Towards Blue AIE/AIEE: Synthesis and Applications in OLEDs of Tetra-/Triphenylethenyl Substituted 9,9-Dimethylacridine Derivatives
Abstract
1. Introduction
2. Results and Discussion
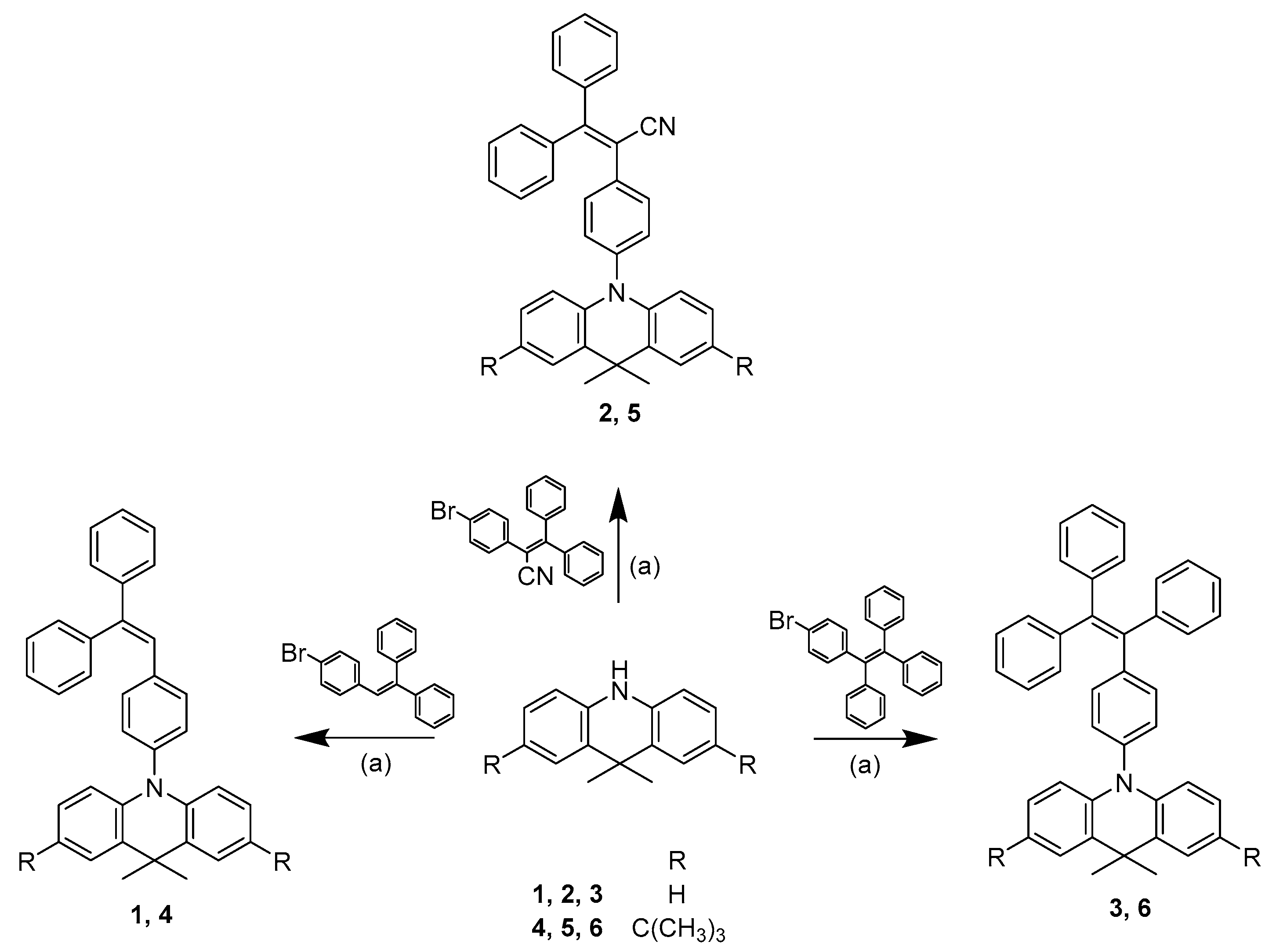
2.1. Synthesis
2.2. Thermal Properties
2.3. Theoretical Calculations
2.4. Electrochemical and Photoelectrical Properties.
2.5. Photophysical Properties
2.6. Electroluminescent Properties
3. Materials
4. Conclusions
Supplementary Materials
Author Contributions
Funding
Conflicts of Interest
References
- Kim, H.-G.; Shin, H.; Ha, Y.H.; Kim, R.; Kwon, S.-K.; Kim, Y.-H.; Kim, J.-J. Triplet harvesting by a fluorescent emitter using a phosphorescent sensitizer for blue organic-light-emitting diodes. ACS Appl. Mater. Interfaces 2019, 11, 26–30. [Google Scholar] [CrossRef] [PubMed]
- Wen, S.-W.; Lee, M.-T.; Chen, C.H. Recent development of blue fluorescent OLED materials and devices. J. Display Technol. 2005, 1, 90–99. [Google Scholar] [CrossRef]
- Volyniuk, D.; Cherpak, V.; Stakhira, P.; Minaev, B.; Baryshnikov, G.; Chapran, M.; Tomkeviciene, A.; Keruckas, J.; Grazulevicius, J.V. Highly efficient blue organic light-emitting diodes based on intermolecular triplet–singlet energy transfer. J. Phys. Chem. C 2013, 117, 22538–22544. [Google Scholar] [CrossRef]
- Takita, Y.; Takeda, K.; Hashimoto, N.; Nomura, S.; Suzuki, T.; Nakashima, H.; Uesaka, S.; Seo, S.; Yamazaki, S. Highly efficient deep-blue fluorescent dopant for achieving low-power OLED display satisfying BT.2020 chromaticity. J. Soc. Inf. Disp. 2018, 26, 55–63. [Google Scholar] [CrossRef]
- Adachi, C.; Baldo, M.A.; Thompson, M.E.; Forrest, S.R. Nearly 100% internal phosphorescence efficiency in an organic light-emitting device. J. Appl. Phys. 2001, 90, 5048–5051. [Google Scholar] [CrossRef]
- Uoyama, H.; Goushi, K.; Shizu, K.; Nomura, H.; Adachi, C. Highly efficient organic light-emitting diodes from delayed fluorescence. Nature 2012, 492, 234–238. [Google Scholar] [CrossRef] [PubMed]
- Chen, B.; Liu, B.; Zeng, J.; Nie, H.; Xiong, Y.; Zou, J.; Ning, H.; Wang, Z.; Zhao, Z.; Tang, B.Z. Efficient bipolar blue AIEgens for high-performance nondoped blue OLEDs and hybrid white OLEDs. Adv. Funct. Mater. 2018, 28, 1803369. [Google Scholar] [CrossRef]
- Lee, J.; Jeong, C.; Batagoda, T.; Coburn, C.; Thompson, M.E.; Forrest, S.R. Hot excited state management for long-lived blue phosphorescent organic light-emitting diodes. Nat. Commun. 2017, 8, 15566. [Google Scholar] [CrossRef]
- Giebink, N.C.; D’Andrade, B.W.; Weaver, M.S.; Mackenzie, P.B.; Brown, J.J.; Thompson, M.E.; Forrest, S.R. Intrinsic luminance loss in phosphorescent small-molecule organic light emitting devices due to bimolecular annihilation reactions. J. Appl. Phys. 2008, 103, 044509. [Google Scholar] [CrossRef]
- Nakanotani, H.; Higuchi, T.; Furukawa, T.; Masui, K.; Morimoto, K.; Numata, M.; Tanaka, H.; Sugara, Y.; Yasuda, T.; Adachi, C. High-efficiency organic light-emitting diodes with fluorescent emitters. Nat. Commun. 2014, 5, 4016. [Google Scholar] [CrossRef]
- Chen, C.-T. Evolution of Red Organic Light-Emitting Diodes: Materials and Devices. Chem. Mater. 2004, 16, 4389–4400. [Google Scholar] [CrossRef]
- Reig, M.; Gozálveza, C.; Bujaldóna, R.; Bagdziunas, G.; Ivaniuk, K.; Kostiv, N.; Volyniuk, D.; Grazulevicius, J.V.; Velasco, D. Easy accessible blue luminescent carbazole-based materials for organic light-emitting diodes. Dyes Pigm. 2017, 137, 24–35. [Google Scholar] [CrossRef]
- Shih, P.-I.; Chiang, C.-L.; Dixit, A.K.; Chen, C.-K.; Yuan, M.-C.; Lee, R.-Y.; Chen, C.-T.; Diau, E.W.-G.; Shu, C.-F. Novel carbazole/fluorene hybrids: Host materials for blue phosphorescent OLEDs. Org. Lett. 2006, 8, 2799–2802. [Google Scholar] [CrossRef] [PubMed]
- Hong, Y.; Lam, J.W.Y.; Tang, B.Z. Aggregation-induced emission: Phenomenon, mechanism and applications. Chem. Commun. 2009, 4332–4353. [Google Scholar] [CrossRef] [PubMed]
- Tomkeviciene, A.; Sutaite, J.; Volyniuk, D.; Kostiv, N.; Simkus, G.; Mimaite, V.; Grazulevicius, J.V. Aggregation-induced emission enhancement in charge-transporting derivatives of carbazole and tetra(tri)phenylethylene. Dyes Pigm. 2017, 140, 363–374. [Google Scholar] [CrossRef]
- Mei, J.; Leung, N.L.C.; Kwok, R.T.K.; Lam, J.W.Y.; Tang, B.Z. Aggregation-induced emission: Together we shine, united we soar! Chem. Rev. 2015, 115, 11718–11940. [Google Scholar] [CrossRef]
- Maity, S.; Aich, K.; Prodhan, C.; Chaudhuri, K.; Pramanik, A.K.; Das, S.; Ganguly, J. Solvent-dependent nanostructures based on active π-aggregation induced emission enhancement of new carbazole derivatives of triphenylacrylonitrile. Chem. Eur. J. 2019, 25, 4856–4863. [Google Scholar] [CrossRef]
- Yingying, Z.; Zhiwen, Y.; Jihua, T.; Zhipeng, Q.; Yuanyou, M.; Jia, H.; Qingdan, Y.; Shaomin, J.; Ning, C.; Yanping, H. Synthesis, aggregation-induced emission (AIE) and electroluminescence of carbazole-benzoyl substituted tetraphenylethylene derivatives. Dyes Pigm. 2020, 173, 107898. [Google Scholar]
- Lo, D.; Chang, C.-H.; Krucaite, G.; Volyniuk, D.; Grazulevicius, J.V.; Grigalevicius, S. Sky-blue aggregation-induced emission molecules for non-doped organic light-emitting diodes. J Mater. Chem. C 2017, 5, 6054–6060. [Google Scholar] [CrossRef]
- Wang, X.; Wang, Y.; Zhan, Y.; Yang, P.; Zhang, X.; Xu, Y. Piezofluorochromism of triphenylamine-based triphenylacrylonitrile derivative with intramolecular charge transfer and aggregation-induced emission characteristics. Tetrahedron Lett. 2018, 59, 2057–2061. [Google Scholar] [CrossRef]
- Lin, H.-T.; Huang, C.-L.; Liou, G.-S. Design, synthesis, and electrofluorochromism of new triphenylamine derivatives with AIE-active pendent groups. ACS Appl. Mater. Interfaces 2019, 11, 11684–11690. [Google Scholar] [CrossRef] [PubMed]
- Zhao, Z.; Chan, C.Y.K.; Chen, S.; Deng, C.; Lam, J.W.Y.; Jim, C.K.W.; Hong, Y.; Lu, P.; Chang, Z.; Chen, X.; et al. Using tetraphenylethene and carbazole to create efficient luminophores with aggregation-induced emission, high thermal stability, and good hole-transporting property. J. Mater. Chem. 2012, 22, 4527–4534. [Google Scholar] [CrossRef]
- Nasiri, S.; Cekaviciute, M.; Simokaitiene, J.; Petrauskaite, A.; Volyniuk, D.; Andruleviciene, V.; Bezvikonnyi, O.; Grazulevicius, J.V. Carbazole derivatives containing one or two tetra-/triphenylethenyl units as efficient hole-transporting OLED emitters. Dyes Pigm. 2019, 168, 93–102. [Google Scholar] [CrossRef]
- Pan, S.; Liu, K.; Ye, Y.; Gao, X.; Tang, Z.; Ye, Z.; Yu, N.; Guo, K.; Wei, B. Decrease of intermolecular interactions for less-doped efficient deep blue monomer light-emitting diodes. Org. Electron. 2019. [Google Scholar] [CrossRef]
- Bujak, P.; Kulszewicz-Bajer, I.; Zagorska, M.; Maurel, V.; Wielgus, I.; Pron, A. Polymers for electronics and spintronics. Chem. Soc. Rev. 2013, 42, 8895–8999. [Google Scholar] [CrossRef] [PubMed]
- Hartwig, J.F. Palladium-catalyzed amination of aryl halides: Mechanism and rational catalyst design. Synlett 1997, 4, 329–340. [Google Scholar] [CrossRef]
- Mitra, S.; Darira, H.; Chattopadhyay, P. Efficient synthesis of imidazole-fused benzodiazepines using palladium-catalyzed intramolecular C-N bond formation reaction. Synthesis 2013, 45, 85–92. [Google Scholar]
- Sych, G.; Simokaitiene, J.; Bezvikonnyi, O.; Tsiko, U.; Volyniuk, D.; Gudeika, D.; Grazulevicius, J.V. Exciplex-enhanced singlet emission efficiency of nondoped organic light emitting diodes based on derivatives of tetrafluorophenylcarbazole and tri/tetraphenylethylene exhibiting aggregation-induced emission enhancement. J. Phys. Chem. C 2018, 122, 14827–14837. [Google Scholar] [CrossRef]
- Hladka, I.; Volyniuk, D.; Bezvikonnyi, O.; Kinzhybalo, V.; Bednarchuk, T.J.; Danyliv, Y.; Lytvyn, R.; Lazauskas, A.; Grazulevicius, J.V. Polymorphism of derivatives of tert-butyl substituted acridan and perfluorobiphenyl as sky-blue OLED emitters exhibiting aggregation induced thermally activated delayed fluorescence. J. Mater. Chem. C 2018, 1, 13179–13189. [Google Scholar]
- Keruckas, J.; Volyniuk, D.; Simokaitiene, J.; Narbutaitis, E.; Lazauskas, A.; Lee, P.-H.; Chiu, T.-L.; Lin, C.-F.; Rsenyan, P.; Lee, J.-H.; et al. Methoxy- and tert-butyl-substituted meta-bis(N-carbazolyl)phenylenes as hosts for organic light-emitting diodes. Org. Electron. 2019, 73, 317–326. [Google Scholar] [CrossRef]
- Kaafanari, B.L.; El-Ballouli, A.O.; Trattnig, R.; Fonari, A.; Sax, S.; Wex, B.; Risko, C.; Khnayzer, R.S.; Barlow, Z.; Patra, D.; et al. Bis(carbazolyl) derivatives of pyrene and tetrahydropyrene: Synthesis, structures, optical properties, electrochemistry, and electroluminescence. J. Mater. Chem. C 2013, 1, 1638–1650. [Google Scholar] [CrossRef]
- Tomkeviciene, A.; Matulaitis, T.; Guzauskas, M.; Andruleviciene, V.; Volyniuk, D.; Grazulevicius, J.V. Thianthrene and acridan-substituted benzophenone or diphenylsulfone: Effect of triplet harvesting via TADF and phosphorescence on efficiency of all-organic OLEDs. Org. Electron. 2019, 70, 227–239. [Google Scholar] [CrossRef]
- Huo, J.; Wang, H.; Li, S.; Shi, H.; Tang, Y.; Tang, B.Z. Designand development of highly efficient light-emitting layersin OLEDs with dimesitylboranes: An updated review. Chem. Rec. 2019, 19, 1–15. [Google Scholar]
- Tang, Y.; Tang, B.Z. (Eds.) Principles and Applications of Aggregation Induced Emission; Springer Nature: Basel, Switzerland, 2019; p. 514. [Google Scholar]
- Tan, X.-F.; Wang, P.-P.; Lu, L.; Bezvikonnyi, O.; Volyniuk, D.; Grazulevicius, J.V.; Zhao, Q.-H. Comparative study of multi-functional luminogens with 1,3,5-triazine as the core and phenothiazine or phenoxy donors as the peripheral moieties for non-doped/doped fluorescent and red phosphorescent OLEDs. Dyes Pigm. 2020, 173, 107793. [Google Scholar] [CrossRef]
- Han, T.; Hong, Y.; Xie, N.; Chen, S.; Zhao, N.; Zhao, E.; Lam, J.W.Y.; Sung, H.H.Y.; Dong, Y.; Tong, B.; et al. Defect-sensitive crystals based on diaminomaleonitrilefunctionalized Schiff base with aggregation-enhanced emission. J. Mater. Chem. C 2013, 1, 7314. [Google Scholar] [CrossRef]
- Zhang, X.; Chi, Z.; Xu, B.; Chen, C.; Zhou, X.; Zhang, Y.; Liu, S.; Xu, J. End-group effects of piezofluorochromic aggregation-induced enhanced emission compounds containing distyrylanthracene. J. Mater. Chem. 2012, 22, 18505. [Google Scholar] [CrossRef]
- Yang, Z.; Chi, Z.; Xu, B.; Li, H.; Zhang, X.; Li, X.; Liu, S.; Zhang, Y.; Xu, J. High-Tg carbazole derivatives as a new class of aggregation-induced emission enhancement materials. J. Mater. Chem. 2010, 20, 7352. [Google Scholar] [CrossRef]
- Liu, Y.; Chen, S.; Lam, J.W.Y.; Lu, P.; Kwok, R.T.K.; Mahtab, F.; Kwok, H.S.; Tang, B.Z. Tuning the electronic nature of aggregation-induced emission luminogens with enhanced hole-transporting property. Chem. Mater. 2011, 23, 2536–2544. [Google Scholar] [CrossRef]
- Wu, M.-F.; Yeh, S.-J.; Chen, C.-T.; Murayama, H.; Tsuboi, T.; Li, W.-S.; Chao, I.; Liu, S.-W.; Wang, J.-K. The quest for high-performance host materials for electrophosphorescent blue dopants. Adv. Funct. Mater. 2007, 17, 1887–1895. [Google Scholar] [CrossRef]
- Yuan, W.Z.; Tan, Y.; Gong, Y.; Lu, P.; Lam, J.W.Y.; Shen, X.Y.; Feng, C.; Sung, H.H.-Y.; Lu, Y.; Williams, I.D.; et al. Synergy between twisted conformation and effective intermolecular interactions: Strategy for efficient mechanochromic luminogens with high contrast. Adv. Mater. 2013, 25, 2837–2843. [Google Scholar] [CrossRef]
Sample Availability: Samples of the compounds 1–6 are available from the authors. |







| Compound | Tcr, °C | Tg **, °C | Tm, °C | Td, °C |
|---|---|---|---|---|
| 1 | - | 55 | 192 | 294 |
| 2 | 150 ** | 79 | 225 | 318 |
| 3 | - | 82 | 250 | 308 |
| 4 | 160 * | - | 188, 199 | 309 |
| 5 | 248 *, 278 ** | - | 278, 290 | 322 |
| 6 | 157 **, 192 ** | 105 | 266 | 327 |
| Compound | Eonset, V | IPCV, eV | IPEP, eV | EAEP, eV | HOMO, eV | LUMO, eV | Eg, theor | |
|---|---|---|---|---|---|---|---|---|
| 1 | 3.07 | 0.79 | 5.59 | 5.70 | 2.63 | −4.8 | −1.5 | 3.3 |
| 2 | 2.66 | 0.83 | 5.63 | 5.81 | 3.15 | −4.9 | −2.1 | 2.8 |
| 3 | 2.86 | 0.74 | 5.54 | 5.66 | 2.80 | −4.8 | −1.4 | 3.4 |
| 4 | 2.67 | 0.60 | 5.40 | 5.50 | 2.83 | −4.7 | −1.4 | 3.3 |
| 5 | 2.57 | 0.66 | 5.46 | 5.63 | 3.06 | −4.7 | −2.0 | 2.7 |
| 6 | 2.61 | 0.60 | 5.40 | 5.43 | 2.82 | −4.7 | −1.3 | 3.4 |
| Compound | Toluene | THF | Non-Doped Film | Doped Film | ||||||
|---|---|---|---|---|---|---|---|---|---|---|
| PLQY, % | PLQY, % | PLQY, % | ||||||||
| 1 | 294 | 460 | 32 | 292 | 499 | 290 | 451 | 51 | 438 | 72 |
| 2 | 289 | 578 | 1 | 287 | 665 | 290 | 481 | 53 | 522 | 88 |
| 3 | 289 | 499 | < 1 | 289 | 527 | 288 | 452 | 44 | 442 | 71 |
| 4 | 294 | 477 | 39 | 290 | 522 | 290 | 464 | 40 | 440 | 52 |
| 5 | 290 | 622 | 2 | 288 | 715 | 289 | 531 | 26 | 550 | 38 |
| 6 | 290 | 508 | 1 | 289 | 553 | 288 | 475 | 53 | 445 | 83 |
| Device | Turn on Voltage (V) | Maximum Brightness (cd/m2) | Maximum Current Efficiency (cd/A) | Maximum Power Efficiency (lm/W) | Maximum External Quantum Efficiency (%) | EL Peak (nm) | CIE Coordinates (x, y) |
|---|---|---|---|---|---|---|---|
| Non-doped devices 1N–6N | |||||||
| 1N | 4.4 | 3350 | 2.23 | 1.07 | 1.10 | 456 | 0.15, 0.13 |
| 2N | 4.4 | 4940 | 2.90 | 1.60 | 1.59 | 540 | 0.34, 0.56 |
| 3N | 5.2 | 2630 | 2.83 | 1.78 | 0.86 | 465 | 0.16, 0.16 |
| 4N | 5.4 | 4200 | 1.10 | 0.51 | 0.82 | 475 | 0.15, 0.22 |
| 5N | 4.5 | 3360 | 1.30 | 0.53 | 0.45 | 550 | 0.41, 0.53 |
| 6N | 4.2 | 4090 | 1.55 | 0.89 | 1.35 | 480 | 0.17, 0.25 |
| Doped devices 1D–6D | |||||||
| 1D | 5.2 | 5460 | 2.48 | 1.18 | 1.63 | 439 | 0.16, 0.10 |
| 2D | 5.2 | 14400 | 4.67 | 2.13 | 2.32 | 525 | 0.28, 0.49 |
| 3D | 5.2 | 2180 | 2.11 | 1.06 | 1.72 | 444 | 0.17, 0.16 |
| 4D | 5.5 | 5460 | 3.10 | 1.29 | 1.62 | 444 | 0.16, 0.12 |
| 5D | 5.4 | 2540 | 1.65 | 0.64 | 1.42 | 550 | 0.43, 0.53 |
| 6D | 5.2 | 10,900 | 1.95 | 0.94 | 1.93 | 444 | 0.16, 0.12 |
© 2020 by the authors. Licensee MDPI, Basel, Switzerland. This article is an open access article distributed under the terms and conditions of the Creative Commons Attribution (CC BY) license (http://creativecommons.org/licenses/by/4.0/).
Share and Cite
Cekaviciute, M.; Petrauskaite, A.; Nasiri, S.; Simokaitiene, J.; Volyniuk, D.; Sych, G.; Budreckiene, R.; Grazulevicius, J.V. Towards Blue AIE/AIEE: Synthesis and Applications in OLEDs of Tetra-/Triphenylethenyl Substituted 9,9-Dimethylacridine Derivatives. Molecules 2020, 25, 445. https://doi.org/10.3390/molecules25030445
Cekaviciute M, Petrauskaite A, Nasiri S, Simokaitiene J, Volyniuk D, Sych G, Budreckiene R, Grazulevicius JV. Towards Blue AIE/AIEE: Synthesis and Applications in OLEDs of Tetra-/Triphenylethenyl Substituted 9,9-Dimethylacridine Derivatives. Molecules. 2020; 25(3):445. https://doi.org/10.3390/molecules25030445
Chicago/Turabian StyleCekaviciute, Monika, Aina Petrauskaite, Sohrab Nasiri, Jurate Simokaitiene, Dmytro Volyniuk, Galyna Sych, Ruta Budreckiene, and Juozas Vidas Grazulevicius. 2020. "Towards Blue AIE/AIEE: Synthesis and Applications in OLEDs of Tetra-/Triphenylethenyl Substituted 9,9-Dimethylacridine Derivatives" Molecules 25, no. 3: 445. https://doi.org/10.3390/molecules25030445
APA StyleCekaviciute, M., Petrauskaite, A., Nasiri, S., Simokaitiene, J., Volyniuk, D., Sych, G., Budreckiene, R., & Grazulevicius, J. V. (2020). Towards Blue AIE/AIEE: Synthesis and Applications in OLEDs of Tetra-/Triphenylethenyl Substituted 9,9-Dimethylacridine Derivatives. Molecules, 25(3), 445. https://doi.org/10.3390/molecules25030445
