Natural Products from Octocorals of the Genus Dendronephthya (Family Nephtheidae)
Abstract
1. Introduction
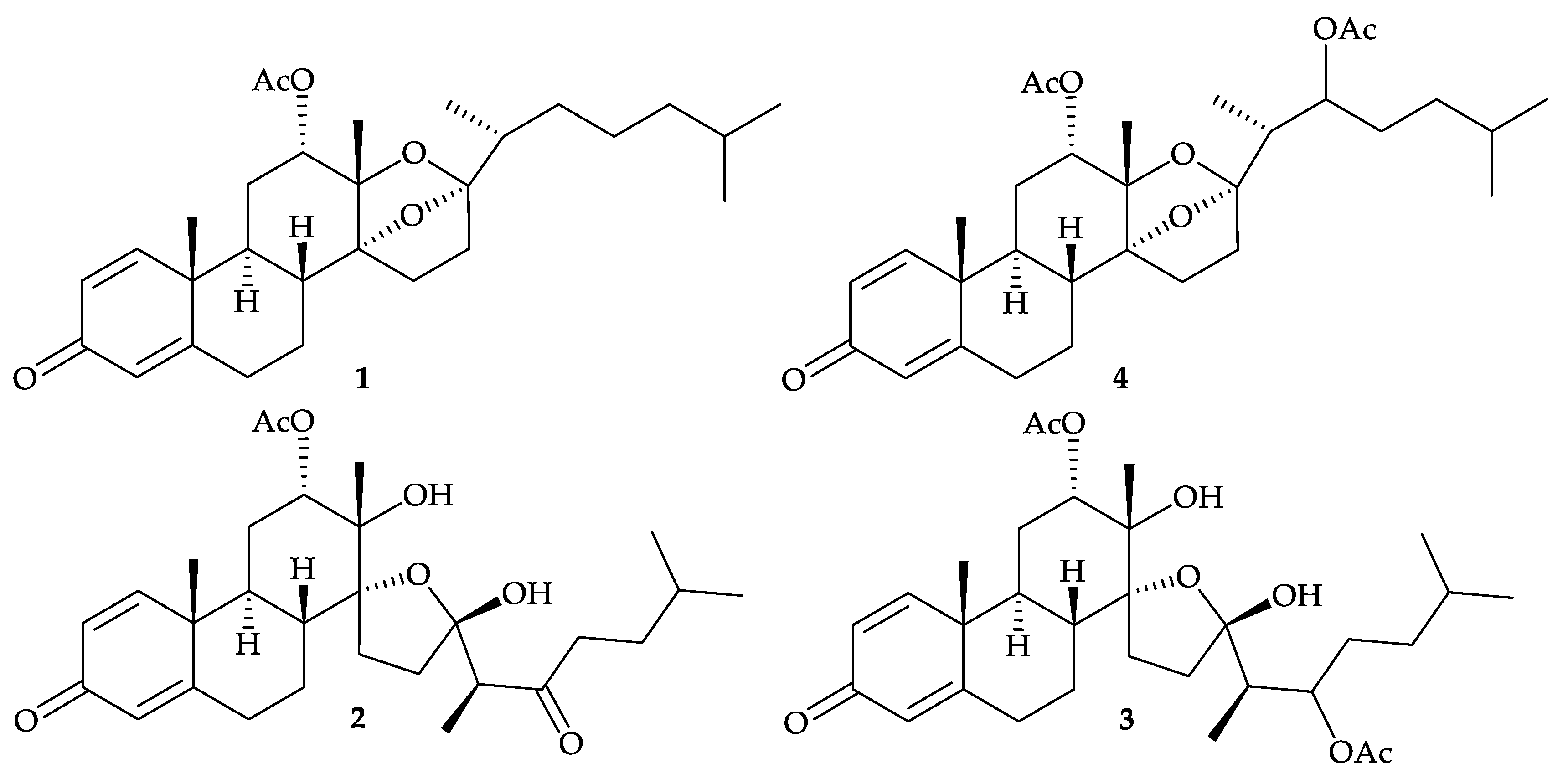
2. Dendronephthya gigantea (Verrill, 1864)
3. Dendronephthya griffini (Roxas, 1933)
4. Dendronephthya hemprichi (Klunzinger, 1877)
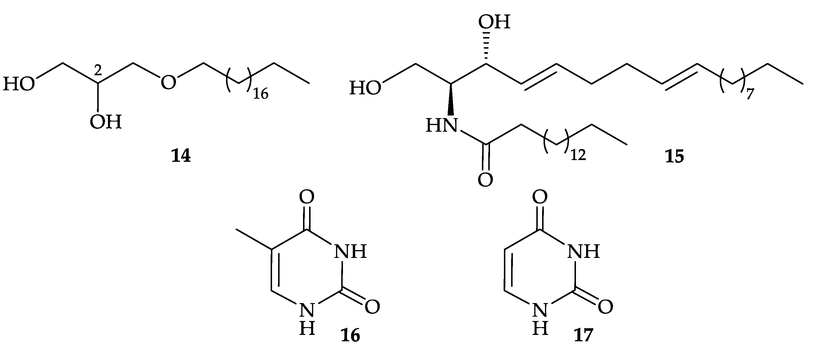
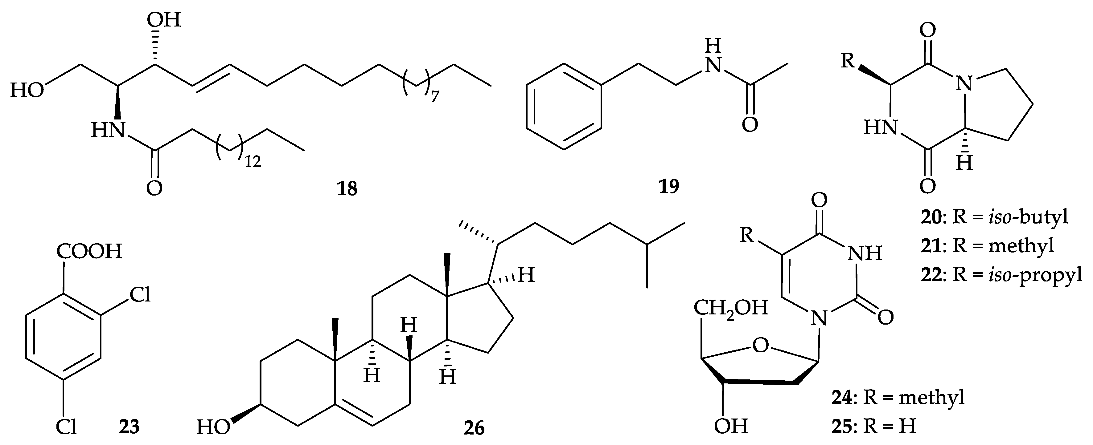
5. Dendronephthya mucronata (Pütter, 1900)
6. Dendronephthya nipponica (Utinomi, 1952)
7. Dendronephthya puetteri (Kükenthal, 1905)
8. Dendronephthya rubeola (Henderson, 1909)
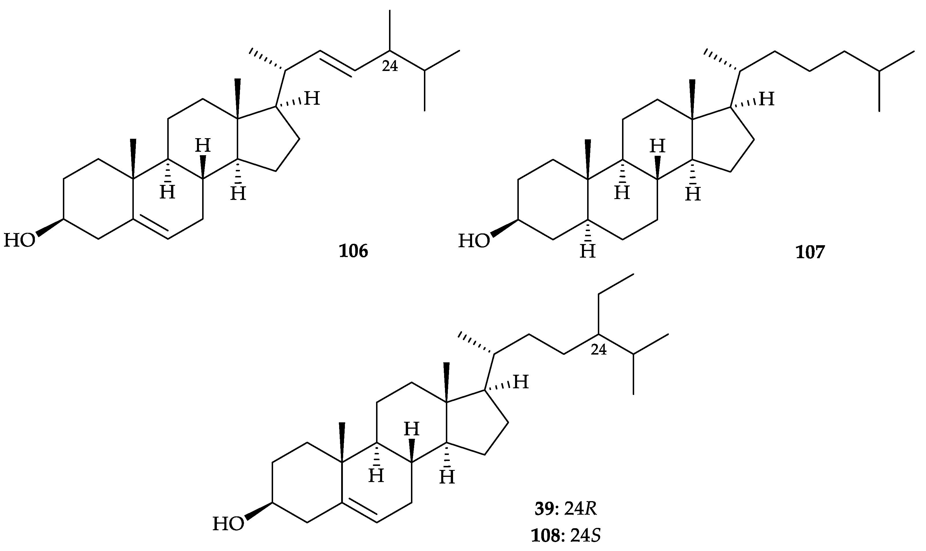
9. Dendronephthya studeri (Ridley, 1884)
10. Dendronephthya spp.
11. Conclusions
Author Contributions
Funding
Conflicts of Interest
References
- Dai, C.-F.; Chin, C.-H. Octocoral Fauna of Kenting National Park, 1st ed.; Kenting National Park Headquaters: Kenging Pingtung, Taiwan, 2019; pp. 54, 382–405. [Google Scholar]
- Tomono, Y.; Hirota, H.; Fusetani, N. Isogosterones A–D, antifouling 13,17-secosteroids from an octocoral Dendronephthya sp. J. Org. Chem. 1999, 64, 2272–2275. [Google Scholar] [CrossRef]
- Migliuolo, A.; Notaro, G.; Piccialli, V.; Sica, D. New tetrahydroxylated sterols from the marine sponge Spongia officinalis. J. Nat. Prod. 1990, 53, 1414–1424. [Google Scholar] [CrossRef]
- Piccialli, V.; Sica, D. Four new trihydroxylated sterols from the sponge Spongionella gracilis. J. Nat. Prod. 1987, 50, 915–920. [Google Scholar] [CrossRef]
- Cafieri, F.; Fattorusso, E.; Gavagnin, M.; Santacroce, C. 3β,5α,6β-Trihydroxysterols from the Mediterranean bryozoan Myriapora truncata. J. Nat. Prod. 1985, 48, 944–947. [Google Scholar] [CrossRef]
- Yoshikawa, K.; Kanekuni, S.; Hanahusa, M.; Arihara, S.; Ohta, T. Polyhydroxylated sterols from the octocoral Dendronephthya gigantea. J. Nat. Prod. 2000, 63, 670–672. [Google Scholar] [CrossRef]
- Seo, Y.; Jung, J.H.; Rho, J.-R.; Shin, J.; Song, J.-I. Isolation of novel bioactive steroids from the soft coral Alcyonium gracillimum. Tetrahedron 1995, 51, 2497–2506. [Google Scholar] [CrossRef]
- Duh, C.-Y.; El-Gamal, A.A.H.; Song, P.-Y.; Wang, S.-K.; Dai, C.-F. Steroids and sesquiterpenoids from the soft corals Dendronephthya gigantea and Lemnalia cervicorni. J. Nat. Prod. 2004, 67, 1650–1653. [Google Scholar] [CrossRef]
- Quijano, L.; Cruz, F.; Navarrete, I.; Gómez, P.; Rios, T. Alkyl glycerol monoethers in the marine sponge Desmapsamma anchorata. Lipids 1994, 29, 731–734. [Google Scholar] [CrossRef]
- Shin, J.; Seo, Y. Isolation of new ceramides from the gorgonian Acabaria undulata. J. Nat. Prod. 1995, 58, 948–953. [Google Scholar] [CrossRef]
- Subrahmanyam, C.; Kulatheeswaran, R.; Venkateswara Rao, C. New spingosines from two soft corals of the Andaman & Nicobar Islands. Indian J. Chem. 1996, 35B, 578–580. [Google Scholar]
- Liang, L.; Deng, S.; Wu, H. Studies on the chemical constituents of the soft coral Lobophytum sp. from South China Sea. Chin. J. Mar. Drugs 2000, 19, 5–7. [Google Scholar]
- Muralidhar, P.; Kumar, M.M.; Krishna, N.; Rao, C.B.; Rao, D.V. New sphingolipids and a sterol from a Lobophytum species of the Indian Ocean. Chem. Pharm. Bull. 2005, 53, 168–171. [Google Scholar] [CrossRef] [PubMed]
- Zhou, G.-X.; Huang, M.-Y.; Shi, J.-G. Ceramides and cerebrosides from Bugula neritina. Chin. J. Mar. Drugs 2005, 24, 37–40. [Google Scholar]
- Han, A.-R.; Song, J.-I.; Jang, D.S.; Min, H.-Y.; Lee, S.K.; Seo, E.-K. Cytotoxic constituents of the octocoral Dendronephthya gigantea. Arch. Pharm. Res. 2005, 28, 290–293. [Google Scholar] [CrossRef]
- Marinetti, G.V.; Stotz, E. The isolation of N-stearyl- and N-palmitylsphingosines from beef spleen. J. Am. Chem. Soc. 1957, 79, 145–146. [Google Scholar] [CrossRef]
- Llinarés, J.; Elguero, J.; Faure, R.; Vincent, E.-J. Carbon-13 NMR studies of nitrogen compounds. I–Substituent effects of amino, acetamido, diacetamido, ammonium and trimethylammonium groups. Org. Magn. Res. 1980, 14, 20–24. [Google Scholar] [CrossRef]
- Maskey, R.P.; Asolkar, R.N.; Kapaun, E.; Wagner-Döbler, I.; Laatsch, H. Phytotoxic arylethylamides from limnic bacteria using a screening with microalgae. J. Antibiotics 2002, 55, 643–649. [Google Scholar] [CrossRef]
- Zhao, P.-J.; Wang, H.-X.; Li, G.-H.; Li, H.-D.; Liu, J.; Shen, Y.-M. Secondary metabolites from endophytic Streptomyces sp. Lz531. Chem. Biodivers. 2007, 4, 899–904. [Google Scholar] [CrossRef]
- Han, W.-J.; Lu, X.-L.; Xu, Q.-Z.; Liu, X.-Y.; Jiao, B.-H. Isolation, identification and biological characterization of secondary metabolites produced by a marine Bacillus subtilis. Acad. J. Second Mil. Med. Univ. 2008, 29, 1234–1238. [Google Scholar] [CrossRef]
- Wu, H.-H.; Tian, L.; Chen, G.; Xu, N.; Wang, Y.-N.; Sun, S.; Pei, Y.-H. Six compounds from marine fungus Y26-02. J. Asian Nat. Prod. Res. 2009, 11, 748–751. [Google Scholar] [CrossRef]
- Gautschi, M.; Schmid, J.P.; Peppard, T.L.; Ryan, T.P.; Tuorto, R.M.; Yang, X. Chemical characterization of diketopiperazines in beer. J. Agric. Food Chem. 1997, 45, 3183–3189. [Google Scholar] [CrossRef]
- Wright, A.D.; Papendorf, O.; König, G.M. Ambigol C and 2,4-dichlorobenzoic acid, natural products produced by the terrestrial cyanobacterium Fischcherella ambigua. J. Nat. Prod. 2005, 68, 459–461. [Google Scholar] [CrossRef] [PubMed]
- Levene, P.A.; Tipson, R. Stuart. The ring structure of thymidine. Science 1935, 81, 98. [Google Scholar] [CrossRef] [PubMed][Green Version]
- Ericson, L.-E.; Widoff, E.; Bánhidi, Z.G. Studies of growth factors for Streptococcus faecalis occurring in marine algae. Acta Chem. Scand. 1953, 7, 974–979. [Google Scholar] [CrossRef]
- Jones, A.J.; Grant, D.M.; Winkley, M.W.; Robins, R.K. Carbon-13 magnetic resonance. XVII. Pyrimidine and purine nucleosides. J. Am. Chem. Soc. 1970, 92, 4079–4087. [Google Scholar] [CrossRef] [PubMed]
- Komori, T.; Sanechika, Y.; Ito, Y.; Matsuo, J.; Nohara, T.; Kawasaki, T. Biologically active glycosides from Asteroidea, I.-Structures of a new cerebroside mixture and of two nucleosides from the starfish Acanthaster planci. Liebigs Ann. Chem. 1980, 1980, 653–668. [Google Scholar] [CrossRef]
- Deng, S.; Wu, J.; Li, F.; Peng, S.; Chen, J.; Liu, X.; Zhong, H. Studies on the activity constituent of sponge from South China Sea Gelliodes spinosella Thiele (I). Guangzhou Chem. 1993, 1, 37–41. [Google Scholar]
- Xiao, D.; Deng, S.; Wu, H. A study on chemical constituents of the South China Sea marine sponge Pachychalina sp. Nat. Prod. Res. Devel. 1997, 9, 1–4. [Google Scholar]
- Shao, Z.-Y.; Guo, Y.-W.; Yu, J.-L.; Zhu, D.-Y. Studied on chemical constitution of Dysidea sp. from South China Sea. Nat. Prod. Res. Dev. 2004, 16, 19–22. [Google Scholar]
- Wang, B.; Dong, J.; Zhou, X.; Lee, K.J.; Huang, R.; Zhang, S.; Liu, Y. Nucleosides from the marine sponge Haliclona sp. Z. Naturforsch. C 2009, 64, 143–148. [Google Scholar] [CrossRef]
- Huang, R.-M.; Chen, Y.-N.; Zeng, Z.; Gao, C.-H.; Su, X.; Peng, Y. Marine nucleosides: Structure, bioactivity, synthesis and biosynthesis. Mar. Drugs 2014, 12, 5817–5838. [Google Scholar] [CrossRef]
- Huang, R.; Zhou, X.; Peng, Y.; Yang, X.; Xu, T.; Liu, Y. Nucleosides from the marine sponge Callyspongia sp. Chem. Nat. Comp. 2011, 46, 1010–1011. [Google Scholar] [CrossRef]
- Wang, Y.-L.; Liao, X.-J.; Xu, S.-H. Study on chemical constituents of soft coral Dendronephthya gigantea from the South China Sea. Chin. Pharm. J. 2009, 44, 740–742. [Google Scholar]
- Mellado, G.G.; Zubía, E.; Ortega, M.J.; López-González, P.J. Steroids from the Antarctic octocoral Anthomastus bathyproctus. J. Nat. Prod. 2005, 68, 1111–1115. [Google Scholar] [CrossRef] [PubMed]
- Gunatilaka, A.A.L.; Gopichand, Y.; Schmitz, F.J.; Djerassi, C. Minor and trace sterols in marine invertebrates. 26. Isolation and structure elucidation of nine new 5α,8α-epidioxy sterols from four marine organisms. J. Org. Chem. 1981, 46, 3860–3866. [Google Scholar] [CrossRef]
- Swell, L.; Gustafsson, J.; Schwartz, C.C.; Halloran, L.G.; Danielsson, H.; Vlahcevic, Z.R. An in vivo evaluation of the quantitative significance of several potential pathways to cholic and chenodeoxycholic acids from cholesterol in man. J. Lipid Res. 1980, 21, 455–466. [Google Scholar]
- Shin, K.; Chin, J.; Hahn, D.; Lee, J.; Hwang, H.; Won, D.H.; Ham, J.; Choi, H.; Kang, E.; Kim, H.; et al. Sterols from a soft coral, Dendronephthya gigantea as farnesoid X-activated receptor antagonists. Steroids 2012, 77, 355–359. [Google Scholar] [CrossRef]
- Smith, A.G.; Goad, L.J. Sterol biosynthesis by the sea urchin Echinus esculentus. Biochem. J. 1974, 142, 421–427. [Google Scholar] [CrossRef]
- Idler, D.R.; Wiseman, P. Identification of 22-cis-cholesta-5,22-dien-3β-ol and other scallop sterols by gas-liquid chromatography and mass spectrometry. Comp. Biochem. Physiol. 1971, 38A, 581–590. [Google Scholar] [CrossRef]
- Byju, K.; Anuradha, V.; Vasundhara, G.; Nair, S.M.; Kumar, N.C. In vitro and in silico studies on the anticancer and apoptosis-inducing activities of the sterols identified from the soft coral, Subergorgia reticulata. Pharmacogn. Mag. 2014, 10, S65–S71. [Google Scholar]
- Heilbron, I.M.; Phipers, R.F.; Wright, H.R. Chemistry of the brown algae. Nature 1934, 133, 419. [Google Scholar] [CrossRef]
- Heilbron, I.; Phipers, R.F.; Wright, H.R. The chemistry of the the algae. Part I. The algae sterol fucosterol. J. Chem. Soc. 1934, 1572–1576. [Google Scholar] [CrossRef]
- Nes, W.R.; Castle, M.; McClanahan, J.L.; Settine, J.M. Confirmation of the structure of fucosterol by nuclear magnetic resonance spectroscopy (1). Steroids 1966, 8, 655–657. [Google Scholar] [CrossRef]
- Patterson, G.W. The distribution of sterols in algae. Lipids 1971, 6, 120–127. [Google Scholar] [CrossRef]
- Sheu, J.-H.; Sung, P.-J. Isolation of 24-hydroperoxy-24-vinylcholesterol and fucosterol from the brown alga Turbinaria conoides. J. Chin. Chem. Soc. 1991, 38, 501–503. [Google Scholar] [CrossRef]
- Sheu, J.-H.; Wang, G.-H.; Sung, P.-J.; Chiu, Y.-H.; Duh, C.-Y. Cytotoxic sterols from the Formosan brown alga Turbinaria ornata. Planta Med. 1997, 63, 571–572. [Google Scholar] [CrossRef]
- Ribeiro, S.M.; Cassiano, K.M.; Cavalcanti, D.N.; Teixeira, V.L.; Pereira, R.C. Isolated and synergistic effects of chemical and structural defenses of two species of Tethya (Porifera: Demospongiae). J. Sea Res. 2012, 68, 57–62. [Google Scholar] [CrossRef]
- Padhan, S.K.; Mishra, P.M.; Baliarsingh, S.; Sree, A.; Panigrahi, M. Fatty acid profile and sterol composition of the marine sponge Petrosia testudinaria. Chem. Nat. Comp. 2015, 51, 323–325. [Google Scholar] [CrossRef]
- Shanura Fernando, I.P.; Asanka Sanjeewa, K.K.; Kim, H.-S.; Kim, S.-Y.; Lee, S.-H.; Lee, W.W.; Jeon, Y.-J. Identification of sterols from the soft coral Dendronephthya gigantea and their anti-inflammatory potential. Environ. Toxicol. Pharmacol. 2017, 55, 37–43. [Google Scholar] [CrossRef]
- Shanura Fernando, I.P.; Asanka Sanjeewa, K.K.; Kim, H.-S.; Wang, L.; Lee, W.W.; Jeon, Y.-J. Apoptotic and antiproliferative properties of 3β-hydroxy-Δ5-steroidal congeners from a partially purified column fraction of Dendronephthya gigantea against HL-60 and MCF-7 cancer cells. J. Appl. Toxicol. 2018, 38, 527–536. [Google Scholar] [CrossRef]
- Shanura Fernando, I.P.; Asanka Sanjeewa, K.K.; Ann, Y.-S.; Ko, C.-I.; Lee, S.-H.; Lee, W.W.; Jeon, Y.-J. Apoptotic and antiproliferative properties of stigmast-5-en-3-ol from Dendronephthya gigantea on human leukemia HL-60 and human breast cancer MCF-7 cells. Toxicol. in Vitro 2018, 52, 297–305. [Google Scholar] [CrossRef] [PubMed]
- Findlay, J.A.; Patil, A.D. Novel sterols from the finger sponge Haliclona oculata. Can. J. Chem. 1985, 63, 2406–2410. [Google Scholar] [CrossRef]
- Ighchi, K.; Saitoh, S.; Yamada, Y. Novel 19-oxygenated sterols from the Okinawan soft coral Litophyton virids. Chem. Pharm. Bull. 1989, 37, 2553–2554. [Google Scholar] [CrossRef]
- Bortolotto, M.; Braekman, J.C.; Daloze, D.; Losman, D.; Tursch, B. Chemical studies of marine invertebrates. XXIII. A novel polyhydroxylated sterol from the soft coral Litophyton viridis (Coelenterata, Octocorallia, Alcyonacea). Steroids 1976, 28, 461–466. [Google Scholar] [CrossRef]
- El-Gamal, A.A.H.; Wang, S.-K.; Dai, C.-F.; Duh, C.-Y. New nardosinanes and 19-oxygenated ergosterols from the soft coral Nephthea armata collected in Taiwan. J. Nat. Prod. 2004, 67, 1455–1458. [Google Scholar] [CrossRef]
- Youssef, D.T.A.; Singab, A.N.B.; van Soest, R.W.M.; Fusetani, N. Hyrtiosenolides A and B, two new sesquiterpenes γ-methoxybutenolides and a new sterol from a Red Sea sponge Hyrtios species. J. Nat. Prod. 2004, 67, 1736–1739. [Google Scholar] [CrossRef]
- Jia, R.; Guo, Y.-W.; Mollo, E.; Gavagnin, M.; Cimino, G. Two new polyhydroxylated steroids from the Hainan soft coral Sinularia sp. Helv. Chim. Acta 2006, 89, 1330–1336. [Google Scholar] [CrossRef]
- Cheng, S.-Y.; Dai, C.-F.; Duh, C.-Y. New 4-methylated and 19-oxygenated steroids from the Formosan soft coral Nephthea erecta. Steroids 2007, 72, 653–659. [Google Scholar] [CrossRef]
- Wu, J.; Xi, Y.; Huang, L.; Li, G.; Mao, Q.; Fang, C.; Shan, T.; Jiang, W.; Zhao, M.; He, W.; et al. A steroid-type antioxidant targeting the Keap1/Nrf2/ARE signaling pathway from the soft coral Dendronephthya gigantea. J. Nat. Prod. 2018, 81, 2567–2575. [Google Scholar] [CrossRef]
- Chao, C.-H.; Wen, Z.-H.; Chen, I.-M.; Su, J.-H.; Huang, H.-C.; Chiang, M.Y.; Sheu, J.-H. Anti- inflammatory steroids from the octocoral Dendronephthya griffini. Tetrahedron 2008, 64, 3554–3560. [Google Scholar] [CrossRef]
- Chao, C.-H.; Wen, Z.-H.; Su, J.-H.; Chen, I.-M.; Huang, H.-C.; Dai, C.-F.; Sheu, J.-H. Further study on anti- inflammatory oxygenated steroids from the octocoral Dendronephthya griffini. Steroids 2008, 73, 1353–1358. [Google Scholar] [CrossRef] [PubMed]
- Ciminiello, P.; Fattorusso, E.; Forino, M.; Di Rosa, M.; Ianaro, A.; Poletti, R. Structural elucidation of a new cytotoxin isolated from mussels of the Adriatic Sea. J. Org. Chem. 2001, 66, 578–582. [Google Scholar] [CrossRef] [PubMed]
- Nilewski, C.; Geisser, R.W.; Carreira, E.M. Total synthesis of a chlorosulpholipid cytotoxin associated with seafood poisoning. Nature 2009, 457, 573–577. [Google Scholar] [CrossRef] [PubMed]
- Chao, C.-H.; Huang, H.-C.; Wang, G.-H.; Wen, Z.-H.; Wang, W.-H.; Chen, I.-M.; Sheu, J.-H. Chlorosulfolipids and the corresponding alcohols from the octocoral Dendronephthya griffini. Chem. Pharm. Bull. 2010, 58, 944–946. [Google Scholar] [CrossRef][Green Version]
- Shaaban, M.; Shaaban, K.A.; Abd-Alla, H.I.; Hanna, A.G.; Laatsch, H. Dendrophen, a novel glycyrrhetyl aminon acid from Dendronephthya hemprichi. Z. Naturforsch. 2011, 66b, 425–432. [Google Scholar] [CrossRef]
- Schow, S.R.; McMorris, T.C. Synthesis of 5α-pregna-1,20-dien-3-one. Steroids 1977, 30, 389–392. [Google Scholar] [CrossRef]
- Lorenzo, M.; Cueto, M.; D’Croz, L.; Maté, J.L.; San-Martín, A.; Darias, J. Muriceanol, a 24-epoxide sterol link in the carbon flux toward side-chain dealkylation of sterols. Eur. J. Org. Chem. 2006, 2006, 582–585. [Google Scholar] [CrossRef][Green Version]
- Ioannou, E.; Abdel-Razik, A.F.; Alexi, X.; Vagias, C.; Alexis, M.N.; Roussis, V. Pregnanes with antiproliferative activity from the gorgonian Eunicella cavolini. Tetrahedron 2008, 64, 11797–11801. [Google Scholar] [CrossRef]
- Higgs, M.D.; Faulkner, D.J. 5α-Pregna-1,20-dien-3-one and related compounds from a soft coral. Steroids 1977, 30, 379–388. [Google Scholar] [CrossRef]
- Kingston, J.F.; Gregory, B.; Fallis, A.G. Pregna-1,4,20-triene-3-one, a novel marine steroid from the sea raspberry Gersemia rubiformis. Tetrahedron Lett. 1977, 18, 4261–4264. [Google Scholar] [CrossRef]
- Kingston, J.F.; Gregory, B.; Fallis, A.G. Marine natural products. Novel C21 A20 pregnanes from the sea raspberry (Gersemia rubiformis). J. Chem. Soc. Perkin Trans. I 1979, 2064–2068. [Google Scholar] [CrossRef]
- Ciavatta, M.L.; Lopez Gresa, M.P.; Manzo, E.; Gavagnin, M.; Wahidulla, S.; Cimino, G. New C21 Δ20 pregnanes, inhibitors of mitochondrial respiratory chain, from Indopacific octocoral Carijoa sp. Tetrahedron Lett. 2004, 45, 7745–7748. [Google Scholar] [CrossRef]
- Yan, X.-H.; Jia, R.; Shen, X.; Guo, Y.-W. A new dolabellane diterpenoid from the Hainan soft coral Spongodes sp. Nat. Prod. Res. 2007, 21, 897–902. [Google Scholar] [CrossRef] [PubMed]
- Nam, N.H.; Huong, N.T.; Hanh, T.T.H.; Thanh, N.V.; Cuong, N.X.; Thung, D.C.; Kiem, P.V.; Minh, C.V. Pregnane steroids from the Vietnamese octocoral Carijoa riisei. Nat. Prod. Res. 2017, 31, 2435–2440. [Google Scholar]
- Nussim, M.; Mazur, Y.; Sondheimer, F. The hydration of unsaturated steroids by the Brown Hydroboration Reaction. I. Monounsaturated steroids. J. Org. Chem. 1964, 29, 1120–1131. [Google Scholar] [CrossRef]
- Wahidulla, S.; D’Souza, L.; Patel, J. 5α-Cholestane-3,6-dione from the red alga Acantophora spicifera. Phytochemistry 1987, 26, 2864–2865. [Google Scholar] [CrossRef]
- Wijnberg, J.B.P.A.; de Groot, A. Synthesis and 13C-NMR analysis of 5α- and 5β-cholestane-3,6-dione. Steroids 1989, 54, 333–344. [Google Scholar] [CrossRef]
- Gosavi, K.; Moses Babu, J.; Mathur, H.H.; Bhadbhade, M. Isolation and X-ray structure of a new 3,6-diketo steroid from red alga Hypnea musciformis. Chem. Lett. 1995, 24, 519–520. [Google Scholar] [CrossRef]
- Ngoc, N.T.; Hanh, T.T.H.; Cuong, N.X.; Nam, N.H.; Thung, D.C.; Ivanchina, N.V.; Dang, N.H.; Kicha, A.A.; Kiem, P.V.; Minh, C.V. Steroids from Dendronephthya mucronata and their inhibitory effects on lipopolysaccharide-induced NO formation in RAW264.7 cells. Chem. Nat. Comp. 2019, 55, 1090–1093. [Google Scholar] [CrossRef]
- Zhang, J.; Liang, Y.; Li, L.-C.; Xu, S.-H. Suberosanones A–C, new metabolites possessing cyclopentenone system from the South China Sea gorgonian coral Subergorgia suberosa. Helv. Chim. Acta 2014, 97, 128–136. [Google Scholar] [CrossRef]
- Ngoc, N.T.; Hanh, T.T.H.; Nguyen, H.D.; Quang, T.H.; Cuong, N.X.; Nam, N.H.; Thung, D.C.; Ngai, N.D.; Kiem, P.V.; Minh, C.V. Bicyclic lactones from the octocoral Dendronephthya mucronata. Nat. Prod. Res. 2019, 1–5. [Google Scholar] [CrossRef] [PubMed]
- Onizuka, R.; Kamiya, H.; Muramoto, K.; Goto, R.; Inoue, K.; Kumamoto, K.; Nakajima, Y.; Iida, S.; Ishigami, F. Purification of the major allergen of red soft coral (Dendronephthya nipponica). Int. Arch. Allergry Immunol. 2001, 125, 135–143. [Google Scholar] [CrossRef] [PubMed]
- Wilson, W.K.; Sumpter, R.M.; Warren, J.J.; Rogers, P.S.; Ruan, B.; Schroepfer, G.J., Jr. Analysis of unsaturated C27 sterols by nuclear magnetic resonance spectroscopy. J. Lipid Res. 1996, 37, 1529–1555. [Google Scholar] [PubMed]
- Fernando, I.P.S.; Lee, W.W.; Jayawardena, T.U.; Kang, M.-C.; Ann, Y.-S.; Ko, C.-I.; Park, Y.J.; Jeon, Y.-J. 3β-Hydroxy-Δ5-steroidal congeners from a column fraction of Dendronephthya puetteri attenuate LPS-induced inflammatory responses in RAW 264.7 macrophages and zebrafish embryo model. RSC Adv. 2018, 8, 18626–18634. [Google Scholar] [CrossRef]
- Kim, E.-A.; Ding, Y.; Yang, H.-W.; Heo, S.-J.; Lee, S.-H. Soft coral Dendronephthya puetteri extract ameliorates inflammations by suppressing inflammatory mediators and oxidative stress in LPS- stimulated zebrafish. Int. J. Mol. Sci. 2018, 19, 2695. [Google Scholar] [CrossRef]
- Jayawardena, T.U.; Lee, W.W.; Fernando, I.P.S.; Sanjeewa, K.K.A.; Wang, L.; Lee, T.-G.; Park, Y.J.; Ko, C.-I.; Jeon, Y.-J. Antiproliferative and apoptosis-inducing potential of 3β-hydroxy-Δ5-steroidal congeners purified from the soft coral Dendronephthya puetteri. J. Oceanol. Limnol. 2019, 37, 1382–1392. [Google Scholar] [CrossRef]
- Sheikh, Y.M.; Singy, G.; Kaisin, M.; Eggert, H.; Djerassi, C.; Tursch, B.; Daloze, D.; Braekman, J.C. Chemical studies of marine invertebrates–XIV. Four representatives of a novel sesquiterpene class–the capnellane skeleton. Tetrahedron 1976, 32, 1171–1178. [Google Scholar] [CrossRef]
- Morris, L.A.; Jaspars, M.; Adamson, K.; Woods, S.; Wallace, H.M. The capnellenes revisited: New structures and new biological activity. Tetrahedron 1998, 54, 12953–12958. [Google Scholar] [CrossRef]
- Kaisin, M.; Braekman, J.C.; Daloze, D.; Tursch, B. Novel acetoxycapnellenes from the alcyonacean Capnella imbricata. Tetrahedron 1985, 41, 1067–1072. [Google Scholar] [CrossRef]
- Grote, D.; Hänel, F.; Dahse, H.-M.; Seifert, K. Capnellenes from the soft coral Dendronephthya rubeola. Chem. Biodivers. 2007, 4, 1683–1693. [Google Scholar] [CrossRef]
- Yan, X.-H.; Lin, L.-P.; Ding, J.; Guo, Y.-W. Methyl spongoate, a cytotoxic steroid from the Sanya soft coral Spongodes sp. Bioorg. Med. Chem. Lett. 2007, 17, 2661–2663. [Google Scholar] [CrossRef] [PubMed]
- Suginome, H.; Senboku, H.; Yamada, S. A new aromatization of ring-A of steroids. Synthesis of estrone. Tetrahedron Lett. 1988, 20, 79–80. [Google Scholar] [CrossRef]
- Kočovský, P.; Baines, R.S. Stereoelectronically controlled, thallium(III)-mediated C-19 degradation of 19-hydroxy steroids. An expedient route to estrone and its congeners via 19-nor-10β-hydroxy intermediates. J. Org. Chem. 1994, 59, 5439–5444. [Google Scholar] [CrossRef]
- Yan, X.-H.; Liu, H.-L.; Huang, H.; Li, X.-B.; Guo, Y.-W. Steroids with aromatic A-rings from the Hainan soft coral Dendronephthya studeri Ridley. J. Nat. Prod. 2011, 74, 175–180. [Google Scholar] [CrossRef] [PubMed]
- Katrich, E.M.; Isai, S.V.; Mishchenko, T.Y. Phospholipid composition of prostaglandin extracts of some marine invertebrates with different degrees of prostaglandin-like activity. Chem. Nat. Comp. 1990, 26, 264–267. [Google Scholar] [CrossRef]
- Mizobuchi, S.; Shimidzu, N.; Katsuoka, M.; Adachi, K.; Miki, W. Antifouling substances against the mussel in an octocoral Dendronephthya sp. Nippon Suisan Gakk. 1993, 59, 1195–1199. [Google Scholar] [CrossRef]
- Matsumoto, T.; Shimizu, N.; Shigemoto, T.; Itoh, T.; Iida, T.; Nishioka, A. Isoaltion of 22-dehydro- campesterol from the seeds of Brassica juncea. Phytochemistry 1983, 22, 789–790. [Google Scholar] [CrossRef]
- Weldon, P.J.; Flachsbarth, B.; Schulz, S. Natural products from the integument of nonavian reptiles. Nat. Prod. Rep. 2008, 25, 738–756. [Google Scholar] [CrossRef]
- Dzeha, T.; Jaspars, M.; Tabudravu, J. Clionasterol, a triterpenoid from the Kenyan marine green macroalga Halimeda macroloba. West. Indian Ocean J. Mar. Sci. 2003, 2, 157–161. [Google Scholar]
- Gallo, C.; Landi, S.; d’Ippolito, G.; Nuzzo, G.; Manzo, E.; Sardo, A.; Fontana, A. Diatoms synthesize sterols by inclusion of animal and fungal genes in the plant pathway. Sci. Rep. 2020, 10, 4204. [Google Scholar] [CrossRef]
- Kawamata, M.; Kon-ya, K.; Miki, W. Trigonelline, an antifouling substance isolated from an octocoral Dendronephthya sp. Fish. Sci. 1994, 60, 485–486. [Google Scholar] [CrossRef]
- Miki, W.; Kon-ya, K.; Mizobuchi, S. Biofouling and marine biotechnology: New antifoulants from marine invertebrates. J. Mar. Biotechnol. 1996, 4, 117–120. [Google Scholar]
- Wilsanand, V.; Wagh, A.B.; Bapuji, M. Antifouling activities of marine sedentary invertebrates on some macrofoulers. Indian J. Mar. Sci. 1999, 28, 280–284. [Google Scholar]
- Tomono, Y.; Hirota, H.; Imahara, Y.; Fusetani, N. Four new steroids from two octocorals. J. Nat. Prod. 1999, 62, 1538–1541. [Google Scholar] [CrossRef] [PubMed]
- Řezanka, T.; Dembitsky, V.M. Brominated oxylipins and oxylipin glycosides from Red Sea corals. Eur. J. Org. Chem. 2003, 309–316. [Google Scholar] [CrossRef]
- Kang, B.K.; Chung, M.J.; Park, Y.J. The crystal and molecular structure of cholesteryl formate. Bull. Korean Chem. Soc. 1985, 6, 333–337. [Google Scholar]
- Teng, J.I.; Kulig, M.J.; Smith, L.L.; Kan, G.; van Lier, J.E. Sterol metabolism. XX. Cholesterol 7β-hydroperoxide. J. Org. Chem. 1973, 38, 119–123. [Google Scholar] [CrossRef]
- de Riccardis, F.; Minale, L.; Iorizzi, M.; Debitus, C.; Lévi, C. Marine sterols. Side-chain-oxygenated sterols, possibly of abiotic origin, from the New Caledonian sponge Stelodoryx chlorophylla. J. Nat. Prod. 1993, 56, 282–287. [Google Scholar] [CrossRef]
- Notaro, G.; Piccialli, V.; Sica, D. New steroidal hydroxyketones and closely related diols from the marine sponge Cliona copiosa. J. Nat. Prod. 1992, 55, 1588–1594. [Google Scholar] [CrossRef]
- Shoppee, C.W.; Newman, B.C. Steroids. Part XXX. Some properties of the cholest-5-ene-3β,7ξ-diols and their esters. J. Chem. Soc. (C) 1968, 8, 981–983. [Google Scholar] [CrossRef]
- Kumar, V.; Amann, A.; Ourisson, G.; Luu, B. Stereospecific syntheses of 7β- and 7α-hydroxycholesterols. Synth. Commun. 1987, 17, 1279–1286. [Google Scholar] [CrossRef]
- Rizvi, S.Q.A.; Williams, J.R. Synthesis and carbon-13 nuclear magnetic resonance studies of Δ5 and saturated 4,4-disubstituted 3-ketosteroids. J. Org. Chem. 1981, 46, 1127–1132. [Google Scholar] [CrossRef]
- Parish, E.J.; Honda, H.; Chitrakorn, S.; Livant, P. A facile chemical synthesis of cholest-4-en-3-one. Carbon-13 nuclear magnetic resonacne spectral properties of cholest-4-en-3-one and cholest-5-en-3-one. Lipids 1991, 26, 675–677. [Google Scholar] [CrossRef]
- Wu, K.; Li, W.; Song, J.; Li, T. Production, purification, and identification of cholest-4-en-3-one produced by cholesterol oxidase from Rhodococcus sp. in aqueous/organic biphasic system. Biochem. Insights 2015, 8(S1), 1–8. [Google Scholar]
- Sheikh, Y.M.; Djerassi, C. Steroids from sponges. Tetrahedron 1974, 30, 4095–4103. [Google Scholar] [CrossRef]
- Guella, G.; Mancini, I.; Pietra, F. Isolation of ergosta-4,24-dien-3-one from both Astrophorida demosponges and Subantarctic hexactinellides. Comp. Biochem. Physiol. 1988, 90B, 113–115. [Google Scholar] [CrossRef]
- Wright, J.L.C.; McInnes, A.G.; Shimizu, S.; Smith, D.G.; Walter, J.A.; Idler, D.; Khalil, W. Identification of C-24 alkyl epimers of marine sterols by 13C nuclear magnetic resonance spectroscopy. Can. J. Chem. 1978, 56, 1898–1903. [Google Scholar]
- Li, G.; Deng, Z.; Guan, H.; van Ofwegen, L.; Proksch, P.; Lin, W. Steroids from the soft coral Dendronephthya sp. Steroids 2005, 70, 13–18. [Google Scholar] [CrossRef]
- Ma, A.; Deng, Z.; van Ofwegen, L.; Bayer, M.; Proksch, P.; Lin, W. Dendronpholides A–R, cembranoid diterpenes from the Chinese soft coral Dendronephthya sp. J. Nat. Prod. 2008, 71, 1152–1160, (Correction in J. Nat. Prod. 2010, 73, 1026). [Google Scholar] [CrossRef]
- Anjaneyulu, A.S.R.; Rao, G.V.; Sagar, K.S.; Kumar, K.R.; Mohan, K.C. Sandensolide: A new dihydroxycembranolide from the soft coral, Sinularia sandensis Verseveldt of the Indian Ocean. Nat. Prod. Lett. 1995, 7, 183–190. [Google Scholar] [CrossRef]
- Anjaneyulu, A.S.R.; Sagar, K.S.; Rao, G.V. New cembranoid lactones from the Indian Ocean soft coral Sinularia flexibilis. J. Nat. Prod. 1997, 60, 9–12. [Google Scholar] [CrossRef]
- Hu, L.-C.; Su, J.-H.; Chiang, M.Y.-N.; Lu, M.-C.; Hwang, T.-L.; Chen, Y.-H.; Hu, W.-P.; Lin, N.-C.; Wang, W.-H.; Fang, L.-S.; et al. Flexibilins A–C, new cembrane-type diterpenoids from the Formosan soft coral, Sinularia flexibilis. Mar. Drugs 2013, 11, 1999–2012. [Google Scholar] [CrossRef]
- Chen, C.-T.; Kao, C.L.; Li, H.-T.; Chen, C.-Y. Chemical constituents of cultured soft coral Sinularia flexibilis. Chem. Nat. Comp. 2018, 54, 168–169. [Google Scholar] [CrossRef]
- Tursch, B.; Braekman, J.C.; Daloze, D.; Herin, M.; Karlsson, R.; Losman, D. Chemical studies of marine invertebrates–XI. Sinulariolide, a new cembranolide diterpene from the soft coral Sinularia flexibilis (Coelenterata, Octocorallia, Alcyonacea). Tetrahedron 1975, 31, 129–133. [Google Scholar] [CrossRef]
- Kazlauskas, R.; Murphy, P.T.; Wells, R.J.; Schönholzer, P.; Coll, J.C. Cembranoid constituents from an Australian collection of the soft coral Sinularia flexibilis. Aust. J. Chem. 1978, 31, 1817–1824. [Google Scholar] [CrossRef]
- Mori, K.; Suzuki, S.; Iguchi, K.; Yamada, Y. 8,11-Epoxy bridged cembranolide diterpene from the soft coral Sinularia flexibilis. Chem. Lett. 1983, 12, 1515–1516. [Google Scholar] [CrossRef]
- Wen, T.; Ding, Y.; Deng, Z.; van Ofwegen, L.; Proksch, P.; Lin, W. Sinulaflexiolides A–K, cembrane-type diterpenoids from the Chinese soft coral Sinularia flexibilis. J. Nat. Prod. 2008, 71, 1133–1144. [Google Scholar] [CrossRef]
- Michalek, K.; Bowden, B.F. A natural algacide from soft coral Sinularia flexibilis (Coelenterata, Octocorallia, Alcyonacea). J. Chem. Ecol. 1997, 23, 259–273. [Google Scholar] [CrossRef]
- Lo, K.-L.; Khalil, A.T.; Kuo, Y.-H.; Shen, Y.-C. Sinuladiterpenes A–F, new cembrane diterpenes from Sinularia flexibilis. Chem. Biodivers. 2009, 6, 2227–2235. [Google Scholar] [CrossRef]
- Xu, S.H.; Zeng, L.M. The identification of two new sterols from marine organism. Chin. Chem. Lett. 2000, 11, 531–534. [Google Scholar]
- Liao, X.; Xu, S.; Lin, H. Isolation and identification of two tetrahydroxylated sterols with cytotoxic activity. Chin. J. Org. Chem. 2010, 30, 749–752. [Google Scholar]
- Elkhayat, E.S.; Ibrahim, S.R.M.; Fouad, M.A.; Mohamed, G.A. Dendronephthols A–C, new sesquiterpenoids from the Red Sea soft coral Dendronephthya sp. Tetrahedron 2014, 70, 3822–3825. [Google Scholar] [CrossRef]
- Ioannou, E.; Abdel-Razik, A.F.; Zervou, M.; Christofidis, D.; Alexi, X.; Vagias, C.; Alexis, M.N.; Roussis, V. 5α,8α-Epidioxysterols from the gorgonian Eunicella cavolini and the ascidian Trididemnum inarmatum: Isolation and evaluation of their antiproliferative activity. Steroids 2009, 74, 73–80. [Google Scholar] [CrossRef]
- Huynh, T.-H.; Chen, P.-C.; Yang, S.-N.; Lin, F.-Y.; Su, T.-P.; Chen, L.-Y.; Peng, B.-R.; Hu, C.-C.; Chen, Y.-Y.; Wen, Z.-H.; et al. New 1,4-dienonesteroids from the octocoral Dendronephthya sp. Mar. Drugs 2019, 17, 530. [Google Scholar] [CrossRef]
- Gallina, C.; Remeo, A.; Tortorella, V.; D’Agnolo, G. Racemic deoxymycelianamide. Chem. Ind. 1966, 30, 1300–1301. [Google Scholar]
- Gallina, C.; Remeo, A.; Tortorella, V.; D’Agnolo, G. Synthesis of racemic deoxymycelianamide. Ann. Chim. 1968, 58, 280–285. [Google Scholar]
- Birch, A.J.; Donovan, F.W. Studies in relation to biosynthesis. I. Some possible routes to derivatives of orcinol and phloroglucinol. Aust. J. Chem. 1953, 6, 360–368. [Google Scholar] [CrossRef]
- Birch, A.J.; Massy-Westropp, R.A.; Rickards, R.W.; Smith, H. Studies in relation to biosynthesis. Part XIII. Griseofulvin. J. Chem. Soc. 1958, 360–365. [Google Scholar] [CrossRef]
- Tanabe, M.; Detre, G. The use of 13C-labeled acetate in biosynthetic studies. J. Am. Chem. Soc. 1966, 88, 4515–4517. [Google Scholar] [CrossRef]
- Harris, C.M.; Roberson, J.S.; Harris, T.M. Biosynthesis of griseofulvin. J. Am. Chem. Soc. 1976, 98, 5380–5386. [Google Scholar] [CrossRef]
- Cole, R.J.; Kirksey, J.W.; Holaday, C.E. Detection of griseofulvin and dechlorogriseofulvin by thin-layer chromatography and gas-liquid chromatography. Appl. Microbiol. 1970, 19, 106–108. [Google Scholar] [CrossRef]
- Jarvis, B.B.; Zhou, Y.; Jiang, J.; Wang, S.; Sorenson, W.G.; Hintikka, E.-L.; Nikulin, M.; Parikka, P.; Etzel, R.A.; Dearborn, D.G. Toxigenic molds in water-damaged buildings: Dechlorogriseofulvins from Memnoniella echinata. J. Nat. Prod. 1996, 59, 553–554. [Google Scholar] [CrossRef]
- MacMillan, J. Griseofulvin. Part VII. Dechlorogriseofulvin. J. Chem. Soc. 1953, 1697–1702. [Google Scholar] [CrossRef]
- Xue, C.; Li, T.; Deng, Z.; Fu, H.; Lin, W. Janthinolide A-B, two new 2,5-piperazinedione derivatives from the endophytic Penicillium janthinellum isolated from the soft coral Dendronephthya sp. Pharmazie 2006, 61, 1041–1044. [Google Scholar] [CrossRef]
- Itokawa, H.; Akita, Y.; Yamazaki, M. The indole derivatives isolated from the oil cakes of Camellia seeds. On the relation to the components of the fungus infecting the oil cakes. Yakugaku Zasshi 1973, 93, 1251–1252. [Google Scholar] [CrossRef][Green Version]
- Casnati, G.; Pochini, P.; Ungaro, R. Neoechinulin: A new isoprenyl-indole metabolite from Aspergillus amstelodami. Gazz. Chim. Ital. 1973, 103, 141–151. [Google Scholar]
- Dossena, A.; Marchelli, R.; Pochini, A. New metabolites of Aspergillus amstelodami related to the biogenesis of neoechinulin. J. Chem. Soc. Chem. Comm. 1974, 771–772. [Google Scholar] [CrossRef]
- Nagasawa, H.; Isogai, A.; Ikeda, K.; Sato, S.; Murakoshi, S.; Suzuki, A.; Tamura, S. Isolation and structure elucidation of a new indole metabolite from Aspergillus ruber. Agric. Biol. Chem. 1975, 39, 1901–1902. [Google Scholar] [CrossRef]
- Cardillo, R.; Fuganti, C.; Ghiringhelli, D.; Grasselli, P.; Gatti, G. Stereochemical course of the α,β-desaturation of L-tryptophan in the biosynthesis of cryptoechinuline A in Aspergillus amstelodami. J. Chem. Soc. Chem. Comm. 1975, 778–779. [Google Scholar] [CrossRef]
- Marchelli, R.; Dossena, A.; Casnati, G. Biosynthesis of neoechinulin by Aspergillus amstelodami from cyclo-L-[U-14C]alanyl-L-[5,7-3H2]tryptophyl. J. Chem. Soc. Chem. Comm. 1975, 779–780. [Google Scholar] [CrossRef]
- Marchelli, R.; Dossena, A.; Pochini, A.; Dradi, E. The structures of five new didehydropeptides related to neoechinulin, isolated from Aspergillus amstelodami. J. Chem. Soc. Perkin Trans. I 1977, 713–717. [Google Scholar] [CrossRef]
- Yagi, R.; Doi, M. Isolation of an antioxidative substance produced by Aspergillus repens. Biosci. Biotechnol. Biochem. 1999, 63, 932–933. [Google Scholar] [CrossRef]
- Li, Y.; Li, X.; Kim, S.-K.; Kang, J.S.; Choi, H.D.; Rho, J.R.; Son, B.W. Golmaenone, a new diketopiperazine alkaloid from the marine-derived fungus Aspergillus sp. Chem. Pharm. Bull. 2004, 52, 375–376. [Google Scholar] [CrossRef]
- Stipanovic, R.D.; Schroeder, H.W. Preechinulin, a metabolite of Aspergillus chevalieri. Trans. Br. Mycol. Soc. 1976, 66, 178–179. [Google Scholar] [CrossRef]
- Hamasaki, T.; Nagayama, K.; Hatsuda, Y. Structure of a new metabolite from Aspergillus chevalieri. Agric. Biol. Chem. 1976, 40, 203–205. [Google Scholar] [CrossRef]
- Nagasawa, H.; Isogai, A.; Suzuki, A.; Tamura, S. Structures of isoechinulins A, B and C, new indole metabolites from Aspergillus ruber. Tetrahedron Lett. 1976, 17, 1601–1604. [Google Scholar] [CrossRef]
- Fujimoto, H.; Fujimaki, T.; Okuyama, E.; Yamazaki, M. Immunomodulatory constituents from an Ascomycete, Microascus tardifaciens. Chem. Pharm. Bull. 1999, 47, 1426–1432. [Google Scholar] [CrossRef]
- Wang, W.-L.; Lu, Z.-Y.; Tao, H.-W.; Zhu, T.-J.; Fang, Y.-C.; Gu, Q.-Q.; Zhu, W.-M. Isoechinulin-type alkaloids, variecolorins A–L, from halotolerant Aspergillus variecolor. J. Nat. Prod. 2007, 70, 1558–1564. [Google Scholar] [CrossRef]
- Li, Y.; Li, X.; Kang, J.S.; Choi, H.D.; Son, B.W. New radical scavenging and ultraviolet-a protecting prenylated dioxopiperazine alkaloid related to isoechinulin A from a marine isolate of the fungus Aspergillus. J. Antibiot. 2004, 57, 337–340. [Google Scholar] [CrossRef]
- Hamasaki, T.; Nagayama, K.; Hatsuda, Y. A new metabolite, L-alanyl-L-tryptophan anhydride from Aspergillus chevalieri. Agric. Biol. Chem. 1976, 40, 2487. [Google Scholar] [CrossRef]
- Sun, X.-P.; Xu, Y.; Cao, F.; Xu, R.-F.; Zhang, X.-L.; Wang, C.-Y. Isoechinulin-type alkaloids from a soft coral-derived fungus Nigrospora oryzae. Chem. Nat. Comp. 2014, 50, 1153–1155. [Google Scholar] [CrossRef]




























Publisher’s Note: MDPI stays neutral with regard to jurisdictional claims in published maps and institutional affiliations. |
© 2020 by the authors. Licensee MDPI, Basel, Switzerland. This article is an open access article distributed under the terms and conditions of the Creative Commons Attribution (CC BY) license (http://creativecommons.org/licenses/by/4.0/).
Share and Cite
Chen, Y.-H.; Chang, Y.-C.; Chen, Y.-H.; Zheng, L.-G.; Huang, P.-C.; Huynh, T.-H.; Peng, B.-R.; Chen, Y.-Y.; Wu, Y.-J.; Fang, L.-S.; et al. Natural Products from Octocorals of the Genus Dendronephthya (Family Nephtheidae). Molecules 2020, 25, 5957. https://doi.org/10.3390/molecules25245957
Chen Y-H, Chang Y-C, Chen Y-H, Zheng L-G, Huang P-C, Huynh T-H, Peng B-R, Chen Y-Y, Wu Y-J, Fang L-S, et al. Natural Products from Octocorals of the Genus Dendronephthya (Family Nephtheidae). Molecules. 2020; 25(24):5957. https://doi.org/10.3390/molecules25245957
Chicago/Turabian StyleChen, Yung-Husan, Yu-Chia Chang, Yu-Hsin Chen, Li-Guo Zheng, Pin-Chang Huang, Thanh-Hao Huynh, Bo-Rong Peng, You-Ying Chen, Yu-Jen Wu, Lee-Shing Fang, and et al. 2020. "Natural Products from Octocorals of the Genus Dendronephthya (Family Nephtheidae)" Molecules 25, no. 24: 5957. https://doi.org/10.3390/molecules25245957
APA StyleChen, Y.-H., Chang, Y.-C., Chen, Y.-H., Zheng, L.-G., Huang, P.-C., Huynh, T.-H., Peng, B.-R., Chen, Y.-Y., Wu, Y.-J., Fang, L.-S., Su, J.-H., Hsu, C.-M., & Sung, P.-J. (2020). Natural Products from Octocorals of the Genus Dendronephthya (Family Nephtheidae). Molecules, 25(24), 5957. https://doi.org/10.3390/molecules25245957

