Novozym 435-Catalyzed Synthesis of Well-Defined Hyperbranched Aliphatic Poly(β-thioether ester)
Abstract
1. Introduction
2. Results and Discussion
2.1. Synthesis of AB2/ABB’ Monomers
2.2. Novozym 435-Catalyzed Synthesis of Hyperbranched Poly(β-thioether ester)s
2.3. Structural Characterization of Hyperbranched Poly(β-thioether ester)s
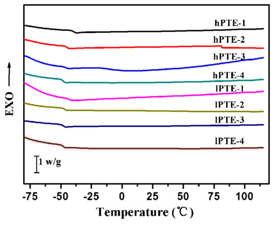
2.4. Thermal Characterization of Hyperbranched Poly(β-thioether ester)s
2.5. Acid-Degradation Study
2.6. Preparation and Characterization of Polymeric Nanoparticles
2.7. Oxidation-Responsive Study
3. Materials and Methods
3.1. Materials
3.2. Characterization
3.3. Synthesis of Methyl 3-((3-hydroxy-2-(hydroxymethyl)propyl)thio)propanoate (HHTP)
3.4. Synthesis of Methyl 3-((2,3-dihydroxypropyl)thio)propanoate (DHTP)
3.5. Novozym 435-Catalyzed Polymerization of HHTP or DHTP with OTO Using Various Monomer Ratios
3.6. Acid-Sensitive Degradation of hPTE-1 and lPTE-1 Copolymers
3.7. Preparation of hPTE-1 and lPTE-1 Nanoparticles
3.8. Oxidation-Responsive Properties of hPTE-1 and lPTE-1 Nanoparticles
4. Conclusions
Supplementary Materials
Author Contributions
Funding
Acknowledgments
Conflicts of Interest
References
- Caminade, A.; Yan, D.; Smith, D.K. Dendrimers and hyperbranched polymers. Chem. Soc. Rev. 2015, 44, 3870–3873. [Google Scholar] [CrossRef]
- Yates, C.R.; Hayes, W. Synthesis and applications of hyperbranched polymers. Eur. Polym. J. 2004, 40, 1257–1281. [Google Scholar] [CrossRef]
- Zhou, Y.; Huang, W.; Liu, J.; Zhu, X.; Yan, D. Self-assembly of hyperbranched polymers and its biomedical applications. Adv. Mater. 2010, 22, 4567–4590. [Google Scholar] [CrossRef] [PubMed]
- Kim, Y.H. Hyperbranched polymers 10 years after. J. Polym. Sci. Part. A Polym. Chem. 1998, 36, 1685–1698. [Google Scholar] [CrossRef]
- Voit, B. Hyperbranched polymers-all problems solved after 15 years of research. J. Polym. Sci. Part. A Polym. Chem. 2005, 43, 2679–2699. [Google Scholar] [CrossRef]
- Zheng, Y.; Li, S.; Weng, Z.; Gao, C. Hyperbranched polymers: advances from synthesis to applications. Chem. Soc. Rev. 2015, 44, 4091–4130. [Google Scholar] [CrossRef]
- Uhrich, K.E.; Hawker, C.J.; Frechet, J.M.J.; Turner, S.R. One-pot synthesis of hyperbranched polyethers. Macromolecules 1992, 25, 4583–4587. [Google Scholar] [CrossRef]
- Zhang, Q.; Yu, Q.; Geng, Y.; Zhang, J.; Wu, W.; Wang, G.; Gu, Z.; Yu, X. Ring-opening polymerization for hyperbranched polycationic gene delivery vectors with excellent serum tolerance. Acs Appl. Mater. Interfaces 2014, 6, 15733–15742. [Google Scholar] [CrossRef]
- Yang, M.; Wu, Y.; Liu, Y.; Qiu, J.; Liu, C. A novel bio-based AB2 monomer for preparing hyperbranched polyamides derived from levulinic acid and furfurylamine. Polym. Chem. 2019, 10, 6217–6226. [Google Scholar] [CrossRef]
- Spindler, R.; Frechet, J.M.J. Synthesis and characterization of hyperbranched polyurethanes prepared from blocked isocyanate monomers by step-growth polymerization. Macromolecules 1993, 26, 4809–4813. [Google Scholar] [CrossRef]
- Rannard, S.P.; Davis, N.J.; Herbert, I. Synthesis of water soluble hyperbranched polyurethanes using selective activation of AB2 monomers. Macromolecules 2004, 37, 9418–9430. [Google Scholar] [CrossRef]
- Hawker, C.J.; Lee, R.; Frechet, J.M.J. One-step synthesis of hyperbranched dendritic polyesters. J. Am. Chem. Soc. 1991, 113, 4583–4588. [Google Scholar] [CrossRef]
- Malmstroem, E.; Johansson, M.; Hult, A. Hyperbranched aliphatic polyesters. Macromolecules 1995, 28, 1698–1703. [Google Scholar] [CrossRef]
- Tryznowski, M.; Tomczyk, K.; Fras, Z.; Gregorowicz, J.; Rokicki, G.; Wawrzyńska, E.; Parzuchowski, P.G. Aliphatic hyperbranched polycarbonates: synthesis, characterization, and solubility in supercritical carbon dioxide. Macromolecules 2012, 45, 6819–6829. [Google Scholar] [CrossRef]
- Froehling, P. Development of DSM’s hybrane® hyperbranched polyesteramides. J. Polym. Sci. Part. A Polym. Chem. 2004, 42, 3110–3115. [Google Scholar] [CrossRef]
- Aydogan, C.; Ciftci, M.; Yagci, Y. Hyperbranched polymers by light-induced self-condensing vinyl polymerization. Macromol. Rapid Commun. 2018, 1800276. [Google Scholar] [CrossRef]
- Zou, J.; Shi, W.; Wang, J.; Bo, J. Encapsulation and controlled release of a hydrophobic drug using a novel nanoparticle-forming hyperbranched polyester. Macromol. Biosci. 2005, 5, 662–668. [Google Scholar] [CrossRef]
- Santra, S.; Kaittanis, C.; Perez, J.M. Aliphatic hyperbranched polyester: a new building block in the construction of multifunctional nanoparticles and nanocomposites. Langmuir 2010, 26, 5364–5373. [Google Scholar] [CrossRef][Green Version]
- Zhang, H.; Patel, A.; Gaharwar, A.K.; Mihaila, S.M.; Iviglia, G.; Mukundan, S.; Bae, H.; Yang, H.; Khademhosseini, A. Hyperbranched polyester hydrogels with controlled drug release and cell adhesion properties. Biomacromolecules 2013, 14, 1299–1310. [Google Scholar] [CrossRef]
- Bednarek, M. Branched aliphatic polyesters by ring-opening(co)polymerization. Prog. Polym. Sci. 2016, 58, 27–58. [Google Scholar] [CrossRef]
- Fischer, A.M.; Frey, H. Soluble hyperbranched poly(glycolide) copolymers. Macromolecules 2010, 43, 8539–8548. [Google Scholar] [CrossRef]
- Jikei, M.; Suzuki, M.; Itoh, K.; Matsumoto, K.; Saito, Y.; Kawaguchi, S. Synthesis of hyperbranched poly(l-lactide)s by self-polycondensation of AB2 macromonomers and their structural characterization by light scattering measurements. Macromolecules 2012, 45, 8237–8244. [Google Scholar] [CrossRef]
- Smet, M.; Gottschalk, C.; Skaria, S.; Frey, H. Aliphatic hyperbranched copolyesters by combination of ROP and AB2-polycondensation. Macromol. Chem. Phys. 2005, 206, 2421–2428. [Google Scholar] [CrossRef]
- Dan, K.; Ghosh, S. One-pot synthesis of an acid-labile amphiphilic triblock copolymer and its pH-responsive vesicular assembly. Angew. Chem. Int. Ed. 2013, 52, 7300–7305. [Google Scholar] [CrossRef] [PubMed]
- Wu, W.; Yang, X.; Liu, B.; Deng, Q.; Xun, M.; Wang, N.; Yu, X. Lipase-catalyzed synthesis of oxidation-responsive poly(ethylene glycol)-b-poly(β-thioether ester) amphiphilic block copolymers. RSC Adv. 2016, 6, 11870–11879. [Google Scholar] [CrossRef]
- Hong, S.H.; Patel, T.; Ip, S.; Garg, S.; Oh, J.K. Microfluidic assembly to synthesize dual enzyme/oxidation-responsive polyester-based nanoparticulates with controlled sizes for drug delivery. Langmuir 2018, 34, 3316–3325. [Google Scholar] [CrossRef]
- Oishi, M.; Nagasaki, Y.; Itaka, K.; Nishiyama, N.; Kataoka, K. Lactosylated poly(ethylene glycol)-sirna conjugate through acid-labile β-thiopropionate linkage to construct ph-sensitive polyion complex micelles achieving enhanced gene silencing in hepatoma cells. J. Am. Chem. Soc. 2005, 127, 1624–1625. [Google Scholar] [CrossRef]
- Lee, S.H.; Gupta, M.K.; Bang, J.B.; Bae, H.; Sung, H. Current progress in reactive oxygen species (ROS)-responsive materials for biomedical applications. Adv. Healthcare Mater. 2013, 2, 908–915. [Google Scholar] [CrossRef]
- Vo, C.D.; Kilcher, G.; Tirelli, N. Polymers and sulfur: what are organic polysulfides good for? preparative strategies and biological applications. Macromol. Rapid Commun. 2009, 30, 299–315. [Google Scholar] [CrossRef]
- Tannock, I.F.; Rotin, D. Acid pH in tumors and its potential for therapeutic exploitation. Cancer Res. 1989, 49, 4373–4384. [Google Scholar]
- Yang, B.; Chen, Y.; Shi, J. Reactive oxygen species (ROS)-based nanomedicine. Chem. Rev. 2019, 119, 4881–4985. [Google Scholar] [CrossRef] [PubMed]
- Vandenbergh, J.; Ranieri, K.; Junkers, T. Synthesis of (bio)-degradable poly(β-thioester)s via amine catalyzed thiol-ene click polymerization. Macromol. Chem. Phys. 2012, 213, 2611–2617. [Google Scholar] [CrossRef]
- Vandenbergh, J.; Peeters, M.; Kretschmer, T.; Wagner, P.; Junkers, T. Cross-linked degradable poly(β-thioester) networks via amine-catalyzed thiol-ene click polymerization. Polymer 2014, 55, 3525–3532. [Google Scholar] [CrossRef]
- Cheng, F.; Su, T.; Luo, K.; Pu, Y.; He, B. The polymerization kinetics, oxidation-responsiveness, and in vitro anticancer efficacy of poly(ester-thioether)s. J. Mater. Chem. B 2019, 7, 1005–1016. [Google Scholar] [CrossRef]
- Xiao, C.; Ding, J.; Ma, L.; Yang, C.; Zhuang, X.; Chen, X. Synthesis of thermal and oxidation dual responsive polymers for reactive oxygen species (ROS)-triggered drug release. Polym. Chem. 2015, 6, 738–747. [Google Scholar] [CrossRef]
- Cheng, D.; Yang, P.; Cong, Y.; Liu, F.; Qiao, Z.; Wang, H. One-pot synthesis of pH-responsive hyperbranched polymer-peptide conjugates with enhanced stability and loading efficiency for combined cancer therapy. Polym. Chem. 2017, 8, 2462–2471. [Google Scholar] [CrossRef]
- Stöhr, O.; Ritter, H. Hyperbranched polyesters based on hydroxyalkyl-lactones via thiol-ene click reaction. Polym. Int. 2015, 64, 37–41. [Google Scholar] [CrossRef]
- Shoda, S.; Uyama, H.; Kadokawa, J.; Kimura, S.; Kobayashi, S. Enzymes as green catalysts for precision macromolecular synthesis. Chem. Rev. 2016, 116, 2307–2413. [Google Scholar] [CrossRef]
- Gross, R.A.; Ganesh, M.; Lu, W. Enzyme-catalysis breathes new life into polyester condensation polymerizations. Trends Biotechnol. 2010, 28, 435–443. [Google Scholar] [CrossRef]
- Doukaa, A.; Vouyioukaa, S.; Papaspyridi, L.; Papaspyridesa, C.D. A review on enzymatic polymerization to produce polycondensation polymers: The case of aliphatic polyesters, polyamides and polyesteramides. Prog. Polym. Sci. 2018, 79, 1–25. [Google Scholar] [CrossRef]
- Pellis, A.; Acero, E.H.; Ferrario, V.; Ribitsch, D.; Guebitz, G.M.; Gardossi, L. The closure of the cycle: enzymatic synthesis and functionalization of bio-based polyesters. Trends Biotechnol. 2016, 34, 316–328. [Google Scholar] [CrossRef]
- Jiang, Y.; Loos, K. Enzymatic synthesis of biobased polyesters and polyamides. Polymers 2016, 8, 243. [Google Scholar] [CrossRef]
- Anderson, E.M.; Larsson, K.M.; Kirk, O. One biocatalyst-many applications: The use of Candida antarctica. Biocatal. Biotransfor. 1998, 16, 181–204. [Google Scholar] [CrossRef]
- Gustini, L.; Finzel, L.; Lavilla, C.; Noordover, B.A.J.; Hendrix, M.M.R.M.; Gehrels, C.; Koning, C.E. Understanding the limitations of the solvent-free enzymatic synthesis of sorbitol-containing polyesters. Acs Sustain. Chem. Eng. 2016, 4, 2259–2268. [Google Scholar] [CrossRef]
- Garcia-Galan, C.; Berenguer-Murcia, Á.; Fernandez-Lafuente, R.; Rodrigues, R.C. Potential of different enzyme immobilization strategies to improve enzyme performance. Adv. Synth. Catal. 2011, 353, 2885–2904. [Google Scholar] [CrossRef]
- Rodrigues, R.C.; Virgen-Ortíz, J.J.; dos Santos, J.C.S.; Berenguer-Murcia, Á.; Alcantara, A.R.; Barbosa, O.; Ortiz, C.; Fernandez-Lafuente, R. Immobilization of lipases on hydrophobic supports: immobilization mechanism, advantages, problems, and solutions. Biotechnol. Adv. 2019, 37, 746–770. [Google Scholar] [CrossRef] [PubMed]
- Ortiz, C.; Ferreira, M.L.; Barbosa, O.; dos Santos, J.C.S.; Rodrigues, R.C.; Berenguer-Murcia, Á.; Briand, L.E.; Fernandez-Lafuente, R. Novozym 435: the “perfect” lipase immobilized biocatalyst? Catal. Sci. Technol. 2019, 9, 2380–2420. [Google Scholar] [CrossRef]
- Khan, A.; Sharma, S.K.; Kumar, A.; Watterson, A.C.; Kumar, J.; Parmar, V.S. Novozym 435-catalyzed syntheses of polyesters and polyamides of medicinal and industrial relevance. Chem. Sus. Chem. 2014, 7, 379–390. [Google Scholar] [CrossRef] [PubMed]
- Skaria, S.; Smet, M.; Frey, H. Enzyme-catalyzed synthesis of hyperbranched aliphatic polyesters. Macromol. Rapid Commun. 2002, 23, 292–296. [Google Scholar] [CrossRef]
- Kulshrestha, A.S.; Gao, W.; Fu, H.; Gross, R.A. Synthesis and characterization of branched polymers from lipase-catalyzed trimethylolpropane copolymerizations. Biomacromolecules 2007, 8, 1794–1801. [Google Scholar] [CrossRef] [PubMed]
- Liu, C.; Jiang, Z.; Decatur, J.; Xie, W.; Gross, R.A. Chain growth and branch structure formation during lipase-catalyzed synthesis of aliphatic polycarbonate polyols. Macromolecules 2011, 44, 1471–1479. [Google Scholar] [CrossRef]
- Xu, F.; Zhong, J.; Qian, X.; Li, Y.; Lin, X.; Wu, Q. Multifunctional poly(amine-ester)-type hyperbranched polymers: Lipase-catalyzed green synthesis, characterization, biocompatibility, drug loading and anticancer activity. Polym. Chem. 2013, 4, 3480–3490. [Google Scholar] [CrossRef]
- Valverde, C.; Lligadas, G.; Ronda, J.C.; Galià, M.; Cádiz, V. PEG-modified poly(10,11-dihydroxyundecanoic acid) amphiphilic copolymers. Grafting versus macromonomer copolymerization approaches using CALB. Eur. Polym. J. 2018, 109, 179–190. [Google Scholar] [CrossRef]
- Wu, W. Lipase-catalyzed synthesis of aliphatic poly(β-thioether ester) with various methylene group contents: thermal properties, crystallization and degradation. Polym. Int. 2019, 68, 1848–1855. [Google Scholar] [CrossRef]
- Wu, W.; Qu, L.; Liu, B.; Zhang, W.; Wang, N.; Yu, X. Lipase-catalyzed synthesis of acid-degradable poly (β-thioether ester) and poly (β-thioether ester-co-lactone) copolymers. Polymer 2015, 59, 187–193. [Google Scholar] [CrossRef]
- Wu, W.; Li, J.; Yang, X.; Wang, N.; Yu, X. Lipase-catalyzed synthesis of renewable acid-degradable poly(β-thioether ester) and poly(β-thioether ester-co-ricinoleic acid) copolymers derived from castor oil. Eur. Polym. J. 2019, 121, 109315. [Google Scholar] [CrossRef]
- Wu, W.; Li, J.; Yang, X.; Wang, X.; Zhang, Y.; Li, H.; Lan, L.; Deng, J.; Wang, N.; Yu, X. Lipase-catalyzed synthesis of pH-responsive poly(β-thioether ester)-b-poly(ethylene glycol)-b-poly(β-thioether ester) amphiphilic triblock copolymers for drug delivery. Int. J. Polym. Mater. 2019, 68, 564–574. [Google Scholar] [CrossRef]
- Ruiz, L.; Lligadas, G.; Ronda, J.C.; Galià, M.; Cádiz, V. Synthesis of acid degradable oxidation responsive poly(β-thioether ester)s from castor oil. Eur. Polym. J. 2019, 110, 183–191. [Google Scholar] [CrossRef]
- Li, L.; Wang, Q.; Lyu, R.; Yu, L.; Su, S.; Du, F.; Li, Z. Synthesis of a ROS-responsive analogue of poly(ε-caprolactone) by living ring-opening polymerization of 1,4-oxathiepan-7-one. Polym. Chem. 2018, 9, 4574–4584. [Google Scholar] [CrossRef]
- Hólter, D.; Burgath, A.; Frey, H. Degree of branching in hyperbranched polymers. 3 Copolymerization of ABm-monomers with AB and ABn-monomers. Acta. Polym. 1997, 48, 30–35. [Google Scholar]
Sample Availability: Samples of the compounds are available from the authors. |











| Name | HHTP or DHTP:OTO (feed ratio) | HHTP or DHTP:OTO a (unit ratio) | LHTP (%) b | DB c | Yield (%) | Mn d | PDI d |
|---|---|---|---|---|---|---|---|
| hPTE-1 | 1:3 | 1:4 | 27.5 | 0.348 | 87 | 30200 | 1.78 |
| hPTE-2 | 1:9 | 1:9 | 25.9 | 0.203 | 93 | 31000 | 1.89 |
| hPTE-3 | 1:24 | 1:26 | 9.9 | 0.049 | 89 | 19400 | 2.01 |
| hPTE-4 | 1:49 | 1:47 | 3.8 | 0.015 | 84 | 21100 | 1.84 |
| lPTE-1 | 1:3 | 1:3 | 55.8 | 0.131 | 90 | 15300 | 1.75 |
| lPTE-2 | 1:9 | 1:8 | 52.2 | 0.094 | 97 | 21700 | 1.76 |
| lPTE-3 | 1:24 | 1:20 | 47.4 | 0.013 | 86 | 19700 | 1.81 |
| lPTE-4 | 1:49 | 1:31 | 40.8 | 0.007 | 93 | 21400 | 1.83 |
| Name | T5% a (°C) | Tmax b (°C) | RW c (%) | Tm d (°C) | Tc d (°C) | Tg d (°C) |
|---|---|---|---|---|---|---|
| hPTE-1 | 310 | 359 | 4.8 | - | - | −43.4 |
| hPTE-2 | 310 | 355 | 2.6 | - | - | −46.6 |
| hPTE-3 | 304 | 349 | 0 | - | - | −47.6 |
| hPTE-4 | 307 | 346 | 5.0 | - | - | −47.8 |
| lPTE-1 | 297 | 348 | 4.3 | - | - | −38.8 |
| lPTE-2 | 311 | 351 | 1.8 | - | - | −44.7 |
| lPTE-3 | 311 | 349 | 3.3 | - | - | −45.9 |
| lPTE-4 | 316 | 347 | 3.9 | - | - | −47.7 |
© 2020 by the authors. Licensee MDPI, Basel, Switzerland. This article is an open access article distributed under the terms and conditions of the Creative Commons Attribution (CC BY) license (http://creativecommons.org/licenses/by/4.0/).
Share and Cite
Wu, W.-X.; Liu, Z. Novozym 435-Catalyzed Synthesis of Well-Defined Hyperbranched Aliphatic Poly(β-thioether ester). Molecules 2020, 25, 687. https://doi.org/10.3390/molecules25030687
Wu W-X, Liu Z. Novozym 435-Catalyzed Synthesis of Well-Defined Hyperbranched Aliphatic Poly(β-thioether ester). Molecules. 2020; 25(3):687. https://doi.org/10.3390/molecules25030687
Chicago/Turabian StyleWu, Wan-Xia, and Zi Liu. 2020. "Novozym 435-Catalyzed Synthesis of Well-Defined Hyperbranched Aliphatic Poly(β-thioether ester)" Molecules 25, no. 3: 687. https://doi.org/10.3390/molecules25030687
APA StyleWu, W.-X., & Liu, Z. (2020). Novozym 435-Catalyzed Synthesis of Well-Defined Hyperbranched Aliphatic Poly(β-thioether ester). Molecules, 25(3), 687. https://doi.org/10.3390/molecules25030687
