Abstract
Photosensitive compounds found in herbs have been reported in recent years as having a variety of interesting medicinal and biological activities. In this review, we focus on photosensitizers such as hypericin and its model compounds emodin, quinizarin, and danthron, which have antiviral, antifungal, antineoplastic, and antitumor effects. They can be utilized as potential agents in photodynamic therapy, especially in photodynamic therapy (PDT) for cancer. We aimed to give a comprehensive summary of the physical and chemical properties of these interesting molecules, emphasizing their mechanism of action in relation to their different interactions with biomacromolecules, specifically with DNA.
1. Photodynamic Therapy
Photodynamic therapy (PDT) is part of photochemotherapy and requires the presence of a photosensitive substance (drug, PS), oxygen, and a powerful light source in the area of absorption of the PS used. The main requirements for activating the properties of a PS are its selective accumulation in tumor tissue, high intensity of absorption in the visible and near-infrared region of the spectrum, low level of dark toxicity, and absence of side-effects [1,2]. Selective accumulation and retention of PS in tumor tissues rather than in the surrounding healthy tissue lead to selective destruction of the tumor in PDT, while the surrounding healthy tissue remains intact. Such selectivity is one of the biggest advantages of this method, which may be substituted in some cases for chemotherapy, radiotherapy, or surgery in the treatment of cancer. Due to drug excretion [3] and redistribution, the effective therapeutic dose entering tumor cells is only a fraction of the administered PS. Administration of increased amounts of therapeutics is not possible because they have cytotoxic effects, which could cause significant toxicity in healthy cells. It is very important therefore to find alternative approaches, which increase the efficacy of the drug dose in the tumor and decrease the dose in healthy tissue [4]. Higher selectivity of PSs for tumor cells can be achieved by combining them with transport agents, which preferentially interact with tumor cells, ensure the selective accumulation of the drug within the diseased tissue, and deliver the desired therapeutic drug concentration to a targeted site in the patient’s body. Transport systems commonly used for photosensitizers are polymers, liposomes, oil emulsions, certain metals, some proteins, and carbon-based nanoparticles [5,6,7,8,9,10]. Stable and biocompatible transport systems with a long half-life in the blood are ideal. Selective drug delivery to tumor tissue, transport of nanoparticles containing a PS, and a tumor cell with a receptor is the objectives for achieving high selectivity and low drug concentration [11]. Several research groups have confirmed the hypothesis that one possible approach to achieving these goals is to prepare low-density lipoprotein (LDL)-based particles [12,13,14,15,16,17].
1.1. PDT in Cancer Therapy
PDT has been a promising, non-invasive method for the treatment of certain types of cancer for more than 25 years [18,19,20,21,22,23]; in addition, PDT has also been studied in various non-oncological applications; leishmaniasis [24], psoriasis [25,26], age-related macular degeneration [27,28], hyperplasia [27], restenosis [25], and in cardiology [29], urology [30], immunology [31], ophthalmology [28,32], dental medicine [33,34], and dermatology [35,36]. The combination of light and PS also shows promising results in the treatment of bacterial, fungal, parasitic, and viral infections [37,38,39,40].
The basic process in tumor PDT is shown in the diagram in Figure 1. The photosensitizer is usually administered intravenously (systematically) or topically, and the administration of PS has also been studied orally, mostly in patients with extensive damage (not always caused by cancer) [1,41].
Figure 1.
Scheme of photodynamic therapy (PDT; edited by [42,43]).
PS accumulates in the tumor tissue, which is subsequently irradiated with a light source of suitable wavelength, leading, in the presence of oxygen, to the formation of reactive oxygen species (ROS) and destruction of tissue and whole cells [1,41], while deactivation of important enzymes occurs and changes in the properties of biomacromolecules [44]. After activation of the photoactive substance by light and its interaction with molecular oxygen, singlet oxygen is formed. The singlet oxygen released in this photochemical reaction is highly toxic and can directly cause the death of tumor cells, through apoptosis, necrosis, or autophagy mechanism [45]. The release of singlet oxygen evokes oxidative stress, increases cytotoxicity, and DNA damage in cancer cells, modifies cellular metabolism, alters cancer cell death signaling pathways [46]. It also damages the blood vessels in tumor cells, resulting in indirect cell death through hypoxia (deficiency of oxygen) or aging (cell starvation). Diffuse distance of singlet oxygen obtained from photobleaching experiments has been appointed as 10–20 nm [47]. More recent time-resolved phosphorescence measurements show higher diffuse distance corresponding to 100 nm [48]. An explanation of this discrepancy was given by Hatz et al. [48] considering a fact that singlet oxygen behaves as a selective rather than reactive intermediate upon encountering other molecules in the cell.
Tissue damage depends on the depth of light penetration used to activate the PS. Membranes are damaged by cell death, triggering a number of inflammatory and immune processes, which cascade and cause the death of other tumor cells [49]. However, it was found out that singlet oxygen might cause membrane destruction directly. The cell membrane can be the main target of the singlet oxygen reaction for the bacterial membrane [50] and eukaryotic plasma membrane [51].
After surface irradiation PDT, the deeper connective tissues are only slightly damaged, so the patient’s body can begin to restore the structure and flexibility of the damaged cells, and subsequently the tissues [52,53].
1.2. Physicochemical Mechanism of PDT
The photodynamic effect can be induced by two mechanisms called Type I and Type II (Figure 1—Step 4). After photon absorption, the PS molecule goes from the ground state (S0) to the singlet excited state (S1). From this excited state, the PS can be returned to the ground state by energy emission through non-radiative and/or radiant processes (fluorescence). In its excited state, the PS can also spontaneously move from the singlet state S1 to the excited triplet state (T1) by means of the intersystem conversion process. In this state, the transition to the ground state through a phosphorescence process can occur [54].
The type I mechanism involves electron transfer reactions between the PS molecule in the excited states of S1 and T1 and the substrate. This process results in the formation of ionic radicals, which tend to react immediately with oxygen to form a mixture of highly reactive oxygen radicals, such as superoxide radical (·O2), hydrogen peroxide (H2O2), and hydroxyl radical (·OH), which oxidize a wide range of biomacromolecules [2,55].
The type II mechanism is characterized by energy transfer reactions between PS in the excited triplet state T1 and molecular oxygen, which is also in the triplet ground state (T0). These reactions cause the formation of singlet oxygen (1O2), which is able to rapidly oxidize cellular structures such as proteins, lipids, nucleic acids [56,57], and organelles leading to tumor cell death [58,59]. This also means that PDT may be a useful alternative treatment for cancer cells resistant to chemotherapy [60,61].
The reaction mechanism depends on the following conditions. First, the location of the PS is crucial because most of the ROS are highly reactive and cannot move far from the point of origin before disappearing. Second, the relative number of target biomolecules is important [43]. Davies (2003) calculated the percentage of 1O2 responses in leukocytes: protein 68.5%, ascorbate 16.5%, RNA 6.9%, DNA 5.5%, beta-carotene 0.9%, NADH/NADPH 0.69%, tocopherols 0.5%, reduced glutathione 0.4%, lipids 0.2%, and cholesterol 0.1% [62]. This means that the distribution of 1O2 may vary in different cell targets.
Both mechanisms can occur simultaneously. Their proportional representation is significantly influenced by the PS, the substrate, the oxygen concentration, and the binding of PS to the substrate. In addition, the type II mechanism appears to be more efficient as it has a higher rate constant than electron transfer reactions (type I mechanism). As a result, energy transfer to other compounds that can compete with oxygen is less important, so type II is more often dominant [58,63].
1.3. PDT Applications
PDT currently occupies an increasingly important place in clinical medicine. Its most promising application is the treatment of small and superficial tumors, e.g., some types of skin, neck, stomach [64], lung [65,66,67], bronchial [68] or oral cancer [69], esophagus [70,71], bladder [71,72], brain [73], prostate and pleura [74] tumors, breast [75] but also skin disease [76], atherosclerosis, and viral diseases therapy [77], including AIDS [78].
The future of PDT lies in efforts to find or synthesize new photosensitizers with properties allowing their greater selectivity for tumor tissues, and to find new approaches for the specific localization of already-known PS in tumor cells. This should contribute to the wider and more effective application of PDT in clinical practice. Targeted PDT has several advantages they are important in participation in the treatment of oncological diseases. Some of them are listed below: high selectivity, negligible side effects, low level of complications during and after treatment, high quality of life for patients, diagnostics and therapy in one step, and lower financial costs [79]. It can be a convenient complementary therapeutic method to classical surgery, chemotherapy, radiotherapy, and independent limited diagnosis.
2. Plant-Derived Photosensitive Substances
Photoactive compounds occurring in medicinal plants with potential utilization in PDT have been found to be less toxic than synthetic agents. The reduction of side effects using natural PSs in cancer treatment is another advantage of this therapeutic approach. However, their clinical applications have been limited by several imperfections such as accumulation in tissues, a lack of chemical purity, or low penetration [80]. Muniyandi et al. [81] have published a comprehensive review article about the role of photoactive phytocompounds in PDT. Phototoxic effects, potential applications in the PDT of cancer of the main natural PSs groups (furanocoumarins, thiophenes, alkaloids, curcumins, polyacetylenes, and anthraquinones) have been described [81]. Our paper focuses on the four anthraquinones, of which hypericin is the most promising PS in the PDT of cancer. With regard to the hydrophobicity of studied anthraquinones, which is important for their penetration through membranes, the following types of PSs have been distinguished.
Types of Photosensitive Substances by Hydrophobicity
PDT either uses chemotherapeutics commonly applied in chemotherapy, which must also be photosensitive, or new PSs are proposed. All photosensitizers (except uroporphyrin and photophrin), which have been proposed as drugs for use in PDT, interact more or less with serum proteins after intravenous administration. From the point of view of PDT, however, the interaction of the drugs with DNA is also quite important, as it is necessary to disrupt and stop the division of tumor cells, and this can be achieved only through their interaction with DNA [62,82]. In some cases, this interaction is not very significant (as these drugs have a greater affinity for proteins), so it is necessary to find a transporter that will help deliver the drug to the cell nucleus, thereby mediating the drug–DNA interaction [83,84]. Success in the treatment of cancer requires sufficiently hydrophobic drugs to cross the lipid membrane. For this reason, the hydrophobicity of drugs plays an important role in their distribution, metabolism, and excretion from the patient´s body. Due to these facts, we distinguish four groups of drugs with the ability to localize and accumulate in the tumor. Moreover, there are no rigid boundaries between these groups of drugs, and there is some overlapping between them, in some cases a continuous transition.
- Hydrophobic PSs—compounds requiring the presence of transporters, such as liposomes or Cremophor EL, or Tween 80. They have the ability to localize in the inner lipid part of lipoproteins, mainly in LDL and high-density lipoproteins (HDLs), but also in very-low-density lipoproteins (VLDLs). This group includes phthalocyanines (ZnPC, C1A1PC), naphthalocyanines (isoBOSINC), tin-etiopurpurine (SnET2) [84], and hypericin [85].
- Amphiphilic PSs—asymmetric compounds, which can be incorporated into the outer phospholipid and apoprotein layer of lipoprotein particles, e.g., disulfonates (TPPS2a, C1A1PCS2a), lutetium teraphyrin (LuTex), and monoaspartyl chlorine (MACE), which forms a barrier between albumin and HDL [84]. Emodin can be included in this group [86].
- Hydrophilic PSs—drugs that predominantly bind to albumins and globulins, e.g., tetra-sulfone derivates of tetraphenylporfin (TPPS3 and TPPS4) and chloroaluminum phthalocyanine (C1A1PCS3 and C1A1PCS4) [84].
- Intercalators—drugs that are used mainly in chemotherapy, which intercalate into DNA and are also photoactive, e.g., doxorubicin [87], daunorubicin [88], adriamycin [89], quinizarin [90], and danthron [91].
In this work, we focused in more detail on a very prospective PS in PDT of cancer hypericin. During a study of hypericin molecule incorporation into biomacromolecules (we focused on DNA) model compounds are using for simplification of the problem. Anthraquinones emodin, quinizarin, and danthron represent a significantly smaller part of the larger hypericin molecule with the same chemical groups. This fact facilitates the creation of a proper model for interaction between hypericin and biomacromolecules. Moreover, chosen hypericin derivatives themselves originate from medicinal plants, as the PS can be utilized in PDT and their anticancer effects are known. With respect to the above-mentioned sorting of PSs into groups, they can be representatives of highly hydrophobic (hypericin), mildly hydrophobic (emodin), and intercalating molecules (quinizarin and danthron).
Scientists and physicians are currently working on how to increase the effectiveness of cancer treatment. One option that has been shown to be very effective is a combination of therapies (PDT and chemotherapy), which involve the direct or mediated interaction of anticancer drugs with DNA and other bioactive macromolecules (serum albumins, lipoproteins) [92,93,94]. Hypericin, emodin, quinizarin, and danthron are examples of anticancer drugs which are chemotherapeutics synthesized by medicinal plants and PSs, and which can be used, in PDT. The discovery of new natural drugs is very important because they have many benefits for the patients. Drugs derived from medicinal plants are less toxic to the body, their use poses less risk of adverse side effects, does not depends on them, they are suitable for all age groups of patients, and can be easily combined with conventional drugs, i.e., do not show contraindications.
3. Hypericin
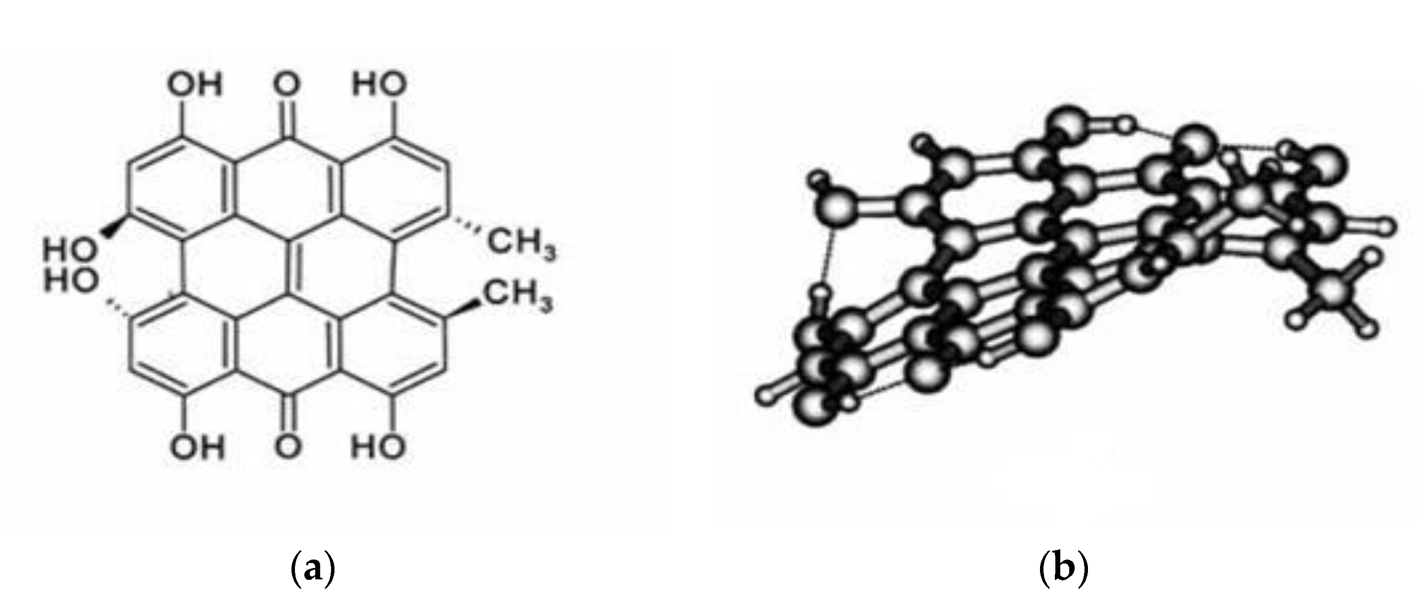
Hypericin, a naturally occurring pigment, is found in certain plant species of the genus Hypericum. The most important representative is Saint John´s Wort (Hypericum perforatum) from the family Hypericaceae, a plant with golden-yellow flowers that grows to a height of 30–90 cm [95]. Hypericin has also been reported as occurring in some species of Australian insects [96]. Hypericin, 7,14 dione-1,3,4,6,8,12-hexahydroxy 10,11 dimethyl-phenanthrol [1,10,9,8-opgra] perylene (Figure 2) is an aromatic polycyclic dione, which exhibits a wide range of biological activities.
Figure 2.
Two-dimensional (a) and three-dimensional (b) structure of hypericin [97].
It has long been used to treat depression caused by a disorder of the brain neurotransmitters responsible for human moods [98,99]. Hypericin has antiviral [100,101] and antitumor activity [102,103,104,105] and is used to heal wounds, neuralgic sites, and hypertrophic scar [106,107,108]. Hypericin has been demonstrated to be very effective on bacteria [109,110,111,112,113,114]. Studies of hypericin´s antiviral activity confirm that it is known to effectively deactivate enveloped viruses, but it is ineffective against non-enveloped viruses. The antiviral activity of hypericin has been demonstrated against several types of viruses: herpes simplex virus, murine cytomegalovirus, sindbis virus [115,116], hepatitis B [117], anemia, some types of leukemic viruses [118], and HIV [119,120,121], so it has also been used in the clinical treatment of AIDS patients [122]. Hypericin activity depends to a large extent on the presence of light and oxygen. These two factors determine the extent of its antiviral activity and both antiviral and antitumor activities increase significantly after visible light irradiation [123].
Hypericin, together with two other hydroxyquinones, hypocrellin A and calphostin, is characterized by negligible dark toxicity, significant photocytotoxicity to tumor cells, intense absorption at higher wavelengths (>550 nm), higher selectivity for tumor tissues, and faster leaching than hematoporphyrins [124]. Hypericin is soluble in most solvents. In organic solvents (DMSO, ethanol) its solution is red; in basic media, it is green; and in aqueous solutions, it forms purple dispersed particles [125]. The absorption spectrum of hypericin in neutral organic solvents has two main transitions in the visible region, S0→S1 (500–600 nm) and S0→S2 (425–485 nm), and two intense absorption bands. Hypericin forms non-fluorescent aggregates in aqueous solutions. The absorption and fluorescence spectra of hypericin in hexane, chloroform, and toluene are similar to those in water, so it can be assumed that hypericin molecules also form aggregates in these solvents. An indicator of the formation of aggregates in solution is the absence of fluorescence [126]. Several physical and chemical properties of hypericin are shown in Table 1.
Table 1.
Physical and chemical properties of selected photosensitizers (hypericin, emodin, quinizarin, and danthron).
The photophysics of hypericin is very complicated, and some effort to interpret its photophysical and photochemical properties is necessary to elucidate its pharmacological and biological activities. Phenols are known to be good electron donors, while quinones act as electron acceptors. Hypericin contains both phenolic and quinone moieties. This structural characteristic places it in the group of amphi-electron compounds. The results of experiments suggest that hypericin has the potential to be a good oxidizing and reducing agent [128]. At present, the mechanisms leading to the selective accumulation of hypericin in tumor tissue compared to normal tissue are not known, nor the mechanism of its antiviral and antitumor action has been clearly determined. Thomas et al. proposed a mechanism of hypericin activity that depends on the presence of molecular oxygen, consisting of transferring energy from the excited triplet state of hypericin to the ground state of molecular oxygen, thereby generating oxygen in the singlet state, which is a highly-reactive molecule [129]. Singlet oxygen production has been theoretically confirmed [118] and experimentally demonstrated in organic solvents and lipid media [130,131,132]. Other studies suggest that although oxygen may play an important role in some cases, it is not always necessary for the antiviral activity of hypericin [133]. According to the work of the J.W. Petrich group, the origin of the photoinduced antiviral activity of hypericin may lie in its ability to produce a local pH drop in cells after irradiation [134]. The close relationship between the mechanism of hypericin antitumor activity and photoactivated local acidification in cells has been confirmed in experiments on tumor cell membrane experiments [102].
Hypericin is currently considered as a potential antitumor drug in PDT. It belongs in the group of highly hydrophobic PSs (AlogP = 5.04) [135]. Its cytotoxic and antitumor activity has been demonstrated, and its inhibitory effects on epidermal growth factor-R and a wide range of protein kinases (protein tyrosine kinase, MAP-kinase, and protein kinase C) [136]. The significant photosensitivity properties of hypericin together with its selective uptake in tumor tissues, especially in bladder cancer cells and its minimal cytotoxicity in the dark, are major positive indications for the clinical use of hypericin in the photodynamic cancer treatment [137]. Hypericin is a photosensitizer found in the endoplasmic reticulum, which, when activated by light, mediates the rapid emptying of calcium Ca2+ from the endoplasmic reticulum, which is linked to programmed cell death [138]. Although hypericin has been shown to be a potent inducer of cell death in PDT, some in vivo studies suggest that cells treated with PDT may activate rescue-signaling pathways, which may ultimately lead to tumor survival and recurrence [18,139].
Hypericin is a very good fluorescent probe for super-resolution microscopy [140]. Knowledge of the distribution of this molecule in the individual components of a living system is essential in detecting the modes of action of hypericin in biological organisms. The accumulation of hypericin in cells is determined by the diffuse and soluble properties of the molecule. It is known that after the initial accumulation in the cell membranes (20 min), an increased concentration of hypericin in the cell nucleus is observed with increasing time [141]. This indicates the possible interaction of hypericin with nucleic acids, the most essential component of the cell nucleus. Ultraviolet resonance Raman spectroscopy with 257 nm excitation was used to study nucleic acid-hypericin complexes. The excitation used amplifies the vibrational modes of nucleic acid bases. Resonance Raman spectra for complexes of polynucleotides with hypericin showed that hypericin preferentially interacts with purines at the N7 position, and this interaction is stronger in guanine than in adenine [142]. In addition, the spectra of the complex of hypericin with polyrG and calf thymus DNA, which were studied by means of surface-enhanced Raman spectroscopy, are dominated by bands corresponding to hypericin vibrations. Based on the spectra obtained, the importance of the guanine base in the interaction of hypericin with nucleic acid was confirmed. The spectrum of the polyrG complex contains changes similar to those in the spectrum of the DNA complex. Based on these results, it can be assumed that DNA induces changes in the stretching vibrations of the hypericin skeleton associated with the vibrations of the hydroxyl groups, suggesting that the hydroxyl groups of hypericin participate in the interaction with nucleic acid [143].
The mechanism of hypericin distribution in tissues, cells, and cellular organelles is also thought to be a relatively complex process, which is affected by hypericin concentration, incubation time, and properties of biological units. The bio distribution of hypericin in human organisms also depends on the mode of transport in the bloodstream. Hypericin binds to serum proteins, where lipoprotein particles appear to be a more efficient transporter than albumin. The interaction of hypericin with albumin is specific [144], while its interaction with lipoproteins is non-specific [145]. After binding with macromolecules (lipid structures, serum proteins, and sugars), hypericin forms biologically active monomers with an emission band around 600 nm, thus overcoming problems with its solubility in physiological solutions, which is very important in terms of its activity [97,137].
4. Emodin
Emodin, (1,3,8-trihydroxy-6-methylanthraquinone, Figure 3) is an anthraquinone derivate, a naturally-occurring pigment isolated from the underground part of the traditional Chinese medicinal plant Rheum palmatum, which is used mainly for its antitumor, immunosuppressive, antiinflammatory [146], antibacterial, diuretic, laxative [147], antiulcerogenic (antiulcer) [148], and vasorelaxant effects [149]. It is also found in other plant species, such as Cassia, Aloe, and Rhamnus [150,151,152,153,154]. In practice, it is available in the form of an orange crystalline substance. It is insoluble in aqueous media, and it forms aggregates (mostly in the acidic pH range). Emodin shows poor solubility in chloroform, ether, and benzene, but is highly soluble in DMSO and ethanol.
Figure 3.
Structural formula of emodin.
The antiviral properties of emodin have also been confirmed, mainly on enveloped viruses. This property of emodin is related to its high affinity for the phospholipid membrane, in which it inhibits hydrophobic interactions between individual hydrocarbon chains [155]. Emodin has been proposed as a major precursor of the microbial metabolic pathway in the isolation of hypericin [156,157]. It is a redox catalyst and plays an important role in many processes, such as electron transport, photosynthesis, or cellular respiration [158]. Its effect on cell death has been widely studied both in the dark and after light activation [155,159]. The stimulatory effects and the prokinetic effect of emodin on gastrointestinal smooth muscle have been described in several studies [147,160]. In recent years, its effect on the contractility of smooth muscle cells has been studied [161,162].
In addition to the pharmacological properties mentioned above, emodin also has toxicological effects. Under aerobic conditions, it is photolabile in visible light and phototoxic in vitro and it can cause testicular toxicity in mice leading to hypospermatogenesis [163,164]. It inhibits protein kinase casein kinase II (CK2). Genetic disorder of the catalytic subunits of CK2 protein kinase leads to changes in sperm shape in mice during spermatogenesis and is also responsible for male infertility [165,166]. Several authors have studied the interaction of emodin with DNA [167,168,169]; for example, it causes the formation of DNA double-strand breaks by stabilizing topoisomerase II-DNA cleavage complexes and inhibiting ATP hydrolysis by topoisomerase II [170]. Emodin has a high binding affinity for serum proteins and is known to bind non-covalently to DNA in intact cells in the presence of serum proteins [159]. The interaction of emodin with proteins has been studied using several techniques surface-enhanced Raman spectroscopy, NMR, fluorescence spectroscopy, circular dichroism, and the stopped-flow method [171,172,173,174]. The formation of emodin–protein complexes is very important with regard to understanding the mode of drug delivery and transport in tumor cells [174]. Emodin belongs in the drug of amphiphilic PSs with mild hydrophobic properties (Alog P = 2.568) [135]. It has an anticancer effect on some types of human liver and lung tumors. However, the molecular mechanisms of emodin-mediated tumor regression have not been precisely defined [150]. Emodin has specific antineuroectodermal tumor activity in vitro and in vivo [175]. It suppresses tyrosine kinase activity on HER-2 breast cancer cells, inhibits the transformation of the phenotype of these cells, and can affect androgen receptors directly by inhibiting cell growth in prostate cancer cells [146]. The antitumor activity of emodin on the human chronic myeloid leukemia cell line K562 has also been demonstrated in vitro and in vivo [176]. Emodin is toxic for glioma cells by inhibiting their proliferation and inducing apoptosis of C6 cells [177]. It is known to increase the sensitivity of tumor cells to chemotherapeutics, but the mechanism of the emodin-mediated chemotherapeutic effect on cancer cells has been the subject of intense study for many years [150,178]. Important physical properties of emodin are listed in Table 1.
5. Quinizarin
Quinizarin (1,4-dihydroxyanthraquinone, Figure 4) is a polycyclic aromatic hydrocarbon containing two opposite carboxyl groups (C=O) at positions 9,10. It takes the form of a yellow crystalline substance and occurs in nature in plants (Aloe, Cascara Sagrada, Senna, and rhubarb), fungi, some lichens, and insects [179]. Quinizarin is soluble in basic solutions, acetone, chloroform, and DMSO. It is almost insoluble in aqueous solutions, but its solubility increases with increasing temperature. It is used as a pesticide as a fungicide and as an additive in lubricants [180]. In addition, it is used as a colorant in the food, textile, dyeing, and photographic industries [181]. Quinizarin inhibits HIV proteinase [182] and acts as a mutagenic agent on some mammalian bacteria [183]. Immunological analysis studies have shown that it stimulates the P450 enzyme in rat epithelial and liver cells [184].
Figure 4.
Structural formula of quinizarin.
The structure of quinizarin has been studied using several spectroscopic methods, such as fluorescence measurements [185], resonance Raman and infrared spectroscopy [186], and X-ray structural analysis [187]. It has planar C2v molecular symmetry and crystallizes in a monoclonal system. Quinizarin is a highly fluorescent substance. The fact that it is almost insoluble in water significantly complicates the application of Raman spectroscopy in its study. However, infrared FT Raman and surface-enhanced Raman spectroscopy can also be used to characterize it in aqueous media [188].
Quinizarin is the simplest model molecule of a chromophore typical of some biologically and pharmaceutically significant compounds, including the antitumor anthracycline antibiotics doxorubicin, daunorubicin, and adriamycin, which are used in antineoplastic therapy. The quinizarin-like quinoid moiety is probably responsible for the cytotoxicity and cardiotoxicity of anthracycline drugs [180]. It is thought to be able to intercalate into DNA [189,190]. We can classify it among the photosensitive intercalators with low hydrophobicity (AlogP = 2.324), which could be applied in PDT [135]. The physical properties of quinizarin are shown in Table 1.
6. Danthron
Danthron (1,8-dihydroxyanthraquinone or chrysazine, Figure 5) is a hydroxyanthraquinone that occurs wild in nature found in many plants but also in some insect species (e.g., Pyrrhalta luteola larvae). It is very often isolated from dry leaves and stems of the plant Xyris semifuscata growing in Madagascar [191]. It is commercially available in the form of an orange, red, or red-yellow crystalline powder. Like quinizarin, it is soluble in basic solutions, chloroform, and DMSO. It is practically insoluble in water. Danthron and quinizarin are derivatives of emodin and hypericin. Danthron is part of the anticancer drug aclacinomycin. It is thought to intercalate into DNA and therefore can be used as an example of a low hydrophobicity intercalator (AlogP = 2.324) in PDT. However, it can also be a carcinogen, causing the development of adenoma or adenocarcinoma of the colon and increased incidence of liver cancer cells [191,192]. Danthron is one of the hydroxyanthraquinone derivatives causing topoisomerase II inhibition [193], which is involved in various cellular processes, including chromosome segregation [194], and it is essential for maintaining genome stability [195].
Figure 5.
Structural formula of danthron.
Danthron is used as a laxative [159,196]. It is currently applied as an antioxidant, a fungicide to control powdery mildew, and has an irreplaceable role in the research into anticancer agents. Together with emodin, it is the basic structure of aglycones, which are naturally occurring laxative glycosides [191]. Danthron shows mutagenic activity [197] and indicates mutations in cells of the lymphatic system [192].
Its structure has been studied using fluorescence, resonance Raman and infrared spectroscopy. The danthron crystal is tetragonal and its planar molecule has an asymmetric structure with two different intramolecular O…..O distances. The optical properties of danthron can be discussed in terms of C2v pseudosymmetry [188]. Danthron and quinizarin form two intramolecular hydrogen bonds, which cause small changes in the structure of anthraquinone molecules. The presence of two hydrogen bonds in quinizarin allows for double proton transfer, which can take place in two steps or a one-step process. Conversely, the geometry of the danthron molecule allows only single proton transmission. The structure of danthron and quinizarin has been intensively studied and experimentally determined. For quinizarin, X-ray structural analysis identified the values of the distance O…..O and O…..H bounds, which are 2.57 and 1.77–1.79 Å respectively. This technique helped to define the O…..O distance for danthron and setting its value at 2.49 Å, but it did not provide any information about proton binding [198]. Table 1 shows characteristic physical properties.
7. Hypericin and Its Derivatives Interaction with DNA
In recent years the interaction of hypericin, emodin, quinizarin, and danthron with biomacromolecules has been studied, especially with DNA, LDL, and human serum albumin (HSA) has been investigated [199,200,201,202]. The results of our studies in this area supplement the scientific knowledge on this subject. The measurements indicate that PSs incorporate into DNA, LDL, and HSA, but interact most easily with LDL particles. Distribution of molecules has been studied at two different conditions: (i) DNA–ligand complexes were exposed to the presence of free LDL particles or HSA molecules, respectively and (ii) LDL– or HSA–ligand, respectively, complexes were in the presence of free DNA molecules. From measurements at the first conditions, it is clear that while the fluorescence intensity for the DNA-hypericin complex increases with the addition of LDL to the solution, a less pronounced effect can be observed for the other PSs, DNA–emodin, DNA–quinizarin, and DNA–danthron. Similarly, HSA molecules added to the solution slightly increase the fluorescence intensity in the DNA–hypericin complex. In a competitive environment, they redistribute and rebind from DNA macromolecule to LDL (hypericin) or HSA (emodin, quinizarin, and danthron). In contrast, the fluorescence intensity did not change for the DNA–emodin complex, and a slight decrease in fluorescence has been observed in the DNA–quinizarin and DNA–dantron complexes. The presence of free DNA leads to a decrease in the fluorescence intensity of the LDL–emodin, LDL–quinizarin, and LDL–danthron/HSA–quinizarin and HSA–danthron complexes. For LDL–hypericin and HSA–hypericin complexes, an increase in fluorescence with the addition of DNA was recorded. The fluorescence intensity of the HSA–emodin complex remains unchanged [135]. It is noteworthy that the quenching of fluorescence in the presence of DNA has been observed for intercalating molecules [190]. These results allowed us to state that the molecules of the studied PSs can be extracted from DNA by HSA molecules rather than LDL particles, with the exception of hypericin, where there is a more significant binding from DNA in the presence of LDL particles. Experiments in fluorescence analysis of native and denatured DNA were designed to determine if and how the interaction of hypericin, emodin, quinizarin, and danthron with native and denatured DNA differed. Significant changes were detected for quinizarin and danthron, where fluorescence increased significantly in the presence of denatured DNA. It can be assumed that DNA denaturation increased the distances between the individual quinizarin and danthron molecules (there is a decrease in fluorescence quenching) and helped to better visualize the molecules inside the DNA. This applies in particular to molecules that intercalate into the DNA structure, i.e., quinizarin and danthron. For hypericin and emodin, it has been noted only a slight change in the intensity of fluorescence in the presence of denatured DNA, respectively from which it can again predict a different interaction mode of these PSs with DNA [135].
As a representative of highly hydrophobic PSs, hypericin binds to DNA by means of a large groove [203,204]. A binding constant, whose value was also determined, is 4.0 × 104 L/mol [204]. Emodin, with mild hydrophobic properties, interacts with DNA by binding into a small groove. This interaction is characterized by binding constant 8.1 × 104 L/mol. These ligands are incorporated into the DNA groove with hydrophobic or hydrogen bounds [204]. An intercalating mode of interaction with DNA has been confirmed for quinizarin and danthron, which is very clearly supported by atomic force microscopy measurements. Quinizarin and dathron cause DNA to unwind due to intercalation, increasing the contour length of linear DNA by 10%. By the action of natural photosensitizers studied by us, more rigid molecules of linear DNA have been detected. It is known that this is not only the type of reaction they are involved in. Quinizarin and danthron can also bind to the surface of DNA molecules by means of electrostatic forces. The size of the binding constant of this interaction type for both PSs is 1.1 × 104 L/mol [190].
Cell experiments have been performed with the aim of better understanding the mechanisms of the interaction of hypericin, emodin, quinizarin, and danthron with DNA. Success in the treatment of cancer requires sufficient hydrophobic drugs to cross the lipid membrane. The hydrophobicity of drugs therefore plays an important role in their distribution, metabolism, and excretion from the patient´s body. The main barrier preventing the interaction of nuclear DNA with anticancer drugs is the nuclear envelope. On the other hand, the detoxification process is accompanied by a decrease in drug concentration during the active outflow of these drugs. P-glycoprotein, a member of the transport protein family, is involved in this process [205]. The function of these proteins is to remove toxins from cells [206], so it is possible to regulate drug resistance by manipulating P-glycoprotein activity [207,208]. Another approach to preventing cancer cell resistance to drugs could be based on photochemical activation at a well-defined site/organelle [209]. With this in mind, the intracellular interaction of the drugs discussed here with DNA directly in the nucleus was studied using selective photoactivation and regulation of P-glycoprotein function. Selective photoactivation facilitates entry of emodin, quinizarin, and danthron molecules into the nucleus of tumor cells by means of passive diffusion (this phenomenon has not been observed in the case of hypericin). Inhibition of P-glycoprotein may increase the intracellular concentration of the molecules studied and aid their interaction with DNA. Inhibition of P-glycoprotein stimulates the passive transport of these molecules to the nucleus of tumor cells. In addition, emodin is known to significantly promote the entry of other drugs into the nucleus of tumor cells, with the exception of strongly hydrophobic ones (hypericin-like), which are characterized by a high binding affinity for P-glycoprotein [135].
The treatment of tumor cells with natural photosensitive drugs significantly depends on the degree of hydrophobicity, lipophilicity, and DNA intercalation properties of the drugs used.
8. Conclusions
Cancer is a group of diseases characterized by abnormal and uncontrolled cell growth, which can affect a particular tissue or organ in a very aggressive manner and are able to spread to other parts of the body, they can metastasize. Cancer can be treated by classical therapeutic procedures (surgery, chemotherapy, and radiotherapy) and modern, very promising therapeutic methods. These include PDT. These studies show that the most effective way to treat cancer is to combine PDT with traditional therapies, respectively in some cases, PDT can even replace conventional treatment. It is very likely that PDT will be used in the future as the therapeutic approach in the treatment of specific cancers and non-cancerous diseases. This method minimizes the side effects of traditional therapeutic methods, is less invasive, more effective, and affordable. The condition for the successful treatment of cancer with PDT is the disruption of DNA macromolecule, which stops the division of tumor cells. Therefore, it is necessary to find suitable drugs that interact with DNA directly, respectively mediated by transporters that transport them to the nucleus of the tumor cell. A great advantage of newly discovered drugs is that they are natural, easier to prepare, and do not burden the patient´s body as much as synthetically produced drugs. The success of cancer treatment is highly dependent on the application of hydrophobic drugs, which can more easily cross the lipid membrane of tumor cells. Therefore, the interaction of drugs with different hydrophobicity with DNA macromolecule is the subject of many studies.
Author Contributions
Conceptualization, J.S. and V.V.; methodology, J.B.; software, J.B.; validation, J.S., V.V. and J.B.; formal analysis, V.V.; investigation, V.V.; resources, V.V.; data curation, J.S.; writing—original draft preparation, V.V.; writing—review and editing, J.S.; visualization, J.B.; supervision, J.S.; project administration, J.S.; funding acquisition, J.S. All authors have read and agreed to the published version of the manuscript.
Funding
This study was supported by Slovak Research Grant Agency through KEGA project No. 012 UVLF-4/2018.
Conflicts of Interest
The authors declare no conflict of interest.
References
- Castano, A.P.; Demidova, T.N.; Hamblin, M.R. Mechanisms in photodynamic therapy: Part one—photosensitizers, photochemistry and cellular localization. Photodiagnosis. Photodyn. Ther. 2004, 1, 279–293. [Google Scholar] [CrossRef]
- Deda, D.K.; Araki, K. Nanotechnology, light and chemical action: An effective combination to kill cancer cells. J. Braz. Chem. Soc. 2015, 26, 2448–2470. [Google Scholar] [CrossRef]
- Allen, T.M.; Hansen, C.B.; Demenzes, D.E.L. Pharmacokinetics of long circulating liposomes. Adv. Drug Deliv. Rev. 1995, 16, 267–284. [Google Scholar] [CrossRef]
- Loomis, K.; McNeeley, K.; Bellamkonda, R.V. Nanoparticles with targeting triggered release and imaging functionality for cancer application. Soft. Matter. 2011, 7, 839–856. [Google Scholar] [CrossRef]
- Reddi, E. Role of delivery vehicles for photosensitizers in the photodynamic therapy of tumors. J. Photochem. Photobiol. B 1997, 37, 189–195. [Google Scholar] [CrossRef]
- Huntošová, V.; Buzová, D.; Petrovajová, D.; Kasak, P.; Naďová, Z.; Jancura, D.; Sureau, F.; Miškovský, P. Development of a new LDL-based transport system for hydrophobic/amphiphilic drug delivery to cancer cells. Int. J. Pharm. 2012, 436, 463–471. [Google Scholar] [CrossRef]
- Hally, C.; Delcanale, P.; Nonell, S.; Viappiani, C.; Abbruzzetti, S. Photosensitizing proteins for antibacterial photodynamic inactivation. Transl. Biophotonics 2020, e201900031. [Google Scholar] [CrossRef]
- Ghorbani, J.; Rahban, D.; Aghamiri, S.; Teymouri, A.; Bahador, A. Photosensitizers in antibacterial photodynamic therapy: An overview. Laser Ther. 2018, 27, 293–302. [Google Scholar] [CrossRef] [PubMed]
- Buriankova, L.; Buzova, D.; Chorvat, D.; Sureau, F.; Brault, D.; Miskovsky, P.; Jancura, D. Kinetics of hypericin association with low-density lipoproteins. Photochem. Photobiol. 2011, 87, 56–63. [Google Scholar] [CrossRef]
- Lenkavska, L.; Blascakova, L.; Jurasekova, Z.; Macajova, M.; Bilcik, B.; Cavarga, I.; Miskovsky, P.; Huntosova, V. Benefits of hypericin transport and delivery by low- and high-density lipoproteins to cancer cells: From in vitro to ex ovo. Photodiagnosis Photodyn. Ther. 2019, 25, 214–224. [Google Scholar] [CrossRef]
- Konan, Y.N.; Gurny, R.; Allemann, E. State of the art in the delivery of photosensitizers for photodynamic therapy. J. Photochem. Photobiol. B Biol. 2002, 66, 89–106. [Google Scholar] [CrossRef]
- Firestone, R.A. Low-density lipoprotein as a vehicle for targeting antitumor compounds to cancer cells. Bioconjugate Chem. 1994, 5, 105–113. [Google Scholar] [CrossRef] [PubMed]
- Versluis, A.J.; van Geel, P.J.; Oppellar, H.; van Berkel, T.J.; Bijsterbosch, M.K. Receptor-mediated uptake of low-density lipoprotein by B16 melanoma cells in vitro and in vivo in mice. Br. J. Cancer 1996, 4, 525–532. [Google Scholar] [CrossRef] [PubMed]
- Rensen, P.C.; de Vrueh, R.L.; Kuiper, J.; Bijsterbosch, M.K.; Biessen, E.A.; van Berkel, T.J. Recombinant lipoproteins: Lipoprotein-like lipid particles for drug targeting. Adv. Drug Deliv. Rev. 2001, 47, 251–276. [Google Scholar] [CrossRef]
- Kader, A.; Pater., A. Loading anticancer drugs into HDL as well as LDL has little affect on properties of complexes and enhances cytotoxicity to human carcinoma cells. J. Control. Release 2002, 80, 29–44. [Google Scholar] [CrossRef]
- Zheng, G.; Chen, J.; Li, H.; Glickson, J.D. Rerouting lipoprotein nanoparticles to selected alternate receptors for the targeted delivery of cancer diagnostic and therapeutic agents. Proc. Natl. Acad. Sci. USA 2005, 102, 17757–17762. [Google Scholar] [CrossRef]
- Song, L.; Li, H.; Sunar, U.; Chen, J.; Corbin, I.; Yodh, A.G.; Zheng, G. Naphthalocyanine-reconstituted LDL nanoparticles for in vivo cancer imaging and treatment. Int. J. Nanomed. 2007, 2, 767–774. [Google Scholar]
- Dougherty, T.J.; Gomer, C.J.; Henderson, B.W.; Jori, G.; Kessel, D.; Korbelik, M.; Moan, J.; Peng, Q. Photodynamic therapy. J. Natl. Cancer Inst. 1998, 90, 889–905. [Google Scholar] [CrossRef]
- Wilson, B.C.; Patterson, M.S. The physics, biophysics and technology of photodynamic therapy. Phys. Med. Biol. 2008, 53, R61–R109. [Google Scholar] [CrossRef]
- Yano, S.; Hirohara, S.; Obata, M.; Hagiya, Y.; Ogura, S.; Ikeda, A.; Kataoka, H.; Tanaka, M.; Joh, T. Current states and future views in photodynamic therapy. J. Photochem. Photobiol. C Photochem. Rev. 2011, 12, 46–67. [Google Scholar] [CrossRef]
- Lim, C.K.; Heo, J.; Shin, S.; Jeong, K.; Seo, Y.H.; Jang, W.D.; Park, C.R.; Park, S.Y.; Kim, S.; Kwon, I.C. Nanophotosensitizers toward advanced photodynamic therapy of cancer. Cancer Lett. 2013, 334, 176–187. [Google Scholar] [CrossRef] [PubMed]
- Bechet, D.; Mordon, S.R.; Guillemin, F.; Barberi-Heyob, M.A. Photodynamic therapy of malignant brain tumours: A complementary approach to conventional therapies. Cancer Treat. Rev. 2014, 40, 229–241. [Google Scholar] [CrossRef] [PubMed]
- Benov, L. Photodynamic therapy: Current status and future direction. Med. Princ. Pract. 2015, 24, 14–28. [Google Scholar] [CrossRef] [PubMed]
- Miguel-Gomez, L.; Vano-Galvan, S.; Perez-Garcia, B.; Carrillo-Gijon, R.; Jaen-Olasolo, P. Treatment of folliculitis decalvans with photodynamic therapy: Results in 10 patients. J. Am. Acad. Dermatol. 2015, 72, 1085–1087. [Google Scholar] [CrossRef]
- Sharman, W.M.; Allen, C.M.; van Lier, J.E. Photodynamic therapeutics: Basic principles and clinical applications. Drug Discov. Today 1999, 4, 507–517. [Google Scholar] [CrossRef]
- Jin, Y.; Zhang, X.; Kang, H.; Du, L.; Li, M. Nanostructures of an amphiphilic zinc phthalocyanine polymer conjugate for photodynamic therapy of psoriasis. Colloids Surf. B 2015, 128, 405–409. [Google Scholar] [CrossRef]
- Sharman, W.M.; van Lier, J.E.; Allen, C.M. Targeted photodynamic theory via receptor mediated delivery systems. Adv. Drug Deliv. Rev. 2004, 56, 53–76. [Google Scholar] [CrossRef]
- Cruess, A.F.; Zlateva, G.; Pleil, A.M.; Wirostko, B. Photodynamic therapy with verteporfin in age-related macular degeneration: A systematic review of efficacy, safety, treatment modifications and pharmacoeconomic properties. Acta Ophthalmol. 2009, 87, 118–132. [Google Scholar] [CrossRef]
- Rockson, S.G.; Lorenz, D.P.; Cheong, W.F.; Woodburn, K.W. Photoangioplasty: An emerging clinical cardiovascular role for photodynamic therapy. Circulation 2000, 102, 591–596. [Google Scholar] [CrossRef]
- Bozzini, G.; Colin, P.; Betrouni, N.; Nevoux, P.; Ouzzane, A.; Puech, P.; Willers, A.; Mordon, S. Photodynamic therapy in urology: What can we do now and where are we heading. Photodiagn. Photodyn. Ther. 2012, 9, 261–273. [Google Scholar] [CrossRef]
- Panzarini, E.; Inguscio, V.; Dini, L. Immunogenic cell death: Can it be exploited in photodynamic therapy for cancer. Biomed. Res. Int. 2013, 2013, 482160. [Google Scholar] [CrossRef] [PubMed]
- Lang, G.E.; Mennel, S.; Spital, G.; Wachtlin, J.; Jurklies, B.; Heimann, H.; Damato, B.; Meyer, C.H. Different indications of photodynamic therapy in ophthalmology. Klin. Monbl. Augenheilkd. 2009, 226, 725–739. [Google Scholar] [CrossRef] [PubMed]
- Trindade, A.C.; De Figueiredo, J.A.P.; Steier, L.; Weber, J.B.B. Photodynamic therapy in endodontics: A literature review. Photomed. Laser Surg. 2015, 33, 175–182. [Google Scholar] [CrossRef] [PubMed]
- Vohra, F.; Al-Kheraif, A.A.; Qadri, T.; Hassan, M.I.A.; Ahmedef, A.; Warnakulasuriya, S.; Javed, F. Efficacy of photodynamic therapy in the management of oral premalignant lesions. A systematic review. Photodiagn. Photodyn. Ther. 2015, 12, 150–159. [Google Scholar] [CrossRef]
- Karrer, S.; Kohl, E.; Feise, K.; Hiepe-Wegener, D.; Lischner, S.; Philipp-Dormston, W.; Podda, M.; Prager, W.; Walker, T.; Szeimies, R.M. Photodynamic therapy for skin rejuvenation: Review and summary of the literature-results of a consensus conference of an expert group for aesthetic photodynamic therapy. J. Dtsch. Dermatol. Ges. 2013, 11, 137–148. [Google Scholar] [CrossRef]
- Fuhrmann, G.; Serio, A.; Mazo, M.; Nair, R.; Stevens, M.M. Active loading into extracellular vesicles significantly improves the cellular uptake and photodynamic effect of porphyrins. J. Control. Release 2015, 205, 35–44. [Google Scholar] [CrossRef]
- Baptista, M.S.; Wainwright, M. Photodynamic antimicrobial chemotherapy (PACT) for the treatment of malaria, leishmaniasis and trypanosomiasis. Braz. J. Med. Res. 2011, 44, 1–10. [Google Scholar] [CrossRef]
- Goslinski, T.; Piskorz, J. Fluorinated porphyrinoids and their biomedical applications. J. Photochem. Photobiol. C Photochem. Rev. 2011, 12, 304–321. [Google Scholar] [CrossRef]
- Hanakova, A.; Bogdanova, K.; Tomankova, K.; Pizova, K.; Malohlava, J.; Binder, S.; Bajgar, R.; Langova, K.; Kolar, M.; Mosinger, J.; et al. The application of antimicrobial photodynamic therapy on S. aureus and E. coli using porphyrin photosensitizers bound to cyclodextrin. Microbiol. Res. 2014, 169, 163–170. [Google Scholar] [CrossRef]
- Baltazar, L.M.; Ray, A.; Santos, D.A.; Cisalpino, P.S.; Friedman, A.J.; Nosanchuk, J.D. Antimicrobial photodynamic therapy: An effective alternative approach to control fungal injections. Front. Microbiol. 2015, 6, 202. [Google Scholar] [CrossRef]
- Bonnett, R. Progress with heterocyclic photosensitizers for the photodynamic therapy (PDT) of tomours. J. Heterocyclic Chem. 2002, 39, 455. [Google Scholar] [CrossRef]
- Photolitec, LLC. Tumor Specific Imaging Therapy. Photodynamic Therapy. Available online: http://photolitec.org/Tech_PDT.html (accessed on 10 August 2020).
- Vatansever, F.; de Melo, W.C.M.A.; Avci, P.; Vecchio, D.; Sadasivam, M.; Gupta, A.; Chandran, R.; Karimi, M.; Parizotto, N.A.; Yin, R.; et al. Antimicrobial strategies centered around reactive oxygen species—bactericidal antibiotics, photodynamic therapy, and beyond. Microbiol. Rev. 2013, 37, 955–989. [Google Scholar] [CrossRef] [PubMed]
- Henderson, B.W.; Dougherty, T.J. How does photodynamic therapy work. Photochem. Photobiol. 1992, 55, 145–157. [Google Scholar] [CrossRef]
- Agostinis, P.; Berg, K.; Cengel, K.A.; Foster, T.H.; Girotti, A.W.; Gollnick, S.O.; Hahn, S.M.; Hamblin, M.R.; Juzeniene, A.; Kessel, D.; et al. Photodynamic therapy of cancer: An update. CA Cancer J. Clin. 2011, 61, 250–281. [Google Scholar] [CrossRef] [PubMed]
- Senapathy, G.J.; George, B.P.; Abrahamse, H. Exloring the role of phytochemicals as potent natural photosensitizers in photodynamic therapy. Anticancer Agents Med. Chem. 2020, 20, 1831–1844. [Google Scholar] [CrossRef] [PubMed]
- Moan, J.; Berg, K. The photodegradation of porphyrins in cells can be used to estimate the lifetime of singlet oxygen. Photochem. Photobiol. 1991, 53, 549–553. [Google Scholar] [CrossRef]
- Hatz, S.; Poulsen, L.; Ogilby, P.R. Time-resolved singlet oxygen phosphorescence measurements from photosensitized experiments in single cells: Effects of oxygen diffusion and oxygen concentration. Photochem. Photobiol. 2008, 84, 1284–1290. [Google Scholar] [CrossRef]
- Nyst, H.J.; Tan, I.B.; Stewart, F.A.; Balm, A.J.M. Is photodynamic therapy a good alternative to surgery and radiotherapy in the treatment of head and neck cancer. Photodiagnosis Photodyn. Ther. 2009, 6, 3–11. [Google Scholar] [CrossRef]
- Schafer, M. High sensitivity of Deinococcus radiodurans to photodynamically-produced singlet oxygen. Int. J. Radiat. Biol. 1998, 74, 249–253. [Google Scholar] [CrossRef]
- Kochevar, I.E.; Lambert, C.R.; Lynch, M.C.; Tedesco, A.C. Comparison of photosensitized plasma membrane damage caused by singlet oxygen and free radicals. Biochim. Biophys. Acta 1996, 1280, 223–230. [Google Scholar] [CrossRef][Green Version]
- Barr, H.; Tralau, C.J.; Boulos, P.B.; MacRobert, A.J.; Tilly, R.; Bown, S.G. The contrasting mechanisms of colonic collagen damage between photodynamic therapy and thermal injury. Photochem. Photobiol. 1987, 46, 795–800. [Google Scholar] [CrossRef] [PubMed]
- Hopper, C. Photodynamic therapy. A clinical reality in the treatment of cancer. Lancet. Oncol. 2000, 1, 212–219. [Google Scholar] [CrossRef]
- Allison, R.R.; Bagnato, V.S.; Sibata, C.H. Future of oncologic photodynamic therapy. Future Oncol. 2010, 6, 929–940. [Google Scholar] [CrossRef] [PubMed]
- Foote, C. Mechanisms of photo-oxygenation. In Porphyrin Localization and Treatment of Tumors, 1st ed.; Doiron, D.R., Gomer, C.J., Eds.; Alan R. Liss: New York, NY, USA, 1984; pp. 3–18. [Google Scholar]
- Boegheim, J.P.; Scholte, H.; Dubbehman, T.M.; Beems, E.; Raap, A.K.; van Steveninck, J. Photodynamic effects of hematoporphyrin-derivative on enzyme activities of murine L929 fibroblasts. J. Photochem. Photobiol. B 1987, 1, 61–73. [Google Scholar] [CrossRef]
- Gibson, S.L.; Hilf, R. Interdependence of fluence, drug, dose and oxygen on hematoporphyrin derivate induced photosensitization of tumor mitochondria. Photochem. Photobiol. 1985, 42, 367–373. [Google Scholar] [CrossRef]
- Dolmans, D.E.; Fukumura, D.; Jain, R.K. Photodynamic therapy for cancer. Nat. Rev. Cancer 2003, 3, 380–387. [Google Scholar] [CrossRef]
- Ochsner, M. Photophysical and photobiological processes in the photodynamic therapy of tumors. J. Photochem. Photobiol. B 1997, 39, 1–18. [Google Scholar] [CrossRef]
- Canti, G.; Lattuada, D.; Morelli, S.; Nicolin, A.; Cubeddu, R.; Taroni, P.; Valentini, G. Efficacy of photodynamic therapy against doxorubicin-resistant murine tumors. Cancer Lett. 1995, 93, 255–259. [Google Scholar] [CrossRef]
- Lofgren, L.A.; Hallgren, S.; Nilsson, E.; Westerborn, A.; Nilsson, C.; Reizenstein, J. photodynamic therapy for recurrent nasopharyngeal cancer. Arch. Otolaryngol. Head Neck Surg. 1995, 121, 997–1002. [Google Scholar] [CrossRef]
- Davies, M.J. Singlet oxygen-mediated damage to proteins and its consequences. Biochem. Biophys. Res. Commun. 2003, 305, 761–770. [Google Scholar] [CrossRef]
- Bicalho, L.S.; Longo, J.P.F.; Pereira, L.O.; Santos, M.F.M.A.; Azevedo, R.B. Photodynamic therapy, a new approach in the treatment of oral cancer. Rev. Univ. Ind. Santander. Salud. 2010, 42, 167–174. [Google Scholar]
- Yoo, J.O.; Lim, Y.C.; Kim, Y.M.; Ha, K.S. Differential cytotoxic responses to low-and high-dose photodynamic therapy in human gastric and bladder cancer cells. J. Cell Biochem. 2011, 112, 3061–3071. [Google Scholar] [CrossRef]
- Moghissi, K.; Dixon, K.; Parson, R.J. A controlled trial of Nd-YAG laser vs photodynamic therapy for odvanced malignant bronchial obstruction. Laser Med. Sci. 1993, 8, 269–273. [Google Scholar] [CrossRef]
- Kato, H.; Okunaka, T.; Shimatani, H. Photodynamic therapy for early state bronchogenic carcinoma. J. Clin. Laser Med. Surg. 1996, 14, 235–238. [Google Scholar] [CrossRef] [PubMed]
- Manoto, S.L.; Abrahamse, H. Effect of a newly synthesized Zn sulfophthalocyanine derivative on cell morphology, viability, proliferation, and cytotoxicity in a human lung cancer cell line (A549). Lasers Med. Sci. 2011, 26, 523–530. [Google Scholar] [CrossRef]
- Jheon, S.; Lee, J.M.; Kim, J.K.; Kim, K.H.; Seo, S.J. Photodynamic therapy for tracheobronchial cancer. Photodiagnosis Photodyn. Ther. 2011, 6, 177. [Google Scholar] [CrossRef]
- Grant, W.E.; MacRobert, A.J.; Bown, S.G.; Hopper, C.; Speight, P.M. Photodynamic therapy of oral cancer: Photosensitization with systemic aminolaevulinic acid. Lancet 1993, 342, 147–148. [Google Scholar] [CrossRef]
- Barr, H.; Shepherd, N.A.; Dix, A.; Roberts, D.J.H.; Tan, W.C.; Krasner, N. Eradication of high-grade dysplasia in columnar-lined (Barrett´s) oesophagus by photodynamic therapy with endogenously generated protoporphyrin IX. Lancet 1996, 348, 584–585. [Google Scholar] [CrossRef]
- Miller, J.D.; Baron, E.D.; Scull, H.; Hsia, A.; Berlin, J.C.; McCormick, T.; Colussi, V.; Kenney, M.E.; Cooper, K.D.; Oleinick, N.L. Photodynamic therapy with the phtalocyanin photosensitizer Pc 4: The case experience with preclinical mechanistic and early clinical-tranlational studies. Toxicol. Appl. Pharmacol. 2007, 224, 290–299. [Google Scholar] [CrossRef]
- Nseyo, U.O.; DeHaven, J.; Dougherty, T.J.; Potter, W.R.; Merrill, D.L.; Lundahl, S.L.; Lamm, D.L. Photodynamic therapy (PDT) in the treatment of patients with resistant superficial bladder cancer: A long-term experience. J. Clin. Laser Med. Surg. 1998, 16, 61–68. [Google Scholar] [CrossRef]
- Leon, S.P.; Folkerth, R.D.; Black, P. Microvessel density is a prognostic indicator for patients with astroglial brain tumors. Cancer 1996, 77, 362–372. [Google Scholar] [CrossRef]
- Zhu, T.C.; Finlay, J.C. The role of photodynamic therapy (PDT) physics. Med. Phys. 2008, 35, 3127–3136. [Google Scholar] [CrossRef] [PubMed]
- George, B.P.A.; Abrahamse, H. A review on novel breast cancer therapies: Photodynamic therapy and plant derived agent induced cell death mechanisms. Anticancer Agents Med. Chem. 2016, 16, 793–801. [Google Scholar] [CrossRef] [PubMed]
- Kostović, K.; Pastar, Z.; Ceović, R.; Mokos, Z.B.; Buzina, D.S.; Stanimirović, A. Photodynamic therapy in dermatology: Current treatments and implications. Coll. Antropol. 2012, 36, 1477–1481. [Google Scholar] [PubMed]
- Kessel, D. Photosensitization of viral particles. J. Lab. Clin. Med. 1990, 116, 428. [Google Scholar] [PubMed]
- Tardivo, J.P.; Del Giglio, A.; Paschoal, L.H.; Baptista, M.S. New photodynamic therapy protocol to treat AIDS-related Kaposi´s sarcoma. Photomed. Laser Surg. 2006, 24, 528–531. [Google Scholar] [CrossRef] [PubMed]
- Mĺkvy, P. Position and possibilities of photodynamic therapy in oncology. Oncology 2007, 5, 299–301. [Google Scholar]
- Castano, A.P.; Demidova, T.N.; Hamblin, M.R. Mechanisms in photodynamic therapy: Part three—Photosensitizer pharmacokinetics, biodistribution, tumor localization and modes of tumor destruction. Photodiagnosis Photodyn. Ther. 2005, 2, 91–106. [Google Scholar] [CrossRef]
- Muniyandi, K.; George, B.; Parimelazhagan, T.; Abrahamse, H. Role of photoactive phytocompounds in photodynamic therapy of cancer. Molecules 2020, 25, 4102. [Google Scholar] [CrossRef]
- Doherty, R.E.; Sazanovich, I.V.; McKenzie, L.K.; Stasheuski, A.S.; Coyle, R.; Baggaley, E.; Bottomley, S.; Weinstein, J.A.; Bryant, H.E. Photodynamic killing of cancer cells by a platinum(II) complex with cyclometallating ligand. Sci. Rep. 2016, 6, 22668. [Google Scholar] [CrossRef]
- Pouton, C.W.; Wagstaff, K.M.; Roth, D.M.; Moseley, G.W.; Jans, D.A. Targeted delivery to the nucleus. Adv. Drug Deliv. Rev. 2007, 59, 698–717. [Google Scholar] [CrossRef] [PubMed]
- Sobolev, A.S. Novel modular transporters delivering anticancer drugs and foreign DNA to the nuclei of target cancer cells. J. Buon. 2009, 14 (Suppl. 1), S33–S42. [Google Scholar]
- de Melo, W.C.M.A.; Lee, A.N.; Perussi, J.R.; Hamblin, M.R. Electroporation enhances antimicrobial photodynamic therapy mediated by the hydrophobic photosensitizer, hypericin. Photodiagnosis Photodyn. Ther. 2013, 10, 647–650. [Google Scholar] [CrossRef] [PubMed]
- Alves, D.S.; Pérez-Fons, L.; Estepa, A.; Micol, V. Membrane-related effects underlying the biological activity of the anthraquinones emodin and barbaloin. Biochem. Pharmacol. 2004, 68, 549–561. [Google Scholar] [CrossRef]
- Du, K.; Xia, Q.; Heng, H.; Feng, F. Temozolomide-doxorubicin conjugate as a double intercalating agent and delivery by apoferritin for glioblastoma chemotherapy. ACS Mater. Interfaces 2020, 12, 34599–34609. [Google Scholar] [CrossRef] [PubMed]
- Mandelli, F.; Vignetti, M.; Suciu, S.; Stasi, R.; Petti, M.C.; Meloni, G.; Muus, P.; Marmont, F.; Marie, J.P.; Labar, B.; et al. Daunorubicin versus mitoxantrone versus idarubicin as induction and consolidation chemotherapy for adults with acute myeloid leukemia: The EORTC and GIMEMA groups study AML-10. J. Clin. Oncol. 2009, 27, 5397–5403. [Google Scholar] [CrossRef] [PubMed]
- Wójcik, K.; Zarebski, M.; Cossarizza, A.; Dobrucki, J.W. Daunomycin, an antitumor DNA intercalator, influences histone-DNA interactions. Cancer Biol. Ther. 2013, 14, 823–832. [Google Scholar] [CrossRef] [PubMed]
- Hu, X.; Cao, Y.; Yin, X.; Zhu, L.; Chen, Y.; Wang, W.; Hu, J. Design and synthesis of various quinizarin derivatives as potential anticancer agents in acute T lymphoblastic leukemia. Bioorganic Med. Chem. 2019, 27, 1362–1369. [Google Scholar] [CrossRef] [PubMed]
- Chen, H.; Zhao, C.; He, R.; Zhou, M.; Liu, Y.; Guo, X.; Wang, M.; Zhu, F.; Qin, R.; Li, X. Danthron suppresses autophagy and sensitizers pancreatic cancer cells to doxorubicin. Toxicol. In Vitro 2019, 54, 345–353. [Google Scholar] [CrossRef]
- Wang, Y.; Yang, M.; Qian, J.; Xu, W.; Wang, J.; Hou, G.; Ji, L.; Suo, A. Sequentially self-assembled polysaccharide-based nanocomplexes for combined chemotherapy and photodynamic therapy of breast cancer. Carbohydr. Polym. 2019, 203, 203–213. [Google Scholar] [CrossRef]
- Lee, H.; Han, J.; Shin, H.; Han, H.; Na, K.; Kim, H. Combination of chemotherapy and photodynamic therapy for cancer treatment with sonoporation effects. J. Control. Release 2018, 283, 190–199. [Google Scholar] [CrossRef] [PubMed]
- He, C.; Liu, D.; Lin, W. self-assembled core-shell nanoparticles for combined chemotherapy and photodynamic therapy of resistant head and neck cancers. ACS Nano 2015, 9, 991–1003. [Google Scholar] [CrossRef] [PubMed]
- Gleason, H.A.; Cronquist, A. Manual of Vascular Plants of Northeastern United States and Adjacent Canada, 2nd ed.; New York Botanical Garden: Bronx, New York, NY, USA, 1991; p. 910. [Google Scholar]
- Rahman, A. Bioactive natural products (Part C). In Studies in Natural Products Chemistry, 1st ed.; Rahman, A., Ed.; Elsevier: Amsterdam, The Netherlands, 2000; Volume 22, p. 647. [Google Scholar]
- Miškovský, P. Hypericin—A new antiviral and antitumor photosensitizer: Mechanism of action and interaction with biological macromolecules. Curr. Drug Targets 2002, 3, 55–84. [Google Scholar] [CrossRef] [PubMed]
- Thornett, A. Use of hypericin as antidepressant. Valid measure of antidepressant efficacy in primary care is needed. Brit. Med. J. 2000, 320, 1141. [Google Scholar]
- Butterweck, V.; Winterhoff, H.; Herkenham, M. St John´s wort, hypericin, and imipramine: A comparative analysis of mRNA levels in brain areas involved in HPA axis control following short-term and long-term administration in normal and stressed rats. Mol. Psychiatry 2001, 6, 547–564. [Google Scholar] [CrossRef]
- Eberman, R.; Alth, G.; Kreitner, M.; Kubin, A. Natural products derived from plants as potential drugs for the photodynamic destruction of tumor cells. J. Photochem. Photobiol. B 1996, 36, 95–97. [Google Scholar] [CrossRef]
- Pengelly, A. The Constituents of Medical Plants: An Introduction to the Chemistry and Therapeutics of Herbal Medicine, 2nd ed.; CABI Publishing: Cambridge, UK, 2004; pp. 20–50. [Google Scholar]
- Miroššay, A.; Mirossay, L.; Tóthová, J.; Miškovský, P.; Onderková, H.; Mojžiš, J. Potentiation of hypericin and hypocrellin-induced phototoxicity by omeprazole. Phytomedicine 1999, 6, 311–317. [Google Scholar] [CrossRef]
- Cavarga, I.; Brezani, P.; Fedorocko, P.; Miskovsky, P.; Bobrov, N.; Longauer, F.; Rybarova, S.; Mirossay, L.; Stubna, J. Photoinduced antitumor effect of hypericin can be enhanced by fractionated dosing. Photomedicine 2005, 12, 680–683. [Google Scholar] [CrossRef]
- Plenagl, N.; Duse, L.; Seitz, B.S.; Goergen, N.; Pinnapireddy, S.R.; Jedelska, J.; Brűβler, J.; Bakowsky, U. Photodynamic therapy—hypericin tetraether liposome conjugates and their antitumor and antiangiogenic activity. J. Drug Deliv. 2019, 26, 23–33. [Google Scholar] [CrossRef]
- Bianchini, P.; Cozzolino, M.; Oneto, M.; Pesce, L.; Pennacchietti, F.; Tognolini, M.; Giorgio, C.; Nonell, S.; Cavanna, L.; Delcanale, P.; et al. Hypericin-apomyoglobin an enhanced photosensitizer complex for the treatment of tumor cells. Biomacromolecules 2019, 20, 2024–2033. [Google Scholar] [CrossRef]
- Fiebich, B.L.; Lieb, A.H. Inhibition of substance P induced cytokine synthesis by St John´s Wort extracts. Pharmacopsychiatry 2001, 34, 526–528. [Google Scholar] [CrossRef] [PubMed]
- Samadi, S.; Khadivzadeh, T.; Emami, A.; Moosavi, N.S.; Tafaghodi, M.; Behnam, H.R. The effect of Hypericum perforatum on the wound healing and scar of cesarean. J. Altern. Complement. Med. 2010, 16, 113–117. [Google Scholar] [CrossRef]
- Hajhashemi, M.; Ghanbari, Z.; Movahedi, M.; Rafieian, M.; Keivani, A.; Haghollahi, F. The effect of Achillea millefolium and Hypericum perforatum ointments on episiotomy wound healing in primiparous women. J. Matern. Fetal Neonatal Med. 2018, 31, 63–69. [Google Scholar] [CrossRef] [PubMed]
- García, I.; Ballesta, S.; Gilaberte, Y.; Rezusta, A.; Pascual, Á. Antimicrobial photodynamic activity of hypericin against methicillin-susceptible and resistant Staphylococcus aureus biofilms. Future Microbiol. 2015, 10, 347–356. [Google Scholar] [CrossRef] [PubMed]
- Engelhardt, V.; Krammer, B.; Plaetzer, K. Antibacterial photodynamic therapy using water-soluble formulations of hypericin or mTHPC is effective in inactivation of Staphylococcus aureus. Photochem. Photobiol. Sci. 2010, 9, 365–369. [Google Scholar] [CrossRef] [PubMed]
- Yow, C.; Tang, H.M.; Chu, E.S.; Huang, Z. Hypericin-mediated photodynamic antimicrobial effect on clinically isolated pathogens. Photochem. Photobiol. 2012, 88, 626–632. [Google Scholar] [CrossRef]
- Rodríguez-Amigo, B.; Delcanale, P.; Rotger, G.; Juárez-Jiménez, J.; Abbruzzetti, S.; Summer, A.; Agut, M.; Luque, F.J.; Nonell, S.; Viappiani, C. The complex of hypericin with β-lactoglobulin has antimicrobial activity with perspective applications in dairy industry. J. Dairy Sci. 2015, 98, 89–94. [Google Scholar] [CrossRef]
- Delcanale, P.; Rodríguez-Amigo, B.; Juárez-Jiménez, J.; Luque, F.J.; Abbruzzetti, S.; Agut, M.; Nonell, S.; Viappiani, C. Tuning the local solvent composition at a drug carrier surface: Effect of dimethyl sulfoxide/water mixture on the photofunctional properties of hyperici-β-lactoglobulin. Mat. Chem. B 2017, 5, 1633–1641. [Google Scholar] [CrossRef]
- Pezzuoli, D.; Cozzolino, M.; Montali, C.; Brancaleon, L.; Bianchini, P.; Zantedeschi, M.; Bonardi, S.; Viappiani, C.; Abbruzzetti, S. Serum albumins are efficient delivery systems for the photosensitizer hypericin in photosensitization-based treatments against Staphylococcus aureus. Food Control. 2018, 94, 254–262. [Google Scholar] [CrossRef]
- Lopez-Bazzocchi, I.; Hudson, J.B.; Towers, G.H. Antiviral activity of photoactive plant pigment hypericin. Photochem. Photobiol. 1991, 54, 95–98. [Google Scholar] [CrossRef]
- Hudson, J.B.; Lopez-Bazzocchi, I.; Towers, G.H. Antiviral activities of hypericin. Antivir. Res. 1991, 15, 101–112. [Google Scholar] [CrossRef]
- Moraleda, G.; Wu, T.T.; Jilbert, A.R.; Aldrich, C.E.; Condreay, L.D.; Larsen, S.H.; Tang, J.C.; Colacino, J.M.; Mason, W.S. Inhibition of duck hepatitis B virus replication by hypericin. Antivir. Res. 1993, 20, 235–247. [Google Scholar] [CrossRef]
- Guedes, R.C.; Eriksson, L.A. Effects of halogen substitution on the photochemical properties of hypericin. J. Photochem. Photobiol. A Chem. 2006, 178, 41–49. [Google Scholar] [CrossRef]
- Meruelo, D.; Lavie, G.; Lavie, D. Therapeutic agents with dramatic antiretroviral activity and little toxicity at effective doses: Aromatic polycyclic diones hypericin and pseudohypericin. Proc. Natl. Acad. Sci. USA 1988, 85, 5230–5234. [Google Scholar] [CrossRef]
- Hudson, J.B.; Imperial, V.; Haugland, R.P.; Diwu, Z. Antiviral activities of photoactive perylenequinones. Photochem. Photobiol. 1997, 65, 352–354. [Google Scholar] [CrossRef]
- Xu, Y.; Lu, C. Raman spectroscopy study on structure of human immunodeficiency virus (HIV) and hypericin-induced photosensitive damage of HIV. Sci. China Ser. C 2005, 48, 117–132. [Google Scholar]
- Gulick, R.M.; McAuliffe, V.; Holden-Wiltse, J.; Crumpacker, C.; Liebes, L.; Stein, D.S.; Meehan, P.; Hussey, S.; Forcht, J.; Valentine, F.T. Phase I studies of hypericin, the active compound in St. John´s Wort, as an antiretroviral agent in HIV-infected adults: AIDS clinical trials group protocols 150 and 258. Ann. Intern. Med. 1999, 130, 510–514. [Google Scholar] [CrossRef]
- Kerb, R.; Reum, T.; Brockmöller, J.; Bauer, S.; Roots, I. No clinically relevant photosensitization after single-dose and steady state in treatment with hypericum extract in man. Eur. J. Clin. Pharmacol. 1995, 49, A156. [Google Scholar]
- Diwu, Z. Novel therapeutic and diagnostic applications of hypocrellins and hypericins. Photochem. Photobiol. 1995, 61, 529–539. [Google Scholar] [CrossRef]
- Wynn, J.L.; Cotton, T.M. Spectroscopic properties of hypericin in solution and at surfaces. J. Phys. Chem. 1995, 99, 4317–4323. [Google Scholar] [CrossRef]
- Yamazaki, T.; Ohta, N.; Yamazaki, I.; Song, P.S. Excited-state properties of hypericin: Electronic spectra and fluorescence decay kinetics. J. Phys. Chem. 1993, 97, 7870–7875. [Google Scholar] [CrossRef]
- Keša, P.; Antalík, M. Determination of pKa constants of hypericin in aqueous solution of the anti-allergic hydrotropic drug Cromolyn disodium salt. Chem. Phys. Lett. 2017, 676, 112–117. [Google Scholar] [CrossRef]
- Redepenning, J.; Tao, N. Measurement of formal potentials for hypericin in dimethylsulfoxide. Photobiol. 1993, 58, 532–535. [Google Scholar] [CrossRef] [PubMed]
- Thomas, C.; Pardini, R.S. Oxygen dependence of hypericin-induced phototoxicity to EMT6 mouse mammary carcinoma cells. Photochem. Photobiol. 1992, 55, 831–837. [Google Scholar] [CrossRef]
- Ehrenberg, B.; Anderson, J.L.; Foote, C.S. Kinetics and yield of singlet oxygen photosensitized by hypericin inorganic and biological media. Photochem. Photobiol. 1998, 68, 135–140. [Google Scholar] [CrossRef]
- Roslaniec, M.; Weitman, H.; Freeman, D.; Mazur, Y.; Ehrenberg, B. Liposome binding constant and singlet oxygen quantum yields of hypericin, tetrahydroxyhelianthrone and their derivatives: Studies in organic solutions and in liposomes. J. Photochem. Photobiol. B Biol. 2000, 57, 149–158. [Google Scholar] [CrossRef]
- Gbur, P.; Dedič, R.; Jancura, D.; Miškovský, P.; Hala, J. Time-resolved luminescence and singlet oxygen formation under illumination of hypericin in acetone. J. Lumin. 2008, 128, 765–767. [Google Scholar] [CrossRef]
- Fehr, M.J.; Carpenter, S.L.; Petrich, J.W. The role of oxygen in the photoinduced antiviral activity of hypericin. Bioorg. Med. Chem. Lett. 1994, 4, 1339–1344. [Google Scholar] [CrossRef]
- Carpenter, S.; Fehr, J.M.; Kraus, G.A.; Petrich, J.W. Chemiluminescent activation of the antiviral activity of hypericin: A molecular flashlight. Proc. Natl. Acad. Sci. USA 1994, 91, 12273–12277. [Google Scholar] [CrossRef] [PubMed]
- Verebová, V.; Belej, D.; Joniová, J.; Jurašeková, Z.; Miškovský, P.; Kožár, T.; Horváth, D.; Staničová, J.; Huntošová, V. Deeper insights into the drug defense of glioma cells against hydrophobic molecules. Int. J. Pharm. 2016, 503, 56–67. [Google Scholar] [CrossRef]
- de Witte, P.; Agostinis, P.; Van Lint, J.; Merlevede, W.; Vandenheede, J.R. Inhibition of epidermal growth factor receptor tyrosine kinase activity by hypericin. Biochem. Pharmacol. 1993, 46, 1929–1936. [Google Scholar] [CrossRef]
- Agostinis, P.; Vantieghem, A.; Merlevede, W.; de Witte, P. Hypericin in cancer treatment: More light on the way. Int. J. Biochem. Cell Biol. 2002, 34, 221–241. [Google Scholar] [CrossRef]
- Buytaert, E.; Callewaert, G.; Hendrickx, N.; Scorrano, L.; Hartmann, D.; Missiaen, L.; Vandenheede, J.R.; Heirman, I.; Grooten, J.; Agostinis, P. Role of endoplasmic reticulum depletion and multidomain proapoptic BAX and BAK proteins in shaping cell death after hypericin-mediated photodynamic therapy. Faseb. J. 2006, 20, 756–758. [Google Scholar] [CrossRef]
- Ferrario, A.; von Tiehl, K.; Wong, S.; Luna, M.; Gomer, C.J. Cyclooxygenase-2 inhibitor treatment enhances photodynamic therapy-mediated tumor response. Cancer Res. 2002, 62, 3956–3961. [Google Scholar]
- Delcanale, P.; Pennacchietti, F.; Maestrini, G.; Rodríguez-Amigo, B.; Bianchini, P.; Diaspro, A.; Iagatti, A.; Patrizi, B.; Foggi, P.; Agut, M.; et al. Subdiffraction localization of a nanostructured photosensitizer in bacterial cells. Sci. Rep. 2015, 5, 15564. [Google Scholar] [CrossRef] [PubMed]
- Miškovský, P.; Sureau, F.; Chinsky, L.; Turpin, P.Y. Subcellular distribution of hypericin in human cancer cells. Photochem. Photobiol. 1995, 62, 546–549. [Google Scholar] [CrossRef]
- Miškovský, P.; Chinsky, L.; Wheeler, G.V.; Turpin, P.Y. Hypericin site specific interactions within polynucleotides used as DNA model compounds. J. Biomol. Struct. Dyn. 1995, 13, 547–552. [Google Scholar] [CrossRef]
- Sánchez-Cortés, S.; Miškovský, P.; Jancura, D.; Bertoluzza, A. Specific interactions of antiretroviraly active drug hypericin with DNA as studied by surface-enhanced resonance Raman spectroscopy. J. Phys. Chem. 1996, 100, 1938–1944. [Google Scholar] [CrossRef]
- Das, K.; Smirnov, A.V.; Wen, J.; Miškovský, P.; Petrich, J.W. Photophysics of hypericin and hypocrellin A in complex with subcellular components: Interactions with human serum albumin. Photochem. Photobiol. 1999, 69, 633–645. [Google Scholar] [CrossRef]
- Senthil, V.; Jones, L.R.; Senthil, K.; Grossweiner, L.J. Hypericin photosensitization in aqueous model system. Photochem. Photobiol. 1994, 59, 40–47. [Google Scholar] [CrossRef]
- Mijatovic, S.; Maksimovic-Ivanic, D.; Radovic, J.; Milijkovic, D.; Kaludjerovic, G.N.; Sabo, T.J.; Trajkovic, V. Aloe emodin decreases the ERK-dependent anticancer activity of cisplatin. Cell Mol. Life Sci. 2005, 62, 1275–1282. [Google Scholar] [CrossRef] [PubMed]
- Ma, T.; Qi, Q.H.; Yang, W.X.; Xu, J.; Dong, Z.L. Contractile effects and antracellular Ca2+ signaling induced by emodin in circular smooth muscle cells of rat colon. World J. Gastroenterol. 2003, 9, 1804–1807. [Google Scholar] [CrossRef] [PubMed]
- Janeczko, M.; Masčyk, M.; Kubiński, K.; Golczyk, H. Emodin, a natural inhibitor of protein kinase CK2, suppresses growth, hyphal development, and biofilm formation of Candida Albicans. Yeast 2017, 34, 253–265. [Google Scholar] [CrossRef]
- Huang, H.C.; Lee, C.R.; Lee Chao, P.D.; Chen, C.C.; Chu, S.H. Vasorelaxant effects of emodin, an antraquinone from a Chinese herb. Eur. J. Pharmacol. 1991, 205, 289–294. [Google Scholar]
- Su, Y.T.; Chang, H.L.; Shyue, S.K.; Hsu, S.L. Emodin induces apoptosis in human lung adenocarcinoma cells through a reactive oxygen species-dependent mitochondrial signaling pathway. Biochem. Pharmacol. 2005, 70, 229–241. [Google Scholar] [CrossRef] [PubMed]
- Chukwujelwu, J.C.; Coombes, P.H.; Mulholland, D.A.; van Staden, J. Emodin, an antibacterial anthraquinone from the roots of Cassia occidentalis. S. Afr. J. Bot. 2006, 72, 295–297. [Google Scholar] [CrossRef]
- Srinivas, G.; Babykutty, S.; Sathiadevan, P.P.; Srinivas, P. Molecular mechanism of emodin action: Transition from laxative ingredient to an antitumor agent. Med. Res. Rev. 2007, 27, 591–608. [Google Scholar] [CrossRef] [PubMed]
- Fernand, V.E.; Dinh, D.T.; Washington, S.J.; Fakayode, S.O.; Loss, J.N.; van Ravenswaay, R.O.; Warner, I.M. Determination of pharmacologically active compounds in root extracts of Cassia Alata L. by use of high performance liquid chromatography. Talanta 2008, 74, 896–902. [Google Scholar] [CrossRef]
- Hennebelle, T.; Weniger, B.; Joseph, H.; Sahpaz, S.; Bailleul, F. Senna alata. Fitoterapia 2009, 80, 385–393. [Google Scholar] [CrossRef]
- Andersen, D.O.; Weber, N.D.; Wood, S.G.; Hughes, B.G.; Murray, B.K.; North, J.A. In vitro virucidal activity of selected anthraquinones and anthraquinone derivatives. Antiviral Res. 1991, 16, 185–196. [Google Scholar] [CrossRef]
- Kusari, S.; Lamshöft, M.; Zühlke, S.; Spiteller, M. An endophytic fungus from hypericum perforatum that produces hypericin. J. Nat. Prod. 2008, 71, 159–162. [Google Scholar] [CrossRef] [PubMed]
- Karioti, A.; Bilia, A.R. Hypericins as potential leads for new therapeutics. Int. J. Mol. Sci. 2010, 11, 562–594. [Google Scholar] [CrossRef] [PubMed]
- Bogdanska, A.; Chmurzyński, L.; Ossowski, T.; Liwo, A.; Jeziorek, D. Protolytic equilibria of dihydroxyanthraquinones in non-aqueous solutions. Anal. Chim. Acta 1999, 402, 339–343. [Google Scholar] [CrossRef]
- Mueller, S.O.; Lutz, W.K.; Stopper, H. Factors affecting the genotoxic potency ranking of natural anthraquinones in mammalian cell culture systems. Mutat. Res. 1998, 414, 125–129. [Google Scholar] [CrossRef]
- Li, J.; Yang, W.; Hu, W.; Wang, J.; Jin, Z.; Wang, X.; Xu, W. Effects of emodin on the activity of K channel in guinea pig taenia coli smooth muscle cells. Acta Pharm. Sin. 1998, 33, 321–325. [Google Scholar]
- Ma, T.; Qi, Q.H.; Xu, J.; Dong, Z.L.; Yang, W.X. Signal pathways involved in emodin-induced contraction of smooth muscle cells from rat colon. World J. Gastroenterol. 2004, 10, 1476–1479. [Google Scholar] [CrossRef] [PubMed]
- Chen, D.; Xiong, Y.; Wang, L.; Lv, B.; Lin, Y. Characteristics of emodin on modulating the contractility of jejunal smooth muscle. Can. J. Physiol. Pharmacol. 2012, 90, 455–462. [Google Scholar] [CrossRef]
- Vargas, F.; Fraile, G.; Velásquez, M.; Correia, H.; Fonseca, G.; Marin, M.; Marcano, E.; Sánchez, Y. Studies on the photostability and phototoxicity of aloe-emodin, emodin and rhein. Pharmazie 2002, 57, 399–404. [Google Scholar]
- Oshida, K.; Hirakata, M.; Maeda, A.; Miyoshi, T.; Miyamoto, Y. Toxicological effect of emodin in mouse testicular gene expression profile. J. Appl. Toxicol. 2011, 31, 790–800. [Google Scholar] [CrossRef]
- Xu, X.; Toselli, A.; Russell, L.D.; Seldin, D.C. Globozospermia in mice lacking the casein kinase II α´catalytic subunit. Nat. Genet. 1999, 23, 118–121. [Google Scholar] [CrossRef] [PubMed]
- Escalier, D.; Silvius, D.; Xu, X. Spermatogenesis of mice lacking CK2alpha´failure of germ cell survival and characteristic modifications of the spermatid nucleus. Mol. Reprod. Dev. 2003, 66, 190–201. [Google Scholar] [CrossRef] [PubMed]
- Wang, L.; Lin, L.; Ye, B. Electrochemical studies of the interaction of the anticancer herbal drug emodin with DNA. J. Pharm. Biomed. Anal. 2006, 42, 625–629. [Google Scholar] [CrossRef] [PubMed]
- Bi, S.; Zhang, H.; Qiao, C.; Sun, Y.; Liu, C. Studies of interaction of emodin and DNA in the presence of ethidium bromide by spectroscopic method. Spectrochim. Acta A Mol. Biomol. Spectrosc. 2008, 69, 123–129. [Google Scholar] [CrossRef] [PubMed]
- Saito, S.T.; Silva, G.; Pungartnik, C.; Brendel, M. Study of DNA-emodin interaction by FTIR and UV-Vis spectroscopy. J. Photochem. Photobiol. B: Biol. 2012, 111, 59–63. [Google Scholar] [CrossRef]
- Li, Y.; Luan, Y.; Qi, X.; Li, M.; Gong, L.; Xue, X.; Wu, X.; Wu, Y.; Chen, M.; Xing, G.; et al. Emodin triggers DNA double-strand breaks by stabilizing topoisomerase II-DNA cleavage complexes and by inhibiting ATP hydrolysis of topoisomerase II. Toxicol. Sci. 2010, 118, 435–443. [Google Scholar] [CrossRef]
- Fabriciova, G.; Sanchez-Cortes, S.; Garcia-Ramos, J.V.; Miskovsky, P. Surface-enhanced Raman spectroscopy study of the interaction of the antitumoral drug emodin with serum albumin. Biopolymers 2004, 74, 125–130. [Google Scholar] [CrossRef]
- Bi, S.Y.; Song, D.O.; Kan, Y.H.; Xu, D.; Tian, Y.; Zhou, X.; Zhang, H.Q. Spectroscopic characterization of effective components anthraquinones in Chinese medicinal herbs binding with serum albumins. Spectrochim. Acta A: Biomol. Spectrosc. 2005, 62, 203–212. [Google Scholar] [CrossRef]
- Koistinen, K.M.; Soininen, P.; Venalainen, T.A.; Hayrinen, J.; Laatikainen, R.; Perakyla, M.; Tervahauta, A.I.; Karenlampi, S.O. Birch PR-10c interacts with several biologically important ligands. Phytochemistry 2005, 66, 2524–2533. [Google Scholar] [CrossRef]
- Sevilla, P.; Rivas, J.M.; García-Blanco, F.; García-Ramos, J.V.; Sánchez-Cortés, S. Identification of the antitumoral drug emodin binding sites in bovine serum albumin by spectroscopic methods. BBA-Proteins Proteom. 2007, 1774, 1359–1369. [Google Scholar] [CrossRef]
- Pecere, T.; Gazzola, M.V.; Mucignat, C.; Parolin, C.; Dalla, V.F.; Cavaggioni, A.; Basso, G.; Diaspro, A.; Salvato, B.; Carli, M.; et al. Aloe-emodin is a new type of anticancer agent with selective activity against neuroectodermal tumors. Cancer Res. 2000, 60, 2800–2804. [Google Scholar]
- Chun-Guan, W.; Jun-Qing, Y.; Bei-Zhong, L.; Dan-Ting, J.; Chong, W.; Liang, Z.; Dan, Z.; Yan, W. Anti-tumor activity of emodin against human chronic myelocytic leukemia K562 cell lines in vitro and in vivo. Eur. J. Pharmacol. 2010, 627, 33–41. [Google Scholar] [CrossRef] [PubMed]
- Kuo, T.C.; Yang, J.S.; Lin, M.W.; Hsu, S.C.; Lin, J.J.; Lin, H.J.; Hsia, T.C.; Liao, L.; Yang, M.D.; Fan, M.J.; et al. Emodin has cytotoxic and pretoctive effect in rat c6 glioma cells: Roles of Mdr1a and nuclear factor κB in cell survival. J. Pharmacol. Exp. Ther. 2009, 330, 736–744. [Google Scholar] [CrossRef] [PubMed]
- Ko, J.C.; Su, Y.J.; Lin, S.T.; Jhan, J.Y.; Ciou, S.C.; Cheng, C.M.; Lin, Y.W. Suppression of ERCC1 and Rad51 expression through ER1/2 inactivation is essential in emodin-mediated cytotoxicity in human non-small cell lung cancer cells. Biochem. Pharmacol. 2010, 79, 655–664. [Google Scholar] [CrossRef] [PubMed]
- Chemicalland21. Quinizarin. Available online: http://www.chemicalland21.com/specialtychem/finechem/QUINIZARIN.htm (accessed on 7 September 2020).
- Quinti, L.; Allen, N.S.; Edge, M.; Murphy, B.P.; Perotti, A. A study of the strongly fluorescent species formed by the interaction of the dye 1,4-dihydroxyanthraquinone (quinizarin) with A(III). J. Photochem. Photobiol. A Chem. 2003, 155, 79–91. [Google Scholar] [CrossRef]
- Yohida, M. Chemistry and hair dyes application of dihydroxy derivates of anthraquinone and naphtoquinone. Prog. Org. Coat. 1997, 31, 63–72. [Google Scholar] [CrossRef]
- Brinkworth, R.I.; Fairle, D.P. Hydroxyquinones are competitive nonpeptide inhibitors of HIV-1 proteinase. Biochim. Biophys. Acta 1995, 1253, 5–8. [Google Scholar] [CrossRef]
- Brown, J.P. A review of the genetic effects of naturally occurring flavonoids, anthraquinones and related compounds. Mutat. Res. 1980, 75, 243–277. [Google Scholar] [CrossRef]
- Longo, V.; Amato, G.; Salvetti, A.; Gervasi, P.G. Heterogenous effect of anthraquinones on drug-metabolizing enzymes in the liver and small intestine of rat. Chem. Biol. Interact. 2000, 126, 63–77. [Google Scholar] [CrossRef]
- Carter, T.P.; Gillispie, G.D.; Connoll, M.A. Intramolecular hydrogen bonding in substituted anthraquinones by laser-induced fluorescence. 1. 1,4-dihydroxyanthraquinone (quinizarin). J. Phys. Chem. 1982, 86, 192–196. [Google Scholar] [CrossRef]
- Smulevich, G.; Angeloni, L.; Giovannardi, S.; Marzocchi, M.P. Resonance Raman and polarized light infrared spectra of 1,4-dihydroxyanthraquinone, vibrational studies of the ground and excited electronic states. Chem. Phys. 1982, 65, 313–322. [Google Scholar] [CrossRef]
- Nigam, G.; Deppisch, B. Redetermination of the structure of 1,4-dihydroxyanthraquinone (C14H8O4). Z. Kristallogr. 1980, 151, 185–191. [Google Scholar] [CrossRef]
- Fabriciová, G.; Garcia-Ramos, J.V.; Miškovský, P.; Sanchez-Cortes, S. Absorption and acidic behavior of anthraquinone drugs quinizarin and danthron on Ag nanoparticles studied by Raman spectroscopy. Vib. Spectrosc. 2004, 34, 273–281. [Google Scholar] [CrossRef]
- Bondy, G.S.; Armstrong, C.L.; Dawson, B.A.; Héroux-Metcalf, C.; Neville, G.A.; Rogers, C.G. Toxicity of structurally related anthraquinones and anthrones to mammalian-cell in vitro. Toxicol. In Vitro 1994, 8, 329–335. [Google Scholar] [CrossRef]
- Verebová, V.; Adamčík, J.; Danko, P.; Podhradský, D.; Miškovský, P.; Staničová, J. Anthraquinones quinizarine and danthron unwind negatively supercoiled DNA and lengthen linear DNA. Biochem. Biophys. Res. Commun. 2014, 444, 50–55. [Google Scholar] [CrossRef] [PubMed]
- IARC. Dantron (chrysazin; 1,8-dihydroxyanthraquinone). In Pharmaceutical Drugs; International Agency for Research on Cancer: Lyon, France, 1990; pp. 265–275. [Google Scholar]
- Mueller, S.O.; Stopper, H.; Dekant, W. biotransformation of the anthraquinones emodin and chrysophanol by cytochrome P450 enzymes. Bioactivation to genotoxic metabolites. Drug Metab. Dispos. 1998, 26, 540–546. [Google Scholar]
- Müller, S.O.; Eckert, I.; Lutz, W.K.; Stopper, H. Genotoxicity of the laxative drug components emodin, aloe-emodin and danthron in mammalian cells: Topoisomerase II mediated. Mutat. Res. Genet. Toxicol. 1996, 371, 165–173. [Google Scholar] [CrossRef]
- Downes, C.S.; Mullinger, A.M.; Johnson, R.T. Inhibitors of DNA topoisomerase II prevent chromatid separation in mammalians cells but do not prevent exit from mitosis. Proc. Natl. Acad. Sci. USA 1991, 88, 8895–8899. [Google Scholar] [CrossRef]
- Wang, J.R.; Caron, P.R.; Kim, R.A. The role of DNA topoisomerases in recombination and genomic stability: A double-edged sword. Cell 1990, 62, 403–406. [Google Scholar] [CrossRef]
- Neimeikaité-Čéniené, A.; Sergediené, E.; Nivinskas, H.; Čénas, N. Cytotoxicity of natural hydroxyanthraquinones: Role of oxidative stress. Z. Naturforsch. C 2002, 57, 822–827. [Google Scholar] [CrossRef]
- Lieberman, D.F.; Fink, R.C.; Schaefer, F.L.; Mulcahy, R.J.; Stark, A. Mutagenicity of anthraquinone and hydroxylated anthraquinones in the Ames/Salmonella microsome system. Appl. Environ. Microbiol. 1982, 43, 1354–1359. [Google Scholar] [CrossRef]
- Ferreiro, M.L.; Rodriguez-Otero, J. Ab inition study of the intramolecular proton transfer in dihydroxyanthraquinones. J. Mol. Struct. 2001, 542, 63–77. [Google Scholar] [CrossRef]
- Ansari, S.S.; Khan, R.H.; Naqvi, S. Probing the intermolecular interactions into serum albumin and anthraquinone systems: A spectroscopic and docking approach. J. Biomol. Struct. Dyn. 2018, 36, 3362–3375. [Google Scholar] [CrossRef] [PubMed]
- Jutkova, A.; Chorvat, D.; Miskovsky, P.; Jancura, D.; Datta, S. Encapsulation of anticancer drug curcumin and co-loading with photosensitizer hypericin into lipoproteins investigated by fluorescence resonance energy transfer. Int. J. Pharm. 2019, 564, 369–378. [Google Scholar] [CrossRef] [PubMed]
- Kozsup, M.; Dömötör, O.; Nagy, S.; Farkas, E.; Enyedy, E.A.; Buglyó, P. Synthesis, characterization and albumin binding capabilities of quinizarin containing ternary cobalt(III) complexes. J. Inorg. Biochem. 2020, 204, 110963. [Google Scholar] [CrossRef]
- Crlikova, H.; Kostrhunova, H.; Pracharova, J.; Kozsup, M.; Nagy, S.; Buglyó, P.; Brabec, V.; Kasparkova, J. Antiproliferative, DNA binding, and cleavage properties of dinuclear Co(III) complexes containing the bioactive quinizarin ligand. J. Biol. Inorg. Chem. 2020, 25, 339–350. [Google Scholar] [CrossRef]
- Kočišová, E.; Chinsky, L.; Miškovský, P. Sequence specific interaction of the photoactive drug hypericin depends on the structural arrangement and the stability of the structure containing its specific 5´AG3´target: A resonance Raman spectroscopy study. J. Biomol. Struct. Dyn. 1999, 17, 51–59. [Google Scholar] [CrossRef]
- Staničová, J.; Verebová, V.; Strejčková, A. Potential anticancer agent hypericin and its model compound emodin: Interaction with DNA. Čes. Slov. Farm. 2016, 65, 28–31. [Google Scholar]
- Gottesman, M.M.; Fojo, T.; Bates, S.E. Multidrug resistance in cancer: Role of ATP-dependent transporters. Nat. Rev. Cancer 2002, 2, 48–58. [Google Scholar] [CrossRef]
- Aller, S.G.; Yu, J.; Ward, A.; Weng, Y.; Chittaboina, S.; Zhou, R.P.; Harrell, P.M.; Trinh, Y.T.; Zhang, Q.H.; Urbatsch, I.L.; et al. Structure of P-glycoprotein reveals a molecular basis for poly-specific drug binding. Science 2009, 323, 1718–1722. [Google Scholar] [CrossRef]
- Regina, A.; Demeule, M.; Laplante, A.; Jodoin, J.; Dagenais, C.; Berthelet, F.; Moghrabi, A.; Beliveau, R. Multidrug resistance in brain tumors: Roles of the blood-brain barrier. Cancer Metastasis Rev. 2001, 20, 13–25. [Google Scholar] [CrossRef]
- Szaflarski, W.; Sujka-Kordowska, P.; Januchowski, R.; Wojtowicz, K.; Andrzejewska, M.; Nowicki, M.; Zabel, M. Nuclear localization of P-glycoprotein is responsible for protection of the nucleus from doxorubicin in the resistant LoVo cell line. Biomed. Pharmacother. 2013, 67, 497–502. [Google Scholar] [CrossRef] [PubMed]
- Weyergang, A.; Berstad, M.E.; Bull-Hansen, B.; Olsen, C.E.; Selbo, P.K.; Berg, K. Photochemical activation of drug for the treatment of therapy-resistant cancers. Photochem. Photobiol. Sci. 2015, 14, 1465–1475. [Google Scholar] [CrossRef] [PubMed]
Publisher’s Note: MDPI stays neutral with regard to jurisdictional claims in published maps and institutional affiliations. |
© 2020 by the authors. Licensee MDPI, Basel, Switzerland. This article is an open access article distributed under the terms and conditions of the Creative Commons Attribution (CC BY) license (http://creativecommons.org/licenses/by/4.0/).




