Three Types of Red Beetroot and Sour Cherry Based Marmalades with Enhanced Functional Properties
Abstract
1. Introduction
2. Results
2.1. The Analysis of Phytochemicals in Fresh, Unprocessed Samples
2.2. Phytochemical Profile of the Heat Treated Samples
2.3. Water Activity (aw) of the Samples
2.4. Color Measurement
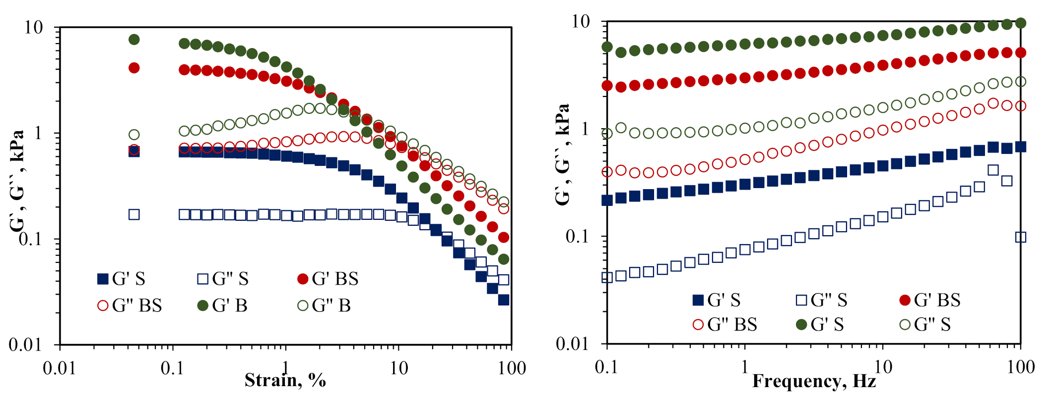
2.5. Rheological Measurements Results
2.6. Texture Analysis Results
2.7. Structural Particularities of the Marmalades
3. Materials and Methods
3.1. Chemicals
3.2. Plant Material
3.3. Marmalade Making
3.4. Analysis of Betalains
3.5. Total Anthocyanin Content
3.6. ABTS Radical Scavenging Assay
3.7. DPPH Radical Scavenging Assay
3.8. Water Activity
3.9. Total Polyphenol Content (TPC)
3.10. Total Flavonoid Content (TFC)
3.11. Color Measurement
3.12. Rheological Measurements
3.13. Texture Analysis
3.14. Confocal Laser Scanning Microscopy (CLSM)
3.15. Statistical Analysis
4. Conclusions
Author Contributions
Funding
Acknowledgments
Conflicts of Interest
References
- Latorre, M.E.; de Escalada Plá, M.F.; Rojas, A.M.; Gerschenson, L.N. Blanching of red beet (Beta vulgaris L. var. conditiva) root. Effect of hot water or microwave radiation on cell wall characteristics. LWT 2013, 50, 193–203. [Google Scholar] [CrossRef]
- Lourenço, E.; Amanda, R.; Teodoro, R.; Henrique, P.; Félix, C.; Victória, R.; Botrel, D.A. Stability of spray-dried beetroot extract using oligosaccharides and whey proteins. Food Chem. 2017, 249, 51–59. [Google Scholar]
- Chhikara, N.; Kushwaha, K.; Jaglan, S.; Sharma, P.; Panghal, A. Nutritional, physicochemical, and functional quality of beetroot (Beta vulgaris L.) incorporated Asian noodles. Cereal Chem. 2019, 96, 154–161. [Google Scholar] [CrossRef]
- Strack, D.; Vogt, T.; Schlimann, W. Recent advance in betalains research. Phytochemistry 2003, 62, 247–269. [Google Scholar] [CrossRef]
- Reddy, K.M.; Ruby, L.; Lindo, A.; Nair, G.M. Relative inhibition of lipid peroxidation, cyclooxygenase enzymes and human tumor cells prolifieration by natural food color. J. Agric. Food Chem. 2005, 53, 9268–9273. [Google Scholar] [CrossRef] [PubMed]
- Zou, D.; Brewer, M.; Garcia, F.; Feugang, J.M.; Wang, J.; Zang, R. Cactus pear: A natural product in cancer chemoprevention. Nutr. J. 2005, 4, 1–12. [Google Scholar] [CrossRef] [PubMed]
- Gentile, C.; Tesoriere, L.; Allegra, M.; Livrea, M.A.; Alessio, P.D. Antioxidant betalains from cactus pear (Opuntia ficus-indica) inhibit endothelial ICAM-1expression. Ann. N. Y. Acad. Sci. 2004, 1028, 481–486. [Google Scholar] [CrossRef]
- Preczenhak, A.P.; Tessmer, M.A.; Berno, N.D.; de Abreu Vieira, A.P.; Kluge, R.A. Initial stages of minimal processing of red beets result in significant loss of bioactive compounds. LWT 2018, 96, 439–445. [Google Scholar] [CrossRef]
- Guiné, R.P.F.; Roque, A.R.F.; Gonçalves, F.J.A.; Correia, P.M.R. Development of an innovative jam based on beetroot. J. Food Res. 2016, 1, 49–53. [Google Scholar]
- de Oliveira, V.S.; Ferreira, F.S.; Cople, M.C.R.; Labre, T.D.S.; Augusta, I.M.; Gamallo, O.D.; Saldanha, T. Use of Natural Antioxidants in the Inhibition of Cholesterol Oxidation: A Review. Compr. Rev. Food Sci. Food Saf. 2018, 17, 1465–1483. [Google Scholar] [CrossRef]
- Tian, Y.; Puganen, A.; Alakomi, H.L.; Uusitupa, A.; Saarela, M.; Yang, B. Antioxidative and antibacterial activities of aqueous ethanol extracts of berries, leaves, and branches of berry plants. Food Res. Int. 2018, 106, 291–303. [Google Scholar] [CrossRef] [PubMed]
- Khan, M.I. Plant Betalains: Safety, Antioxidant Activity, Clinical Efficacy, and Bioavailability. Compr. Rev. Food Sci. Food Saf. 2016, 15, 316–330. [Google Scholar] [CrossRef]
- Panghal, A.; Virkar, K.; Kumar, V.B.; Dhull, S.; Gat, Y.; Chhikara, N. Development of probiotic beetroot drink. Curr. Res. Nutr. Food Sci. J. 2017, 5, 257–262. [Google Scholar] [CrossRef]
- Güneşer, O. Pigment and Colour Stability of Beetroot Betalains in Cow Milk during Thermal Treatment. Food Chem. 2016, 196, 220–227. [Google Scholar] [CrossRef]
- Ferretti, G.; Bacchetti, T.; Belleggia, A.; Neri, D. Cherry antioxidants: From farm to table. Molecules 2010, 15, 6993–7005. [Google Scholar] [CrossRef] [PubMed]
- Kirakosyan, A.; Seymour, E.M.; Urcuyo Llanes, D.E.; Bolling, S.F. Chemical profile and antioxidant capacities of tart cherry products. Food Chem. 2009, 115, 20–25. [Google Scholar] [CrossRef]
- Özen, M.; Özdemir, N.; Ertekin Filiz, B.; Budak, N.H.; Kök-Taş, T. Sour Cherry (Prunus cerasus L.) Vinegars Produced from Fresh Fruit or Juice Concentrate: Bioactive Compounds, Volatile Aroma Compounds and Antioxidant Capacities. Food Chem. 2020, 309, 125664. [Google Scholar] [CrossRef] [PubMed]
- Castellanos-Santiago, E.; Yahia, E.M. Identification and Quantification of Betalains from the Fruits of 10 Mexican Prickly Pear Cultivars by High-Performance Liquid Chromatography and Electrospray Ionization Mass Spectrometry. J. Agric. Food Chem. 2008, 56, 5758–5764. [Google Scholar] [CrossRef]
- Desseva, I.; Stoyanova, M.; Petkova, N.; Mihaylova, D. Red Beetroot Juice Phytochemicals Bioaccessibility: An Approach. Pol. J. Food Nutr. Sci. 2020, 70, 45–53. [Google Scholar] [CrossRef]
- Guldiken, B.; Toydemir, G.; Memis, K.N.; Okur, S.; Boyacioglu, D.; Capanoglu, E. Home-Processed Red Beetroot (Beta vulgaris L.) Products: Changes in Antioxidant Properties and Bioaccessibility. Int. J. Mol. Sci. 2016, 17, 858. [Google Scholar] [CrossRef]
- Ravichandran, K.; Thaw Saw, N.M.M.; Mohdaly, A.A.A.; Gabr, A.M.M.; Kastell, A.; Riedel, H.; Cai, Z.; Knorr, D.; Smetanska, I. Impact of processing of red beet on betalain content and antioxidant activity. Food Res. Int. 2013, 50, 670–675. [Google Scholar] [CrossRef]
- Han, B.; Bhagavathula, A.S.; Rashid, M.; Chhabra, M.; Clark, C.; Abdulazeem, H.M.; Abd-ElGawad, M.; Varkaneh, H.K.; Rahmani, J.; Yong Zhang, Y. The effect of sour cherry consumption on blood pressure, IL-6, CRP, and TNF-a levels: A systematic review and meta-analysis of randomized controlled trials sour cherry consumption and blood pressure. J. King Saud Univ. Sci. 2020, 32, 1687–1693. [Google Scholar] [CrossRef]
- Yılmaz, F.M.; Görgüç, A.; Karaaslan, M.; Vardin, H.; Bilek, S.E.; Uygun, Ö.; Bircan, C. Sour Cherry By-products: Compositions, Functional Properties and Recovery Potentials–A Review. Crit. Rev. Food Sci. Nutr. 2018, 59, 3549–3563. [Google Scholar] [CrossRef]
- Igual, M.; Contreras, C.; Martínez-Navarrete, N. Colour and rheological properties of non-conventional grapefruit jams: Instrumental and sensory measurement. LWT 2014, 56, 200–206. [Google Scholar] [CrossRef]
- Rababah, T.M.; Al-U’Datt, M.; Al-Mahasneh, M.; Yang, W.; Feng, H.; Ereifej, K.; Kilani, I.; Ishmais, M.A. Effect of jam processing and storage on phytochemicals and physiochemical properties of cherry at different temperatures. J. Food Process. Preserv. 2014, 38, 247–254. [Google Scholar] [CrossRef]
- Igual, M.; Contreras, C.; Martínez-Navarrete, N. Non-conventional techniques to obtain grapefruit jam. Innov. Food Sci. Emerg. Technol. 2010, 11, 335–341. [Google Scholar] [CrossRef]
- Barbieri, S.F.; de Oliveira Petkowicz, C.L.; Bueno de Godoy, R.C.; de Azeredo, H.C.M.; Cavichiolo Francod, C.R.; Silveira, J.L.M. Pulp and Jam of Gabiroba (Campomanesia xanthocarpa Berg): Characterization and Rheological Properties. Food Chem. 2018, 263, 292–299. [Google Scholar] [CrossRef]
- Basu, S.; Shivhare, U.S.; Singh, T.V.; Beniwal, V.S. Rheological, textural and spectral characteristics of sorbitol substituted mango jam. J. Food Eng. 2011, 105, 503–512. [Google Scholar] [CrossRef]
- Gabriele, D.; De Cindio, B.; D’Antona, P. A weak gel model for foods. Rheol. Acta. 2001, 40, 120–127. [Google Scholar] [CrossRef]
- Figueroa, L.E.; Genovese, D.B. Fruit jellies enriched with dietary fibre: Development and characterization of a novel functional food product. LWT 2019, 111, 423–428. [Google Scholar] [CrossRef]
- Banas, A.; Korus, A.; Korus, J. Texture, Color, and Sensory Features of Low-Sugar Gooseberry Jams Enriched with Plant Ingredients with prohealth properties. J. Food Qual. 2018, 1646894, 1–12. [Google Scholar] [CrossRef]
- Garrido, J.I.; Lozano, J.E.; Genovese, D.B. Effect of formulation variables on rheology, texture, colour, and acceptability of apple jelly: Modelling and optimization. LWT 2015, 62, 325–332. [Google Scholar] [CrossRef]
- Miguel, M.C. Betalains in Some Species of the Amaranthaceae Family: A Review. Antioxidants 2018, 7, 53. [Google Scholar] [CrossRef]
- Cabrera-Bañegil, M.; del Hurtado-Sánchez, M.C.; Galeano-Díaz, T.; Durán-Merás, I. Front-face fluorescence spectroscopy combined with second-order multivariate algorithms for the quantification of polyphenols in red wine samples. Food Chem. 2017, 220, 168–176. [Google Scholar] [CrossRef]
- Stintzing, F.C.; Schieber, A.; Carle, R. Evaluation of colour properties andchemical quality parameters of cactus juices. Eur. Food Res. Technol. 2003, 216, 303–311. [Google Scholar] [CrossRef]
- Tõnutare, T.; Moor, U.; Wojciech Szajdak, L. Strawberry anthocyanin determination by pH differential spectroscopic method-How to get true results? Acta Sci. Pol. Hortorum Cultus 2014, 13, 35–47. [Google Scholar]
- Giusti, M.M.; Wrolstad, R.E. Anthocyanins. Characterization and measurement with UV-visible spectroscopy. In Current Protocols in Food Analytical Chemistry Wrolstad; Wrolstad, R.E., Ed.; Wiley: New York, NY, USA, 2001; pp. F1.2.1–F1.2.13. [Google Scholar]
- Singleton, V.L.; Orthofor, R.; Raventos, R.M.L. Analysis of total phenols and other oxidation substrates and antioxidants by means of Folin–Ciocaltau reagent. Methods Enzymol. 1999, 299, 152–178. [Google Scholar]
- Marinova, D.; Ribarova, F.; Atanassova, M. Total phenolic and total flavonoids in Bulgarian fruits and vegetables. J. Univ. Chem. Technol. Metall. 2005, 40, 255–260. [Google Scholar]
Sample Availability: Samples of the compounds are not available from the authors. |


| Code | aw | TPC, mg GAE/g dw | TFC, mg QE/g dw | ABTS Radical Scavenging Activity, mMol Trolox/g dw | DPPH, µM Trolox/g dw | Betalains | TAC, mg C3G/g dw | |
|---|---|---|---|---|---|---|---|---|
| β-Cyanin, mg/g dw | β-Xanthin, mg/g dw | |||||||
| B0 | 0.94 ± 0.02 a | 18.33 ± 0.72 a | 13.19 ± 0.28 b | 13.10 ± 2.31 a | 1.80 ± 0.04 a | 4.34 ± 0.18 a | 4.01 ± 0.03 a | - |
| B | 0.86 ± 0.01 b | 6.88 ± 0.22 b | 5.33 ± 0.08 c | 3.88 ± 0.57 c | 0.87 ± 0.07 c | 3.10 ± 0.08 b | 2.43 ± 0.07 b | - |
| S0 | 0.98 ± 0.01 a | 30.17 ± 0.12 a | 21.4 ± 0.04 b | 17.77 ± 0.16 a | 4.30 ± 0.05 a | - | - | 0.64 ± 0.01 a |
| S | 0.86 ± 0.02 b | 22.78 ± 1.19 b | 10.93 ± 0.51 c | 11.38 ± 0.42 c | 2.75 ± 0.02 c | - | - | 0.46 ± 0.08 b |
| BS0 | 0.96 ± 0.01 a | 20.12 ± 0.42 a | 13.86 ± 0.16 b | 14.22 ± 0.13 a | 2.53 ± 0.03 a | 1.27 ± 0.03 a | 1.38 ± 0.02 a | 0.61 ± 0.03 a |
| BS | 0.83 ± 0.01 b | 13.01 ± 0.39 b | 9.83 ± 0.45 c | 8.12 ± 0.38 c | 1.44 ± 0.04 c | 0.83 ± 0.024 b | 1.04 ± 0.03 b | 0.31 ± 0.09 b |
| Color Parameters | Marmalades | ||
|---|---|---|---|
| B | S | BS | |
| L* (clarity) | 21.50 ± 0.28 a, * | 29.66 ± 0.02 b | 25.32 ± 0.05 b |
| a* (red/green color component) | 15.02 ± 0.21 a | 18.41 ± 0.17 b | 22.46 ± 0.08 b |
| b* (blue/yellow color component) | 4.29 ± 0.14 a | 7.40 ± 0.09 b | 7.50 ± 0.04 b |
| ΔE (total color difference) | 7.01 ± 0.23 a | 6.46 ± 0.10 a | 5.48 ± 0.05 a |
| C* (chroma) | 15.62 ± 0.12 a | 19.84 ± 0.19 b | 23.67 ± 0.09 b |
| h* (hue angle) | 15.94 ± 0.48 a | 21.89 ± 0.11 b | 18.46 ± 0.04 a |
| Texture Parameter | Sample | ||
|---|---|---|---|
| B | S | BS | |
| Firmness, N | 2.99 ± 0.07 a,* | 1.53 ± 0.08 b | 2.09 ± 0.07 b |
| Adhesiveness, mJ | 5.26 ± 0.88 a | 1.18 ± 0.03 b | 4.73 ± 0.17 a |
| Cohesiveness, - | 0.32 ± 0.01 b | 0.65 ± 0.05 b | 0.36 ± 0.01 b |
| Springiness, mm | 6.67 ± 0.62 a | 8.85 ± 0.57 a | 7.53 ± 0.52 a |
Publisher’s Note: MDPI stays neutral with regard to jurisdictional claims in published maps and institutional affiliations. |
© 2020 by the authors. Licensee MDPI, Basel, Switzerland. This article is an open access article distributed under the terms and conditions of the Creative Commons Attribution (CC BY) license (http://creativecommons.org/licenses/by/4.0/).
Share and Cite
Nistor, O.V.; Șeremet, L.; Mocanu, G.D.; Barbu, V.; Andronoiu, D.G.; Stănciuc, N. Three Types of Red Beetroot and Sour Cherry Based Marmalades with Enhanced Functional Properties. Molecules 2020, 25, 5090. https://doi.org/10.3390/molecules25215090
Nistor OV, Șeremet L, Mocanu GD, Barbu V, Andronoiu DG, Stănciuc N. Three Types of Red Beetroot and Sour Cherry Based Marmalades with Enhanced Functional Properties. Molecules. 2020; 25(21):5090. https://doi.org/10.3390/molecules25215090
Chicago/Turabian StyleNistor, Oana Viorela, Liliana Șeremet (Ceclu), Gabriel Dănuț Mocanu, Vasilica Barbu, Doina Georgeta Andronoiu, and Nicoleta Stănciuc. 2020. "Three Types of Red Beetroot and Sour Cherry Based Marmalades with Enhanced Functional Properties" Molecules 25, no. 21: 5090. https://doi.org/10.3390/molecules25215090
APA StyleNistor, O. V., Șeremet, L., Mocanu, G. D., Barbu, V., Andronoiu, D. G., & Stănciuc, N. (2020). Three Types of Red Beetroot and Sour Cherry Based Marmalades with Enhanced Functional Properties. Molecules, 25(21), 5090. https://doi.org/10.3390/molecules25215090

