketene derivatives as antitumour agents. Eur. J. Med. Chem. 2016, 114, 328–336. [Google Scholar] [CrossRef] [PubMed]
- Zhao, Y.; Aguilar, A.; Bernard, D.; Wang, S. Small-molecule inhibitors of the MDM2-p53 protein-protein interaction (MDM2 Inhibitors) in clinical trials for cancer treatment. J. Med. Chem. 2015, 58, 1038–1052. [Google Scholar] [CrossRef] [PubMed]
Sample Availability: Samples of the compounds 1–16 are available from the authors. |



| COMPOUND | IC50(µM) | |||
|---|---|---|---|---|
| A549 | CRL-5908 | HCT116 | HepG2 | |
| 1 | >50 | 24.96 ± 1.45 | >50 | >50 |
| 2 | 6.01 ± 0.77 | 6.55 ± 0.93 | 3.05 ± 2.64 | 4.21 ± 0.14 |
| 3 | 14.41 ± 1.36 | 9.82 ± 1.16 | 1.56 ± 0.94 | 8.75 ± 0.80 |
| 4 | >50 | >50 | >50 | >50 |
| 5 | 1.91 ± 0.29 | 29.15 ± 1.30 | 2.269 | 2.017 |
| 6 | 4.23 ± 0.78 | 4.99 ± 0.52 | 1.34 ± 0.12 | 6.80 ± 0.29 |
| 7 | 4.44 ± 0.63 | 5.71 ± 0.33 | 5.40 ± 1.13 | 24.11 ± 0.66 |
| 8 | >50 | >50 | >50 | >50 |
| 9 | 25.34 ± 2.16 | 11.91 ± 0.24 | 1.63 ± 0.15 | 9.52 ± 0.44 |
| 10 | >50 | >50 | 7.18 ± 3.73 | >50 |
| 11 | 22.60 ± 1.34 | 39.84 ± 1.75 | >50 | >50 |
| 12 | 13.29 ± 0.68 | 12.66 ± 0.36 | 4.51 ± 1.70 | 25.89 ± 1.52 |
| 13 | >50 | 27.51 ± 1.48 | >50 | >50 |
| 14 | 8.72 ± 0.43 | 9.60 ± 0.50 | 1.87 ± 0.72 | 8.65 ± 0.55 |
| 15 | 39.43 ± 1.23 | 13.57 ± 0.76 | 1.84 ± 1.57 | 7.59 ± 2.31 |
| 16 | 10.11± 1.70 | 9.50± 1.33 | 1.99 ± 1.08 | 6.41 ± 1.65 |
| 5-FUOROURACIL | 72.70 | 67.33 | 94.63 | 76.73 |
| NUTLIN-3A | 49.53 | 52.70 | 37.81 | 60.21 |
| PACLITAXEL | 0.062 | 0.043 | 0.037 | 0.020 |
| Compound | IC50(µM) | |
|---|---|---|
| HCT116 +/+ | HCT116 −/− | |
| 3 | 1.56 ± 0.94 | 34.26 ± 0.33 |
| 6 | 1.34 ± 0.12 | 49.70 ± 0.26 |
| 9 | 1.63 ± 0.15 | 44.38 ± 1.57 |
| 14 | 1.87 ± 0.72 | 39.26 ± 2.50 |
| 15 | 1.84 ± 1.57 | 28.19 ± 1.07 |
© 2020 by the authors. Licensee MDPI, Basel, Switzerland. This article is an open access article distributed under the terms and conditions of the Creative Commons Attribution (CC BY) license (http://creativecommons.org/licenses/by/4.0/).
Share and Cite
Wu, L.; Yang, Y.; Wang, Z.; Wu, X.; Su, F.; Li, M.; Jing, X.; Han, C. Design, Synthesis, and Biological Evaluation of Aromatic Amide-Substituted Benzimidazole-Derived Chalcones. The Effect of Upregulating TP53 Protein Expression. Molecules 2020, 25, 1162. https://doi.org/10.3390/molecules25051162
Wu L, Yang Y, Wang Z, Wu X, Su F, Li M, Jing X, Han C. Design, Synthesis, and Biological Evaluation of Aromatic Amide-Substituted Benzimidazole-Derived Chalcones. The Effect of Upregulating TP53 Protein Expression. Molecules. 2020; 25(5):1162. https://doi.org/10.3390/molecules25051162
Chicago/Turabian StyleWu, Lintao, Yuting Yang, Zhijun Wang, Xi Wu, Feng Su, Mengyao Li, Xiaobi Jing, and Chun Han. 2020. "Design, Synthesis, and Biological Evaluation of Aromatic Amide-Substituted Benzimidazole-Derived Chalcones. The Effect of Upregulating TP53 Protein Expression" Molecules 25, no. 5: 1162. https://doi.org/10.3390/molecules25051162
APA StyleWu, L., Yang, Y., Wang, Z., Wu, X., Su, F., Li, M., Jing, X., & Han, C. (2020). Design, Synthesis, and Biological Evaluation of Aromatic Amide-Substituted Benzimidazole-Derived Chalcones. The Effect of Upregulating TP53 Protein Expression. Molecules, 25(5), 1162. https://doi.org/10.3390/molecules25051162

