Synthesis, Molecular Docking Screening and Anti-Proliferative Potency Evaluation of Some New Imidazo[2,1-b]Thiazole Linked Thiadiazole Conjugates
Abstract
1. Introduction
2. Results and Discussion
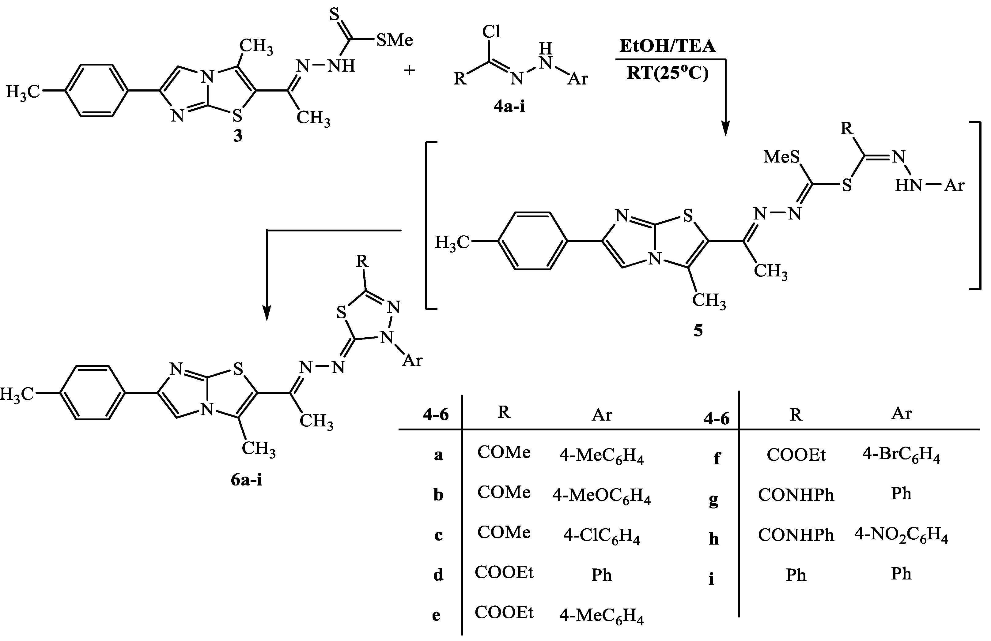
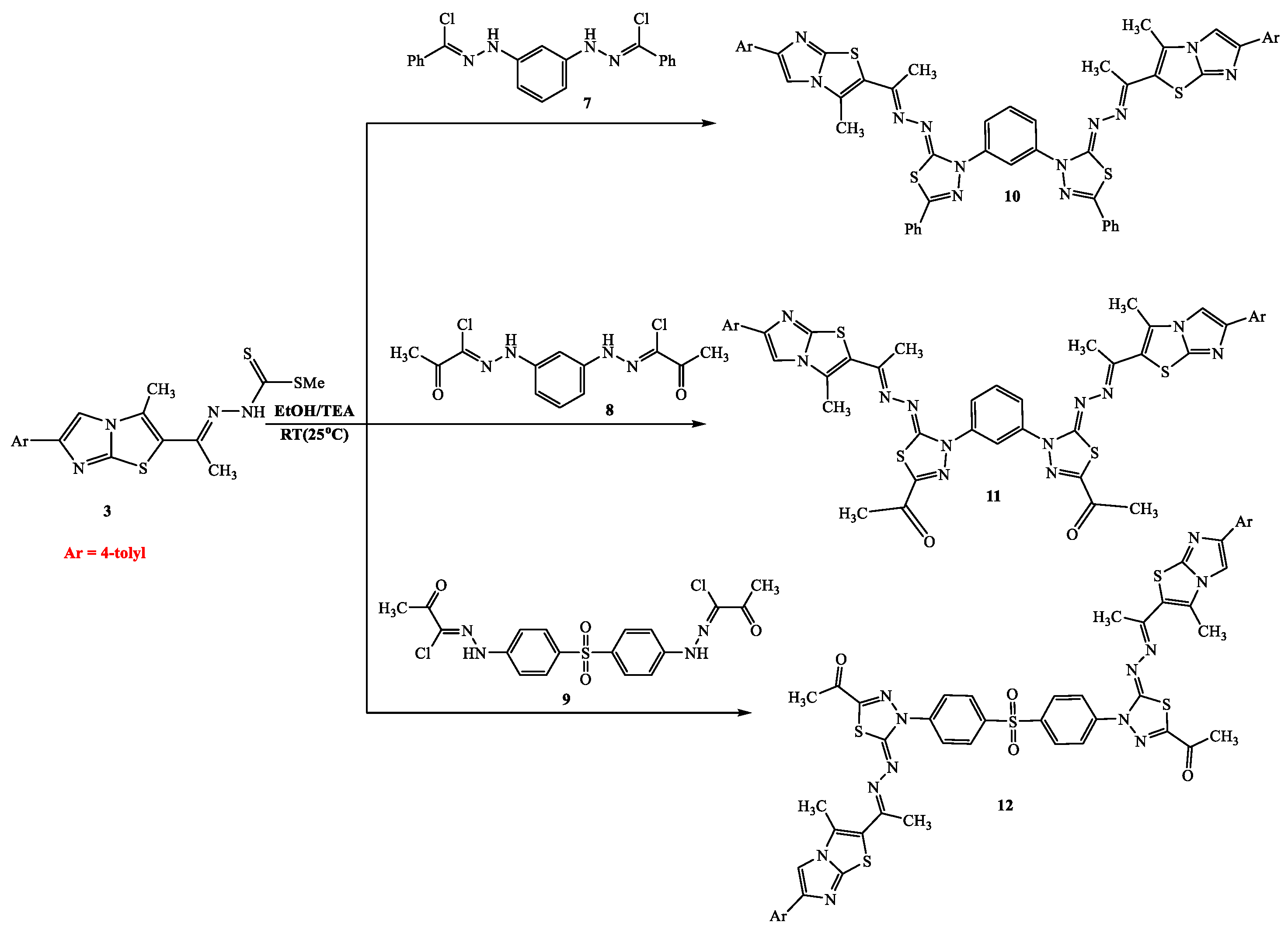
2.1. Chemistry
2.2. Anti-Proliferative Activity
2.3. Computational Studies
3. Conclusions
4. Experimental
4.1. Experimental Instrumentation
4.2. Synthesis of methyl 2-(1-(3-methyl-6-(p-tolyl)imidazo[2,1-b]thiazol-2-yl)ethylidene) hydrazinecarbodithioate (3)
4.3. Synthesis of 2-((1-((1,3,4-thiadiazolylidene)hydrazono)ethyl)-3-methyl-6-phenylimidazo[2,1-b]thiazoles (6a–i)
4.4. Synthesis of bis-thiadiazoles 10, 11 and 12
4.5. Anti-Proliferative Activity Cells
4.6. Compounds
4.7. An Anti-Proliferative Assay In Vitro
4.8. Cytotoxic Test SRB
4.9. In Silico Studies
Supplementary Materials
Author Contributions
Funding
Conflicts of Interest
References
- Kamal, A.; Dastagiri, D.; Ramaiah, M.J.; Reddy, J.S.; Bharathi, E.V.; Srinivas, C.; Pushpavalli, S.; Pal, D.; Pal-Bhadra, M. Synthesis of imidazothiazole-chalcone derivatives as anticancer and apoptosis inducing agents. ChemMedChem 2010, 5, 1937–1947. [Google Scholar] [CrossRef] [PubMed]
- Andreani, A.; Burnelli, S.; Granaiola, M.; Leoni, A.; Locatelli, A.; Morigi, R.; Rambaldi, M.; Varoli, L.; Calonghi, N.; Cappadone, C. New Antitumor Imidazo[2,1-b]thiazole Guanylhydrazones and Analogues1. J. Med. Chem. 2008, 51, 809–816. [Google Scholar] [CrossRef] [PubMed]
- Andreani, A.; Granaiola, M.; Leoni, A.; Locatelli, A.; Morigi, R.; Rambaldi, M.; Lenaz, G.; Fato, R.; Bergamini, C.; Farruggia, G. Potential Antitumor Agents. 37. Synthesis and Antitumor Activity of Guanylhydrazones from Imidazo[2,1-b]thiazoles and from the New Heterocyclic System Thiazolo [2′,3′:2,3] imidazo[4,5-c]quinoline. J. Med. Chem. 2005, 48, 3085–3089. [Google Scholar] [CrossRef]
- Andreani, A.; Granaiola, M.; Leoni, A.; Locatelli, A.; Morigi, R.; Rambaldi, M.; Varoli, L.; Lannigan, D.; Smith, J.; Scudiero, D. Imidazo[2,1-b]thiazole guanylhydrazones as RSK2 inhibitors. Eur. J. Med. Chem. 2011, 46, 4311–4323. [Google Scholar] [CrossRef] [PubMed]
- Kamal, A.; Balakrishna, M.; Nayak, V.L.; Shaik, T.B.; Faazil, S.; Nimbarte, V.D. Design and Synthesis of Imidazo[2,1-b]thiazole-Chalcone Conjugates: Microtubule-Destabilizing Agents. ChemMedChem 2014, 9, 2766–2780. [Google Scholar] [CrossRef] [PubMed]
- Andreani, A.; Granaiola, M.; Locatelli, A.; Morigi, R.; Rambaldi, M.; Varoli, L.; Calonghi, N.; Cappadone, C.; Farruggia, G.; Stefanelli, C. Substituted 3-(5-imidazo[2,1-b]thiazolylmethylene)-2-indolinones and analogues: Synthesis, cytotoxic activity, and study of the mechanism of action. J. Med. Chem. 2012, 55, 2078–2088. [Google Scholar] [CrossRef] [PubMed]
- Kaur, R.; Kaur, G.; Gill, R.K.; Soni, R.; Bariwal, J. Recent developments in tubulin polymerization inhibitors: An overview. Eur. J. Med. Chem. 2014, 87, 89–124. [Google Scholar] [CrossRef] [PubMed]
- Kamal, A.; Rao, A.S.; Reddy, T.S.; Polepalli, S.; Shaik, S.P.; Bagul, C.; Vishnuvardhan, M.; Jain, N. Aryl-imidazothiadiazole analogues as microtubule disrupting agents. MedChemComm 2015, 6, 1842–1856. [Google Scholar] [CrossRef]
- Duanmu, C.; Shahrik, L.K.; Ho, H.H.; Hamel, E. Tubulin-dependent hydrolysis of guanosine triphosphate as a screening test to identify new antitubulin compounds with potential as antimitotic agents: Application to carbamates of aromatic amines. Cancer Res. 1989, 49, 1344–1348. [Google Scholar]
- Vasquez, R.J.; Howell, B.; Yvon, A.; Wadsworth, P.; Cassimeris, L. Nanomolar concentrations of nocodazole alter microtubule dynamic instability in vivo and in vitro. Mol. Biol. Cell 1997, 8, 973–985. [Google Scholar] [CrossRef]
- Zou, X.-J.; Lai, L.-H.; Jin, G.-Y.; Zhang, Z.-X. Synthesis, fungicidal activity, and 3D-QSAR of pyridazinone-substituted 1,3,4-oxadiazoles and 1,3,4-thiadiazoles. J. Agric. Food Chem. 2002, 50, 3757–3760. [Google Scholar] [CrossRef] [PubMed]
- Chen, H.; Li, Z.; Han, Y. Synthesis and Fungicidal Activity against Rhizoctonia s olani of 2-Alkyl (Alkylthio)-5-pyrazolyl-1,3,4-oxadiazoles (Thiadiazoles). J. Agric. Food Chem. 2000, 48, 5312–5315. [Google Scholar] [CrossRef] [PubMed]
- Moise, M.; Sunel, V.; Profire, L.; Popa, M.; Desbrieres, J.; Peptu, C. Synthesis and biological activity of some new 1, 3, 4-thiadiazole and 1, 2, 4-triazole compounds containing a phenylalanine moiety. Molecules 2009, 14, 2621–2631. [Google Scholar] [CrossRef] [PubMed]
- Seltmann, J.; Marini, A.; Mennucci, B.; Dey, S.; Kumar, S.; Lehmann, M. Nonsymmetric bent-core liquid crystals based on a 1,3,4-thiadiazole core unit and their nematic mesomorphism. Chem. Mater. 2011, 23, 2630–2636. [Google Scholar] [CrossRef]
- Gomha, S.M.; Kheder, N.A.; Abdelhamid, A.O.; Mabkhot, Y.N. One pot single step synthesis and biological evaluation of some novel bis(1,3,4-thiadiazole) derivatives as potential cytotoxic agents. Molecules 2016, 21, 1532. [Google Scholar] [CrossRef]
- Gomha, S.M.; Abdel-aziz, H.M.; Khalil, K.D. Synthesis and SAR Study of the Novel Thiadiazole-Imidazole Derivatives as a New Anticancer Agents. Chem. Pharm. Bull. 2016, 64, 1356–1363. [Google Scholar] [CrossRef] [PubMed]
- Gomha, S.M.; Badrey, M.G.; Edrees, M.M. Heterocyclisation of 2,5-diacetyl-3,4-disubstituted-thieno [2,3-b] thiophene bis-thiosemicarbazones leading to bis-thiazoles and bis-1,3,4-thiadiazoles as anti-breast cancer agents. J. Chem. Res. 2016, 40, 120–125. [Google Scholar] [CrossRef]
- Krutzik, P.O.; Chamberlin, A.R. Rapid solid-phase synthesis of DNA-binding pyrrole-imidazole polyamides. Bioorganic Med. Chem. Lett. 2002, 12, 2129–2132. [Google Scholar] [CrossRef]
- Almerico, A.; Diana, P.; Barraja, P.; Dattolo, G.; Mingoia, F.; Putzolu, M.; Perra, G.; Milia, C.; Musiu, C.; Marongiu, M. Glycosidopyrroles. Part 2. Acyclic derivatives: 1-(1,3-dihydroxy-2-propoxy) methylpyrroles as potential antiviral agents. Farmaco 1997, 52, 667–672. [Google Scholar] [CrossRef] [PubMed]
- Ramazanzadeh, R.; Nasiri, F. Dimethyl 2-hydroxy-l-methyl-3-2-oxo-2-phenylethylidene-2-phenyl-1, 2-dihydro-3H-pyrrole-4, 5-dicarboxylate: A potential lead compound as anti-Gram-positive and anti-Gram-negative agent. J. Appl. Sci. 2009, 9, 2198–2200. [Google Scholar] [CrossRef]
- Baraldi, P.G.; Romagnoli, R.; Pavani, M.G.; del Carmen Nunez, M.; Bingham, J.P.; Hartley, J.A. Benzoyl and cinnamoyl nitrogen mustard derivatives of benzoheterocyclic analogues of the tallimustine: Synthesis and antitumour activity. Bioorg. Med. Chem. 2002, 10, 1611–1618. [Google Scholar] [CrossRef]
- Gomha, S.M.; Edrees, M.M.; El-Arab, E.E. Synthesis and Preliminary In-Vitro Cytotoxic Evaluation of Some Novel bis-Heterocycles Incorporating Thienothiophene. J. Heterocycl. Chem. 2017, 54, 641–647. [Google Scholar] [CrossRef]
- Abdelrazek, F.M.; Gomha, S.M.; Metz, P.; Abdalla, M.M. Synthesis of Some Novel 1,4-Phenylene-bis-thiazolyl Derivatives and Their Anti-hypertensive α-blocking Activity Screening. J. Heterocycl. Chem. 2017, 54, 618–623. [Google Scholar] [CrossRef]
- Gomha, S.M.; Edrees, M.M.; Altalbawy, F. Synthesis and characterization of some new bis-pyrazolyl-thiazoles incorporating the thiophene moiety as potent anti-tumor agents. Int. J. Mol. Sci. 2016, 17, 1499. [Google Scholar] [CrossRef] [PubMed]
- Gomha, S.M.; Abdelrazek, F.M.; Abdelrahman, A.H.; Metz, P. Synthesis of some novel thiazole, thiadiazole and 1, 4-phenylene-bis-thiazole derivatives as potent antitumor agents. Heterocycles Int. J. Rev. Commun. Heterocycl. Chem. 2016, 92, 954–967. [Google Scholar] [CrossRef]
- M Gomha, S.; M Riyadh, S.; M Abdalla, M. Solvent-drop grinding method: Efficient synthesis, DPPH radical scavenging and anti-diabetic activities of chalcones, bis-chalcones, azolines, and bis-azolines. Curr. Org. Synth. 2015, 12, 220–228. [Google Scholar] [CrossRef]
- Laskowski, R.A. PDBsum: Summaries and analyses of PDB structures. Nucleic Acids Res. 2001, 29, 221–222. [Google Scholar] [CrossRef]
- Pantsar, T.; Poso, A. Binding Affinity via Docking: Fact and Fiction. Molecules 2018, 23, 1899. [Google Scholar] [CrossRef]
- Abdelmonsef, A.H. Computer-aided identification of lung cancer inhibitors through homology modeling and virtual screening. Egypt. J. Med. Hum. Genet. 2019, 20, 6. [Google Scholar] [CrossRef]
- Abdelmonsef, A.H.; Mosallam, A.M. Synthesis, in vitro biological evaluation and in silico docking studies of new quinazolin-2,4-dione analogues as possible anticarcinoma agents. J. Heterocycl. Chem. 2020, 57, 1637–1654. [Google Scholar] [CrossRef]
- Ramatenki, V.; Potlapally, S.R.; Dumpati, R.K.; Vadija, R.; Vuruputuri, U. Homology modeling and virtual screening of ubiquitin conjugation enzyme E2A for designing a novel selective antagonist against cancer. J. Recept. Signal Transduct. 2015, 35, 536–549. [Google Scholar] [CrossRef] [PubMed]
- Release, S.; Version 2; Maestro, Schrödinger, LLC: New York, NY, USA, 2017.
- Prakash, T.B.; Reddy, G.D.; Padmaja, A.; Padmavathi, V. Synthesis and antimicrobial activity of amine linked bis-and tris-heterocycles. Eur. J. Med. Chem. 2014, 82, 347–354. [Google Scholar] [CrossRef] [PubMed]
- Feng, M.; Gao, W.; Wang, R.; Chen, W.; Man, Y.-G.; Figg, W.D.; Wang, X.W.; Dimitrov, D.S.; Ho, M. Therapeutically targeting glypican-3 via a conformation-specific single-domain antibody in hepatocellular carcinoma. Proc. Natl. Acad. Sci. USA 2013, 110, E1083–E1091. [Google Scholar] [CrossRef] [PubMed]
- Filmus, J.; Selleck, S.B. Glypicans: Proteoglycans with a surprise. J. Clin. Investig. 2001, 108, 497–501. [Google Scholar] [CrossRef]
- Baumhoer, D.; Tornillo, L.; Stadlmann, S.; Roncalli, M.; Diamantis, E.K.; Terracciano, L.M. Glypican 3 expression in human nonneoplastic, preneoplastic, and neoplastic tissues: A tissue microarray analysis of 4387 tissue samples. Am. J. Clin. Pathol. 2008, 129, 899–906. [Google Scholar] [CrossRef]
- Llovet, J.M.; Chen, Y.; Wurmbach, E.; Roayaie, S.; Fiel, M.I.; Schwartz, M.; Thung, S.N.; Khitrov, G.; Zhang, W.; Villanueva, A. A molecular signature to discriminate dysplastic nodules from early hepatocellular carcinoma in HCV cirrhosis. Gastroenterology 2006, 131, 1758–1767. [Google Scholar] [CrossRef]
- Zhu, Z.; Friess, H.; Wang, L.; Abou-Shady, M.; Zimmermann, A.; Lander, A.; Korc, M.; Kleeff, J.; Büchler, M. Enhanced glypican-3 expression differentiates the majority of hepatocellular carcinomas from benign hepatic disorders. Gut 2001, 48, 558–564. [Google Scholar] [CrossRef] [PubMed]
- Tripathi, A.; Fornabaio, M.; Kellogg, G.E.; Gupton, J.T.; Gewirtz, D.A.; Yeudall, W.A.; Vega, N.E.; Mooberry, S.L. Docking and hydropathic scoring of polysubstituted pyrrole compounds with antitubulin activity. Bioorg. Med. Chem. 2008, 16, 2235–2242. [Google Scholar] [CrossRef]
- Metwally, N.H.; Abdelrazek, F.M.; Eldaly, S.M. Synthesis, Molecular Docking, and Biological Evaluation of Some Novel Bis-heterocyclic Compounds Based N,N′-([1,1′-biphenyl]-4,4′-diyl)bis(2-cyanoacetamide) as Potential Anticancer Agents. J. Heterocycl. Chem. 2018, 55, 2668–2682. [Google Scholar] [CrossRef]
- Lipinski, C.A.; Lombardo, F.; Dominy, B.W.; Feeney, P.J. Experimental and computational approaches to estimate solubility and permeability in drug discovery and development settings. Adv. Drug Deliv. Rev. 1997, 23, 3–25. [Google Scholar] [CrossRef]
- Nisha, C.M.; Kumar, A.; Nair, P.; Gupta, N.; Silakari, C.; Tripathi, T.; Kumar, A. Molecular docking and in silico ADMET study reveals acylguanidine 7a as a potential inhibitor of β-secretase. Adv. Bioinform. 2016, 2016. [Google Scholar] [CrossRef] [PubMed]
- Sayed, S.M.; Khalil, M.A.; Ahmed, M.A.; Raslan, M.A. Synthesis of new pyridazin-6-ones, pyridazin-6-imines, 4-pyridazinals, and pyridines. Synth. Commun. 2002, 32, 481–495. [Google Scholar] [CrossRef]
- Vekariya, R.H.; Patel, K.D.; Vekariya, M.K.; Prajapati, N.P.; Rajani, D.P.; Rajani, S.D.; Patel, H.D. Microwave-assisted green synthesis of new imidazo[2,1-b]thiazole derivatives and their antimicrobial, antimalarial, and antitubercular activities. Res. Chem. Intermed. 2017, 43, 6207–6231. [Google Scholar] [CrossRef]
- Klayman, D.L.; Bartosevich, J.F.; Griffin, T.S.; Mason, C.J.; Scovill, J.P. 2-Acetylpyridine thiosemicarbazones. 1. A new class of potential antimalarial agents. J. Med. Chem. 1979, 22, 855–862. [Google Scholar] [CrossRef] [PubMed]
- Abdelhamid, A.O.; Fahmi, A.A.; Ali, A.B. Reactions with hydrazonoyl halides 66: Synthesis of some new 1,3,4-thiadiazoles, triazolino[4,3-a]pyrimidines and isoxazolo[3,4-d] pyridazines containing coumarin moiety. Eur. J. Chem. 2011, 2, 544–551. [Google Scholar] [CrossRef]
- Abdelhamid, A.O.; Mohamed, G.S. Reactions with hydrazonoyl halides XXIV [1]: Synthesis of some new unsymmetrical azines and dihydro-1,3,4-thiadiazoles. Phosphorus Sulfur Silicon Relat. Elem. 1999, 152, 115–128. [Google Scholar] [CrossRef]
- Abdelhamid, A.O.; Abdel-Riheem, N.A.; Emam, H.A. Reactions with Hydrazonoyl Halides. Part XXV. Synthesis of Some New 2,3-Dihydro-1,3,4-thiadiazoles and 5-Arylazothiazoles. J. Chem. Res. Synop. 1999, 532–533. [Google Scholar] [CrossRef]
- Feng, M.; Kim, H.; Phung, Y.; Ho, M. Recombinant soluble glypican 3 protein inhibits the growth of hepatocellular carcinoma in vitro. Int. J. Cancer 2011, 128, 2246. [Google Scholar] [CrossRef]
- Wang, S.; Chen, N.; Chen, Y.; Sun, L.; Li, L.; Liu, H. Elevated GPC3 level promotes cell proliferation in liver cancer. Oncol. Lett. 2018, 16, 970–976. [Google Scholar] [CrossRef]
- Boeckmann, B.; Bairoch, A.; Apweiler, R.; Blatter, M.-C.; Estreicher, A.; Gasteiger, E.; Martin, M.J.; Michoud, K.; O’donovan, C.; Phan, I. The SWISS-PROT protein knowledgebase and its supplement TrEMBL in 2003. Nucleic Acids Res. 2003, 31, 365–370. [Google Scholar] [CrossRef]
- Altschul, S.F.; Madden, T.L.; Schäffer, A.A.; Zhang, J.; Zhang, Z.; Miller, W.; Lipman, D.J. Gapped BLAST and PSI-BLAST: A new generation of protein database search programs. Nucleic Acids Res. 1997, 25, 3389–3402. [Google Scholar] [CrossRef] [PubMed]
- Šali, A.; Blundell, T.L. Comparative protein modelling by satisfaction of spatial restraints. J. Mol. Biol. 1993, 234, 779–815. [Google Scholar] [CrossRef] [PubMed]
- Krivák, R.; Hoksza, D. Improving protein-ligand binding site prediction accuracy by classification of inner pocket points using local features. J. Cheminform. 2015, 7, 12. [Google Scholar] [CrossRef]
- Huang, B. MetaPocket: A meta approach to improve protein ligand binding site prediction. Omics A J. Integr. Biol. 2009, 13, 325–330. [Google Scholar] [CrossRef] [PubMed]
- Konc, J.; Janežič, D. ProBiS: A web server for detection of structurally similar protein binding sites. Nucleic Acids Res. 2010, 38, W436–W440. [Google Scholar] [CrossRef] [PubMed]
- Dallakyan, S.; Olson, A.J. Chemical Biology; Springer: New York, NY, USA, 2015; pp. 243–250. [Google Scholar]
- Wang, Y.; Xing, J.; Xu, Y.; Zhou, N.; Peng, J.; Xiong, Z.; Liu, X.; Luo, X.; Luo, C.; Chen, K. In silico ADME/T modelling for rational drug design. Q. Rev. Biophys. 2015, 48, 488–515. [Google Scholar] [CrossRef] [PubMed]




| Compound | HepG2 IC50 ± SD[µg/mL] | BALAB/3T3 IC50 ± SD[µg/mL] |
|---|---|---|
| Doxorubicin | 3.56 ± 0.46 | 3.21 ± 0.32 |
| 3 | Nd | Nd |
| 6a | 63.32 ± 12.83 | 25.09 ± 12.00 |
| 6b | 59.20 ± 9.27 | Nd |
| 6c | Nd | Nd |
| 6d | 41.14 ± 8.32 | Nd |
| 6e | Nd | Nd |
| 6f | 57.52 ± 6.61 | Nd |
| 6g | 33.24 ± 8.25 | 76.72 ± 4.14 |
| 6h | Nd | Nd |
| 6j | 19.93 ± 3.28 | 35.65 ± 1.27 |
| 10 | 23.51 ± 4.48 | 26.24 ± 3.21 |
| 11 | Nd | Nd |
| 12 | 12.73 ± 1.36 | 8.34 ± 1.81 |
| Structure | Binding Affinity (kcal·mol−1) | Docked Complex (Amino Acid–Ligand) Interactions | Distance (Å) | |
|---|---|---|---|---|
| Ref. | ![]() | −8.60 | H-bonds reference—TYR255 reference—TYR255 reference—CYS401 reference—PRO267 | 2.94 2.95 2.30 1.87 |
| 3 | ![]() | −6.90 | π-cation interactions compound 3—ARG197 compound 3—ARG197 | 6.42 6.49 |
| 6a | ![]() | −9.40 | H-bonds compound 6a—-SER136 | 1.97 |
| 6b | ![]() | −9.11 | H-bonds compound 6b—SER136 | 1.99 |
| 6c | ![]() | −8.17 | H-bonds compound 6c—SER136 | 2.53 |
| 6d | ![]() | −8.15 | H-bonds compound 6d—GLN356 | 2.10 |
| 6e | ![]() | −8.11 | H-bonds compound 6e—GLN356 | 2.42 |
| 6f | ![]() | −7.91 | H-bonds compound 6f—GLN356 | 2.71 |
| 6g | ![]() | −9.30 | π-π interactions compound 6g—TYR357 | 4.45 |
| 6h | ![]() | −8.52 | H-bonds compound 6h—SER136 | 2.90 |
| 6i | ![]() | −9.03 | π-π interactions compound 6i—PHE144 compound 6i—PHE401 compound 6i—PHE401 | 4.81 4.82 4.02 |
| 10 | ![]() | −9.52 | π-π interactions compound 10—PHE398 | 5.69 |
| 11 | ![]() | −9.01 | π-π interactions compound 11—TYR408 | 4.17 |
| 12 | ![]() | −10.30 | π-π interactions compound 12—PHE398 | 4.75 |
| Blood-Brain Barrier (BBB+) | Human Intestinal Absorption (HIA+) | Caco-2 Permeability (Caco2+) | AMES Toxicity | Carcino-Genicity | |
|---|---|---|---|---|---|
| 3 | 0.726 | 0.992 | 0.535 | Nontoxic | Non carcinogenic |
| 6a | 0.898 | 1 | 0.559 | Nontoxic | Non carcinogenic |
| 6b | 0.907 | 1 | 0.55 | Nontoxic | Non carcinogenic |
| 6c | 0.872 | 1 | 0.541 | Nontoxic | Non carcinogenic |
| 6d | 0.884 | 1 | 0.53 | Nontoxic | Non carcinogenic |
| 6e | 0.884 | 1 | 0.53 | Nontoxic | Non carcinogenic |
| 6f | 0.849 | 0.997 | 0.533 | Nontoxic | Non carcinogenic |
| 6g | 0.857 | 0.996 | 0.556 | Nontoxic | Non carcinogenic |
| 6h | 0.784 | 0.993 | 0.528 | Nontoxic | Non carcinogenic |
| 6i | 0.9 | 0.994 | 0.588 | Nontoxic | Non carcinogenic |
| 10 | 0.9 | 0.994 | 0.588 | Nontoxic | Non carcinogenic |
| 11 | 0.9 | 0.997 | 0.536 | Nontoxic | Non carcinogenic |
| 12 | 0.532 | 0.95 | 0.567 | Nontoxic | Non carcinogenic |
| TPSA (A2) | HBA | HBD | n Rotatable | Volume (A3) | |
|---|---|---|---|---|---|
| 3 | 41.70 | 4 | 1 | 5 | 319.26 |
| 6a | 76.93 | 7 | 0 | 5 | 434.42 |
| 6b | 86.17 | 8 | 0 | 6 | 443.40 |
| 6c | 76.93 | 7 | 0 | 5 | 431.39 |
| 6d | 86.17 | 8 | 0 | 7 | 443.64 |
| 6e | 86.17 | 8 | 0 | 7 | 460.20 |
| 6f | 86.17 | 8 | 0 | 7 | 461.53 |
| 6g | 88.96 | 8 | 1 | 6 | 485.10 |
| 6h | 134.78 | 10 | 1 | 7 | 508.44 |
| 6i | 59.86 | 6 | 0 | 5 | 453.72 |
| 10 | 119.72 | 10 | 0 | 10 | 823.39 |
| 11 | 153.68 | 10 | 0 | 10 | 751.66 |
| 12 | 155.01 | 10 | 0 | 12 | 854.50 |
Sample Availability: Samples of the compounds are available from the authors. | |
Publisher’s Note: MDPI stays neutral with regard to jurisdictional claims in published maps and institutional affiliations. |
© 2020 by the authors. Licensee MDPI, Basel, Switzerland. This article is an open access article distributed under the terms and conditions of the Creative Commons Attribution (CC BY) license (http://creativecommons.org/licenses/by/4.0/).
Share and Cite
Rashdan, H.R.M.; Abdelmonsef, A.H.; Shehadi, I.A.; Gomha, S.M.; Soliman, A.M.M.; Mahmoud, H.K. Synthesis, Molecular Docking Screening and Anti-Proliferative Potency Evaluation of Some New Imidazo[2,1-b]Thiazole Linked Thiadiazole Conjugates. Molecules 2020, 25, 4997. https://doi.org/10.3390/molecules25214997
Rashdan HRM, Abdelmonsef AH, Shehadi IA, Gomha SM, Soliman AMM, Mahmoud HK. Synthesis, Molecular Docking Screening and Anti-Proliferative Potency Evaluation of Some New Imidazo[2,1-b]Thiazole Linked Thiadiazole Conjugates. Molecules. 2020; 25(21):4997. https://doi.org/10.3390/molecules25214997
Chicago/Turabian StyleRashdan, Huda R. M., Aboubakr H. Abdelmonsef, Ihsan A. Shehadi, Sobhi M. Gomha, Abdel Mohsen M. Soliman, and Huda K. Mahmoud. 2020. "Synthesis, Molecular Docking Screening and Anti-Proliferative Potency Evaluation of Some New Imidazo[2,1-b]Thiazole Linked Thiadiazole Conjugates" Molecules 25, no. 21: 4997. https://doi.org/10.3390/molecules25214997
APA StyleRashdan, H. R. M., Abdelmonsef, A. H., Shehadi, I. A., Gomha, S. M., Soliman, A. M. M., & Mahmoud, H. K. (2020). Synthesis, Molecular Docking Screening and Anti-Proliferative Potency Evaluation of Some New Imidazo[2,1-b]Thiazole Linked Thiadiazole Conjugates. Molecules, 25(21), 4997. https://doi.org/10.3390/molecules25214997















