Reactive Oxygen Species (ROS)-Sensitive Prodrugs of the Tyrosine Kinase Inhibitor Crizotinib
Abstract
1. Introduction
2. Results and Discussion
2.1. In Silico Studies
2.1.1. Docking Studies
2.1.2. In Silico ADME Prediction
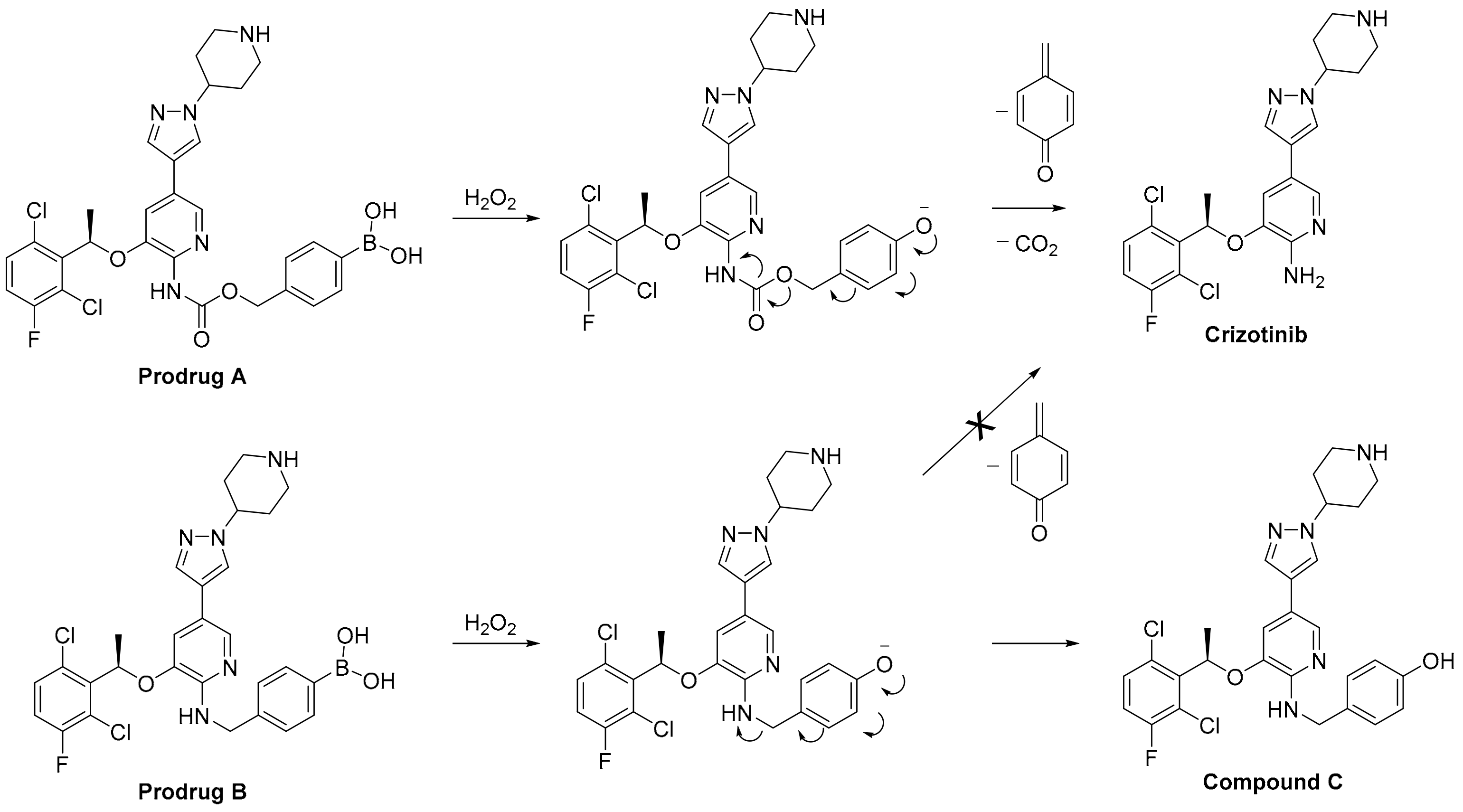
2.2. Synthesis
2.3. Kinase Screening
2.4. Activation Assay
2.5. Stability Under Biological Conditions
2.6. ROS Production by Cancer Cell Lines
2.7. Cytotoxicity
3. Conclusions
4. Materials and Methods
4.1. Synthesis and Characterization
4.2. Docking
4.3. In silico-ADME Prediction
4.4. Kinase Screening
4.5. H2O2 Activation Assay
4.6. Stability Assay
4.7. Cell Culture
4.8. Cytotoxicity Assay
4.9. ROS Assay by Flow Cytometry
Supplementary Materials
Author Contributions
Funding
Acknowledgments
Conflicts of Interest
References
- Schlessinger, J. Cell signaling by receptor tyrosine kinases. Cell 2000, 103, 211–225. [Google Scholar] [CrossRef]
- Hanahan, U.; Weinberg, R.A. The Hallmarks of Cancer. Cell 2000, 100, 57–70. [Google Scholar] [CrossRef]
- Wu, P.; Nielsen, T.E.; Clausen, M.H. FDA-approved small-molecule kinase inhibitors. Trends Pharmacol. Sci. 2015, 36, 422–439. [Google Scholar] [CrossRef] [PubMed]
- Chiavenna, S.M.; Jaworski, J.P.; Vendrell, A. State of the art in anti-cancer mAbs. J. Biomed. Sci. 2017, 24, 15. [Google Scholar] [CrossRef] [PubMed]
- Ho, V.W.T.; Tan, H.Y.; Wang, N.; Feng, Y. Cancer Management by Tyrosine Kinase Inhibitors: Efficacy, Limitation, and Future Strategies. In Tyrosine Kinases as Druggable Targets in Cancer; Huan Ren; IntechOpen Limited: London, UK, 2019; pp. 1–18. [Google Scholar]
- Smyth, L.A.; Collins, I. Measuring and interpreting the selectivity of protein kinase inhibitors. J. Chem. Boil. 2009, 2, 131–151. [Google Scholar] [CrossRef]
- Shao, L.-H.; Liu, S.-P.; Hou, J.-X.; Zhang, Y.-H.; Peng, C.-W.; Zhong, Y.-J.; Liu, X.; Liu, X.-L.; Hong, Y.-P.; Firestone, R.A.; et al. Cathepsin B cleavable novel prodrug Ac-Phe-Lys-PABC-ADM enhances efficacy at reduced toxicity in treating gastric cancer peritoneal carcinomatosis. Cancer 2011, 118, 2986–2996. [Google Scholar] [CrossRef]
- Walko, C.M.; Lindley, C. Capecitabine: A review. Clin. Ther. 2005, 27, 23–44. [Google Scholar] [CrossRef]
- Duan, J.-X.; Jiao, H.; Kaizerman, J.; Stanton, T.; Evans, J.W.; Lan, L.; Lorente, G.; Banica, M.; Jung, D.; Wang, J.; et al. Potent and Highly Selective Hypoxia-Activated Achiral Phosphoramidate Mustards as Anticancer Drugs. J. Med. Chem. 2008, 51, 2412–2420. [Google Scholar] [CrossRef]
- Patterson, A.V.; Silva, S.; Guise, C.; Bull, M.; Abbattista, M.; Hsu, A.; Sun, J.D.; Hart, C.P.; Pearce, T.E.; Smaill, J.B. TH-4000, a hypoxia-activated EGFR/Her2 inhibitor to treat EGFR-TKI resistant T790M-negative NSCLC. J. Clin. Oncol. 2015, 33, e13548. [Google Scholar] [CrossRef]
- Karnthaler-Benbakka, C.; Groza, D.; Kryeziu, K.; Pichler, V.; Roller, A.; Berger, W.; Heffeter, P.; Kowol, C. Tumor-targeting of EGFR inhibitors by hypoxia-mediated activation. Angew. Chem. Int. Ed. 2014, 53, 12930–12935. [Google Scholar] [CrossRef]
- Zou, H.Y.; Li, Q.; Lee, J.H.; Arango, M.E.; McDonnell, S.R.; Yamazaki, S.; Koudriakova, T.B.; Alton, G.; Cui, J.J.; Kung, P.-P.; et al. An Orally Available Small-Molecule Inhibitor of c-Met, PF-2341066, Exhibits Cytoreductive Antitumor Efficacy through Antiproliferative and Antiangiogenic Mechanisms. Cancer Res. 2007, 67, 4408–4417. [Google Scholar] [CrossRef]
- Cui, J.J.; Tran-Dubé, M.; Shen, H.; Nambu, M.; Kung, P.-P.; Pairish, M.; Jia, L.; Meng, J.; Funk, L.; Botrous, I.; et al. Structure Based Drug Design of Crizotinib (PF-02341066), a Potent and Selective Dual Inhibitor of Mesenchymal–Epithelial Transition Factor (c-MET) Kinase and Anaplastic Lymphoma Kinase (ALK). J. Med. Chem. 2011, 54, 6342–6363. [Google Scholar] [CrossRef] [PubMed]
- Shaw, A.T.; Riely, G.; Bang, Y.-J.; Kim, D.-W.; Camidge, D.; Solomon, B.; Varella-Garcia, M.; Iafrate, A.; Shapiro, G.; Usari, T.; et al. Crizotinib in ROS1-rearranged advanced non-small-cell lung cancer (NSCLC): Updated results, including overall survival, from PROFILE 1001. Ann. Oncol. 2019, 30, 1121–1126. [Google Scholar] [CrossRef]
- Kazandjian, D.; Blumenthal, G.M.; Chen, H.-Y.; He, K.; Patel, M.; Justice, R.; Keegan, P.; Pazdur, R. FDA Approval Summary: Crizotinib for the Treatment of Metastatic Non-Small Cell Lung Cancer with Anaplastic Lymphoma Kinase Rearrangements. Oncologist. 2014, 19, e5–e11. [Google Scholar] [CrossRef] [PubMed]
- Rothenstein, J.; Letarte, N. Managing treatment–related adverse events associated with Alk inhibitors. Curr. Oncol. 2013, 21, 19–26. [Google Scholar] [CrossRef] [PubMed]
- Vandooren, J.; Opdenakker, G.; Loadman, P.; Edwards, D. Proteases in cancer drug delivery. Adv. Drug Deliv. Rev. 2016, 97, 144–155. [Google Scholar] [CrossRef]
- Phillips, R.M. Targeting the hypoxic fraction of tumours using hypoxia-activated prodrugs. Cancer Chemother. Pharmacol. 2016, 77, 441–457. [Google Scholar] [CrossRef]
- Peng, X.; Gandhi, V. ROS-activated anticancer prodrugs: A new strategy for tumor-specific damage. Ther. Deliv. 2012, 3, 823–833. [Google Scholar] [CrossRef]
- Szatrowski, T.P.; Nathan, C.F. Production of large amounts of hydrogen peroxide by human tumor cells. Cancer Res. 1991, 51. [Google Scholar]
- Pelicano, H.; Carney, D.; Huang, P. ROS stress in cancer cells and therapeutic implications. Drug Resist. Updat. 2004, 7, 97–110. [Google Scholar] [CrossRef]
- Hagen, H.; Marzenell, P.; Jentzsch, E.; Wenz, F.; Veldwijk, M.R.; Mokhir, A. Aminoferrocene-Based Prodrugs Activated by Reactive Oxygen Species. J. Med. Chem. 2012, 55, 924–934. [Google Scholar] [CrossRef] [PubMed]
- Cadahía, J.P.; Bondebjerg, J.; Hansen, C.A.; Previtali, V.; Hansen, A.E.; Andresen, T.L.; Clausen, M.H. Synthesis and Evaluation of Hydrogen Peroxide Sensitive Prodrugs of Methotrexate and Aminopterin for the Treatment of Rheumatoid Arthritis. J. Med. Chem. 2018, 61, 3503–3515. [Google Scholar] [CrossRef] [PubMed]
- Chen, W.; Han, Y.; Peng, X. Aromatic Nitrogen Mustard-Based Prodrugs: Activity, Selectivity, and the Mechanism of DNA Cross-Linking. Chem. A Eur. J. 2014, 20, 7410–7418. [Google Scholar] [CrossRef] [PubMed]
- Meng, X.-Y.; Zhang, H.-X.; Mezei, M.; Cui, M. Molecular docking: A powerful approach for structure-based drug discovery. Curr. Comput. Drug Des. 2011, 7, 146–157. [Google Scholar] [CrossRef]
- Daina, A.; Michielin, O.; Zoete, V. SwissADME: A free web tool to evaluate pharmacokinetics, drug-likeness and medicinal chemistry friendliness of small molecules. Sci. Rep. 2017, 7, 42717. [Google Scholar] [CrossRef]
- Ertl, P.; Rohde, B.; Selzer, P. Fast calculation of molecular polar surface area as a sum of fragment-based contributions and its application to the prediction of drug transport properties. J. Med. Chem. 2000, 43, 3714–3717. [Google Scholar] [CrossRef]
- Cadahía, J.P.; Previtali, V.; Troelsen, N.S.; Clausen, M.H. Prodrug strategies for targeted therapy triggered by reactive oxygen species. MedChemComm 2019, 10, 1531–1549. [Google Scholar] [CrossRef]
- Fretz, H.; Lyothier, I.; Pothier, J.; Richard-Bildstein, S.; Sifferlen, T.; Wyder Peters, L.; Pozzi, D.; Corminboeuf, O. N-substituted indole derivatives as pge2 receptor modulators. WO2017085198A1, 26 May 2017. [Google Scholar]
- Ramachandran, P.V.; Kulkarni, A.S.; Zhao, Y.; Mei, J. Amine–boranes bearing borane-incompatible functionalities: Application to selective amine protection and surface functionalization. Chem. Commun. 2016, 52, 11885–11888. [Google Scholar] [CrossRef]
- Frisch, M.J.; Trucks, G.W.; Schlegel, H.B.; Scuseria, G.E.; Robb, M.A.; Cheeseman, J.R.; Scalmani, G.; Barone, V.; Mennucci, B.; Petersson, G.A.; et al. Gaussian, Rev.09; Gaussian Inc.: Wallingford, CT, USA, 2009. [Google Scholar]
- Morris, G.; Huey, R.; Lindstrom, W.; Sanner, M.F.; Belew, R.K.; Goodsell, D.S.; Olson, A.J. AutoDock4 and AutoDockTools4: Automated docking with selective receptor flexibility. J. Comput. Chem. 2009, 30, 2785–2791. [Google Scholar] [CrossRef]
- Trott, O.; Olson, A.J. AutoDock Vina: Improving the speed and accuracy of docking with a new scoring function, efficient optimization, and multithreading. J. Comput. Chem. 2010, 31, 455–461. [Google Scholar] [CrossRef]
- DeLano, W.L. The PyMol User’s Manual; DeLano Scientific: San Carlos, CA, USA, 2002. [Google Scholar]
- Laskowski, R.A.; Swindells, M.B. LigPlot+: Multiple Ligand–Protein Interaction Diagrams for Drug Discovery. J. Chem. Inf. Model. 2011, 51, 2778–2786. [Google Scholar] [CrossRef] [PubMed]
Sample Availability: Samples of the compounds 1, 2, 4, 5, A, B and C are available from the authors. |











| Models | Prodrug A | Prodrug B | Crizotinib |
|---|---|---|---|
| Molecular weight | 629.29 | 585.28 | 451.34 |
| Num. H-bond acceptors | 8 | 6 | 4 |
| Num. H-bond donors | 4 | 4 | 2 |
| TPSA (≤140 Å) | 135.34 Å2 | 109.04 Å2 | 82.57 Å2 |
| Consensus Log Po/w | 3.23 | 3.09 | 3.73 |
| Log S (ESOL) | −6.15 | −6.29 | −5.05 |
| GI absorption | Low | High | High |
| Blood–brain-barrier (BBB)-permeant | No | No | No |
| CYP1A2 inhibitor | No | No | Yes |
| CYP2C9 inhibitor | No | No | No |
| CYP2C19 inhibitor | Yes | Yes | No |
| CYP2D6 inhibitor | No | No | No |
| CYP3A4 inhibitor | Yes | Yes | No |
| P-glycoprotein substrate | No | Yes | Yes |
| Log Kp (skin permeation) | −7.05 cm/s | −6.50 cm/s | −6.43 cm/s |
| PAINS | 0 alert | 0 alert | 0 alert |
| Bioavailability score | 0.55 | 0.55 | 0.55 |
| Lipinski requirements | Yes; 1 violation * | Yes; 1 violation * | Yes; 0 violation |
| Drugs | IC50 (µM) | ||||||
|---|---|---|---|---|---|---|---|
| H1993 | Ratio | H2228 | Ratio | RUMH | Ratio | HLF | |
| Prodrug A | 9.73 ± 2.63 | 1.22 | 23.14 ± 0.47 | 1.62 | 13.97 ± 3.92 | 1.57 | 16.79 ± 1.38 |
| A + H2O2 | 7.96 ± 1.38 | 14.31 ± 1.73 | 8.88 ± 1.54 | ||||
| Prodrug B | 10.21 ± 1.68 | 0.87 | 8.3 ± 0.42 | 0.92 | 5.05 ± 0.44 | 0.91 | 8.99 ± 0.36 |
| B + H2O2 | 11.79 ± 1.44 | 9.03 ± 0.81 | 5.58 ± 1.51 | ||||
| Crizotinib | 3.18 ± 0.26 | 1.12 | 13.73 ± 0.33 | 1.04 | 6.08 ± 1.51 | 1.00 | 6.32 ± 0.39 |
| Crizotinib + H2O2 | 2.84 ± 0.23 | 13.21 ± 0.32 | 6.06 ± 1.7 | ||||
| Compound C | 9.96 ± 2.69 | 7.23 ± 0.28 | 5.94 ± 1.09 | 4.03 ± 0.04 | |||
© 2020 by the authors. Licensee MDPI, Basel, Switzerland. This article is an open access article distributed under the terms and conditions of the Creative Commons Attribution (CC BY) license (http://creativecommons.org/licenses/by/4.0/).
Share and Cite
Bielec, B.; Poetsch, I.; Ahmed, E.; Heffeter, P.; Keppler, B.K.; Kowol, C.R. Reactive Oxygen Species (ROS)-Sensitive Prodrugs of the Tyrosine Kinase Inhibitor Crizotinib. Molecules 2020, 25, 1149. https://doi.org/10.3390/molecules25051149
Bielec B, Poetsch I, Ahmed E, Heffeter P, Keppler BK, Kowol CR. Reactive Oxygen Species (ROS)-Sensitive Prodrugs of the Tyrosine Kinase Inhibitor Crizotinib. Molecules. 2020; 25(5):1149. https://doi.org/10.3390/molecules25051149
Chicago/Turabian StyleBielec, Bjoern, Isabella Poetsch, Esra Ahmed, Petra Heffeter, Bernhard K. Keppler, and Christian R. Kowol. 2020. "Reactive Oxygen Species (ROS)-Sensitive Prodrugs of the Tyrosine Kinase Inhibitor Crizotinib" Molecules 25, no. 5: 1149. https://doi.org/10.3390/molecules25051149
APA StyleBielec, B., Poetsch, I., Ahmed, E., Heffeter, P., Keppler, B. K., & Kowol, C. R. (2020). Reactive Oxygen Species (ROS)-Sensitive Prodrugs of the Tyrosine Kinase Inhibitor Crizotinib. Molecules, 25(5), 1149. https://doi.org/10.3390/molecules25051149

