Abstract
Singlet oxygen ene reactions produce 2-(tert-butyl)-4a-hydroperoxy-3-methyl-2,4a, 5,6,7,8-hexahydroquinazolin-4(3H)-one quantitatively during diffusion crystallization of 2-(tert-butyl)-3-methyl-2,3,5,6,7,8-hexahydroquinazolin-4(1H)-one in n-hexane/CH2Cl2 solvent mixture. To confirm this photo-oxidation, a 1H-NMR study in CDCl3 was performed with exposure to ambient conditions (light and oxygen), with neither additional reactants nor catalysts. A theoretical study at the B3LyP/6311++G** level using the QST2 method of locating transition states suggests a two-step mechanism where the intermediate, which unexpectedly did not come from the peroxide intermediate, has a low activation energy.
1. Introduction
Molecular oxygen is a key agent in a variety of photooxidation processes [1,2]. As a reagent, there are mainly three pathways to incorporate molecular oxygen into the product: (1) by the triplet 3O2, which plays the role of a radical scavenger agent; (2) by the superoxide radical anion generated through a single electron transfer (SET) process; and (3) by the singlet 1O2 which is usually produced through the energy transfer between the excited photocatalyst and 3O2 [3,4]. Photooxidative reactions involve initial light absorption by so-called photosensitizers, which then transfer the absorbed energy to other molecules, including dissolved oxygen (3O2) [5,6,7]. Olefins containing allylic hydrogen could form allylic hydroperoxides under the action of singlet oxygen [8,9]. Direct and selective oxygenation of C-H bonds to C-O bonds are still associated with challenges, such as harsh reaction conditions, as well as the use of expensive transition metal catalysts and the use of oxidant reagents in stoichiometric amounts. If these reactions can be achieved using metal-free catalysts, this could contribute to the development of green chemistry [10,11,12]. In this way, singlet molecular oxygen 1O2 plays a growing role in many processes. For example, the 1O2-mediated allylic oxidation was used as an essential step in the synthesis of natural products or their synthetic analogues [13]. Although this reaction has been studied for many years, its mechanistic details are still a matter of debate either by theoretical or experimental results [13].
Herein we report a hydroperoxidated product (12) by a spontaneous photooxidation where hexahydroquinazolinone (11) is crystallized by overnight diffusion in an n-hexane/CH2Cl2 (80:20) solvent mixture, Scheme 1. The scheme makes use of oxygen in the environment and at the same time is able to avoid the use of photosensitizers (metallic catalysts or natural colorants), which is a constant challenge [14,15].
Scheme 1.
Spontaneous photooxidation reaction of 11.
2. Results and Discussion
A recent topic of our research group has been the total reduction of the aromatic ring in 4-quinazolin-(1H)-one (3). Here, enantiomerically pure quinazolinone 3 was reduced diastereoselectively by hydrogenation with PtO2 resulting in octahydroquinazolinone diastereomers 4, 5, and 6 in a ratio of 6:3:1. We found that the resulting cis-annelated derivatives 4 and 5 could be epimerized in the presence of KOtBu, giving the corresponding trans-fused derivatives 6 and 7, respectively, in good yields (Scheme 2) [16].
Scheme 2.
Hydrogenation reaction of quinazolinone 3.
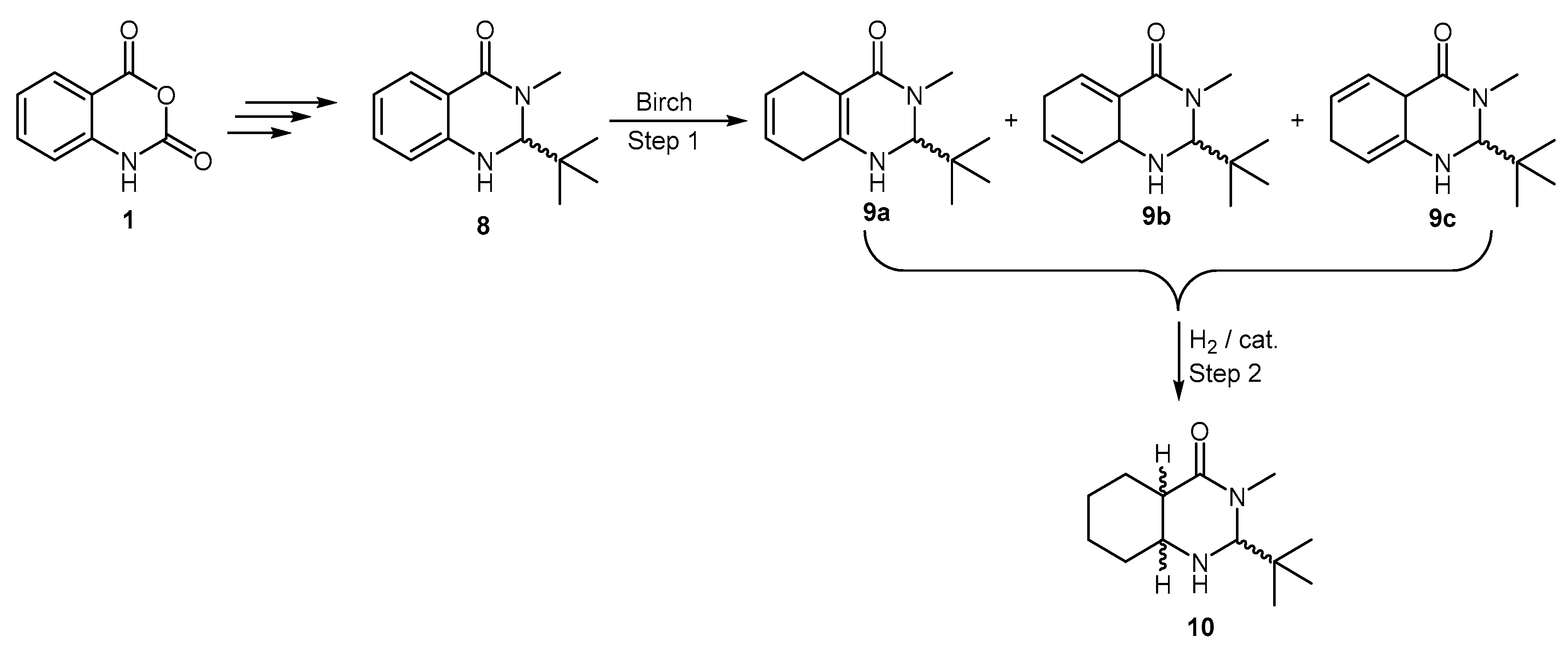
In the search for a new synthesis route with the same purpose as in 3, quinazolinone 8 was proposed as a starting material and via Birch reduction [17], generating the possible intermediates 9a–c. Afterwards, without purification, the catalytic hydrogenation of olefin [18] systems produce octahydroquinazolinone 10, as shown in Scheme 3.
Scheme 3.
Design of the total reduction of the aromatic ring of quinazolinone 8 in stages.
Previously, our research was focused on the preparation of the starting material (8) following the methodology reported in [19] where a reaction between isatoic anhydride 1 and methylamine in ethyl acetate at 40 °C results in the corresponding aminobenzamide 2 in 92% yield. In this work, instead, 8 is produced by the cyclocondensation of 2 with pivalaldehyde in dichloromethane and p-toluenesulfonic acid monohydrate with 90% yield (Scheme 4).
Scheme 4.
Synthesis of quinazolinone (8).
The result is confirmed by a X-ray diffraction from suitable single-crystal where the tert-butyl group of quinazolinone (8) is shown to adopts a pseudo-axial conformation (Figure 1).
Figure 1.
Structure and single-crystal X-ray diffraction of quinazolinone (8) showing the pseudo-axial conformation of tert-butyl group.
The Birch reduction of quinazolinone (8) was carried out (stage 1), without purification, and we proceeded with stage 2 (catalytic hydrogenation). When the product of step 2 was purified by column chromatography and characterized by 1H-NMR, hexahydroquinazolinone (11) (yield 28%, Scheme 5) was obtained instead of 10.
Scheme 5.
Stepwise reduction of quinazolinone (8).
The 1H-NMR spectrum of 11 shows a tert-butyl signal at 0.92 ppm, N-Me at 3.06 ppm, and C2 hydrogen at 4.2 ppm. The lack of an aromatic zone signals and two multiple signals between 1.41–1.74 and 2.04–2.27 ppm are of the new methylenes previously from the aromatic ring of 8, which indicates that only partial reduction occurred.
Once the amorphous solid product 11 was characterized, it was recrystallized by diffusion overnight in n-hexane/CH2Cl2 (80:20) solvent mixture (Scheme 6).
Scheme 6.
Recrystallization by diffusion of 11 overnight.
Finally, after filtering, hexahydroquinazolinone (12) (Figure 2) was obtained whose structure was also confirmed by X-ray diffraction where a hydroperoxy group at the alpha position to the carbonyl group was noted.
Figure 2.
Structure and single-crystal X-ray diffraction of hexahydroquinazolinone (12). It should be noted that the hydroperoxy group is oriented to the opposite side as the tert-butyl group.
As expected, the orientation of the tert-butyl group in a pseudo-axial position in quinazolinone (8) (Figure 1) causes a significant steric effect and as a consequence, which forced the hydroperoxide group to attach to the opposite side, as observed in the X-ray structure of compound 12.
The 1H-NMR spectrum of the compound 12 shows the tert-butyl signals at 0.98 ppm, N-Me at 3.05 ppm, the single signal for C2 hydrogen at 4.86 ppm, and aliphatic hydrogens between 1.55 and 2.89, respectively. In addition, from the characteristic signals of compound 12, the 13C-NMR spectrum also shows the quaternary signals for C8a at 170.32 ppm and C4a at 76.32 ppm.
To confirm that the hydroperoxidized compound 12 was produced by a photooxidation reaction by exposure to ambient conditions, a kinetic study was carried out by means of 1H-NMR (Figure 3). Once compound 11 was purified, its 1H-NMR spectrum was immediately acquired (t0 = 0 h), and the characteristic signals of this product were noted. After 72 h (t1) and without opening the NMR tube, a spectrum was acquired again.
Figure 3.
Kinetic study by 1H-NMR of environmental exposure of 11.
It is interesting to observe that the signals at 1.00 ppm (10′), 3.06 ppm (11′), and 4.84 ppm (2′) ppm at (t1) already increased, albeit only slightly. These signals eventually developed to be the corresponding hydrogens of 12 mentioned above. This is to show that even with the short span of light exposure before the first spectrum was obtained, the small amount of oxygen remained inside the NMR tube was enough to react with compound 11.
Next, the NMR tube was exposed to the laboratory ambient conditions for three days with the spectrum obtained every 24 h (t2 = 96 h, t3 = 120 h, and t4 = 144 h). The spectrum of t4 shows that, by then, most of 11 was transformed into product 12. It is important to comment that during the exposure time the volume of CDCl3 decreased, hence it was necessary to maintain a volume of 0.5 mL when spectra were taken.
It is also noted that, in 1H-NMR spectra, only signals corresponding to raw materials and products are observed, confirming the high yield and absence of competing mechanisms. This result demonstrates that the oxygen in the environment is responsible for the photooxidation reaction of compound 11 when it was recrystallized overnight.
To demonstrate that the absence of oxygen does not allow the hydroperoxidation reaction to occur, compound 11 was placed in a closed vial and after 72 h we observed only the original compound by TLC (from left, first spot with a Rf = 0.68, Figure 4). On the other hand, when 11 was placed in an open vial and covered with aluminum foil for 14 h, 12 was observed by TLC (Rf = 0.96, second spot). The third spot from the left (marked M) corresponds to a mixture of 11 and 12, with the right spot, 12 as a reference.
Figure 4.
Thin layer chromatography (hexane:AcOEt, 6:4) for (1b) without oxygen, (C) with oxygen and covered with aluminum foil, (M) mixture of 11 and 12, and (OOH) compound 12 for reference.
To confirm the role of light in the reaction, a control TLC experiment was also performed. Compound 11 was placed in a vial under a N2 atmosphere and covered with aluminum foil for 24 h which resulted in only 11 was observed with Rf = 0.35 (Figure 5).
Figure 5.
Thin layer chromatography (hexane:AcOEt, 8:2) of (Rx) in N2 atmosphere and without light; compound 12 for reference.
Furthermore, the reaction occurs very quickly, for even a short exposure to light and oxygen was sufficient to show traces of 12, as can be seen in t0 in Figure 3. Finally, we found that with exposure to light for 6 h we were able to obtain the same result as overnight crystallization.
To confirm the importance of light exposure, it was necessary to make a detailed analysis of the kinetic study of Figure 3. Thus, Table 1 shows the 1H-NMR proportions of the raw material 11 and product 12. Figure 6 illustrates the data in Table 1, where we can see that there is a sharp change in the rate of formation of 12 after 72 h where light was introduced to the vial.
Table 1.
Proportions of compounds 11 and 12 by 1H-NMR.
Figure 6.
Proportion of 12 and time by 1H-NMR. Percentage of 12 was calculated relative to the signals of tert-butyl groups of 11 and 12.
Based on the experimental evidence that has been shown, a possible reaction mechanism for the formation of hydroperoxidized 12 is proposed in Scheme 7.
Scheme 7.
Proposed mechanism for the formation of product 12.
We argue that hydroperoxided 12 comes from the intermediate 11 through a Schenck reaction, also called an ene reaction, which additionally involves the singlet oxygen (1O2) as a reactant (Scheme 8) [20,21].
Scheme 8.
Spontaneous ene reaction of compound 11.
In a previous study [22], we showed that, in the presence of light, photoinduced elimination of the tert-butyl group in quinazolinones achieved a high reactivity. This gives us motive to propose (Figure 7) that 11 could also absorb energy from light to give 11* and interact with oxygen from the environment (3O2) to give rise to the formation of singlet oxygen (1O2) through an energy transfer mechanism [23], which would result in a self-sensitizing process [24].
Figure 7.
Formation of singlet oxygen (1O2).
The general proposed pathway consists of two variants: A concerted or a stepwise mechanism [13]. The concerted pathway requires both a hydrogen atom at the allylic position and a favorable geometry in order to access the transition state kinetically [25]. Since the right-hand side ring has locked the amine hydrogen in its position, making it too rigid to be able to form a bond with the oxygen molecule, we eliminate this pathway.
For the stepwise mechanism, we explore probable intermediates following the theoretical and experimental study by Alberti and Orfanopoulos [13]. For our theoretical model, we have removed the cyclohexane ring from 11 to form 11′ (Scheme 9). The complete molecule 11 was used in a detailed study of orbital analysis, whereas model 11′ was used in order to reduce the computational cost in subsequent calculations of both locating the transition state and its confirmation by IRC.
Scheme 9.
Proposed model molecule 11′, which comes from 11.
To validate the use of 11′, as a preliminary study we performed an orbital analysis of both 11 and 11′ at the B3LYP/6-311++G** level where we observed that 11′ shares a very similar HOMO and LUMO with 11. This strongly suggests the use of 11′ in explore the second pathway. The product 12′ is defined in the same way.
As suggested by Alberti and Orfanopoulos [13], we consider the following intermediates: (a) biradical/dipolar, (b) perepoxide, and (c) 1,2-dioxetane (Figure 8).
Figure 8.
The proposed intermediates studied of the peroxidation reaction: (a) Biradical or zwitterion (dipolar), (b) perepoxide, and (c) 1,2-dioxetane.
Geometries of these intermediates were optimized at the same theoretical level which we found that only the Zwitterionic and the 1,2-dioxetane intermediates (labeled herein after as IZ and ID intermediates, respectively) were able to converge to stable structures whereas the perepoxide intermediate resulted in the partial dissociation of the oxygen molecule from 11′.
In the next step, with the optimized structure of 11′ and 1O2 as reactant and IZ as product, the corresponding TS1Z were collocated by the QST2 method. This transition state is the result of a nucleophilic attack from the α-carbon of the α,β-unsaturated system to the electrophilic 1O2 (Figure 9a). The second transition state TS1D, from the same reaction of 11′ and 1O2 where ID is the product, shows the first oxygen···α-carbon bond (Figure 9b) while the nucleophilic attack from the second oxygen to the positive β-carbon to form the second bond strongly suggests a second intermediate.
Figure 9.
TS from QST2 calculation starting from the 1O2 and 11′ as reactants, and: (a) the dipolar intermediate, TS1Z (E = −687.577821 Hartree) or (b) the 1,2-dioxetane, TS1D (E = −687.562242 Hartree) as product.
Results from IRC calculations which connect a transition state to the correct reactant and product show that TS1Z leads to the intermediate IZ whereas TS1D did not lead to the reactants 11′ and 1O2 but to IZ instead. Combining the two results gives us a two-step mechanism: the first transition state leads to intermediate IZ. From there, a second transition state leads to the second intermediate ID.
In the next step, again we use the combination of QST2 and IRC methods to study the reactions between intermediates IZ, ID and the final product 12′. For the formation of 12′ from intermediate IZ we found a six-member transition state TS2Z where a nucleophilic attack of the negatively charged oxygen to the partially positive hydrogen attached to the nitrogen atom N1 is observed (Figure 10). IRC calculations were used to confirm the connection between this transition state to intermediate IZ and 12′, respectively.
Figure 10.
TS2Z from QST2 calculation starting from the IZ as reactant and the hydroperoxide as product P (E = −687.571828 Hartree).
The transition state of the reaction between intermediate ID and 12′, however, is the same as TS1Z since the hydrogen atom at the N1 position, again due to its rigid conformation, cannot participate and, as a result, the reaction proceeds to the same TS1Z transition state.
Finally, taking into account all the hitherto theoretical and experimental evidence, we propose the following mechanism for the transformation of 11 to 12. In the first step, the singlet oxygen molecule approaches 11 from the opposite site of the tert-Bu substituent, then a nucleophilic attack to the α-carbon results in an unstable dipolar/zwitterion intermediate IZ via the transition state TS1Z. The X-ray diffraction structure (Figure 2) gives evidence supporting this step. In the second step, another intermolecular nucleophilic attack from the remaining free oxygen of the peroxide to the positively-charged hydrogen (at N1) via the second transition state TS2Z that leads to the final product 12 (Scheme 10).
Scheme 10.
Reaction coordinate which describes the most probable reaction mechanism of the formation of 12 from 11.
To further confirm the proposed mechanism, in which the hydrogen atom plays a crucial role, an acetylation at N1 by means of a Birch reduction and catalytic hydrogenation were carried out in quinazolinone 8. Subsequently, purification of compound 11 N-acylation was performed, obtaining compound 13 (Scheme 11).
Scheme 11.
Synthesis of 13.
Product 13 was then crystallized in the same way as for compound 11 (Scheme 12). Subsequently, the crystals was obtained and analyzed by 1H and 13C NMR, and it was confirmed that photooxidation did not occur. In the 1H-NMR spectrum, signals of tert-butyl are observed at 0.89 ppm, N-Me at 2.13 ppm, and a protecting group of hydrogens remains at 3.03 ppm. On the other hand, in the 13C-NMR spectrum, four quaternary carbons are observed: two carbonyls at 163.5 and 170.8 ppm, C4a at 122.3 ppm, and C8a 140.9 ppm.
Scheme 12.
Overnight crystallization of 13.
The single crystals obtained from compound 13 were diffracted; again, the X-ray structure shows a pseudo-axial position of the tert-butyl group in the acquired structure (Figure 11).
Figure 11.
Structure and X-ray diffraction of hexahidroquinazolinone (13).
We have shown that by exchanging allylic hydrogen in N1, the photooxidation of compound 13 does not occur under crystallization by diffusion. We suggest that the stability of hexahydroquinazolinone (13) increases and as a result the pair of electrons is not available to promote the nucleophilic attack of the Cα on singlet oxygen (Scheme 7).
1H-NMR evidence shows that the photooxidation reaction of 11 occurs in good yield. However, the corresponding yield of the precursor 11 was rather low. It has been reported [26,27,28,29,30] that endocyclic enamines can be rearomatized in the presence of catalysts, such as Pd/C, PdCl2, PdBr2, Pd(COD)2, Pd(OAc)2, or Pd(TFA)2. We note the enamine moiety of 11 (Scheme 1, purple box), which has been described as a possible product of the Birch reaction (step 1, Scheme 3). The same observation applies to 9a or 9c. These observations strongly suggest that the presence of Pd/C would accelerate the rearomatization process when catalytic hydrogenation takes place (Scheme 13). This would explain the low yields mentioned above.
Scheme 13.
Rearomatization of hexahidroquinazolinones (9a or 9c).
3. Materials and Methods
Dichloromethane, ethyl acetate, and hexane were distilled before use. Toluene, acetonitrile, tert-butanol, isatoic anhydride, methylamine, p-toluene sulfonic acid, pivalaldehyde, sodium bicarbonate, sodium sulfate, sodium, palladium/carbon, 4,4-dimethylamino pyridine, and acetyl chloride were acquired from Sigma-Aldrich (St. Louis, MI, USA) and used without further purification. Reactions were monitored by thin layer chromatography (TLC) on Al plates coated with silica gel with fluorescent indicator 60 F254 (Merck-Mexico, Mexico City, Mexico). Column chromatography was performed on silica gel 60 (0.040–0.063 mm, Merck-Mexico, Mexico City, Mexico).
3.1. Analytical Methods
NMR spectra of products as well as the proportions of each product in the reaction mixture were recorded on Varian Gemini at 200 MHz and Varian Mercury 400 MHz (1H-NMR), and 50 and 100 MHz (13C-NMR) spectrometers, using CDCl3 as a solvent and tretramethylsilane (TMS) as an internal standard. A mass spectrometric analysis was performed using an Agilent 6530 quadrupole time-of-flight (QTOF) LCMS with an electrospray ionization (ESI) source (Agilent Technologies, Santa Clara, CA, USA). A mass spectrometry analysis was conducted in positive ion mode, set for a detection of mass-to-charge ratio (m/z) of 100–1000. The X-ray structures were obtained using an APEX-Bruker apparatus.
3.2. Theorical Study
All calculations were carried out using the Gaussian 09 suite of programs [31]. Geometry optimizations were carried out at the B3LYP/6-311++G** level of theory [32,33,34,35,36] followed by characterization by frequency calculations at the same level of the theory, in which zero-point energy corrections (ZPE) and thermal corrections at the standard state (298.15 K and 1 atm) were obtained.
Initial geometry for the model molecule 11′ was constructed from the optimized geometry of 11 by substituting the cyclohexyl moiety by suitable hydrogen atoms. Similar methodology was applied in order to obtain the geometric parameters for the product, which has taken advantage of X-ray parameters from the obtained structure. The intermediates, such as perepoxide and biradical/dipolar, were constructed from the optimized geometry of 11′ placing the O2 residue into the endo position and then optimized at the same level of theory. In order to obtain the initial coordinates for the transition state, QST2 [37] calculations were performed starting from the product and reactants’ optimized geometries. The resulting transition states were confirmed by frequency calculation. An intrinsic reaction coordinate (IRC) calculation [38] was performed at the same level of theory in order to verify that the TS structure connects with the reactant and product. Coordinates for selected structures and thermochemistry data are given in the Supplementary Material.
3.3. Chemistry
3.3.1. Synthesis of 2-(tert-butyl)-3-methyl-2,3-dihydroquinazolin-4(1H)-one (8)
Quinazolinone (8) was prepared according to a known procedure [19] from isatoic anhydride (6 g, 30.68 mmol), methylamine in isobutanol (18.2 mL, 122.7 mmol), and ethyl acetate (50 mL). The resulting material was filtered and concentrated in a rotavapor. The crude mixture (2.06 g), p-toluenesulfonic acid (0.10 g, 5% w/w), pivalaldehyde (1.86 mL, 1.2 equiv.), and dichloromethane (60 mL) was refluxed for 5 h and the resulting material was filtered and evaporated under reduced pressure, purified over SiO2 using hexane-ethyl acetate (9:1 to 6:4). Its structure was confirmed by 1H and 13C-NMR, and compared with available information in the literature [18]. Yield: 2.71 g, 90%; white solid, mp: 145–146 °C. 1H NMR (200 MHz, CDCl3): δ 0.80 (s, 9H), 2.28 (s, 3H), 5.88 (s, 1H), 7.14–7.32 (m, 1H), 7.36 (dd, J = 7.6, 1.2 Hz, 1H), 7.55 (td, J = 7.7, 1.6 Hz, 1H), 7.67 (s, 1H), 8.02 (dd, J = 7.7, 1.7 Hz, 1H). 13C NMR (CDCl3, 50 MHz): δ 26.3, 38.5, 41.9, 79.9, 113.1, 116.6, 118.1, 128.1, 133.4, 146.5, 163.8. HREIMS m/z 218.1440 (calculated for C13H18N2O, 218.1419. Crystallographic data is deposited at Cambridge Crystallographic Data Center: CCDC no. 2006915.
3.3.2. Synthesis of 2-(tert-butyl)-3-methyl-2,3,5,6,7,8-hexahydroquinazolin-4(1H)-one (11)
Ammonia (50 mL) was condensed to −78 °C before the slow addition of 1.0 g (4.6 mmol) of 2-(tert-butyl)-3-methyl-2,3-dihydroquinazolin-4(1H)-one (8), and sodium (0.64 g, 28 mmol). The resulting solution was stirred for 30 min and then treated with 1.4 mL (14 mmol) of tert-butanol. The reaction mixture was stirred at this temperature for 1 h. The reaction was quenched adding ammonium chloride (0.64 g, 18.5 mmol). Ammonia was evaporated at ambient temperature and reaction crude was dissolved in dichloromethane, dried with Na2SO4 and the excess solvent was evaporated under reduced pressure. A suspension of reaction crude (0.8 g), Pd/C (0.04 g, 5% w/w), and methanol (60 mL) was placed in a 100 mL flask containing a stir bar, then the system was closed with a septum. Two balloons were placed with hydrogen and the reaction was stirred overnight. The reaction mixture was filtered and concentrated in a rotavapor, then purified by column chromatography on silica, eluting with hexane-ethyl acetate (9:1 to 2:8). Yield: 130 mg, 28%; light-yellow solid; mp: 134–137 °C. 1H NMR (200 MHz, CDCl3) δ 4.18 (d, 1H, J = 4.6 Hz, 1H), 3.88 (s, 1H), 3.06 (s, 3H), 2.27–2.04 (m, 4H), 1.77–1.36 (m, 4H), 0.91 (s, 9H). 13C NMR of this compound was acquired for 72 h, however many signals were observed due to the high reactivity of 11.
3.3.3. Synthesis of 2-(tert-Butyl)-4a-hydroperoxy-3-methyl-2,4a,5,6,7,8-hexahydroquinazolin- 4(3H)-one (12)
Hexahydroquinazolin-4(1H)-one 11 (0.071 g, 0.32 mmol) was dissolved in 2 mL dichloromethane inside a suitable test tube, then 8 mL of hexane was added carefully, the system was closed with a cotton septum and left exposed to the environment overnight. Compound 12 was thus isolated as a white crystal. Yield: 81 mg (quantitative); mp: 152–154 °C; 1H NMR (500 MHz, CDCl3) δ 1.02 (s, 9H), 1.55-1.67 (m, 3H), 1.94–1.97 (m, 1H), 2.08-2.11 (m, 1H), 2.39-2.47 (m, 2H), 2.94–2.95 (m, 1H) 3.10 (s, 3H), 4.90 (s, 1H). 13C NMR (125 MHz, CDCl3) δ 170.3, 168.6, 85.3, 76.3, 40.1, 37.0, 34.2, 33.7, 28.5, 27.2, 20.5. HREIMS m/z 254.1654 (calculated for C13H22N203, 254.1630). Crystallographic data is deposited at Cambridge Crystallographic Data Center: CCDC no. 2006916.
3.3.4. Synthesis of 1-Acetyl-2-(tert-butyl)-3-methyl-2,3,5,6,7,8-hexahydroquinazolin-4(1H)-one (13)
Hexahydroquinazolin-4(1H)-one (11) (0.8 g, 3.6 mmol), 4-dimethylaminopyridine (0.43 g, 3.6 mmol) and toluene/acetonitrile solution 9:1 (40 mL) was added to a 100 mL flask. It was placed in an ice bath and the system purged with nitrogen. Acetyl chloride (0.3 mL, 4.3 mmol) was added dropwise and the reaction was stirred overnight. The reaction crude was filtered, evaporated, and purified by column chromatography on silica, eluting with hexane-ethyl acetate (9:1 to 3:7). Yield: quantitative; white solid; mp: 146–148 °C; 1H NMR (200 MHz, CDCl3) δ 5.44 (s, 1H), 3.03 (s, 3H), 2.79–2.54 (m, 2H), 2.13 (s, 3H), 2.09–1.98 (m, 2H), 1.91–1.36 (m, 4H), 0.89 (s, 9H). 13C NMR (50 MHz CDCl3) δ 170.8, 163.5, 122.3, 38.4, 37.1, 30.5, 27.1, 27.0, 24.1, 22.6, 22.5, 21.6. HREIMS m/z 264.1843 (calculated for C15H24N202, 264.1838). Crystallographic data is deposited at Cambridge Crystallographic Data Center CCDC: no. 2007030.
4. Conclusions
We have shown that the photooxidation reaction of compound 11 occurs in the absence of sensitizers and only with exposure to ambient air. 1H-NMR kinetics evidence also shows that it is a process with very reasonable yield. The presence of allylic hydrogen in N-H bond plays an important role in the mechanism which facilitates the nucleophilic attack of α-C by singlet oxygen, and in the formation of the six-member cyclical transition state. The low yield of compound 11 could be explained by the aromatization reaction of enamines in the presence of Pd/C. Theoretical study supports a stepwise mechanism for the ene reaction between 11 and 1O2. The two-step reaction proceeds via a dipolar intermediate in which the first TS corresponds to the nucleophilic attack of the α-carbon to the 1O2 yielding the dipolar intermediate. The second step involves a nucleophilic attack from the negative oxygen to the partial positive hydrogen leading to the final product 12. Applications of this methodology to other related 4-quinazolinone derivatives are currently being carried out in our laboratory.
Supplementary Materials
The following are available online, Figure S1: 1H spectrum (200 MHz, CDCl3) of 8, Figure S2: 13C spectrum (100 MHz, CDCl3) of 8, Figure S3: 1H spectrum (200 MHz, CDCl3) of 11, Figure S4: 13C spectrum (50 MHz, CDCl3) of 11, Figure S5: 1H spectrum (500 MHz, CDCl3) of 12, Figure S6: 13C spectrum (125 MHz, CDCl3) of 12, Figure S7: 1H spectrum (200 MHz, CDCl3) of 13, Figure S8: 13C spectrum (50 MHz, CDCl3) of 13, Figure S9: Cartesian coordinates from optimized structure of 11 at the B3LYP/6-311++G** level of theory, Figure S10: Cartesian coordinates from optimized structure of 12 at the B3LYP/6-311++G** level of theory, Figure S11: Cartesian coordinates from optimized structure of the R at the B3LYP/6-311++G** level of theory, Figure S12: Cartesian coordinates from optimized structure of the P at the B3LYP/6-311++G** level of theory, Figure S13: Cartesian coordinates from optimized structure of the TS1Z at the B3LYP/6-311++G** level of theory, Figure S14: Cartesian coordinates from optimized structure of the TS1D at the B3LYP/6-311++G** level of theory, Figure S15: Cartesian coordinates from optimized structure of the TS2Z at the B3LYP/6-311++G** level of theory, Figure S16: Cartesian coordinates from optimized structure of the TS2D at the B3LYP/6-311++G** level of theory, Figure S17: Cartesian coordinates from optimized structure of the IZ at the B3LYP/6-311++G** level of theory, Figure S18: Cartesian coordinates from optimized structure of the ID at the B3LYP/6-311++G** level of theory, Table S1: Crystal data and structure refinement for 135leo (2-(tert-butyl)-3-methyl-2,3-dihydroquinazolin-4(1H)-one (8)), Table S2: Crystal data and structure refinement for leo144a (2-(tert-butyl)-4a-hydroperoxy-3-methyl-2,4a,5,6,7,8-hexahydroquinazolin-4(3H)-one (12), Table S3: Crystal data and structure refinement for redn (1-acetyl-2-(tert-butyl)-3-methyl-2,3,5,6,7,8-hexahydroquinazolin-4(1H)-one (13), Table S4: Bond Lengths for 135leo (2-(tert-butyl)-3-methyl-2,3-dihydroquinazolin-4(1H)-one (8)), Table S5: Bond Angles for 135leo (2-(tert-butyl)-3-methyl-2,3-dihydroquinazolin-4(1H)-one (8)), Table S6 Hydrogen Atom Coordinates (Å×104) and Isotropic Displacement Parameters (Å2×103) for 135leo (2-(tert-butyl)-3-methyl-2,3-dihydroquinazolin-4(1H)-one (8)), Table S7: Crystal data and structure refinement for leo144a (2-(tert-butyl)-4a-hydroperoxy-3-methyl-2,4a,5,6,7,8-hexahydroquinazolin-4(3H)-one (12), Table S8: Fractional Atomic Coordinates (×104) and Equivalent Isotropic Displacement Parameters (Å2×103) for leo144a (2-(tert-butyl)-4a-hydroperoxy-3-methyl-2,4a,5,6,7,8-hexahydroquinazolin-4(3H)-one (12) Ueq is defined as 1/3 of of the trace of the orthogonalised UIJ tensor, Table S9: Anisotropic Displacement Parameters (Å2×103) for leo144a (2-(tert-butyl)-4a-hydroperoxy-3-methyl-2,4a,5,6,7,8-hexahydroquinazolin-4(3H)-one (12). The Anisotropic displacement factor exponent takes the form: -2π2[h2a*2U11+2hka*b*U12+…], Table S10: Bond Lengths for leo144a (2-(tert-butyl)-4a-hydroperoxy-3-methyl-2,4a,5,6,7,8-hexahydroquinazolin-4(3H)-one (12), Table S11: Bond Angles for leo144a (2-(tert-butyl)-4a-hydroperoxy-3-methyl-2,4a,5,6,7,8-hexahydroquinazolin-4(3H)-one (12), Table S12: Torsion Angles for leo144a (2-(tert-butyl)-4a-hydroperoxy-3-methyl-2,4a,5,6,7,8-hexahydroquinazolin-4(3H)-one (12), Table S13: Hydrogen Atom Coordinates (Å×104) and Isotropic Displacement Parameters (Å2×103) for leo144a (2-(tert-butyl)-4a-hydroperoxy-3-methyl-2,4a,5,6,7,8-hexahydroquinazolin-4(3H)-one (12), Table S14: Crystal data and structure refinement for redn (1-acetyl-2-(tert-butyl)-3-methyl-2,3,5,6,7,8-hexahydroquinazolin-4(1H)-one (13), Table S15: Fractional Atomic Coordinates (×104) and Equivalent Isotropic Displacement Parameters (Å2×103) for redn (1-acetyl-2-(tert-butyl)-3-methyl-2,3,5,6,7,8-hexahydroquinazolin-4(1H)-one (13). Ueq is defined as 1/3 of of the trace of the orthogonalised UIJ tensor, Table S16: Anisotropic Displacement Parameters (Å2×103) for redn (1-acetyl-2-(tert-butyl)-3-methyl-2,3,5,6,7,8-hexahydroquinazolin-4(1H)-one (13). The Anisotropic displacement factor exponent takes the form: -2π2[h2a*2U11+2hka*b*U12+…], Table S17: Bond Lengths for redn (1-acetyl-2-(tert-butyl)-3-methyl-2,3,5,6,7,8-hexahydroquinazolin-4(1H)-one (13), Table S18: Bond Angles for redn (1-acetyl-2-(tert-butyl)-3-methyl-2,3,5,6,7,8-hexahydroquinazolin-4(1H)-one (13), Table S19: Hydrogen Atom Coordinates (Å×104) and Isotropic Displacement Parameters (Å2×103) for redn (1-acetyl-2-(tert-butyl)-3-methyl-2,3,5,6,7,8-hexahydroquinazolin-4(1H)-one (13).
Author Contributions
A.M., J.R.V.-C., and J.E. conceived and designed the experiments; J.E. wrote the paper. All authors have read and agreed to the published version of the manuscript.
Funding
This research received no external funding.
Acknowledgments
We would like to thank CONACyT for financial support (project no. CB2015/256653). Adrian Méndez gratefully acknowledges CONACyT for a scholarship (573014).
Conflicts of Interest
The authors declare no conflict of interest.
References
- Baklanov, A.V.; Parker, D.H. Weakly Bound Environment of Molecular Oxygen as a Catalyst of Photooxidation. Kinet. Catal. 2020, 61, 174–197. [Google Scholar] [CrossRef]
- Taniguchi, T. Strategy for the Use of Molecular Oxygen in Organic Synthesis. Synlett 2020, 31. [Google Scholar] [CrossRef]
- Bian, C.; Singh, A.K.; Niu, L.; Yi, H.; Lei, A. Visible-Light-Mediated Oxygenation Reactions using Molecular Oxygen. Asian J. Org. Chem. 2017, 6, 386–396. [Google Scholar] [CrossRef]
- Xie, X.; Zhang, Z.; Hu, Y.; Cheng, H. A mechanistic kinetic model for singlet oxygen mediated self-sensitized photo-oxidation of organic pollutants in water. Chem. Eng. J. 2018, 334, 1242–1251. [Google Scholar] [CrossRef]
- Rontani, J.F.; Belt, S.T. Photo-and autoxidation of unsaturated algal lipids in the marine environment: An overview of processes, their potential tracers, and limitations. Org. Geochem. 2020, 139, 103941. [Google Scholar] [CrossRef]
- Davies, M.J. Singlet oxygen-mediated damage to proteins and its consequences. Biochem. Biophs. Res. Commun. 2003, 305, 761–770. [Google Scholar] [CrossRef]
- Srivastava, V.; Singh, P.K.; Singh, P.P. Eosin Y catalysed visible-light mediated aerobic oxidation of tertiary amines. Tetrahedron Lett. 2019, 60, 151041. [Google Scholar] [CrossRef]
- Zhang, M.; Lan, H.; Li, N.; Zhong, Q.; Zhu, H.; Liu, C.; Zhao, H.W. Photocatalyst-Free Singlet Oxygen-Induced Oxygenation: A Strategy for the Preparation of 5-Cyano-2-Pyridones Driven by Blue-Light Irradiation. J. Org. Chem. 2020, 85, 8279–8286. [Google Scholar] [CrossRef]
- Griesbeck, A.G.; Cho, M. Singlet oxygen addition to homoallylic substrates in solution and microemulsion: Novel secondary reactions. Tetrahedron Lett. 2009, 50, 121–123. [Google Scholar] [CrossRef]
- Zhang, Y.; Schilling, W.; Das, S. Metal-Free Photocatalysts for C-H Bond Oxygenation Reactions with Oxygen as the Oxidant. ChemSusChem 2019, 12, 2898–2910. [Google Scholar] [CrossRef]
- Fukuzumi, S.; Lee, Y.M.; Nam, W. Photocatalytic oxygenation reactions using water and dioxygen. ChemSusChem 2019, 12, 3931–3940. [Google Scholar] [CrossRef] [PubMed]
- He, J.; Hu, J.; Mo, X.; Hao, Q.; Fan, Z.; He, G.; He, Q. Novel photocatalyst nitrogen-doped simonkolleite Zn5(OH)8Cl2·H2O with vis-up-conversion photoluminescence and effective visible-light photocatalysis. Appl. Phys. A 2019, 125, 3. [Google Scholar] [CrossRef]
- Alberti, M.N.; Orfanopoulos, M. Unraveling the mechanism of the singlet oxygen ene reaction: Recent computational and experimental approaches. Chem. Eur. J. 2010, 16, 9414–9421. [Google Scholar] [CrossRef]
- Lanteri, D.; Quattrosoldi, S.; Soccio, M.; Basso, A.; Cavallo, D.; Munari, A.; Riva, R.; Lotti, N.; Moni, L. Regioselective photooxidation of citronellol: A way to monomers for functionalized bio-polyesters. Front. Chem. 2020, 8, 85. [Google Scholar] [CrossRef] [PubMed]
- Ghogare, A.A.; Greer, A. Using singlet oxygen to synthesize natural products and drugs. Chem. Rev. 2016, 116, 9994–10034. [Google Scholar] [CrossRef] [PubMed]
- Priego, J.; Flores, P.; Ortiz-Nava, C.; Escalante, J. Synthesis of enantiopure cis-and trans-2-aminocyclohexane-1-carboxylic acids from octahydroquinazolin-4-ones. Tetrahedron Asymmetry 2004, 15, 3545–3549. [Google Scholar] [CrossRef]
- Zimmerman, H.E. A mechanistic analysis of the Birch reduction. Acc. Chem. Res. 2012, 45, 164–170. [Google Scholar] [CrossRef]
- Méndez-Ochoa, A. Síntesis y Resolución de 4-Quinazolinonas y su Posible Utilidad en la Síntesis de Ácidos β-Aminociclohexancarboxílicos. Master’s Thesis, Autonomous Morelos State University, Morelos, Mexico, 2017. [Google Scholar]
- Escalante, J.; Ortíz-Nava, C.; Flores, P.; Priego, J.M.; García-Martínez, C. Synthesis, NMR and crystallographic studies of 2-substituted dihydroquinazolinones derived from (S)-phenylethylamine. Molecules 2007, 12, 173–182. [Google Scholar] [CrossRef]
- Schenck, G.O. Understanding and Manipulating Excited-State Processes. German Patent DE-B 933925, 6 October 1955. [Google Scholar]
- Schenck, G.O.; Eggert, H.; Denk, W. Photochemische Reaktionen III. Über die Bildung von Hydroperoxyden bei photosensibilisierten Reacktionen von O2 mit geeigneten Akzeptoren, insbesondere mit α- und β-Pinen. Liebigs Ann. Chem. 1953, 584, 177. [Google Scholar] [CrossRef]
- Cabrera-Rivera, F.A.; Ortíz-Nava, C.; Escalante, J.; Hernández-Pérez, J.M.; Hô, M. Photoinduced elimination in 2,3-dihydro-2-tert-butyl-3-benzyl-4 (1H)-quinazolinone: Theoretical calculations and radical trapping using TEMPO derivatives. Synlett 2012, 23, 1057–1063. [Google Scholar]
- Aganda, K.C.C.; Hong, B.; Lee, A. Aerobic α-Oxidation of N-Substituted Tetrahydroisoquinolines to Dihydroisoquinolones via Organo-photocatalysis. Adv. Synth. Catal. 2019, 5, 1124–1129. [Google Scholar] [CrossRef]
- Manju, T.; Manoj, N.; Braun, A.M.; Oliveros, E. Self-sensitized photooxidation of N-methyl phenothiazine: Acidity control of the competition between electron and energy transfer mechanisms. Photochem. Photobiol. Sci. 2012, 11, 1744–1755. [Google Scholar] [CrossRef]
- Davies, A.G.; Schiesser, C.H. A PM3 study of the reactions of propene with singlet oxygen and other enophiles. Tetrahedron 1991, 47, 1707–1726. [Google Scholar] [CrossRef]
- Cossy, J.; Belotti, D. Aromatization of enamines promoted by a catalytic amount of Pd/C. Synthesis of aromatic Amines. Org. Lett. 2002, 4, 2557–2559. [Google Scholar] [CrossRef]
- Chen, Z.; Zeng, H.; Girard, S.A.; Wang, F.; Chen, N.; Li, C.J. Formal direct cross-coupling of phenols with amines. Angew. Chem. Int. Ed. 2015, 54, 14487–14491. [Google Scholar] [CrossRef]
- Qiu, Z.; Li, J.-S.; Li, C.-J. Formal aromaticity transfer for palladium-catalyzed coupling between phenols and pyrrolidines/indolines. Chem. Sci. 2017, 8, 6954–6958. [Google Scholar]
- Chen, S.; Liao, Y.; Zhao, F.; Qi, H.; Liu, S.; Deng, G.J. Palladium-catalyzed direct arylation of indoles with cyclohexanones. Org. Lett. 2014, 16, 1618–1621. [Google Scholar] [CrossRef]
- Jumde, V.R.; Petricci, E.; Petrucci, C.; Santillo, N.; Taddei, M.; Vaccaro, L. Domino hydrogenation–reductive amination of phenols, a simple process to access substituted cyclohexylamines. Org. Lett. 2015, 17, 3990–3993. [Google Scholar]
- Frisch, M.J.; Trucks, G.W.; Schlegel, H.B.; Scuseria, G.E.; Robb, M.A.; Cheeseman, J.R.; Scalmani, G.; Barone, V.; Petersson, G.A.; Nakatsuji, H.; et al. Gaussian 09; Revision, A.02; Gaussian, Inc.: Wallingford, CT, USA, 2016. [Google Scholar]
- Becke, A.D. Density-functional exchange-energy approximation with correct asymptotic behavior. Phys. Rev. A 1988, 38, 3098–3100. [Google Scholar] [CrossRef]
- Becke, A.D. Density-functional thermochemistry. IV. A new dynamical correlation functional and implications for exact-exchange mixing. J. Chem. Phys. 1996, 104, 1040–1046. [Google Scholar] [CrossRef]
- Lee, C.; Yang, W.; Parr, R.G. Development of the Colle-Salvetti correlation-energy formula into a functional of the electron density. Phys. Rev. B 1988, 37, 785–789. [Google Scholar] [CrossRef] [PubMed]
- Krishnan, R.; Binkley, J.S.; Seeger, R.; Pople, J.A. Self-consistent molecular orbital methods. XX. A basis set for correlated wave functions. J. Chem. Phys. 1980, 72, 650–652. [Google Scholar] [CrossRef]
- Gill, P.M.W.; Johnson, B.G.; Pople, J.A.; Frisch, M.J. The performance of the Becke—Lee—Yang—Parr (B—LYP) density functional theory with various basis sets. Chem. Phys. Lett. 1992, 197, 499–505. [Google Scholar] [CrossRef]
- Peng, C.; Schlegel, H.B. Combining Synchronous Transit and Quasi-Newton Methods to Find Transition States. Isr. J. Chem. 1993, 33, 449–454. [Google Scholar] [CrossRef]
- Fukui, K. The path of chemical reactions—The IRC approach. Acc. Chem. Res. 1981, 14, 363–368. [Google Scholar] [CrossRef]
Sample Availability: Small samples (a few milligrams) of the compounds 8, 12, and 13 are available from the authors. |
Publisher’s Note: MDPI stays neutral with regard to jurisdictional claims in published maps and institutional affiliations. |
© 2020 by the authors. Licensee MDPI, Basel, Switzerland. This article is an open access article distributed under the terms and conditions of the Creative Commons Attribution (CC BY) license (http://creativecommons.org/licenses/by/4.0/).























