Isolation of a Nitromethane Anion in the Calix-Shaped Inorganic Cage
Abstract
1. Introduction
2. Results and Discussion
2.1. Reactivity of Cyanide and the Effect of the Addition of V12
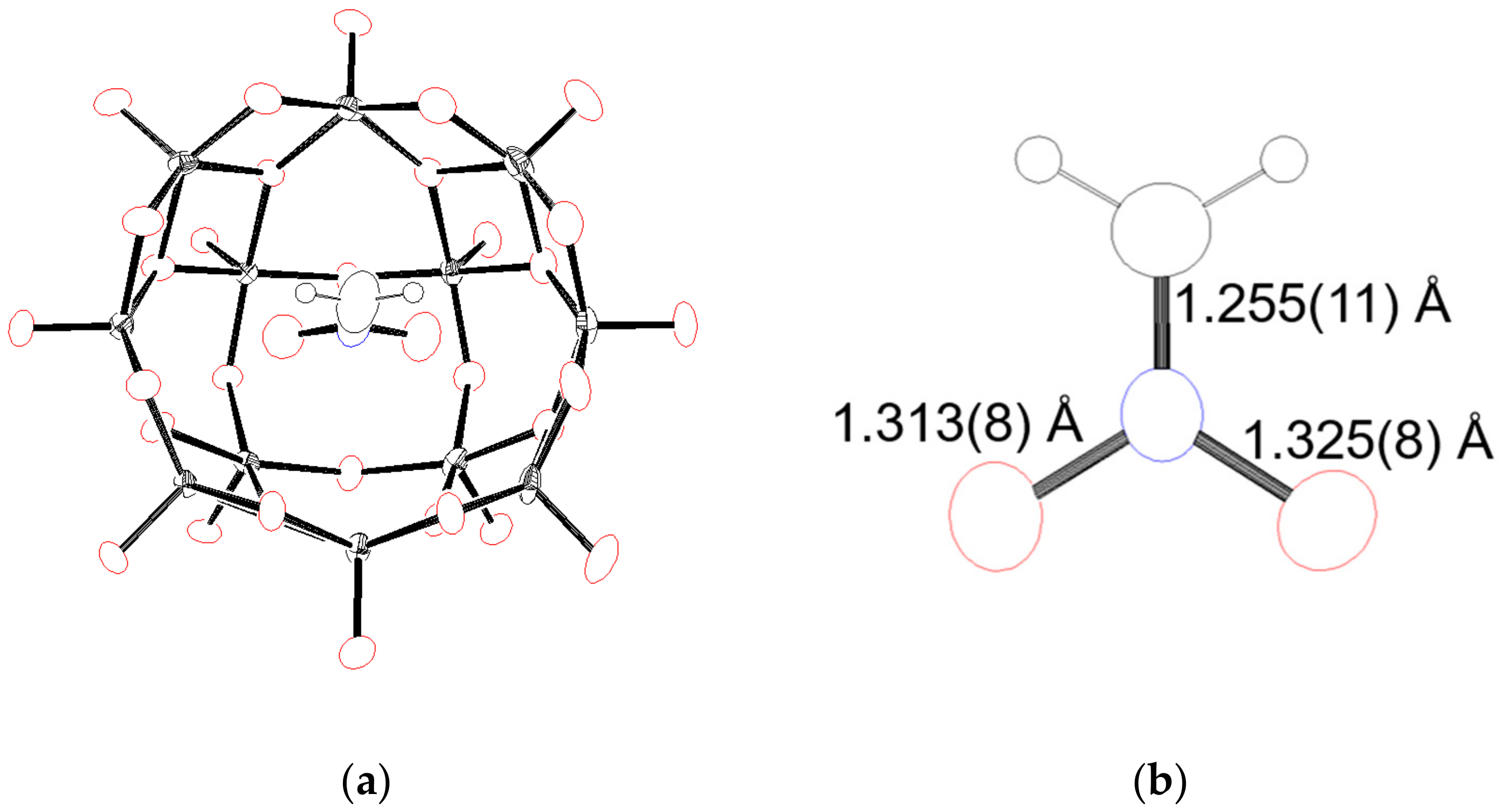
2.2. Crystal Strucuture and Charactorization
3. Materials and Methods
4. Conclusions
Supplementary Materials
Author Contributions
Funding
Acknowledgments
Conflicts of Interest
References
- Ikeda, A.; Shinkai, S. Novel Cavity Design Using Calix[n]arene Skeletons: Toward MolecularRecognition and Metal Binding. Chem. Rev. 1997, 97, 1713–1734. [Google Scholar] [CrossRef] [PubMed]
- Rebek, J., Jr. Host-guest chemistry of calixarene caplixarene capsules. Chem. Commun. 2000, 637–643. [Google Scholar] [CrossRef]
- Blanco-Gómez, A.; Cortón, P.; Neira, L.B.I.; Pazos, E.; Peinador, C.; Garía, M.D. Controlled binding of organic guests by stimuli-responsive macrocycles. Chem. Soc. Rev. 2020, 49, 3834–3862. [Google Scholar] [CrossRef] [PubMed]
- Islam, M.; Georghiou, P.E.; Rahman, S.; Yamato, T. Calix[3]arene-Analogous Metacyclophanes: Synthesis, Structures and Properties with Infinite Potential. Molecules 2020, 25, 4202. [Google Scholar] [CrossRef]
- Ortolan, A.O.; Øestrøm, I.; Caramori, G.; Parreira, R.L.T.; Muñoz-Castro, A.; Bickelhaupt, F.M. Anion Recognition by Organometallic Calixarenes: Analytsis from Relativistic DFT Calculations. Organometallics 2018, 37, 2167–2176. [Google Scholar] [CrossRef]
- Guo, D.-S.; Liu, Y. Supramolecular Chemistry of p-Sulfonatocalix[n]arenes and Its Biological Applications. Acc. Chem. Res. 2014, 47, 1925–1934. [Google Scholar] [CrossRef]
- Diamond, D.; McKervey, M.A. Calixarene-based Sensing Agents. Chem. Soc. Rev. 1996, 25, 15–24. [Google Scholar] [CrossRef]
- Kumar, R.; Sharma, A.; Singh, H.; Suating, P.; Kim, H.S.; Sunwoo, K.; Shim, I.; Gibb, B.C.; Kim, J.S. Revisiting Fluorescent Calixarenes: From Molecular Sensors to Smart Materials. Chem. Rev. 2019, 119, 9657–9721. [Google Scholar] [CrossRef]
- Ma, X.; Zhao, Y. Biomedical Applications of Supramolecular Systems Based on Host-Guest Interactions. Chem. Rev. 2015, 115, 7794–7839. [Google Scholar] [CrossRef]
- Homden, D.M.; Redshaw, C. The Use of Calixarenes in Metal-Based Catalysis. Chem. Rev. 2008, 108, 5086–5130. [Google Scholar] [CrossRef]
- Ludwing, R. Calixarenes in analytical and separation chemistry. Fresenius J. Anal. Chem. 2000, 367, 103–128. [Google Scholar] [CrossRef] [PubMed]
- Shinkai, S.; Araki, K.; Manabe, O. Does the Calixarene Cavity recognize the Size of Guest Molecules? On the ‘Hole-size Selectivity’ in Water-soluble Calixarenes. J. Chem. Soc. Chem. Commun. 1988, 187–189. [Google Scholar] [CrossRef]
- Hill, C.L. Themed issue on Polyoxometalates. Chem. Rev. 1998, 98, 1–390. [Google Scholar] [CrossRef] [PubMed]
- Cronin, L.; Müller, A. Themed issue on Polyoxometalate cluster science. Chem. Soc. Rev. 2012, 41, 7325–7648. [Google Scholar]
- Misra, A.; Kozma, K.; Streb, C.; Nyman, M. Beyond Charge Balance: Counter-Cations in Polyoxometalate Chemistry. Angew. Chem. Int. Ed. 2020, 59, 596–612. [Google Scholar] [CrossRef] [PubMed]
- Hayashi, Y. Hetero and Lacunary Polyoxovanadate chemistry: Synthesis, reactivity and structural aspects. Coord. Chem. Rev. 2001, 255, 2270–2280. [Google Scholar] [CrossRef]
- Streb, C. Polyoxometalate-Based Assemblies and Functional Materials; Song, Y.-F., Ed.; Springer: Cham, Switzerland, 2018; pp. 31–47. [Google Scholar]
- Rehder, D. Bioinorganic Vanadium Chemistry; John Wiley & Sons, Ltd.: Hoboken, NJ, USA, 2008. [Google Scholar]
- Day, V.W.; Klemperer, W.G.; Yaghi, O.M. Synthesis and characterization of a soluble oxide inclusion complex, [CH3CN.cntnd.(V12O324-)]. J. Am. Chem. Soc. 1989, 111, 5959–5961. [Google Scholar] [CrossRef]
- Klemperer, W.G.; Marquart, T.A.; Yaghi, O.M. Shape-selective binding of nitriles to the inorganic cavitand vanadate, V12O324−. Mater. Chem. Phys. 1991, 29, 97–104. [Google Scholar] [CrossRef]
- Rohmer, M.-M.; Benard, M. An Interpretation of the Structure of the Inclusion Complexes [RCN⊂(V12O32)4−] (R = CH3, C6H5) from Electrostatic Potentials. J. Am. Chem. Soc. 1994, 116, 6959–6960. [Google Scholar] [CrossRef]
- Rohmer, M.-M.; Devemy, J.; Wiest, R.; Benard, M. Ab Initio Modeling of the Endohedral Reactivity of Polyoxometallates: 1. Host-Guest Interactions in [RCN⊂(V12O32)4−] (R = H, CH3, C6H5). J. Am. Chem. Soc. 1996, 118, 13007–13014. [Google Scholar] [CrossRef]
- Kurata, T.; Hayashi, Y.; Isobe, K. Synthesis and characterization of chloride-incorporated dodecavanadate from dicopper complex of macrocyclic octadecavanadate. Chem. Lett. 2010, 39, 708–709. [Google Scholar] [CrossRef]
- Inoue, Y.; Kikukawa, Y.; Kuwajima, S.; Hayashi, Y. A chloride capturing system via proton-induced structure transformation between opened- and closed-forms of dodecavanadates. Dalton Trans. 2016, 45, 7563–7569. [Google Scholar] [CrossRef] [PubMed]
- Kuwajima, S.; Ikinobu, Y.; Watanabe, D.; Kikukawa, Y.; Hayashi, Y.; Yagasaki, A. A Bowl-Type Dodecavanadate as a Halide Receptor. ACS Omega 2017, 2, 268–275. [Google Scholar] [CrossRef] [PubMed]
- Kuwajima, S.; Kikukawa, Y.; Hayashi, Y. Small-Molecule Anion Recognition by a Shape-Responsive Bowl-Type Dodecavanadate. Chem. Asian J. Chem. 2017, 12, 1909–1914. [Google Scholar] [CrossRef]
- Kuwajima, S.; Arai, Y.; Kitajima, H.; Kikukawa, Y.; Hayashi, Y. Synthesis and structural characterization of tube-type tetradecavanadates. Acta Crystallogr. C 2018, 74, 1295–1299. [Google Scholar]
- Kikukawa, Y.; Seto, K.; Uchida, S.; Kuwajima, S.; Hayashi, Y. Solid-State Umbrella-type Inversion of a VO5 Square-Pyramidal Unit in a Bowl-type Dodecavanadate Induced by Insertion and Elimination of a Guest Molecule. Angew. Chem. Int. Ed. 2018, 57, 16051–16055. [Google Scholar] [CrossRef] [PubMed]
- Kikukawa, Y.; Seto, K.; Watanabe, D.; Kitajima, H.; Katayama, M.; Yamashita, S.; Inada, Y.; Hayashi, Y. Induced Fitting and Polarization of a Bromine Molecule in an Electrophilic Inorganic Molecular Cavity and Its Bromination Reactivity. Angew. Chem. Int. Ed. 2020, 59, 14399–14403. [Google Scholar] [CrossRef]
- Kawanami, N.; Ozeki, T.; Yagasaki, A. NO-Anion Trapped in a Molecular Oxide Bowl. J. Am. Chem. Soc. 2000, 122, 1239–1240. [Google Scholar] [CrossRef]
- North, M.; Omedes-Pujol, M.; Yong, C. Kinetics and mechanism of the racemic addition of trimethylsilyl cyanide to aldehydes catalysed by Lewis bases. Org. Biomol. Chem. 2012, 10, 4289–4298. [Google Scholar] [CrossRef]
- Holmes, B.T.; Arthur, S.W. Aliphatic thioacetate deprotection using catalytic tetrabutylammonium cyanide. Tetrahedron 2005, 61, 12339–12342. [Google Scholar] [CrossRef]
- Park, H.J.; Lee, S.S. Catalytic Deacetylation of p-Nitrophenyl Thioacetate by Cyanide Ion and Its Sensor Applications. Anal. Sci. 2019, 35, 589–593. [Google Scholar] [CrossRef] [PubMed]
- Miyashita, A.; Numata, A.; Suzuki, Y.; Iwamoto, K.; Higashino, T. Olefin-Insertion Raction between the Carbonyls of Benzils; Formation of 1,4-Diketones by Michael Addition Catalyzed by Cyanide Ion. Chem. Lett. 1997, 24, 697–698. [Google Scholar] [CrossRef]
- Ullah, B.; Chen, J.; Zhang, Z.; Xing, H.; Yang, Q.; Bao, Z.; Ren, Q. 1-Ethyl-3-methylimidazolium acetate as a highly efficient organocatalyst for cyanosilylation of carbonyl compounds with trimethylsilyl cyanide. Sci. Rep. 2017, 7, 42699. [Google Scholar] [CrossRef] [PubMed]
- Huang, X.; Chen, L.; Ren, F.; Yang, C.; Li, J.; Shi, K.; Gou, X.; Wang, W. Lewis Acid Rather than Brønsted Acid Sites of Montmorillonite K10 Act as a Powerful and Reusable Green Heterogeneous Catalyst for Rapid Cyanosilylation of Ketones. Synlett 2017, 28, 439–444. [Google Scholar] [CrossRef]
- Wang, W.; Wang, X.; Zhou, S.; Xu, X.; Du, J.; Zhang, L.; Mu, X.; Wei, Y.; Zhu, X.; Wang, S. Syntheses, Structures, and Catalytic Activities of the Anionic Heterobimetallic Rare-Earth Metal Complexes Supported by Pyrrolyl-Substituted 1,2-Diimino Ligands. Inorg. Chem. 2018, 57, 10390–10400. [Google Scholar] [CrossRef]
- Rawat, S.; Bhandari, M.; Prashanth, B.; Singh, S. Three Coordinated Organoaluminum Cation for Rapid and Selective Cyanosilylation of Carbonyls under Solvent-Free Conditions. ChemCatChem 2020, 12, 2407–2411. [Google Scholar] [CrossRef]
- Jameson, C.J.; Rehder, D.; Hoch, M. Isotope and Temperature Dependence of Transition-Metal Shielding in Complexes of the Type M(XY)6. J. Am. Chem. Soc. 1987, 109, 2589–2594. [Google Scholar] [CrossRef]
- Griswold, A.A.; Starcher, P.S. The Nuclear Magnetic Resonance Spectra of aci-Nitro Anions. J. Org. Chem. 1965, 30, 1687–1690. [Google Scholar] [CrossRef]
- Engelke, R.; Earl, W.L.; Rohlfing, C.M. Production of the Ntromethane Acl Ion by UV Irradiation: Its Effect on Detonation Sensitivity. J. Phys. Chem. 1986, 90, 545–547. [Google Scholar] [CrossRef]
- APEX3, SAINT, and SADABS; Bruker AXS Inc.: Madison, WI, USA, 2015.
- Farrugia, L.J. WinGX suite for small-molecule single-crystal crystallography. J. Appl. Crystallogr. 1999, 32, 837–838. [Google Scholar] [CrossRef]
- Gruene, T.; Hahn, H.W.; Luebben, A.V.; Sheldrick, G.M. Refinement of macromolecular structures against neutron data with SHELXL2013. J. Acta Cryst. 2014, 47, 462–466. [Google Scholar]
Sample Availability: Samples of the compounds are available from the authors. |



Publisher’s Note: MDPI stays neutral with regard to jurisdictional claims in published maps and institutional affiliations. |
© 2020 by the authors. Licensee MDPI, Basel, Switzerland. This article is an open access article distributed under the terms and conditions of the Creative Commons Attribution (CC BY) license (http://creativecommons.org/licenses/by/4.0/).
Share and Cite
Kikukawa, Y.; Kitajima, H.; Kuwajima, S.; Hayashi, Y. Isolation of a Nitromethane Anion in the Calix-Shaped Inorganic Cage. Molecules 2020, 25, 5670. https://doi.org/10.3390/molecules25235670
Kikukawa Y, Kitajima H, Kuwajima S, Hayashi Y. Isolation of a Nitromethane Anion in the Calix-Shaped Inorganic Cage. Molecules. 2020; 25(23):5670. https://doi.org/10.3390/molecules25235670
Chicago/Turabian StyleKikukawa, Yuji, Hiromasa Kitajima, Sho Kuwajima, and Yoshihito Hayashi. 2020. "Isolation of a Nitromethane Anion in the Calix-Shaped Inorganic Cage" Molecules 25, no. 23: 5670. https://doi.org/10.3390/molecules25235670
APA StyleKikukawa, Y., Kitajima, H., Kuwajima, S., & Hayashi, Y. (2020). Isolation of a Nitromethane Anion in the Calix-Shaped Inorganic Cage. Molecules, 25(23), 5670. https://doi.org/10.3390/molecules25235670
