Alkoxy- and Silanol-Functionalized Cage-Type Oligosiloxanes as Molecular Building Blocks to Construct Nanoporous Materials
Abstract
1. Introduction
2. Synthesis Routes to Cage Siloxanes as Building Blocks
3. Preparation of Porous Materials by Hydrolysis and Polycondensation of Alkoxy-Functionalized Cage Siloxanes
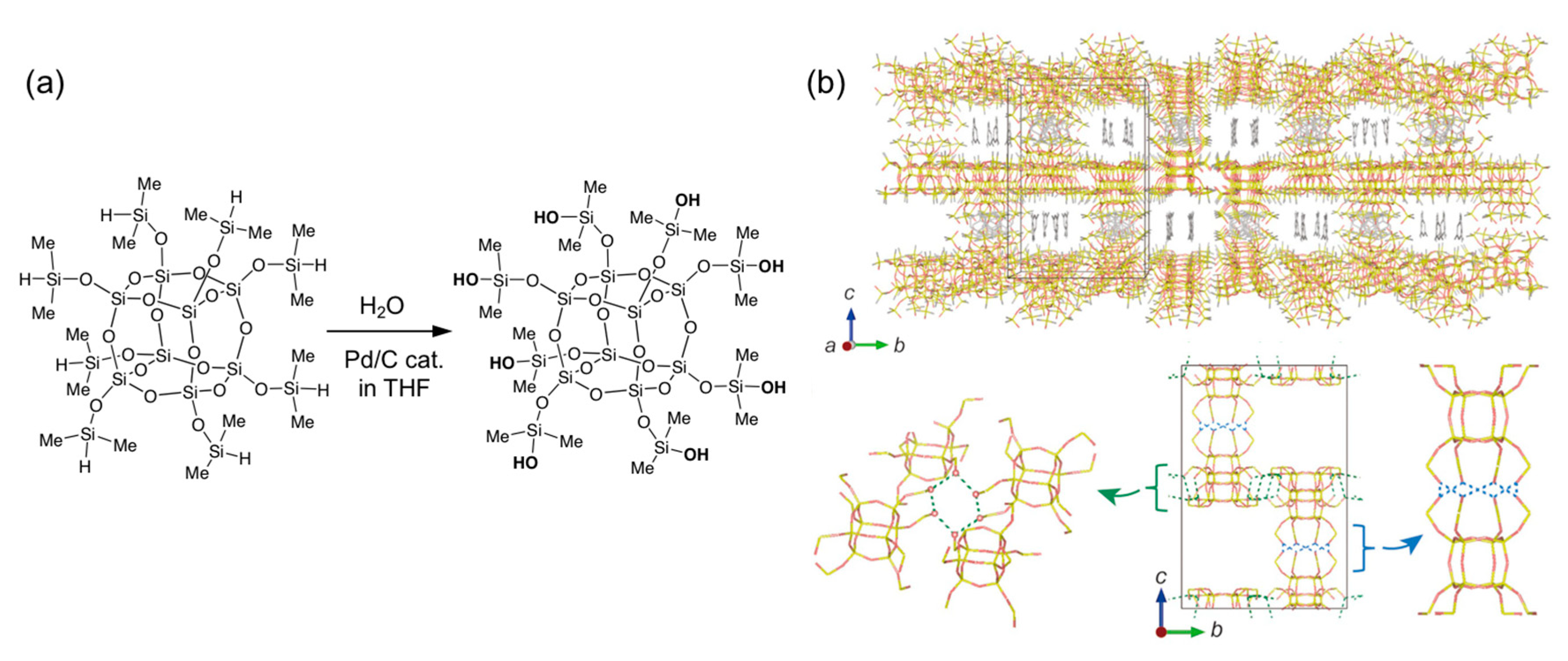
4. Crystalline Assemblies of Cage Siloxanes by Hydrogen Bonding of Silanol Groups
5. Controlled Connection of Cage Siloxanes by Regioselective Functionalization with Silanol Groups
6. Conclusions
Author Contributions
Funding
Acknowledgments
Conflicts of Interest
References
- Davis, M.E. Ordered porous materials for emerging applications. Nature 2002, 417, 813–821. [Google Scholar] [CrossRef] [PubMed]
- Soler-Illia, G.J.D.A.A.; Sanchez, C.; Lebeau, B.; Patarin, J. Chemical strategies to design textured materials: From microporous and mesoporous oxides to nanonetworks and hierarchical structures. Chem. Rev. 2002, 102, 4093–4138. [Google Scholar] [CrossRef] [PubMed]
- Wang, Y.; Zhao, Q.; Han, N.; Bai, L.; Li, J.; Liu, J.; Che, E.; Hu, L.; Zhang, Q.; Jiang, T. Mesoporous silica nanoparticles in drug delivery and biomedical applications. Nanomedicine 2015, 11, 313–327. [Google Scholar] [CrossRef] [PubMed]
- Li, Y.; Corma, A.; Yu, J.H. Synthesis of new zeolite structures. Chem. Soc. Rev. 2015, 44, 7112–7127. [Google Scholar] [CrossRef] [PubMed]
- Wan, Y.; Zhao, D. On the controllable soft-templating approach to mesoporous silicates. Chem. Rev. 2007, 107, 2821–2860. [Google Scholar] [CrossRef]
- Morris, R.E. Modular materials from zeolite-like building blocks. J. Mater. Chem. 2005, 15, 931–938. [Google Scholar] [CrossRef]
- Laine, R.M. Nanobuilding blocks based on the [OSiO1.5]x (x = 6, 8, 10) octasilsesquioxanes. J. Mater. Chem. 2005, 15, 3725–3744. [Google Scholar] [CrossRef]
- Matsumoto, K.; Oba, Y.; Nakajima, Y.; Shimada, S.; Sato, K. One-pot sequence-controlled synthesis of oligosiloxanes. Angew. Chem. Int. Ed. 2018, 57, 4637–4641. [Google Scholar] [CrossRef]
- Igarashi, M.; Matsumoto, T.; Yagihashi, F.; Yamashita, H.; Ohhara, T.; Hanashima, T.; Nakao, A.; Moyoshi, T.; Sato, K.; Shimada, S. Non-aqueous selective synthesis of orthosilicic acid and its oligomers. Nat. Commun. 2017, 8, 140. [Google Scholar] [CrossRef]
- Unno, M.; Kawaguchi, Y.; Kishimoto, Y.; Matsumoto, H. Stereoisomers of 1,3,5,7-tetrahydroxy-1,3,5,7-tetraisopropylcyclotetrasiloxane: Synthesis and structures in the crystal. J. Am. Chem. Soc. 2005, 127, 2256–2263. [Google Scholar] [CrossRef]
- Kinoshita, S.; Watase, S.; Matsukawa, K.; Kaneko, Y. Selective synthesis of cis–trans–cis cyclic tetrasiloxanes and the formation of their two-dimensional layered aggregates. J. Am. Chem. Soc. 2015, 137, 5061–5065. [Google Scholar] [CrossRef] [PubMed]
- Yoshikawa, M.; Shiba, H.; Wada, H.; Shimojima, A.; Kuroda, K. Polymerization of cyclododecasiloxanes with Si–H and Si–OEt side groups by the Piers-Rubinsztajn reaction. Bull. Chem. Soc. Jpn. 2018, 91, 747–753. [Google Scholar] [CrossRef]
- Unno, M.; Suto, A.; Matsumoto, T. Laddersiloxanes—Silsesquioxanes with defined ladder structure. Russ. Chem. Rev. 2013, 82, 289–302. [Google Scholar]
- Unno, M.; Suto, A.; Takada, K.; Matsumoto, H. Synthesis of ladder and cage silsesquioxanes from 1,2,3,4-tetrahydroxycyclotetrasiloxane. Bull. Chem. Soc. Jpn. 2000, 73, 215–220. [Google Scholar] [CrossRef]
- Cordes, D.B.; Lickiss, P.D.; Rataboul, F. Recent developments in the chemistry of cubic polyhedral oligosilsesquioxanes. Chem. Rev. 2010, 110, 2081–2173. [Google Scholar] [CrossRef]
- Harrison, P.G. Silicate cages: Precursors to new materials. J. Organomet. Chem. 1997, 542, 141–183. [Google Scholar] [CrossRef]
- Lickiss, P.D.; Rataboul, F. Fully condensed polyhedral oligosilsesquioxanes (POSS): From synthesis to application. Adv. Organomet. Chem. 2008, 57, 1–116. [Google Scholar]
- Tanaka, K.; Chujo, Y. Advanced functional materials based on polyhedral oligomeric silsesquioxane (POSS). J. Mater. Chem. 2011, 22, 1733–1746. [Google Scholar] [CrossRef]
- Shimojima, A.; Kuroda, K. Selective formation of siloxane-based hybrid cages with methylene groups in the frameworks. Chem. Commun. 2004, 2672–2673. [Google Scholar] [CrossRef]
- Wakabayashi, R.; Kuroda, K. Siloxane-bond formation promoted by Lewis acids: A nonhydrolytic sol–gel process and the Piers–Rubinsztajn reaction. ChemPlusChem 2013, 78, 764–774. [Google Scholar] [CrossRef]
- Kuroda, K.; Shimojima, A.; Kawahara, K.; Wakabayashi, R.; Tamura, Y.; Asakura, Y.; Kitahara, M. Utilization of alkoxysilyl groups for the creation of structurally controlled siloxane-based nanomaterials. Chem. Mater. 2014, 26, 211–220. [Google Scholar] [CrossRef]
- Hoebbel, D.; Garzó, G.; Engelhardt, G.; Vargha, A. Über die konstitution und verteilung der silicatanionen in wäßrigen tetramethylammonium-silicatlösungen. Z. Anorg. Allg. Chem. 1982, 494, 31–42. [Google Scholar] [CrossRef]
- Benner, K.; Klufers, P.; Schuhmacher, J. A molecular composite constructed in aqueous alkaline solution from a double six-ring silicate and alpha-cyclodextrin. Angew. Chem. Int. Ed. 1997, 36, 743–745. [Google Scholar] [CrossRef]
- Haouas, M.; Falaise, C.; Martineau-Corcos, C.; Cadot, E. Cyclodextrin-driven formation of double six-ring (D6R) silicate cage: NMR spectroscopic characterization from solution to crystals. Crystals 2018, 8, 457. [Google Scholar] [CrossRef]
- Hagiwara, Y.; Shimojima, A.; Kuroda, K. Alkoxysilylated-derivatives of double-four-ring silicate as novel building blocks of silica-based materials. Chem. Mater. 2008, 20, 1147–1153. [Google Scholar] [CrossRef]
- Smet, S.; Verlooy, P.; Duerinckx, K.; Breynaert, E.; Taulelle, F.; Martens, J.A. Double-four-ring [Si8O12][OH]8 cyclosilicate and functionalized spherosilicate synthesis from [N(n-C4H9)4]H7[Si8O20]·5.33H2O cyclosilicate hydrate crystals. Chem. Mater. 2017, 29, 5063–5069. [Google Scholar] [CrossRef]
- Nozawa, T.; Matsumoto, T.; Yagihashi, F.; Beppu, T.; Sato, K.; Igarashi, M. [Si8O12][OH]8: Isolation, structure, and reactivity of a cubic octamer of orthosilicic acid. Chem. Lett. 2018, 47, 1530–1533. [Google Scholar] [CrossRef]
- Agaskar, P.A. New synthetic route to the hydridospherosiloxanes Oh-H8Si8O12 and D5h-H10Si10O15. Inorg. Chem. 1991, 30, 2707–2708. [Google Scholar] [CrossRef]
- Bassindale, A.R.; Gentle, T. Derivatisation of octasilsesquioxane with alcohols and silanols. J. Organomet. Chem. 1996, 521, 391–393. [Google Scholar] [CrossRef]
- Saito, S.; Yamasue, N.; Wada, H.; Shimojima, A.; Kuroda, K. Cubic siloxanes with both Si–H and Si–OtBu groups for site-selective siloxane bond formation. Chem. Eur. J. 2016, 22, 13857–13864. [Google Scholar] [CrossRef]
- Bassindale, A.R.; Liu, Z.; MacKinnon, I.A.; Taylor, P.G.; Yang, Y.; Light, M.E.; Horton, P.N.; Hursthouse, M.B. A higher yielding route for T8 silsesquioxane cages and X-ray crystal structures of some novel spherosilicates. Dalton Trans. 2003, 2945–2949. [Google Scholar] [CrossRef]
- Bassindale, A.R.; Pourny, M.; Taylor, P.G.; Hursthouse, M.B.; Light, M.E. Fluoride-ion encapsulation within a silsesquioxane cage. Angew. Chem. Int. Ed. 2003, 42, 3488–3490. [Google Scholar] [CrossRef] [PubMed]
- Day, V.W.; Klemperer, W.G.; Mainz, V.V.; Millar, D.M. Molecular building blocks for the synthesis of ceramic materials: [Si8O12](OCH3)8. J. Am. Chem. Soc. 1985, 107, 8262–8264. [Google Scholar] [CrossRef]
- Cagle, P.C.; Klemperer, W.G.; Simmons, C.A. Molecular architecture and its role in silica sol–gel polymerization. Mater. Res. Soc. Symp. Proc. 1990, 180, 29–38. [Google Scholar] [CrossRef]
- Hagiwara, Y.; Shimojima, A.; Kuroda, K. Formation of reactive microporous networks from alkoxyvinylsilylated siloxane cages. Bull. Chem. Soc. Jpn. 2010, 83, 424–430. [Google Scholar] [CrossRef]
- Zhang, L.; Abbenhuis, H.C.L.; Yang, Q.; Wang, Y.-M.; Magusin, P.C.M.M.; Mezari, B.; Santen, R.A.; Li, C. Mesoporous organic–inorganic hybrid materials built using polyhedral oligomeric silsesquioxane blocks. Angew. Chem. Int. Ed. 2007, 46, 5003–5006. [Google Scholar] [CrossRef]
- Kuge, H.; Hagiwara, Y.; Shimojima, A.; Kuroda, K. Oligomeric alkoxysilanes with cagelike hybrids as cores: Designed precursors of nanohybrid materials. Chem. Asian J. 2008, 3, 600–606. [Google Scholar] [CrossRef]
- Shimojima, A.; Goto, R.; Atsumi, N.; Kuroda, K. Self-assembly of alkyl-substituted cubic siloxane cages into ordered hybrid materials. Chem. Eur. J. 2008, 14, 8500–8506. [Google Scholar] [CrossRef]
- Shimojima, A.; Kuge, H.; Kuroda, K. Synthesis of mesostructured silica from monoalkyl-substituted double five-ring units. J. Sol-Gel Sci. Technol. 2011, 57, 263–268. [Google Scholar] [CrossRef]
- Goto, R.; Shimojima, A.; Kuge, H.; Kuroda, K. A hybrid mesoporous material with uniform distribution of carboxy groups assembled from a cubic siloxane-based precursor. Chem. Commun. 2008, 6152–6154. [Google Scholar] [CrossRef]
- Chaikittisilp, W.; Sugawara, A.; Shimojima, A.; Okubo, T. Microporous hybrid polymer with a certain crystallinity built from functionalized cubic siloxane cages as a singular building unit. Chem. Mater. 2010, 22, 4841–4843. [Google Scholar] [CrossRef]
- Roll, M.F.; Kampf, J.W.; Kim, Y.; Yi, E.; Laine, R.M. Nano building blocks via iodination of [PhSiO1.5]n, forming [p-I-C6H4SiO1.5]n (n = 8, 10, 12), and a new route to high-surface-area, thermally stable, microporous materials via thermal elimination of I2. J. Am. Chem. Soc. 2010, 132, 10171–10183. [Google Scholar] [CrossRef] [PubMed]
- Kim, Y.; Koh, K.; Roll, M.F.; Laine, R.M.; Matzger, A.J. Porous networks assembled from octaphenylsilsesquioxane building blocks. Macromolecules 2010, 43, 6995–7000. [Google Scholar] [CrossRef]
- Peng, Y.; Ben, T.; Xu, J.; Xue, M.; Jing, X.; Deng, F.; Qiu, S.; Zhu, G. A covalently-linked microporous organic-inorganic hybrid framework containing polyhedral oligomeric silsesquioxane moieties. Dalton Trans. 2011, 40, 2720–2724. [Google Scholar] [CrossRef] [PubMed]
- Wu, Y.; Wang, D.; Li, L.; Yang, W.; Feng, S.; Liu, H. Hybrid porous polymers constructed from octavinylsilsesquioxane and benzene via Friedel–Crafts reaction: Tunable porosity, gas sorption, and postfunctionalization. J. Mater. Chem. A 2014, 2, 2160–2167. [Google Scholar] [CrossRef]
- Chaikittisilp, W.; Kubo, M.; Moteki, T.; Sugawara-Narutaki, A.; Shimojima, A.; Okubo, T. Porous siloxaneorganic hybrid with ultrahigh surface area through simultaneous polymerization-destruction of functionalized cubic siloxane cages. J. Am. Chem. Soc. 2011, 133, 13832–13835. [Google Scholar] [CrossRef]
- Du, Y.; Ge, M.; Liu, H. Porous polymers derived from octavinylsilsesquioxane by cationic polymerization. Macromol. Chem. Phys. 2019, 220, 1800536. [Google Scholar] [CrossRef]
- Ge, M.; Liu, H. Fluorine-containing silsesquioxane-based hybrid porous polymers mediated by bases and their use in water remediation. Chem. Eur. J. 2018, 24, 2224–2231. [Google Scholar] [CrossRef]
- Iyoki, K.; Sugawara-Narutaki, A.; Shimojima, A.; Okubo, T. Hierarchical porous silicavia solid-phase hydrolysis/polycondensation of cubic siloxane-based molecular units. J. Mater. Chem. A 2013, 1, 671–676. [Google Scholar] [CrossRef]
- Voisin, D.; Flot, D.; Van der Lee, A.; Dautel, O.J.; Moreau, J.J.E. Hydrogen bond-directed assembly of silsesquioxanes cubes: synthesis of carboxylic acid POSS derivatives and the solid state structure of octa[2-(p-carboxyphenyl)ethyl] silsesquioxane. CrysEngComm 2017, 19, 492–502. [Google Scholar] [CrossRef]
- Chandrasekhar, V.; Boomishankar, R.; Nagendran, S. Recent developments in the synthesis and structure of organosilanols. Chem. Rev. 2004, 104, 5847–5910. [Google Scholar] [CrossRef] [PubMed]
- Kawakami, Y.; Sakuma, Y.; Wakuda, T.; Nakai, T.; Shirasaka, M.; Kabe, Y. Hydrogen-bonding 3D networks by polyhedral organosilanols: Selective inclusion of hydrocarbons in open frameworks. Organometallics 2010, 29, 3281–3288. [Google Scholar] [CrossRef]
- Kawahara, K.; Tachibana, H.; Hagiwara, Y.; Kuroda, K. A spherosilicate oligomer with eight stable silanol groups as a building block of hybrid materials. New J. Chem. 2012, 36, 1210–1217. [Google Scholar] [CrossRef]
- Sato, N.; Kuroda, Y.; Abe, T.; Wada, H.; Shimojima, A.; Kuroda, K. Regular assembly of cage siloxanes by hydrogen bonding of dimethylsilanol groups. Chem. Commun. 2015, 51, 11034–11037. [Google Scholar] [CrossRef] [PubMed]
- Sato, N.; Kuroda, Y.; Wada, H.; Shimojima, A.; Kuroda, K. Preparation of Siloxane-based microporous crystal from hydrogen bonded molecular crystal of cage siloxane. Chem. Eur. J. 2018, 24, 17033–17038. [Google Scholar] [CrossRef] [PubMed]
- Sato, N.; Tochigi, K.; Kuroda, Y.; Wada, H.; Shimojima, A.; Kuroda, K. Synthesis and crystal structure of double-three ring (D3R)-type cage siloxanes modified with dimethylsilanol groups. Dalton Trans. 2019, 48, 1969–1975. [Google Scholar] [CrossRef]
- Anderson, E.; Mitchell, C.; Haddad, T.S.; Vij, A.; Schwab, J.J.; Bowers, M.T. Structural characterization of POSS siloxane dimer and trimer. Chem. Mater. 2006, 18, 1490–1497. [Google Scholar] [CrossRef]
- Hoque, A.; Kakihana, Y.; Shinke, S.; Kawakami, Y. Polysiloxanes with periodically distributed isomeric double-decker silsesquioxane in the main chain. Macromolecules 2009, 42, 3309–3315. [Google Scholar] [CrossRef]
- Katsuta, N.; Yoshimatsu, M.; Komori, K.; Natsuaki, T.; Suwa, K.; Sakai, K.; Matsuo, T.; Ohba, T.; Uemura, S.; Watanabe, S.; et al. Necklace-shaped dimethylsiloxane polymers bearing polyhedral oligomeric silsesquioxane cages with alternating length chains. Polymer 2017, 127, 8–14. [Google Scholar] [CrossRef]
- Saito, S.; Wada, H.; Shimojima, A.; Kuroda, K. Synthesis of zeolitic macrocycles using site-selective condensation of regioselectively difunctionalized cubic siloxanes. Inorg. Chem. 2018, 57, 14686–14691. [Google Scholar] [CrossRef]







© 2020 by the authors. Licensee MDPI, Basel, Switzerland. This article is an open access article distributed under the terms and conditions of the Creative Commons Attribution (CC BY) license (http://creativecommons.org/licenses/by/4.0/).
Share and Cite
Shimojima, A.; Kuroda, K. Alkoxy- and Silanol-Functionalized Cage-Type Oligosiloxanes as Molecular Building Blocks to Construct Nanoporous Materials. Molecules 2020, 25, 524. https://doi.org/10.3390/molecules25030524
Shimojima A, Kuroda K. Alkoxy- and Silanol-Functionalized Cage-Type Oligosiloxanes as Molecular Building Blocks to Construct Nanoporous Materials. Molecules. 2020; 25(3):524. https://doi.org/10.3390/molecules25030524
Chicago/Turabian StyleShimojima, Atsushi, and Kazuyuki Kuroda. 2020. "Alkoxy- and Silanol-Functionalized Cage-Type Oligosiloxanes as Molecular Building Blocks to Construct Nanoporous Materials" Molecules 25, no. 3: 524. https://doi.org/10.3390/molecules25030524
APA StyleShimojima, A., & Kuroda, K. (2020). Alkoxy- and Silanol-Functionalized Cage-Type Oligosiloxanes as Molecular Building Blocks to Construct Nanoporous Materials. Molecules, 25(3), 524. https://doi.org/10.3390/molecules25030524
