Recent Advances in the Synthesis of Selenophenes and Their Derivatives
Abstract
1. Introduction
2. Synthesis of Selenophenes
2.1. Starting from Type A Precursors
2.2. Starting from Type B Precursors
3. Synthesis of Benzoselenophenes
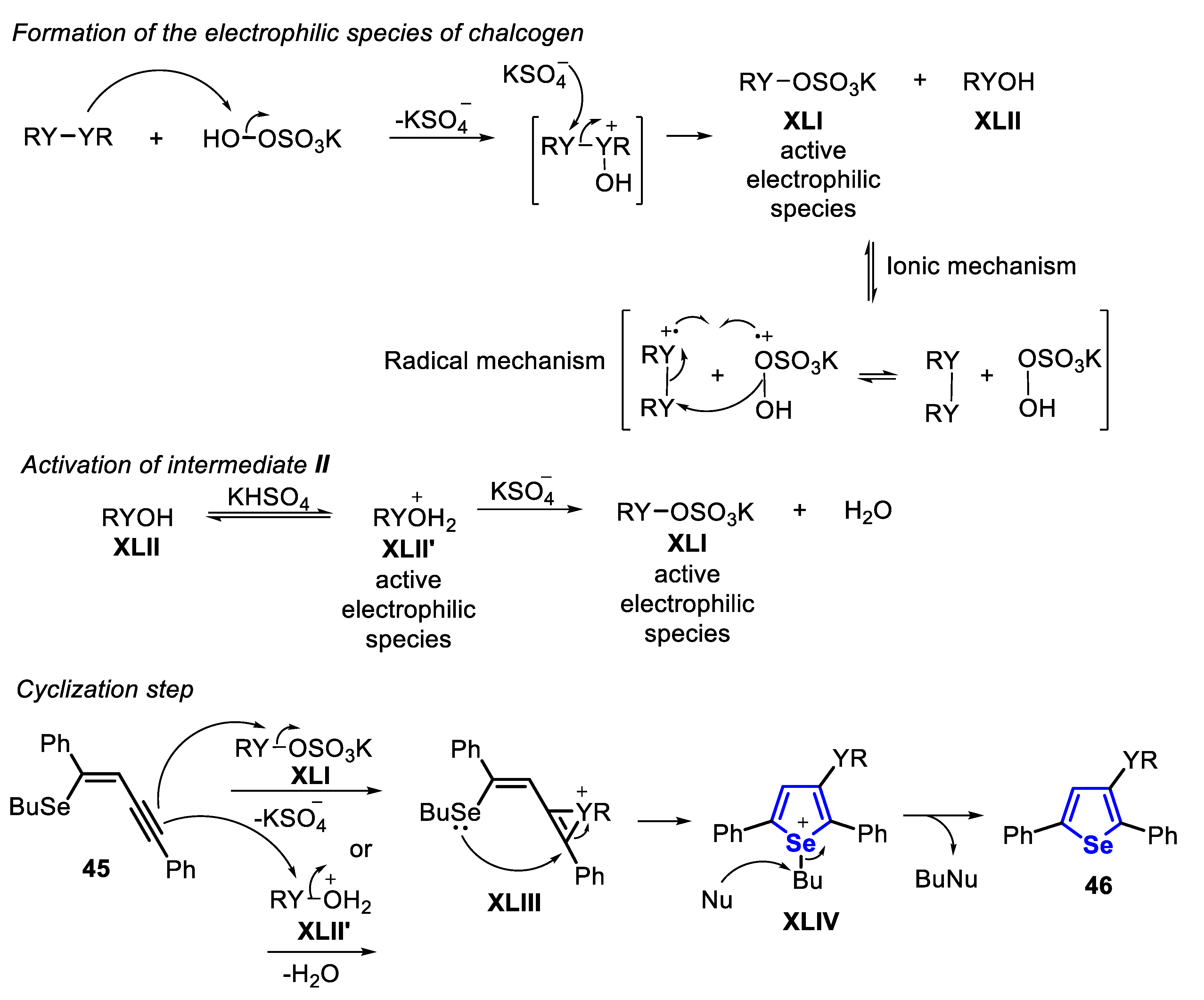
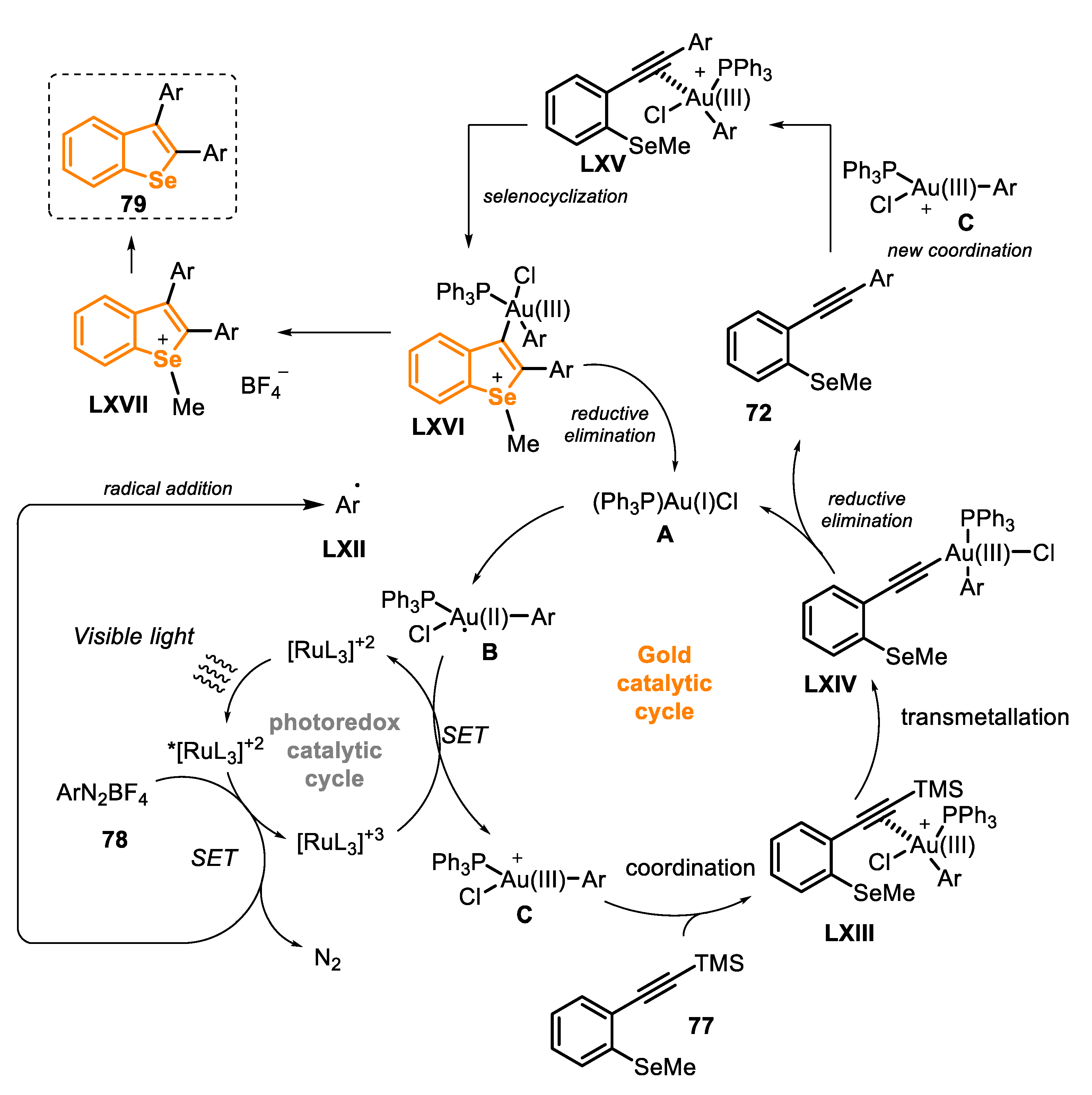
3.1. Starting from Type C Precursors
3.2. Starting from Type D Precursors
3.3. Starting from Type E Precursor
3.4. Starting from Type F Precursors
3.5. Other Approaches to Prepare Benzoselenophenes
4. Fused Selenophenes and Benzoselenophenes
4.1. Starting from Type C Precursor
4.2. Starting from Type D Precursors
4.3. Starting from Type E Precursors
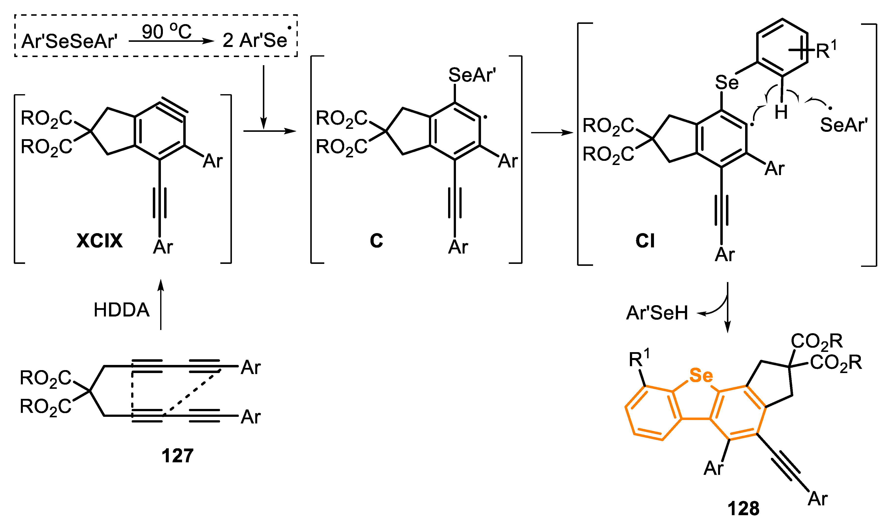
4.4. Other Approaches to Prepare Fused Selenophenes
5. Conclusions
Author Contributions
Funding
Acknowledgments
Conflicts of Interest
References
- Godoi, M.; Paixão, M.W.; Braga, A.L. Chiral Organoselenium-transition-metal Catalysts in Asymmetric Transformations. Dalton Trans. 2011, 40, 11347–11355. [Google Scholar] [CrossRef] [PubMed]
- Lenardão, E.J.; Santi, C.; Sancineto, L. Organoselenium Compounds as Reagents and Catalysts to Develop New Green Protocols; Springer: Cham, Switzerland, 2018; pp. 1–98. [Google Scholar]
- Singh, F.V.; Wirth, T. Selenium Reagents as Catalysts. Catal. Sci. Technol. 2019, 9, 1073–1091. [Google Scholar] [CrossRef]
- Shao, L.; Li, Y.; Lu, J.; Jiang, X. Recent Progress in Selenium-catalyzed Organic Reactions. Org. Chem. Front. 2019, 6, 2999–3041. [Google Scholar] [CrossRef]
- Stein, A.L.; Bilheri, F.N.; Zeni, G. Application of Organoselenides in the Suzuki, Negishi, Sonogashira and Kumada Cross-coupling Reactions. Chem. Commun. 2015, 51, 15522–15525. [Google Scholar] [CrossRef] [PubMed]
- Grélaud, S.; Desvergnes, V.; Landais, Y. Stereocontrolled (Me3Si)3SiH-Mediated Radical and Ionic Hydride Transfer in Synthesis of 2,3,5-Trisubstituted THF. Org. Lett. 2016, 18, 1542–1545. [Google Scholar] [CrossRef] [PubMed]
- Wu, P.; Wu, K.; Wang, L.; Yu, Z. Iron-Promoted Difunctionalization of Alkenes by Phenylselenylation/1,2-Aryl Migration. Org. Lett. 2017, 19, 5450–5453. [Google Scholar] [CrossRef] [PubMed]
- Temperini, A.; Piazzolla, F.; Minuti, L.; Curini, M.; Siciliano, C. General, Mild, and Metal-Free Synthesis of Phenyl Selenoesters from Anhydrides and Their Use in Peptide Synthesis. J. Org. Chem. 2017, 82, 4588–4603. [Google Scholar] [CrossRef]
- Kim, Y.J.; Kim, D.Y. Electrochemical Radical Selenylation/1,2-Carbon Migration and Dowd–Beckwith-Type Ring-Expansion Sequences of Alkenylcyclobutanols. Org. Lett. 2019, 21, 1021–1025. [Google Scholar] [CrossRef]
- Perin, G.; Lenardão, E.J.; Jacob, R.G.; Panatieri, R.B. Synthesis of Vinyl Selenides. Chem. Rev. 2009, 109, 1277–1301. [Google Scholar] [CrossRef]
- Wirth, T. Organoselenium Chemistry: Synthesis and Reactions; Wiley-VCH: Weinheim, Germany, 2011. [Google Scholar]
- Santoro, S.; Azeredo, J.B.; Nascimento, V.; Sancineto, L.; Braga, A.L.; Santi, C. The Green Side of the Moon: Ecofriendly Aspects of Organoselenium Chemistry. RSC Adv. 2014, 4, 31521–31535. [Google Scholar] [CrossRef]
- Perin, G.; Alves, D.; Jacob, R.G.; Barcellos, A.M.; Soares, L.K.; Lenardão, E.J. Synthesis of Organochalcogen Compounds using Non-Conventional Reaction Media. ChemistrySelect 2016, 2, 205–258. [Google Scholar] [CrossRef]
- Palomba, M.; Bagnoli, L.; Marini, F.; Santi, C.; Sancineto, L. Recent advances in the chemistry of vinylchalcogenides. Phosphorus Sulfur Silicon Relat. Elem. 2016, 191, 235–244. [Google Scholar] [CrossRef]
- Santi, C.; Jacob, R.G.; Monti, B.; Bagnoli, L.; Sancineto, L.; Lenardão, E.J. Water and Aqueous Mixtures as Convenient Alternative Media for Organoselenium Chemistry. Molecules 2016, 21, 1482. [Google Scholar] [CrossRef] [PubMed]
- Barcellos, A.M.; Abenante, L.; Sarro, M.T.; Leo, I.D.; Lenardão, E.J.; Perin, G.; Santi, C. New Prospective for Redox Modulation Mediated by Organo selenium and Organotellurium Compounds. Curr. Org. Chem. 2017, 21, 2044–2061. [Google Scholar] [CrossRef]
- Jain, V.K.; Priyadarsini, K.I. Organoselenium Compounds in Biology and Medicine: Synthesis, Biological and Therapeutic Treatments; The Royal Society of Chemistry: Croydon, UK, 2017. [Google Scholar]
- Sudati, J.H.; Nogara, P.A.; Saraiva, R.A.; Wagner, C.; Alberto, E.E.; Braga, A.L.; Fachinetto, R.; Piquini, P.C.; Rocha, J.B.T. Diselenoamino acid Derivatives as GPx Mimics and as Substrates of TrxR: In vitro and in silico Studies. Org. Biomol. Chem. 2018, 16, 3777–3783. [Google Scholar] [CrossRef]
- Leo, I.D.; Messina, F.; Nascimento, V.; Nacca, F.G.; Pietrella, D.; Lenardão, E.J.; Perin, G.; Sancineto, L. Synthetic Approaches to Organoselenium Derivatives with Antimicrobial and Anti -Biofilm Activity. Mini-Rev. Org. Chem. 2019, 16, 589–601. [Google Scholar] [CrossRef]
- Ninomiya, M.; Garud, D.R.; Koketsu, M. Biologically Significant Selenium-containing Heterocycles. Chem. Rev. 2011, 255, 2968–2990. [Google Scholar] [CrossRef]
- Ruberte, A.C.; Sanmartin, C.; Aydillo, C.; Sharma, A.K.; Plano, D. Development and Therapeutic Potential of Selenazo Compounds. J. Med. Chem. 2020, 63, 1473–1489. [Google Scholar] [CrossRef]
- Abdelwahab Mahmoud, A.B.; Kirsch, G.; Peagle, E. Biologically Active Selenophenes and Benzo[b]selenophenes. Curr. Org. Synth. 2017, 14, 1091–1101. [Google Scholar] [CrossRef]
- Gay, B.M.; Prigol, M.; Stein, A.L.; Nogueira, C.W. Antidepressant-like Pharmacological Profile of 3-(4-Fluorophenylselenyl)-2,5-diphenylselenophene: Involvement of Serotonergic System. Neuropharmacology 2010, 59, 172–179. [Google Scholar] [CrossRef]
- Gai, B.M.; Stein, A.L.; Roehrs, J.A.; Bilheri, F.N.; Nogueira, C.W.; Zeni, G. Synthesis and Antidepressant-like Activity of Selenophenes Obtained via Iron(III)–PhSeSePh-mediated Cyclization of Z-Selenoenynes. Org. Biomol. Chem. 2012, 10, 798–807. [Google Scholar] [CrossRef] [PubMed]
- Gai, B.M.; Bortolatto, C.F.; Heck, S.O.; Stein, A.L.; Duarte, M.M.M.F.; Zeni, G.; Nogueira, C.W. An Organoselenium Compound Improves Behavioral, Endocrinal and Neurochemical Changes Induced by Corticosterone in Mice. Psychopharmacology 2014, 231, 2119–2130. [Google Scholar] [CrossRef] [PubMed]
- Gai, B.M.; Bortolatto, C.F.; Brüning, C.A.; Zborowski, V.A.; Stein, A.L.; Zeni, G.; Nogueira, C.W. Depression-Related Behavior and Mechanical Allodynia are Blocked by 3-(4-Fluorophenylselenyl)-2,5-diphenylselenophene in a Mouse Model of Neuropathic Pain Induced by Partial Sciatic Nerve Ligation. Neuropharmacology 2014, 79, 580–589. [Google Scholar] [CrossRef] [PubMed]
- Gai, B.M.; Sanna, M.D.; Stein, A.L.; Zeni, G.; Galeotti, N.; Nogueira, C.W. ERK1/2 Phosphorylation is Involved in the Antidepressant-like Action of 2,5-Diphenyl-3-(4-fluorophenylseleno)-selenophene in Mice. Eur. J. Pharmacol. 2014, 736, 44–54. [Google Scholar] [CrossRef]
- Velasquez, D.; Quines, C.; Pistóia, R.; Zeni, G.; Nogueira, C.W. Selective inhibition of MAO-A Activity Results in an Antidepressant-like Action of 2-Benzoyl 4-iodoselenophene in Mice. Physiol. Behav. 2017, 170, 100–105. [Google Scholar] [CrossRef]
- Schumacher, R.F.; Rosário, A.R.; Souza, A.C.G.; Acker, C.I.; Nogueira, C.W.; Zeni, G. The Potential Antioxidant Activity of 2,3-Dihydroselenophene, a Prototype Drug of 4-Aryl-2,3-dihydroselenophenes. Bioorg. Med. Chem. 2011, 19, 1418–1425. [Google Scholar] [CrossRef]
- Tanini, D.; Panzella, L.; Amorati, R.; Capperucci, A.; Pizzo, E.; Napolitano, A.; Menichetti, S.; d’Ischia, M. Resveratrol-based Benzoselenophenes with an Enhanced Antioxidant and Chain Breaking Capacity. Org. Biomol. Chem. 2015, 13, 5757–5764. [Google Scholar] [CrossRef]
- Paegle, E.; Domracheva, I.; Turovska, B.; Petrova, M.; Kanepe-Lapsa, I.; Gulbe, A.; Liepinsh, E.; Arsenyan, P. Natural-Antioxidant-Inspired Benzo[b]selenophenes: Synthesis, Redox Properties, and Antiproliferative Activity. Chem. Asian J. 2016, 11, 1929–1938. [Google Scholar] [CrossRef]
- Tavadyan, L.A.; Manukyan, Z.H.; Harutyunyan, L.H.; Musayelyan, M.V.; Sahakyan, A.D.; Tonikyan, H.G. Antioxidant Properties of Selenophene, Thiophene and Their Aminocarbonitrile Derivatives. Antioxidants 2017, 6, 22. [Google Scholar] [CrossRef]
- Singh, V.P.; Yan, J.; Poon, J.-F.; Gates, P.J.; Butcher, R.J.; Engman, L. Chain-Breaking Phenolic 2,3-Dihydrobenzo[b]selenophene Antioxidants: Proximity Effects and Regeneration Studies. Chem. Eur. J. 2017, 23, 15080–15088. [Google Scholar] [CrossRef]
- Manikova, D.; Sestakova, Z.; Rendekova, J.; Vlasakova, D.; Lukacova, P.; Paegle, E.; Arsenyan, P.; Chovanec, M. Resveratrol-Inspired Benzo[b]selenophenes Act as Anti-Oxidants in Yeast. Molecules 2018, 23, 507. [Google Scholar] [CrossRef] [PubMed]
- Elsherbini, M.; Hamama, W.S.; Zoorob, H.H. An Easy Synthetic Approach to Construct Some Ebselen Analogues and Benzo[b]selenophene Derivatives: Their Antioxidant and Cytotoxic Assessment. J. Heterocycl. Chem. 2018, 55, 1645–1650. [Google Scholar] [CrossRef]
- Wilhelm, E.A.; Jesse, C.R.; Bortolatto, C.F.; Nogueira, C.W.; Savegnago, L. Anticonvulsant and Antioxidant Effects of 3-Alkynyl Selenophene in 21-Day-old Rats on Pilocarpine Model of Seizures. Brain Res. Bull. 2009, 79, 281–287. [Google Scholar] [CrossRef] [PubMed]
- Wilhelm, E.A.; Gai, B.M.; Souza, A.C.G.; Bortolatto, C.F.; Roehrs, J.A.; Nogueira, C.W. Involvement of GABAergic and Glutamatergic Systems in the Anticonvulsant Activity of 3-Alkynyl Selenophene in 21 Day-old Rats. Mol. Cell. Biochem. 2012, 365, 175–180. [Google Scholar] [CrossRef]
- Wiles, J.A.; Phadke, A.S.; Bradbury, B.J.; Pucci, M.J.; Thanassi, J.A.; Deshpande, M. Selenophene-Containing Inhibitors of Type IIA Bacterial Topoisomerases. J. Med. Chem. 2011, 54, 3418–3425. [Google Scholar] [CrossRef]
- Shiah, H.-S.; Lee, W.-S.; Juang, S.-H.; Hong, P.-C.; Lung, C.-C.; Chang, C.-J.; Chou, K.-M.; Chang, J.-Y. Mitochondria-mediated and p53-Associated Apoptosis Induced in Human Cancer Cells by a Novel Selenophene Derivative, D-501036. Biochem. Pharmacol. 2007, 73, 610–619. [Google Scholar] [CrossRef]
- Chou, L.-C.; Huang, L.-J.; Hsu, M.-H.; Fang, M.-C.; Yang, J.-S.; Zhuang, S.-H.; Lin, H.-Y.; Lee, F.-Y.; Teng, C.-M.; Kuo, S.-C. Synthesis of 1-Benzyl-3-(5-hydroxymethyl-2-furyl)selenolo[3,2-c]pyrazole Derivatives as New Anticancer Agents. Eur. J. Med. Chem. 2010, 45, 1395–1402. [Google Scholar] [CrossRef]
- Arsenyan, P.; Paegle, E.; Domracheva, I.; Gulbe, A.; Kanepe-Lapsa, I.; Shestakova, I. Selenium Analogues of Raloxifene as Promising Antiproliferative Agents in Treatment of Breast Cancer. Eur. J. Med. Chem. 2014, 87, 471–483. [Google Scholar] [CrossRef]
- Doganay, K.; Kelestemur, U.; Balcioglu, S.; Ates, B.; Altundas, A. Synthesis, Reaction, and Evaluation of the Anticancer Activity of 6,7,8,9-Tetrahydro-5H-cyclohepta[4,5]selenopheno[2,3-d]pyrimidine Derivatives. Turk. J. Chem. 2016, 40, 631–640. [Google Scholar] [CrossRef]
- Luo, J.; Hu, Z.; Xiao, Y.; Yang, T.; Dong, C.; Huang, J.; Zhou, H.-B. Rational Design and Optimization of Selenophenes with Basic Side Chains as Novel Potent Selective Estrogen Receptor Modulators (SERMs) for Breast Cancer Therapy. Med. Chem. Commun. 2017, 8, 1485–1497. [Google Scholar] [CrossRef]
- Zhang, S.; Wang, Z.; Hu, Z.; Li, C.; Tang, C.; Carlson, K.E.; Luo, J.; Dong, C.; Katzenellenbogen, J.A.; Huang, J.; et al. Selenophenes: Introducing a New Element into the Core of Non-Steroidal Estrogen Receptor Ligands. ChemMedChem 2017, 12, 235–249. [Google Scholar] [CrossRef] [PubMed]
- Cai, Y.; Liang, P.; Si, W.; Zhao, B.; Shao, J.; Huang, W.; Zhang, Y.; Zhang, Q.; Dong, X. A Selenophene Substituted Diketopyrrolopyrrole Nanotheranostic Agent for Highly Efficient Photoacoustic/infrared-thermal Imaging-guided phototherapy. Org. Chem. Front. 2018, 5, 98–105. [Google Scholar] [CrossRef]
- Karaman, O.; Almammadov, T.; Emre Gedik, M.; Gunaydin, G.; Kolemen, S.; Gunbas, G. Mitochondria-Targeting Selenophene-Modified BODIPY Based Photosensitizers for the Treatment of Hypoxic Cancer Cells. ChemMedChem 2019, 14, 1879–1886. [Google Scholar] [CrossRef] [PubMed]
- Adly, M.E.; Gedawy, E.M.; El-Malah, A.A.; El-Telbany, F.A. Synthesis and Anticancer Activity of Certain Selenophene Derivatives. Russ. J. Org. Chem. 2019, 55, 1189–1196. [Google Scholar] [CrossRef]
- Wilhelm, E.A.; Jesse, C.R.; Bortolatto, C.F.; Nogueira, C.W.; Savegnago, L. Antinociceptive and Anti-allodynic Effects of 3-Alkynyl Selenophene on Different Models of Nociception in Mice. Pharmacol. Biochem. Behav. 2009, 93, 419–425. [Google Scholar] [CrossRef]
- Wilhelm, E.A.; Jesse, C.R.; Roman, S.S.; Nogueira, C.W.; Savegnago, L. Hepatoprotective Effect of 3-Alkynyl Selenophene on Acute Liver Injury Induced by d-Galactosamine and Lipopolysaccharide. Exp. Mol. Pathol. 2009, 87, 20–26. [Google Scholar] [CrossRef]
- Wilhelm, E.A.; Jesse, C.R.; Prigol, M.; Alves, D.; Schumacher, R.F.; Nogueira, C.W. 3-Alkynyl Selenophene Protects against Carbon-tetrachloride-induced and 2-Nitropropane-induced Hepatic Damage in Rats. Cell Biol. Toxicol. 2010, 26, 569–577. [Google Scholar] [CrossRef]
- Juang, S.H.; Lung, C.C.; Hsu, P.C.; Hsu, K.S.; Li, Y.C.; Hong, P.C.; Shiah, H.S.; Kuo, C.C.; Huang, C.W.; Wang, Y.C.; et al. D-501036, A Novel Selenophene-based Triheterocycle Derivative, Exhibits Potent in vitro and in vivo Antitumoral Activity which Involves DNA Damage and Ataxia telangiectasia–mutated Nuclear Protein Kinase Activation. Mol. Cancer. Ther. 2007, 6, 193–202. [Google Scholar] [CrossRef]
- Yamaguchi, S.; Xu, C.; Okamoto, T. Ladder π-Conjugated Materials with Main Group Elements. Pure Appl. Chem. 2006, 78, 721–730. [Google Scholar] [CrossRef]
- Mohanakrishnan, A.K.; Kumar, N.S.; Amaladass, P. Synthesis and Characterization of 9,9-Dialkylfluorene Capped Benzo[c]thiophene/benzo[c]selenophene Analogs as Potential OLEDs. Tetrahedron Lett. 2008, 49, 4792–4795. [Google Scholar] [CrossRef]
- Onk, I.; Hizalan, G.; Cevher, S.C.; Hacioglu, S.O.; Toppare, L.; Cirpan, A.J. Multipurpose Selenophene Containing Conjugated Polymers for Optoelectronic Applications. Macromol. Sci. Pure Appl. Chem. 2017, 54, 133–139. [Google Scholar] [CrossRef]
- Cho, W.; Sarada, G.; Lee, H.; Song, M.; Gal, Y.-S.; Lee, Y.; Jin, S.-H. Highly Efficient, Conventional and Flexible Deep-red Phosphorescent OLEDs using Ambipolar Thiophene/selenophene-phenylquinoline ligand-based Ir(III) complexes. Dyes Pigm. 2017, 136, 390–397. [Google Scholar] [CrossRef]
- Feng, Z.; Wang, D.; Yang, X.; Jin, D.; Zhong, D.; Liu, B.; Zhou, G.; Ma, M.; Wu, Z. Asymmetric Heteroleptic Ir(III) Phosphorescent Complexes with Aromatic Selenide and Selenophene Groups: Synthesis and Photophysical, Electrochemical, and Electrophosphorescent Behaviors. Inorg. Chem. 2018, 57, 11027–11043. [Google Scholar] [CrossRef] [PubMed]
- Chen, H.; Deng, Y.; Zhu, X.; Wang, L.; Lv, L.; Wu, X.; Li, Z.; Shi, Q.; Peng, A.; Peng, Q.; et al. Toward Achieving Single-Molecule White Electroluminescence from Dual Emission of Fluorescence and Phosphorescence. Chem. Mater. 2020, 32, 4038–4044. [Google Scholar] [CrossRef]
- Petrenko, A.; Leitonas, K.; Volyniuk, D.; Baryshnikov, G.V.; Belyakov, S.; Minaev, B.F.; Ågren, H.; Durgaryan, H.; Gražulevičius, J.V.; Arsenyan, P. Benzoselenophenylpyridine Platinum Complexes: Green versus Red Phosphorescence towards Hybrid OLEDs. Dalton Trans. 2020, 49, 3393–3397. [Google Scholar] [CrossRef]
- Takimiya, K.; Kunugi, Y.; Konda, Y.; Niihara, N.; Otsubo, T. 2,6-Diphenylbenzo[1,2-b:4,5-b’]dichalcogenophenes: A New Class of High-Performance Semiconductors for Organic Field-Effect Transistors. J. Am. Chem. Soc. 2004, 126, 5084–5085. [Google Scholar] [CrossRef]
- Takimiya, K.; Kunugi, Y.; Konda, Y.; Ebata, H.; Toyoshima, Y.; Otsubo, T. 2,7-Diphenyl[1]benzoselenopheno[3,2-b][1]benzoselenophene as a Stable Organic Semiconductor for a High-Performance Field-Effect Transistor. J. Am. Chem. Soc. 2006, 128, 3044–3050. [Google Scholar] [CrossRef]
- Yamamoto, T.; Takimiya, K. Facile Synthesis of Highly ð-Extended Heteroarenes, Dinaphtho[2,3-b:2′,3′-f]chalcogenopheno[3,2-b]chalcogenophenes, and Their Application to Field-Effect Transistors. J. Am. Chem. Soc. 2007, 129, 2224–2225. [Google Scholar] [CrossRef]
- Otsubo, T.; Takimiya, K. Selenophenes as Hetero-analogues of Thiophene-based Materials. In Handbook of Thiophene-Based Materials: Applications. In Organic Electronics and Photonics; Perepichka, I.F., Perepichka, D.F., Eds.; John Wiley & Sons: Hoboken, NJ, USA, 2009; pp. 321–340. [Google Scholar]
- Nakano, M.; Mori, H.; Shinamura, S.; Takimiya, K. Naphtho[2,3-b:6,7-b′]dichalcogenophenes: Syntheses, Characterizations, and Chalcogene Atom Effects on Organic Field-Effect Transistor and Organic Photovoltaic Devices. Chem. Mater. 2012, 24, 190–198. [Google Scholar] [CrossRef]
- Hwang, Y.-J.; Murari, N.M.; Jenekhe, S.A. New n-Type Polymer Semiconductors Based on Naphthalene Diimide and Selenophene Derivatives for Organic Field-effect Transistors. Polym. Chem. 2013, 4, 3187–3195. [Google Scholar] [CrossRef]
- Hollinger, J.; Gao, D.; Seferos, D.S. Selenophene Electronics. Isr. J. Chem. 2014, 54, 440–453. [Google Scholar] [CrossRef]
- Shan, Z.; Shi, J.; Xu, W.; Li, C.; Wang, H. Organic Field-effect Transistors Based on Biselenophene Derivatives as Active Layers. Dyes Pigm. 2019, 171, 107675. [Google Scholar] [CrossRef]
- Jang, S.-Y.; Kim, I.-B.; Kang, M.; Fei, Z.; Jung, E.; McCarthy-Ward, T.; Shaw, J.; Lim, D.-H.; Kim, Y.-J.; Mathur, S.; et al. Diseleno[3,2-b:2′,3′-d]selenophene-Containing High-Mobility Conjugated Polymer for Organic Field-Effect Transistors. Adv. Sci. 2019, 6, 1900245. [Google Scholar] [CrossRef] [PubMed]
- Holzer, B.; Dellago, B.; Thamm, A.-K.; Mathis, T.; Stoeger, B.; Horkel, E.; Hametner, C.; Batlogg, B.; Froehlich, J.; Lumpi, D. Symmetric Mixed Sulfur–Selenium Fused Ring Systems as Potential Materials for Organic Field-Effect Transistors. Chem. Eur. J. 2020, 26, 2869–2882. [Google Scholar] [CrossRef]
- Petrenko, A.; Bezvikonnyi, O.; Volyniuk, D.; Danyliv, Y.; Simokaitiene, J.; Belyakov, S.; Grazulevicius, J.V.; Arsenyan, P. Synthesis of Fused Chalcogenophenocarbazoles: Towards Dual Emission Resulting from Hybridized Local and Charge-transfer States. New J. Chem. 2020, 44, 3903–3911. [Google Scholar] [CrossRef]
- Gao, D.; Hollinger, J.; Seferos, D.S. Selenophene-Thiophene Block Copolymer Solar Cells with Thermostable Nanostructures. ACS Nano 2012, 6, 7114–7121. [Google Scholar] [CrossRef]
- Ashraf, R.S.; Meager, I.; Nikolka, M.; Kirkus, M.; Planells, M.; Schroeder, B.C.; Holliday, S.; Hurhangee, M.; Nielsen, C.B.; Sirringhaus, H.; et al. Chalcogenophene Comonomer Comparison in Small Band Gap Diketopyrrolopyrrole-Based Conjugated Polymers for High-Performing Field-Effect Transistors and Organic Solar Cells. J. Am. Chem. Soc. 2015, 137, 1314–1321. [Google Scholar] [CrossRef]
- Zuo, Y.; Zhang, Q.; Wan, X.; Li, M.; Zhang, H.; Li, C.; Chen, Y. A Small Molecule with Selenophene as the Central Block for High Performance Solution-processed Organic Solar Cells. Org. Electron. 2015, 19, 98–104. [Google Scholar] [CrossRef]
- Meng, D.; Sun, D.; Zhong, C.; Liu, T.; Fan, B.; Huo, L.; Li, Y.; Jiang, W.; Choi, H.; Kim, T.; et al. High-Performance Solution-Processed Non-Fullerene Organic Solar Cells Based on Selenophene-Containing Perylene Bisimide Acceptor. J. Am. Chem. Soc. 2016, 138, 375–380. [Google Scholar] [CrossRef]
- Cao, F.-Y.; Tseng, C.-C.; Lin, F.-Y.; Chen, Y.; Yan, H.; Cheng, Y.-J. Selenophene-Incorporated Quaterchalcogenophene-Based Donor-Acceptor Copolymers to Achieve Efficient Solar Cells with Jsc Exceeding 20 mA/cm2. Chem. Mater. 2017, 29, 10045–10052. [Google Scholar] [CrossRef]
- Yin, Y.; Song, J.; Guo, F.; Sun, Y.; Zhao, L.; Zhang, Y. Asymmetrical vs. Symmetrical Selenophene-Annulated Fused Perylenediimide Acceptors for Efficient Non-Fullerene Polymer Solar Cells. ACS Appl. Energy Mater. 2018, 1, 6577–6585. [Google Scholar] [CrossRef]
- Li, C.; Xia, T.; Song, J.; Fu, H.; Ryu, H.S.; Weng, K.; Ye, L.; Woo, H.Y.; Sun, Y. Asymmetric Selenophene-based Non-fullerene Acceptors for High-performance Organic Solar Cells. J. Mater. Chem. A 2019, 7, 1435–1441. [Google Scholar] [CrossRef]
- Liao, X.; Shi, X.; Zhang, M.; Gao, K.; Zuo, L.; Liu, F.; Chen, Y.; Jen, A.K.-Y. Fused Selenophene-thieno[3,2-b]thiophene-selenophene (ST)-Based Narrow-bandgap Electron Acceptor for Efficient Organic Solar Cells with Small Voltage Loss. Chem. Commun. 2019, 55, 8258–8261. [Google Scholar] [CrossRef] [PubMed]
- Ramki, K.; Venkatesh, N.; Sathiyan, G.; Thangamuthu, R.; Sakthivel, P. A Comprehensive Review on the Reasons Behind Low Power Conversion Efficiency of Dibenzo Derivatives Based Donors in Bulk Heterojunction Organic Solar Cells. Org. Electron. 2019, 73, 182–204. [Google Scholar] [CrossRef]
- Wang, H.; Nakagawa, T.; Zhang, M.-M.; Ogumi, K.; Yang, S.; Matsuo, Y. High-yielding Pd2(dba)3·C6H6-based Four-fold Sonogashira Coupling with Selenophene-conjugated Magnesium Tetraethynylporphyrin for Organic Solar Cells. RSC Adv. 2019, 9, 32562–32572. [Google Scholar] [CrossRef]
- Cuesta, V.; Vartanian, M.; Malhotra, P.; Biswas, S.; de la Cruz, P.; Sharma, G.D.; Langa, F. Increase in Efficiency on Using Selenophene Instead of Thiophene in π-Bridges for D-π-DPP-π-D Organic Solar Cells. J. Mater. Chem. A 2019, 7, 11886–11894. [Google Scholar] [CrossRef]
- Lee, J.-W.; Sung, M.J.; Kim, D.; Lee, S.; You, H.; Kim, F.S.; Kim, Y.-H.; Kim, B.J.; Kwon, S.-K. Naphthalene Diimide-Based Terpolymers with Controlled Crystalline Properties for Producing High Electron Mobility and Optimal Blend Morphology in All-Polymer Solar Cells. Chem. Mater. 2020, 32, 2572–2582. [Google Scholar] [CrossRef]
- Pan, J.; Wang, L.; Chen, W.; Sang, S.; Sun, H.; Wu, B.; Hang, X.-C.; Sun, Z.; Huang, W. Non-fullerene Small Molecule Acceptors with Three-dimensional Thiophene/selenophene-annulated Perylene Diimides for Efficient Organic Solar Cells. J. Mater. Chem. C 2020, 8, 6749–6755. [Google Scholar] [CrossRef]
- Kong, H.; Chung, D.S.; Kang, I.-N.; Park, J.-H.; Park, M.-J.; Jung, I.H.; Park, C.E.; Shim, H.-K. New Selenophene-based Semiconducting Copolymers for High Performance Organic Thin-Film Transistors. J. Mater. Chem. 2009, 19, 3490–3499. [Google Scholar] [CrossRef][Green Version]
- Kong, H.; Jung, Y.K.; Cho, N.S.; Kang, I.-N.; Park, J.-H.; Cho, S.; Shim, H.-K. New Semiconducting Polymers Containing 3,6-Dimethyl(thieno[3,2-b]-thiophene or Selenopheno[3,2-b]selenophene) for Organic Thin-Film Transistors. Chem. Mater. 2009, 21, 2650–2660. [Google Scholar] [CrossRef]
- Cho, M.J.; Shin, J.; Yoon, S.H.; Lee, T.W.; Kaur, M.; Choi, D.H. A High-mobility Terselenophene and Diketopyrrolopyrrole Containing Copolymer in Solution-processed Thin Film Transistors. Chem. Commun. 2013, 49, 7132–7134. [Google Scholar] [CrossRef] [PubMed]
- Lee, J.H.; Park, G.E.; Choi, S.; Lee, D.H.; Um, H.A.; Shin, J.; Cho, M.J.; Choi, D.H. Effect of the Thiophene and Selenophene Moiety in Regular Terpolymers on the Performance of Thin Film Transistors and Polymer Solar Cells. Polymer 2016, 94, 43–52. [Google Scholar] [CrossRef]
- Liu, L.; Ren, Z.; Xiao, C.; Dong, H.; Yan, S.; Hu, W.; Wang, Z. Surface-induced Highly Oriented Perylo[1,12-b,c,d]selenophene Thin Films for High Performance Organic Field-effect Transistors. Org. Electron. 2016, 35, 186–192. [Google Scholar] [CrossRef]
- Fei, Z.; Han, Y.; Gann, E.; Hodsden, T.; Chesman, A.S.R.; McNeill, C.R.; Anthopoulos, T.D.; Heeney, M. Alkylated Selenophene-Based Ladder-Type Monomers via a Facile Route for High-Performance Thin-Film Transistor Applications. J. Am. Chem. Soc. 2017, 139, 8552–8561. [Google Scholar] [CrossRef]
- Shi, S.; Tang, L.; Guo, H.; Uddin, M.A.; Wang, H.; Yang, K.; Liu, B.; Wang, Y.; Sun, H.; Woo, H.Y.; et al. Bichalcogenophene Imide-Based Homopolymers: Chalcogen-Atom Effects on the Optoelectronic Property and Device Performance in Organic Thin-Film Transistors. Macromolecules 2019, 52, 7301–7312. [Google Scholar] [CrossRef]
- Park, K.; Shin, E.-Y.; Jiao, X.; McNeill, C.R.; Kim, Y.-H.; Kwon, S.-K.; Noh, Y.-Y. Effect of Backbone Sequence of a Naphthalene Diimide-Based Copolymer on Performance in n-Type Organic Thin-Film Transistors. ACS Appl. Mater. Interfaces 2019, 11, 35185–35192. [Google Scholar] [CrossRef]
- Jones, R.L.; Elder, M.J.; Ewen, J.A. Metallocenes with Cp Ring-Fused to Chalcogen Heterocycles: Synthesis and Polymerization Results. Phosphorus Sulfur Silicon Relat. Elem. 2005, 180, 827–843. [Google Scholar] [CrossRef]
- Buccella, D.; Janak, K.E.; Parkin, G. Reactivity of Mo(PMe3)6 towards Benzothiophene and Selenophenes: New Pathways Relevant to Hydrodesulfurization. J. Am. Chem. Soc. 2008, 130, 16187–16189. [Google Scholar] [CrossRef]
- Busetto, L.; Marchetti, F.; Renili, F.; Zacchini, S.; Zanotti, V. Addition of Alkynes to Zwitterionic μ-Vinyliminium Diiron Complexes: New Selenophene (Thiophene) and Vinyl Chalcogenide Functionalized Bridging Ligands. Organometallics 2010, 29, 1797–1805. [Google Scholar] [CrossRef]
- Ahmad, S.; Yadav, K.K.; Bhattacharya, S.; Chauhan, P.; Chauhan, S.M.S. Synthesis of 21,23-Selenium- and Tellurium-Substituted 5-Porphomethenes, 5,10-Porphodimethenes, 5,15-Porphodimethenes, and Porphotrimethenes and Their Interactions with Mercury. J. Org. Chem. 2015, 80, 3880–3890. [Google Scholar] [CrossRef]
- Hua, C.; D’Alessandro, D.M. Systematic Tuning of Zn(II) Frameworks with Furan, Thiophene, and Selenophene Dipyridyl and Dicarboxylate Ligands. Cryst. Growth Des. 2017, 17, 6262–6272. [Google Scholar] [CrossRef]
- Barros, O.S.R.; Silva, F.R.; Nunes, V.L. Copper(I) Selenophene-2-carboxylate (CuSC) Promoted C-S Cross-coupling Reaction of Thiols with Aryl Iodides. J. Sulfur. Chem. 2019, 40, 9–17. [Google Scholar] [CrossRef]
- Yamamoto, K.; Sawada, J.; Murahashi, T. Thiophene and Selenophene Binding at a Pd3 Cluster Site. Chem. Eur. J. 2020, 26, 8388–8392. [Google Scholar] [CrossRef] [PubMed]
- Barros, O.S.R.; Favero, A.; Nogueira, C.W.; Menezes, P.H.; Zeni, G. Palladium-catalyzed Cross-coupling of 2-Haloselenophene with Terminal Alkynes in the Absence of Additive. Tetrahedron Lett. 2006, 47, 2179–2182. [Google Scholar] [CrossRef]
- Prediger, P.; Moro, A.V.; Nogueira, C.W.; Savegnago, L.; Rocha, J.B.T.; Zeni, G. Palladium-Catalyzed Suzuki Cross-Coupling of 2-Haloselenophenes: Synthesis of 2-Arylselenophenes, 2,5-Diarylselenophenes, and 2-Arylselenophenyl Ketones. J. Org. Chem. 2006, 71, 3786–3792. [Google Scholar] [CrossRef] [PubMed]
- Alves, D.; Luchese, C.; Nogueira, C.W.; Zeni, G. Electrophilic Cyclization of (Z)-Selenoenynes: Synthesis and Reactivity of 3-Iodoselenophenes. J. Org. Chem. 2007, 72, 6726–6734. [Google Scholar] [CrossRef] [PubMed]
- Schumacher, R.F.; Alves, D.; Brandão, R.; Nogueira, C.W.; Zeni, G. 3-Iodoselenophene Derivatives: A Versatile Substrate for Negishi Cross-coupling Reaction. Tetrahedron Lett. 2008, 49, 538–542. [Google Scholar] [CrossRef]
- Alves, D.; Reis, J.S.; Luchese, C.; Nogueira, C.W.; Zeni, G. Synthesis of 3-Alkynylselenophene Derivatives by a Copper-Free Sonogashira Cross-Coupling Reaction. Eur. J. Org. Chem. 2008, 2008, 377–382. [Google Scholar] [CrossRef]
- Tùng, D.T.; Villinger, A.; Langer, P. Efficient Synthesis of Substituted Selenophenes Based on the First Palladium(0)-Catalyzed Cross-Coupling Reactions of Tetrabromoselenophene. Adv. Synth. Catal. 2008, 350, 2109–2117. [Google Scholar] [CrossRef]
- Ehlers, P.; Dang, T.T.; Patonay, T.; Villinger, A.; Langer, P. Synthesis of Alkynylated Selenophenes by Site-Selective Sonogashira Reactions of Tetrabromoselenophene. Eur. J. Org. Chem. 2013, 10, 2000–2007. [Google Scholar] [CrossRef]
- Skhiri, A.; Salem, R.B.; Soulé, J.-F.; Doucet, H. Reactivity of Bromoselenophenes in Palladium-catalyzed Direct Arylations. Beilstein J. Org. Chem. 2017, 13, 2862–2868. [Google Scholar] [CrossRef] [PubMed]
- Skhiri, A.; Salem, R.B.; Soul, J.-F.; Doucet, H. Access to (Hetero)arylated Selenophenes via Palladium catalysed Stille, Negishi or Suzuki Couplings or C-H Bond Functionalization Reaction. ChemCatChem 2017, 9, 2895–2913. [Google Scholar] [CrossRef]
- Chen, S.-Y.; Pao, Y.-C.; Sahoo, S.K.; Huang, W.-C.; Lai, Y.-Y.; Cheng, Y.-J. Synthesis of Unsymmetrical Benzotrichalcogenophenes by N-Heterocyclic Carbene-palladium-catalyzed Intramolecular Direct C3-Arylation of Chalcogenophenes. Chem. Commun. 2018, 54, 1517–1520. [Google Scholar] [CrossRef] [PubMed]
- Barros, O.S.R.; Nogueira, C.W.; Stangherlin, E.C.; Menezes, P.H.; Zeni, G. Copper-Promoted Carbon-Nitrogen Bond Formation with 2-Iodo-selenophene and Amides. J. Org. Chem. 2006, 71, 1552–1557. [Google Scholar] [CrossRef]
- Prediger, P.; Brandão, R.; Nogueira, C.W.; Zeni, G. Palladium-Catalyzed Carbonylation of 2-Haloselenophenes: Synthesis of Selenophene-2-carboxamides, Selenophene-2,5-dicarboxamides and N,N-Bridged Selenophene-2-carboxamides. Eur. J. Org. Chem. 2007, 32, 5422–5428. [Google Scholar] [CrossRef]
- Wang, P.-Y.; Li, L.-C.; Yang, C.; Li, Y.-R. Theoretical Investigation on the Mechanism of the CuI-Catalyzed Carbon-Nitrogen Coupling Reaction of 2-Iodo-selenophene with Benzamide. J. Phys. Chem. A 2008, 112, 435–440. [Google Scholar] [CrossRef]
- Zeni, G. Carbon-sulfur Bond Formation from 2-Halochalcogenophenes via Copper Catalyzed Thiol Cross-coupling. Tetrahedron Lett. 2005, 46, 2647–2651. [Google Scholar] [CrossRef]
- Tamba, S.; Fujii, R.; Mori, A.; Hara, K.; Koumura, N. Synthesis and Properties of Seleno-analog MK-organic Dye for Photovoltaic Cells Prepared by CH Functionalization Reactions of Selenophene Derivatives. Chem. Lett. 2011, 40, 922–924. [Google Scholar] [CrossRef]
- Rampon, D.S.; Wessjohann, L.A.; Schneider, P.H. Palladium-Catalyzed Direct Arylation of Selenophene. J. Org. Chem. 2014, 79, 5987–5992. [Google Scholar] [CrossRef]
- Skhiri, A.; Salem, R.B.; Soule, J.-F.; Doucet, H. Unprecedented Access to ß-Arylated Selenophenes via Palladium-Catalysed Direct Arylation. Chem. Eur. J. 2017, 23, 2788–2791. [Google Scholar] [CrossRef]
- Shi, X.; Mao, S.; Roisnel, T.; Doucet, H.; Soule, J.-F. Palladium-catalyzed Successive C–H bond Arylations and Annulations toward the π-Extension of Selenophene-containing Aromatic Skeletons. Org. Chem. Front. 2019, 6, 2398–2403. [Google Scholar] [CrossRef]
- Chen, S.-Y.; Sahoo, S.K.; Huang, C.-L.; Chan, T.-H.; Cheng, Y.-J. Pd(II)-Catalyzed Direct Dehydrogenative Mono- and Diolefination of Selenophenes. Org. Lett. 2020, 22, 2318–2322. [Google Scholar] [CrossRef] [PubMed]
- Sommen, G.L. Synthesis of Selenophenes. Mini-Rev. Org. Chem. 2005, 2, 375–388. [Google Scholar] [CrossRef]
- Młochowski, J.; Giurg, M. New trends in chemistry and application of aromatic and related selenaheterocycles. In Aromaticity in Heterocyclic Compounds; Krygowski, T.M., Cyrański, M.K., Eds.; Topics in Heterocyclic Chemistry; Springer: Berlin/Heidelberg, Germany, 2009; Volume 19, pp. 287–340. [Google Scholar]
- Rhoden, C.R.B.; Zeni, G. New Development of Synthesis and Reactivity of Seleno- and Tellurophenes. Org. Biomol. Chem. 2011, 9, 1301–1313. [Google Scholar] [CrossRef]
- Vasiljeva, E.; Arsenyan, P. Synthesis of Selenophenes Condensed with Six-Membered Nitrogen Heterocycles. Chem. Heterocycl. Comp. 2012, 48, 981–992. [Google Scholar] [CrossRef]
- Biehl, E.R. Five-membered ring systems: Thiophene and Se/Te derivatives. In Progress in Heterocycle Chemistry; Gribble, G.W., Joule, J.A., Eds.; Elsevier: Amsterdam, The Netherlands, 2015; Volume 27, pp. 117–157. [Google Scholar]
- Wu, B.; Yoshikai, N. Recent Developments in Synthetic Methods for Benzo[b]heteroles. Org. Biomol. Chem. 2016, 14, 5402–5416. [Google Scholar] [CrossRef]
- Diakov, M.Y.; Prodanov, M.F.; Vashchenko, V.V. Recent Progress in Selenophenes Synthesis from Inorganic Se-Precursors. Curr. Org. Chem. 2017, 14, 683–690. [Google Scholar] [CrossRef]
- Ranu, B.; Ghosh, T.; Adak, L.; Panja, S. Synthesis and reactivity of selenophene and their benzo- and other carbocyclic-fused derivatives. In Reference Module in Chemistry, Molecular Sciences and Chemical Engineering; Elsevier: Amsterdam, The Netherlands, 2019. [Google Scholar] [CrossRef]
- Paal, C. Ueber die Einwirkung von Phosphorpentaselenid auf des Acetonylaceton. Ber. Dtsch. Chem. Ges. 1885, 18, 2255–2256. [Google Scholar] [CrossRef]
- Briscoe, H.V.A.; Peel, J.B. The Preparation and Properties of Selenophen and Certain Halogen Derivatives of Selenophen. J. Chem. Soc. 1928, 1741–1747. [Google Scholar] [CrossRef]
- McMahon, F.A.; Pearson, T.G.; Robinson, P.L. An Improved Preparation of Selenophen and Attempts to prepare Tellurophen. J. Chem. Soc. 1933, 1643–1644. [Google Scholar] [CrossRef]
- Korchevin, N.A.; Ostroukhova, L.A.; Sukhomazova, E.N.; Zhnikin, A.R.; Deryagina, E.N.; Voronkov, M.G. Gas phase synthesis of selenophene from dimethyl selenides and acetylene. Chem. Heterocycl. Compds. 1987, 23, 237. [Google Scholar] [CrossRef]
- Tsuboi, S.; Watanabe, K.; Mimura, S.; Takeda, A. A novel synthesis of 2,5-disubstituted furans and selenophenes via the oxidation of 2,4-alkadienoic esters with SeO2. Tetrahedron Lett. 1986, 27, 2643–2644. [Google Scholar] [CrossRef]
- Maity, P.; Kundu, D.; Roy, R.; Ranu, B.C. A Direct Synthesis of Selenophenes by Cu-Catalyzed One-Pot Addition of a Selenium Moiety to (E,E)-1,3-Dienyl Bromides and Subsequent Nucleophilic Cyclization. Org. Lett. 2014, 16, 4122–4125. [Google Scholar] [CrossRef] [PubMed]
- Roehrs, J.A.; Pistoia, R.P.; Back, D.F.; Zeni, G. Diorganyl Dichalcogenides-Promoted Nucleophilic Closure of 1,4-Diyn-3-ols: Synthesis of 2-Benzoyl Chalcogenophenes. J. Org. Chem. 2015, 80, 12470–12481. [Google Scholar] [CrossRef]
- Baldwin, J.E. Rules for ring closure. J. Chem. Soc. Chem. Commun. 1976, 734–736. [Google Scholar] [CrossRef]
- Bilheri, F.N.; Stein, A.L.; Zeni, G. Synthesis of Chalcogenophenes via Cyclization of 1,3-Diynes Promoted by Iron(III) Chloride and Dialkyl Dichalcogenides. Adv. Synth. Catal. 2015, 357, 1221–1228. [Google Scholar] [CrossRef]
- Maity, P.; Ranu, B.C. Iodine-Catalyzed Synthesis of Chalcogenophenes by the Reaction of 1,3-Dienyl Bromides and Potassium Selenocyanate/Potassium Sulfide (KSeCN/K2S). Adv. Synth. Catal. 2017, 359, 4369–4378. [Google Scholar] [CrossRef]
- Jin, S.; Kuang, Z.; Song, Q. Precise Construction of SCF2H or SeCF2H Groups on Heteroarenes Generated in Situ from CF3-Containing 1,3-Enynes. Org. Lett. 2020, 22, 615–619. [Google Scholar] [CrossRef]
- Barancelli, D.A.; Schumacher, R.F.; Leite, M.R.; Zeni, G. Copper(II)-Mediated Intramolecular Cyclization of (Z)-Chalcogenoenynes: Synthesis of 3-Halochalcogenophene Derivatives. Eur. J. Org. Chem. 2011, 2011, 6713–6718. [Google Scholar] [CrossRef]
- Barancelli, D.A.; Acker, C.I.; Menezes, P.H.; Zeni, G. Selective Base-promoted Synthesis of Substituted Selenophenes by Carbocyclization of (Z)-Benzylselenoenynes. Org. Biomol. Chem. 2011, 9, 1529–1537. [Google Scholar] [CrossRef]
- Schumacher, R.F.; Rosário, A.R.; Leite, M.R.; Zeni, G. Cyclization of Homopropargyl Chalcogenides by Copper(II) Salts: Selective Synthesis of 2,3-Dihydroselenophenes, 3-Arylselenophenes, and 3-Haloselenophenes/thiophenes. Chem. Eur. J. 2013, 19, 13059–13064. [Google Scholar] [CrossRef] [PubMed]
- Kesharwani, T.; Giraudy, K.A.; Morgan, J.L.; Kornman, C.; Olaitan, A.D. Green Synthesis of Halogenated Thiophenes, Selenophenes and Benzo[b]selenophenes using Sodium Halides as a Source of Electrophilic Halogens. Tetrahedron Lett. 2017, 58, 638–641. [Google Scholar] [CrossRef] [PubMed]
- Godoi, B.; Schumacher, R.F.; Zeni, G. Synthesis of Heterocycles via Electrophilic Cyclization of Alkynes Containing Heteroatom. Chem. Rev. 2011, 111, 2937–2980. [Google Scholar] [CrossRef] [PubMed]
- Pistoia, R.P.; Roehrs, J.A.; Back, D.F.; Zeni, G. Iodine-mediated Regioselective 5-endo-dig Electrophilic Cyclization Reaction of Selenoenynes: Synthesis of Selenophene Derivatives. Org. Chem. Front. 2017, 4, 277–282. [Google Scholar] [CrossRef]
- Casola, K.K.; Gomes, M.R.; Back, D.F.; Zeni, G. Electrophilic Cyclization Involving Carbon-Selenium/Carbon-Halide Bond Formation: Synthesis of 3-Substituted Selenophenes. J. Org. Chem. 2018, 83, 6706–6718. [Google Scholar] [CrossRef]
- Soares, L.K.; Barcellos, A.M.; Neto, J.S.S.; Alves, D.; Lenardão, E.J.; Rosati, O.; Santi, C.; Perin, G. Dichalcogenides/Oxone®-Mediated Cyclization of (Z)-Chalcogenoenynes under Ultrasound Irradiation. ChemistrySelect 2020, 5, 9813–9819. [Google Scholar] [CrossRef]
- Kesharwani, T.; Worlikar, S.A.; Larock, R.C. Synthesis of 2,3-Disubstituted Benzo[b]selenophenes via Electrophilic Cyclization. J. Org. Chem. 2006, 71, 2307–2312. [Google Scholar] [CrossRef]
- Mehta, S.; Waldo, J.P.; Larock, R.C. Competition Studies in Alkyne Electrophilic Cyclization Reactions. J. Org. Chem. 2009, 74, 1141–1147. [Google Scholar] [CrossRef]
- Sato, T.; Nakamura, I.; Terada, M. Platinum-Catalyzed Multisubstituted Benzo[b]selenophene Synthesis. Eur. J. Org. Chem. 2009, 32, 5509–5512. [Google Scholar] [CrossRef]
- Krzyzanowski, A.; Saleeb, M.; Elofsson, M. Synthesis of Indole-, Benzo[b]thiophene-, and Benzo[b]selenophene-Based Analogues of the Resveratrol Dimers Viniferifuran and (±)-Dehydroampelopsin B. Org. Lett. 2018, 20, 6650–6654. [Google Scholar] [CrossRef]
- Pistoia, R.P.; Roehrs, J.A.; Back, D.F.; Zeni, G. Synthesis of 2-Acylselenophenes via Iodine-Promoted Nucleophilic Cyclization of [2-(Butylselanyl)phenyl]-propynols. Adv. Synth. Catal. 2015, 357, 3655–3665. [Google Scholar] [CrossRef]
- Perin, G.; Roehrs, J.A.; Hellwig, P.S.; Stach, G.; Barcellos, T.; Lenardão, E.J.; Jacob, R.G.; Luz, E.Q. Synthesis of 2-Organylchalcogenyl-benzo[b]selenophenes: 1-(2,2-Dibromovinyl)-2-butylselenanylbenzenes as Precursors to Access Alkynes Susceptible to Cyclization. ChemistrySelect 2017, 2, 4561–4566. [Google Scholar] [CrossRef]
- Bilheri, F.N.; Pistoia, R.P.; Back, D.F.; Zeni, G. Copper/Palladium-Catalyzed Cyclization/Cross-Coupling Cascade Reaction of 2-gem-Dibromovinyl Aryl Selenides: Synthesis of 2-Substituted Benzo[b]selenophenes. Adv. Synth. Catal. 2017, 359, 4208–4216. [Google Scholar] [CrossRef]
- Stach, G.; Peglow, T.J.; Roehrs, J.A.; Penteado, F.; Barcellos, T.; Jacob, R.G.; Lenardão, E.J.; Perin, G. Synthesis of 2-(Arylselanyl)benzo[b]chalcogenophenes via Intramolecular Cyclization of Vinyl Selenides. Synthesis 2019, 51, 578–586. [Google Scholar]
- Perin, G.; Soares, L.K.; Hellwig, P.S.; Silva, M.S.; Neto, J.S.S.; Roehrs, J.A.; Barcellos, T.; Lenardão, E.J. Synthesis of 2,3-Bis-organochalcogenylbenzo[b]chalcogenophenes Promoted by Oxone®. New J. Chem. 2019, 43, 6323–6331. [Google Scholar] [CrossRef]
- Xu, J.; Yu, X.; Yan, J.; Song, Q. Synthesis of 3-(Arylsulfonyl)benzothiophenes and Benzoselenophenes via TBHP-Initiated Radical Cyclization of 2-Alkynylthioanisoles or -selenoanisoles with Sulfinic Acids. Org. Lett. 2017, 19, 6292–6295. [Google Scholar] [CrossRef]
- Yan, J.; Xu, J.; Zhou, Y.; Chen, J.; Song, Q. Photoredox-catalyzed Cascade Annulation of Methyl(2-(phenylethynyl)phenyl)sulfanes and Methyl(2-(phenylethynyl)phenyl)selanes with Sulfonyl Chlorides: Synthesis of Benzothiophenes and Benzoselenophenes. Org. Chem. Front. 2018, 5, 1483–1487. [Google Scholar] [CrossRef]
- Alcaide, B.; Almendros, P.; Busto, E.; Herrera, F.; Lázaro-Milla, C.; Luna, A. Photopromoted Entry to Benzothiophenes, Benzoselenophenes, 3H-Indoles, Isocoumarins, Benzosultams, and (Thio)flavones by Gold-Catalyzed Arylative Heterocyclization of Alkynes. Adv. Synth. Catal. 2017, 359, 2640–2652. [Google Scholar] [CrossRef]
- Cai, T.; Liu, J.; Zhang, H.; Wang, X.; Feng, J.; Shen, R.; Gao, Y. Ag-Mediated Radical Cyclization of 2-Alkynylthio(seleno)anisoles: Direct Synthesis of 3-Phosphinoylbenzothio(seleno)phenes. Org. Lett. 2019, 21, 4605–4608. [Google Scholar] [CrossRef]
- Lu, S.-C.; Wu, B.; Zhang, S.-P.; Gong, Y.-L.; Xu, S. K2S2O8-Mediated Radical Cyclisation of 2-Alkynylthioanisoles or -selenoanisoles: A Green and Regioselective Route to 3-Nitrobenzothiophenes and Benzoselenophenes. RSC Adv. 2020, 10, 19083–19087. [Google Scholar] [CrossRef]
- Zang, H.; Sun, J.-G.; Dong, X.; Li, P.; Zhang, B. Preparation of Benzothiophenes and Benzoselenophenes from Arylamines and Alkynes via Radical Cascade Reactions. Adv. Synth. Catal. 2016, 358, 1746–1752. [Google Scholar] [CrossRef]
- Klayman, D.L.; Griffin, T.S. Reaction of Selenium with Sodium Borohydride in Protic Solvents. A Facile Method for the Introduction of Selenium into Organic Molecules. J. Am. Chem. Soc. 1973, 95, 197–199. [Google Scholar] [CrossRef]
- Hoenig, S.M.; Yan, Y.; Dougherty, E.A.; Hudson, R.; Petovic, S.; Lee, C.K.; Hu, Y.; Gomez, L.S.; Katz, J.L. Convergent Strategy for the Synthesis of Oxa-, Thia-, and Selena[5]helicenes by Acetylene-Activated SNAr Reactions. J. Org. Chem. 2020, 85, 4553–4559. [Google Scholar] [CrossRef] [PubMed]
- Kaname, M.; Sashida, H. Tandem Addition-Cyclization of o-Ethynylphenyllithiums and Isoselenocyanates: A Convenient Preparation of Functionalized Benzo[c]selenophenes. Tetrahedron Lett. 2011, 52, 3279–3282. [Google Scholar] [CrossRef]
- Lyapunova, A.G.; Androsov, D.A.; Petrov, M.L. A Convenient Synthesis of Benzo[b]chalcogenophenes from 4-(2-Chloro-5-nitrophenyl)-1,2,3-chalcogenadiazoles. Tetrahedron Lett. 2013, 54, 3427–3430. [Google Scholar] [CrossRef]
- Lyapunova, A.G.; Petrov, M.L.; Androsov, D.A. A Novel Synthesis of Benzo[b]selenophenes via Regioselective Intramolecular Transformation of 4-(3-Nitroaryl)-1,2,3-selenadiazoles. Org. Lett. 2013, 15, 1744–1747. [Google Scholar] [CrossRef]
- Paegle, E.; Belyakov, S.; Arsenyan, P. An Approach to the Selenobromination of Aryl(thienyl)alkynes: Access to 3-Bromobenzo[b]selenophenes and Selenophenothiophenes. Eur. J. Org. Chem. 2014, 2014, 3831–3840. [Google Scholar] [CrossRef]
- Paegle, E.; Belyakov, S.; Petrova, M.; Liepinsh, E.; Arsenyan, P. Cyclization of Diaryl(hetaryl)alkynes under Selenobromination Conditions: Regioselectivity and Mechanistic Studies. Eur. J. Org. Chem. 2015, 2015, 4389–4399. [Google Scholar] [CrossRef]
- Wu, B.; Yoshikai, N. Versatile Synthesis of Benzothiophenes and Benzoselenophenes by Rapid Assembly of Arylzinc Reagents, Alkynes, and Elemental Chalcogens. Angew. Chem. Int. Ed. 2013, 52, 10496–10499. [Google Scholar] [CrossRef]
- Matsumura, M.; Sakata, Y.; Iwase, A.; Kawahata, M.; Kitamura, Y.; Murata, Y.; Kakusawa, N.; Yamaguchi, K.; Yasuike, S. Copper-catalyzed Tandem Cyclization of 2-(2-Iodophenyl)imidazo[1,2-a]pyridine Derivatives with Selenium: Synthesis of Benzo[b]selenophene Fused Imidazo[1,2-a]pyridines. Tetrahedron Lett. 2016, 57, 5484–5488. [Google Scholar] [CrossRef]
- Sun, P.; Jiang, M.; Wei, W.; Min, Y.; Zhang, W.; Li, W.; Yang, D.; Wang, H. Copper-Catalyzed Selenylation of Imidazo[1,2-a]pyridines with Selenium Powder via a Radical Pathway. J. Org. Chem. 2017, 82, 2906–2913. [Google Scholar] [CrossRef] [PubMed]
- Wang, T.; Chen, J.; Wang, J.; Xu, S.; Lin, A.; Yao, H.; Jiang, S.; Xu, J. Cobalt-catalyzed Carbon-Sulfur/Selenium Bond Formation: Synthesis of Benzo[b]thio/selenophene-fused Imidazo[1,2-a]pyridines. Org. Biomol. Chem. 2018, 16, 3721–3725. [Google Scholar] [CrossRef] [PubMed]
- Luo, D.; Wu, G.; Yang, H.; Liu, M.; Gao, W.; Huang, X.; Chen, J.; Wu, H. Copper-Catalyzed Three-Component Reaction for Regioselective Aryl- and Heteroarylselenation of Indoles using Selenium Powder. J. Org. Chem. 2016, 81, 4485–4493. [Google Scholar] [CrossRef] [PubMed]
- Angeli, A.; Tanini, D.; Viglianisi, C.; Panzella, L.; Capperucci, A.; Menichetti, S.; Supuran, C.T. Evaluation of Selenide, Diselenide and Selenoheterocycle Derivatives as Carbonic Anhydrase I, II, IV, VII and IX inhibitors. Bioorg. Med. Chem. 2017, 25, 2518–2523. [Google Scholar] [CrossRef]
- Wang, M.; Fan, Q.; Jiang, X. Transition-Metal-Free Diarylannulated Sulfide and Selenide Construction via Radical/Anion-Mediated Sulfur-Iodine and Selenium-Iodine Exchange. Org. Lett. 2016, 18, 5756–5759. [Google Scholar] [CrossRef]
- Maity, P.; Paroi, B.; Ranu, B.C. Transition-Metal-Free Iodine Catalyzed Selenocayanation of Styrenyl Bromides and an Easy Access to Benzoselenophenes via Intermediacy of Styrenyl Selenocyanate. Org. Lett. 2017, 19, 5748–5751. [Google Scholar] [CrossRef]
- Hu, Y.; Ma, J.; Li, L.; Hu, Q.; Lv, S.; Liu, B.; Wang, S. Fused Multifunctionalized Dibenzoselenophenes from Tetraynes. Chem. Commun. 2017, 53, 1542–1545. [Google Scholar] [CrossRef]
- Ni, P.; Tan, J.; Zhao, W.; Huang, H.; Xiao, F.; Deng, G.-J. A Three-Component Strategy for Benzoselenophene Synthesis under Metal-Free Conditions Using Selenium Powder. Org. Lett. 2019, 21, 3518–3522. [Google Scholar] [CrossRef]
- Sperança, A.; Godoi, B.; Costa, M.D.; Menezes, P.H.; Zeni, G. Electrophilic Cyclization of 3-Alkynyl-4-chalcogen-2-H-chromenes: Synthesis of 3-Halo-chalcogenophene[3,2-c]chromene Derivatives. Tetrahedron Lett. 2011, 52, 388–391. [Google Scholar] [CrossRef]
- Stein, A.L.; Bilheri, F.N.; Rosário, A.R.; Zeni, G. FeCl3-Diorganyl Dichalcogenides Promoted Cyclization of 2-Organochalcogen-3-alkynylthiophenes: Synthesis of Chalcogenophene[2,3-b]thiophenes. Org. Biomol. Chem. 2013, 11, 2972–2978. [Google Scholar] [CrossRef]
- Racharlawar, S.S.; Shankar, D.; Karkhelikar, M.V.; Sridhar, B.; Likhar, P.R. Intramolecular Heterocyclization and Cyclopalladation of Selenoanisole Substituted Propargyl Imines: Synthesis and Reactivity of P-C Bond Towards Alkynes. J. Organomet. Chem. 2014, 757, 14–20. [Google Scholar] [CrossRef]
- Sonawane, A.D.; Garud, D.R.; Udagawa, T.; Koketsu, M. Synthesis of thieno[2,3-b]quinoline and Selenopheno[2,3-b]quinoline Derivatives via Iodocyclization Reaction and a DFT Mechanistic Study. Org. Biomol. Chem. 2018, 16, 245–255. [Google Scholar] [CrossRef] [PubMed]
- Leonel, G.; Back, D.F.; Zeni, G. Synthesis of 3-Substituted Chalcogenophene-Fused Indoles from 2-Alkynylindoles. Adv. Synth. Catal. 2020, 362, 585–593. [Google Scholar] [CrossRef]
- Peglow, T.J.; Bartz, R.H.; Martins, C.C.; Belladona, A.L.; Luchese, C.; Wilhelm, E.A.; Schumacher, R.F.; Perin, G. Synthesis of 2-Organylchalcogenopheno[2,3-b]pyridines from Elemental Chalcogen and NaBH4/PEG-400 as Reducing System: Antioxidant and Antinociceptive Properties. ChemMedChem 2020, 15, 1741–1751. [Google Scholar] [CrossRef]
- Perin, G.; Peglow, T.J.; Bartz, R.H.; Cargnelutti, R.; Lenardão, E.J.; Schumacher, R.F. Synthesis of 2-Organylselenopheno[2,3-b]pyridines and 1,6-Diazaselenanthrenes via Radical Cascade Reactions using tert-Butyl Nitrite. Arkivoc 2019, 2019, 50–64. [Google Scholar] [CrossRef]
- Arsenyan, P.; Vasiljeva, J.; Shestakova, I.; Domracheva, I.; Belyakov, S. The synthesis and Cytotoxic Properties of Selenopheno[3,2-c]- and Selenopheno[2,3-c]quinolones. Chem. Heterocycl. Comp. 2014, 49, 1674–1680. [Google Scholar] [CrossRef]
- Martins, G.M.; Back, D.F.; Kaufman, T.S.; Silveira, C.C. SeCl2-Mediated Approach toward Indole-Containing Polysubstituted Selenophenes. J. Org. Chem. 2018, 83, 3252–3264. [Google Scholar] [CrossRef]
- Neto, J.S.S.; Iglesias, B.A.; Back, D.F.; Zeni, G. Iron-Promoted Tandem Cyclization of 1,3-Diynyl Chalcogen Derivatives with Diorganyl Dichalcogenides for the Synthesis of Benzo[b]furan-Fused Selenophenes. Adv. Synth. Catal. 2016, 358, 3572–3585. [Google Scholar] [CrossRef]
- Pinheiro, R.C.; Back, D.F.; Zeni, G. Iron(III) Chloride/Dialkyl Diselenides-Promoted Cascade Cyclization of ortho-Diynyl Benzyl Chalcogenides. Adv. Synth. Catal. 2019, 361, 1866–1873. [Google Scholar] [CrossRef]
- Lutz, G.; Back, D.F.; Zeni, G. Iron-Mediated Cyclization of 1,3-Diynyl Propargyl Aryl Ethers with Dibutyl Diselenide: Synthesis of Selenophene-Fused Chromenes. Adv. Synth. Catal. 2020, 362, 1096–1105. [Google Scholar] [CrossRef]
- Goulart, H.A.; Neto, J.S.S.; Barcellos, A.M.; Barcellos, T.; Silva, M.S.; Alves, D.; Jacob, R.; Lenardão, E.J.; Perin, G. Synthesis of 5H-Selenopheno[3,2-c]isochromen-5-ones Promoted by Dialkyl Diselenides and Oxone®. Adv. Synth. Catal. 2019, 361, 3403–3411. [Google Scholar] [CrossRef]
- Sonawane, A.D.; Kubota, Y.; Koketsu, M. Iron-Promoted Intramolecular Cascade Cyclization for the Synthesis of Selenophene-Fused, Quinoline-Based Heteroacenes. J. Org. Chem. 2019, 84, 8602–8614. [Google Scholar] [CrossRef] [PubMed]
- Sonawane, A.D.; Shimozuma, A.; Udagawa, T.; Ninomiya, M.; Koketsu, M. Synthesis and Photophysical Properties of Selenopheno[2,3-b]quinoxaline and Selenopheno[2,3-b]pyrazine heteroacenes. Org. Biomol. Chem. 2020, 18, 4063–4070. [Google Scholar] [CrossRef] [PubMed]
- Dillon, A.S.; Flynn, B.L. Polyynes to Polycycles: Domino Reactions Forming Polyfused Chalcogenophenes. Org. Lett. 2020, 22, 2987–2990. [Google Scholar] [CrossRef]







































































































































Publisher’s Note: MDPI stays neutral with regard to jurisdictional claims in published maps and institutional affiliations. |
© 2020 by the authors. Licensee MDPI, Basel, Switzerland. This article is an open access article distributed under the terms and conditions of the Creative Commons Attribution (CC BY) license (http://creativecommons.org/licenses/by/4.0/).
Share and Cite
Hellwig, P.S.; Peglow, T.J.; Penteado, F.; Bagnoli, L.; Perin, G.; Lenardão, E.J. Recent Advances in the Synthesis of Selenophenes and Their Derivatives. Molecules 2020, 25, 5907. https://doi.org/10.3390/molecules25245907
Hellwig PS, Peglow TJ, Penteado F, Bagnoli L, Perin G, Lenardão EJ. Recent Advances in the Synthesis of Selenophenes and Their Derivatives. Molecules. 2020; 25(24):5907. https://doi.org/10.3390/molecules25245907
Chicago/Turabian StyleHellwig, Paola S., Thiago J. Peglow, Filipe Penteado, Luana Bagnoli, Gelson Perin, and Eder J. Lenardão. 2020. "Recent Advances in the Synthesis of Selenophenes and Their Derivatives" Molecules 25, no. 24: 5907. https://doi.org/10.3390/molecules25245907
APA StyleHellwig, P. S., Peglow, T. J., Penteado, F., Bagnoli, L., Perin, G., & Lenardão, E. J. (2020). Recent Advances in the Synthesis of Selenophenes and Their Derivatives. Molecules, 25(24), 5907. https://doi.org/10.3390/molecules25245907

