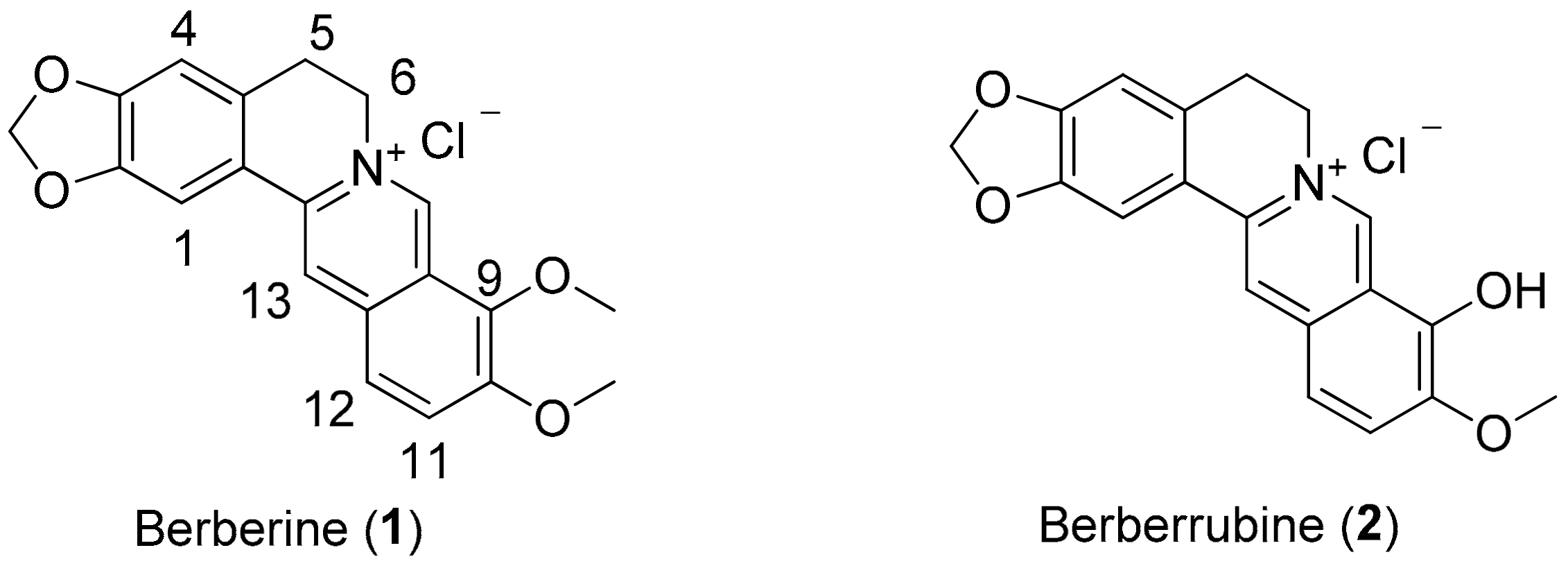
Synthesis and In Vitro Photocytotoxicity of 9-/13-Lipophilic Substituted Berberine Derivatives as Potential Anticancer Agents
- Supplementary File 1:
PDF-Document (PDF, 1388 KiB)
Lin, H.-J.; Ho, J.-H.; Tsai, L.-C.; Yang, F.-Y.; Yang, L.-L.; Kuo, C.-D.; Chen, L.-G.; Liu, Y.-W.; Wu, J.-Y. Synthesis and In Vitro Photocytotoxicity of 9-/13-Lipophilic Substituted Berberine Derivatives as Potential Anticancer Agents. Molecules 2020, 25, 677. https://doi.org/10.3390/molecules25030677
Lin H-J, Ho J-H, Tsai L-C, Yang F-Y, Yang L-L, Kuo C-D, Chen L-G, Liu Y-W, Wu J-Y. Synthesis and In Vitro Photocytotoxicity of 9-/13-Lipophilic Substituted Berberine Derivatives as Potential Anticancer Agents. Molecules. 2020; 25(3):677. https://doi.org/10.3390/molecules25030677
Chicago/Turabian StyleLin, Hong-Jhih, Jinn-Hsuan Ho, Li-Chen Tsai, Fang-Yu Yang, Ling-Ling Yang, Cheng-Deng Kuo, Lih-Geeng Chen, Yi-Wen Liu, and Jin-Yi Wu. 2020. "Synthesis and In Vitro Photocytotoxicity of 9-/13-Lipophilic Substituted Berberine Derivatives as Potential Anticancer Agents" Molecules 25, no. 3: 677. https://doi.org/10.3390/molecules25030677


