Trifluoromethanesulfonamide vs. Non-Fluorinated Sulfonamides in Oxidative Sulfamidation of the C=C Bond: An In Silico Study
Abstract
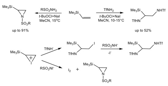
1. Introduction
2. Computational Details
3. Results and Discussion
3.1. Formation of Reactive Iodine-Containing Species
3.2. The Effect of the Sulfonamide Structure
3.3. Interactions between ButOCl(I), Alkene and Sulfonamide
3.4. Analysis of Reactivity of Sulfonamides, Mono- and Diiodosulfonamides
4. Conclusions
Supplementary Materials
Author Contributions
Funding
Conflicts of Interest
References
- Beller, M.; Tillack, A.; Seayad, J. Catalytic Amination Reactions of Olefins and Alkynes. Chemin 2005, 36, 10–1002. [Google Scholar] [CrossRef]
- Li, G.; Kotti, S.R.S.S.; Timmons, C. Recent Development of Regio- and Stereoselective Aminohalogenation Reaction of Alkenes. Chemin 2007, 38, 2745–2758. [Google Scholar] [CrossRef]
- Minakata, S. Utilization of N−X Bonds in The Synthesis of N-Heterocycles. Acc. Chem. Res. 2009, 42, 1172–1182. [Google Scholar] [CrossRef] [PubMed]
- Ghorab, M.M.; Ismail, Z.H.; Radwan, A.A.; Abdalla, M. Synthesis and pharmacophore modeling of novel quinazolines bearing a biologically active sulfonamide moiety. Acta Pharm. 2013, 63, 1–18. [Google Scholar] [CrossRef] [PubMed]
- Tačić, A.; Nikolić, V.; Nikolić, L.; Savić, I. Antimicrobial sulfonamide drugs. Adv. Technol. 2017, 6, 58–71. [Google Scholar] [CrossRef]
- Markov, V.I. Synthesis of substituted 1,2,3-triazoles via N-sulfonylaziridines. ARKIVOC 2006, 2005, 89. [Google Scholar] [CrossRef]
- Brunet, J.-J.; Neibecker, D.; Agbossou-Niedercorn, F. Functionalisation of alkenes: Catalytic amination of monoolefins. J. Mol. Catal. 1989, 49, 235–259. [Google Scholar] [CrossRef]
- Mansuy, D.; Mahy, J.-P.; Duréault, A.; Bedi, G.; Battioni, P. Iron- and manganese-porphyrin catalysed aziridination of alkenes by tosyl- and acyl-iminoiodobenzene. J. Chem. Soc. Chem. Commun. 1984, 1161. [Google Scholar] [CrossRef]
- Evans, D.A.; Bilodeau, M.T.; Faul, M.M. Development of the Copper-Catalyzed Olefin Aziridination Reaction. J. Am. Chem. Soc. 1994, 116, 2742–2753. [Google Scholar] [CrossRef]
- Cui, Y.; He, C. Efficient Aziridination of Olefins Catalyzed by a Unique Disilver(I) Compound. J. Am. Chem. Soc. 2003, 125, 16202–16203. [Google Scholar] [CrossRef]
- Evans, D.A.; Woerpel, K.A.; Hinman, M.M.; Faul, M.M. Bis(oxazolines) as chiral ligands in metal-catalyzed asymmetric reactions. Catalytic, asymmetric cyclopropanation of olefins. J. Am. Chem. Soc. 1991, 113, 726–728. [Google Scholar] [CrossRef]
- Lowenthal, R.E.; Masamune, S. Asymmetric copper-catalyzed cyclopropanation of trisubstituted and unsymmetrical cis-1,2-disubstituted olefins: Modified bis-oxazoline ligands. Tetrahedron Lett. 1991, 32, 7373–7376. [Google Scholar] [CrossRef]
- Li, Z.; Conser, K.R.; Jacobsen, E.N. Asymmetric alkene aziridination with readily available chiral diimine-based catalysts. J. Am. Chem. Soc. 1993, 115, 5326–5327. [Google Scholar] [CrossRef]
- Li, G.; Wei, H.-X.; Kim, S.H. Unexpected copper-catalyzed aminohalogenation reaction of olefins using N-halo-N-metallo-sulfonamide as the nitrogen and halogen sources. Tetrahedron 2001, 57, 8407–8411. [Google Scholar] [CrossRef]
- Ochiai, M.; Kaneaki, T.; Tada, N.; Miyamoto, K.; Chuman, H.; Shiro, M.; Hayashi, S.; Nakanishi, W. A New Type of Imido Group Donor: Synthesis and Characterization of Sulfonylimino-λ3-bromane that Acts as a Nitrenoid in the Aziridination of Olefins at Room Temperature under Metal-Free Conditions. J. Am. Chem. Soc. 2007, 129, 12938–12939. [Google Scholar] [CrossRef] [PubMed]
- Li, Z.; Quan, R.W.; Jacobsen, E.N. Mechanism of the (Diimine)copper-Catalyzed Asymmetric Aziridination of Alkenes. Nitrene Transfer via Ligand-Accelerated Catalysis. J. Am. Chem. Soc. 1995, 117, 5889–5890. [Google Scholar] [CrossRef]
- Omura, K.; Murakami, M.; Uchida, T.; Irie, R.; Katsuki, T. Enantioselective Aziridination and Amination Using p-Toluenesulfonyl Azide in the Presence of Ru(salen)(CO) Complex. Chem. Lett. 2003, 32, 354–355. [Google Scholar] [CrossRef]
- Hemming, K.; Chambers, C.S.; Jamshaid, F.; O’Gorman, P.A. Intramolecular Azide to Alkene Cycloadditions for the Construction of Pyrrolobenzodiazepines and Azetidino-Benzodiazepines. Molecules 2014, 19, 16737–16756. [Google Scholar] [CrossRef]
- Ando, T.; Minakata, S.; Ryu, I.; Komatsu, M. Nitrogen atom transfer to alkenes utilizing Chloramine-T as a nitrogen source. Tetrahedron Lett. 1998, 39, 309–312. [Google Scholar] [CrossRef]
- Albone, D.P.; Aujla, P.S.; Challenger, S.; Derrick, A.M. A Simple Copper Catalyst for Both Aziridination of Alkenes and Amination of Activated Hydrocarbons with Chloramine-T Trihydrate. J. Org. Chem. 1998, 63, 9569–9571. [Google Scholar] [CrossRef]
- Maquestiau, A.; Flammang, R.; Flammang-Barbieux, M.; Mispreuve, H.; Howe, I.; Beynon, J. The gas-phase pinacol rearrangement and related reactions in organic cations generated by chemical ionisation. Tetrahedron 1980, 36, 1993–1998. [Google Scholar] [CrossRef]
- Vyas, R.; Gao, G.-Y.; Harden, A.J.D.; Zhang, X.P.; Zhang, X.P. Iron(III) Porphyrin Catalyzed Aziridination of Alkenes with Bromamine-T as Nitrene Source. Org. Lett. 2004, 6, 1907–1910. [Google Scholar] [CrossRef] [PubMed]
- Chanda, B.M.; Vyas, R.; Bedekar, A.V. Investigations in the transition metal catalyzed aziridination of olefins, amination, and other insertion reactions with Bromamine-T as the source of nitrene. J. Org. Chem. 2001, 66, 30–34. [Google Scholar] [CrossRef] [PubMed]
- Ushakova, I.V.; Shainyan, B.A. Chlorotriflamidation of vinylsilanes with N,N-dichlorotriflamide. Mendeleev Commun. 2020, 30, 117–118. [Google Scholar] [CrossRef]
- Ushakova, I.V.; Shainyan, B.A. The reaction of chloroalkyl(vinyl)silanes with N,N-dichlorosulfonamides. Mendeleev Commun. 2020, 30. [Google Scholar] [CrossRef]
- Yu, W.Z.; Chen, F.; Cheng, Y.A.; Yeung, Y.-Y. Catalyst-Free and Metal-Free Electrophilic Bromoamidation of Unactivated Olefins Using the N-Bromosuccinimide/Sulfonamide Protocol. J. Org. Chem. 2015, 80, 2815–2821. [Google Scholar] [CrossRef]
- Groves, J.T.; Takahashi, T. Activation and transfer of nitrogen from a nitridomanganese(V) porphyrin complex. Aza analog of epoxidation. J. Am. Chem. Soc. 1983, 105, 2073–2074. [Google Scholar] [CrossRef]
- Minakata, S.; Ando, T.; Nishimura, M.; Ryu, I.; Komatsu, M. ChemInform Abstract: Novel Asymmetric and Stereospecific Aziridination of Alkenes with a Chiral Nitridomanganese Complex. Chemin 2010, 30, 3392–3394. [Google Scholar] [CrossRef]
- Nishimura, M.; Minakata, S.; Thongchant, S.; Ryu, I.; Komatsu, M. Selective [2+1] aziridination of conjugated dienes with a nitridomanganese complex: A new route to alkenylaziridines. Tetrahedron Lett. 2000, 41, 7089–7092. [Google Scholar] [CrossRef]
- Nishimura, M.; Minakata, S.; Takahashi, T.; Oderaotoshi, Y.; Komatsu, M. Asymmetric N1 Unit Transfer to Olefins with a Chiral Nitridomanganese Complex: Novel Stereoselective Pathways to Aziridines or Oxazolines. J. Org. Chem. 2002, 67, 2101–2110. [Google Scholar] [CrossRef]
- Dauban, P.; Sanière, L.; Tarrade, A.A.; Dodd, R.H. Copper-Catalyzed Nitrogen Transfer Mediated by Iodosylbenzene PhIO. J. Am. Chem. Soc. 2001, 123, 7707–7708. [Google Scholar] [CrossRef]
- Guthikonda, K.; Du Bois, J. A Unique and Highly Efficient Method for Catalytic Olefin Aziridination. J. Am. Chem. Soc. 2002, 124, 13672–13673. [Google Scholar] [CrossRef] [PubMed]
- Han, H.; Bae, I.; Yoo, E.J.; Lee, J.; Do, Y.; Chang, S. Notable Coordination Effects of 2-Pyridinesulfonamides Leading to Efficient Aziridination and Selective Aziridine Ring Opening. Org. Lett. 2004, 6, 4109–4112. [Google Scholar] [CrossRef] [PubMed]
- Catino, A.J.; Nichols, J.M.; Forslund, R.E.; Doyle, M.P. Efficient Aziridination of Olefins Catalyzed by Mixed-Valent Dirhodium(II,III) Caprolactamate. Org. Lett. 2005, 7, 2787–2790. [Google Scholar] [CrossRef] [PubMed]
- Thakur, V.V.; Sudalai, A. N-Bromoamides as versatile catalysts for aziridination of olefins using chloramine-T. Tetrahedron Lett. 2003, 44, 989–992. [Google Scholar] [CrossRef]
- Jain, S.L.; Sain, B. Aziridination of alkenes using N-iodo-N-potassio-p-toluenesulphonamide as a nitrene precursor. Tetrahedron Lett. 2003, 44, 575–577. [Google Scholar] [CrossRef]
- Kong, D.-L.; He, L.-N.; Wang, J.-Q. Facile synthesis of oxazolidinones catalyzed by n-Bu4NBr3/n-Bu4NBr directly from olefins, chloramine-T and carbon dioxide. Catal. Commun. 2010, 11, 992–995. [Google Scholar] [CrossRef]
- Fokin, V.V.; Sharpless, K.B. A practical and highly efficient aminohydroxylation of unsaturated carboxylic acids. Angew. Chem. Int. Ed. 2001, 40, 3455–3457. [Google Scholar] [CrossRef]
- Minakata, S.; Yoneda, Y.; Oderaotoshi, Y.; Komatsu, M. Unprecedented CO2-Promoted Aminochlorination of Olefins with Chloramine-T. Org. Lett. 2006, 8, 967–969. [Google Scholar] [CrossRef]
- Hayakawa, J.; Kuzuhara, M.; Minakata, S. CO2-induced amidobromination of olefins with bromamine-T. Org. Biomol. Chem. 2010, 8, 1424. [Google Scholar] [CrossRef]
- Minakata, S.; Kano, D.; Oderaotoshi, A.Y.; Komatsu, M. Unique Ionic Iodine Atom Transfer Cyclization: A New Route to Iodomethylated Pyrrolidine Derivatives from γ-Iodoolefin and Chloramine-T. Org. Lett. 2002, 4, 2097–2099. [Google Scholar] [CrossRef] [PubMed]
- Chen, D.; Timmons, C.; Chao, S.; Li, G. Regio- and Stereoselective Copper-Catalyzed Synthesis of Vicinal Haloamino Ketones from α,β-Unsaturated Ketones. Chemin 2004, 35, 3097–3101. [Google Scholar] [CrossRef]
- Cai, Y.; Liu, X.; Jiang, J.; Chen, W.; Lin, L.; Feng, X. Catalytic Asymmetric Chloroamination Reaction of α,β-Unsaturated γ-Keto Esters and Chalcones. J. Am. Chem. Soc. 2011, 133, 5636–5639. [Google Scholar] [CrossRef] [PubMed]
- Cai, Y.; Liu, X.; Zhou, P.; Kuang, Y.; Lin, L.; Feng, X. Iron-catalyzed asymmetric haloamination reactions. Chem. Commun. 2013, 49, 8054–8056. [Google Scholar] [CrossRef] [PubMed]
- Wei, H.-X.; Kim, S.H.; Li, G. Electrophilic Diamination of Alkenes by Using FeCl3−PPh3Complex as the Catalyst. J. Org. Chem. 2002, 67, 4777–4781. [Google Scholar] [CrossRef] [PubMed]
- Timmons, C.; McPherson, L.; Chen, D.A.; Wei, H.-X.; Li, G. Manganese (IV) oxide-catalyzed electrophilic diamination of electron-deficient alkenes provides an easy synthesis of alpha,beta-diamino acid and ketone derivatives for peptidomimetic studies. J. Pept. Res. 2005, 66, 249–254. [Google Scholar] [CrossRef]
- Wu, H.; Ji, X.; Sun, H.; An, G.; Han, J.; Li, G.; Pan, Y. Organocatalyzed regio- and stereoselective diamination of functionalized alkenes. Tetrahedron 2010, 66, 4555–4559. [Google Scholar] [CrossRef]
- Li, G.; Chen, D.; Timmons, C.; Guo, L.; Xu, X. One-Pot Stereoselective Synthesis ofanti3-Alkyl and 3-Aryl-N-p-tosyl-aziridine-2-ketones and 3-Aryl-N-p-tosyl-aziridine-2-carboxylates. Synthesis 2004, 2004, 2479–2484. [Google Scholar] [CrossRef]
- Cho, D.-J.; Jeon, S.-J.; Kim, H.-S.; Kim, T.-J. Catalytic Cyclopropanation and Aziridination of Alkenes by a Cu(I) Complex of Ferrocenyldiimine. Synlett 1998, 1998, 617–618. [Google Scholar] [CrossRef]
- Amisial, L.D.; Dai, X.; Kinney, R.A.; Krishnaswamy, A.; Warren, T.H. Cu(I) β-Diketiminates for Alkene Aziridination: Reversible CuArene Binding and Catalytic Nitrene Transfer from PhINTs. Inorg. Chem. 2004, 43, 6537–6539. [Google Scholar] [CrossRef]
- Jeon, H.-J.; Nguyen, S.T. ChemInform Abstract: Nitrene-Transfer to Olefins Catalyzed by Methyltrioxorhenium: A Universal Catalyst for the [1 + 2] Cycloaddition of C-, N-, and O-Atom Fragments to Olefins. Chemin 2001, 32, 235–236. [Google Scholar] [CrossRef]
- Hoque, M.; Miyamoto, K.; Tada, N.; Shiro, M.; Ochiai, M. Synthesis and Structure of Hypervalent Diacetoxybromobenzene and Aziridination of Olefins with Imino-λ3-bromane Generated in Situ under Metal-Free Conditions. Org. Lett. 2011, 13, 5428–5431. [Google Scholar] [CrossRef] [PubMed]
- Ochiai, M.; Naito, M.; Miyamoto, K.; Hayashi, S.; Nakanishi, W. Imination of Sulfides and Sulfoxides with Sulfonylimino-λ3-Bromane under Mild, Metal-Free Conditions. Chem. A Eur. J. 2010, 16, 8713–8718. [Google Scholar] [CrossRef]
- Armstrong, A.; Cumming, G.R.; Pike, K. Aminative Rearrangement of 2-Alkoxy-3,4-dihydro-2H-pyrans: A Novel Stereocontrolled Route to Substituted Pyrrolidines. Chemin 2004, 35, 812–813. [Google Scholar] [CrossRef]
- Minakata, S.; Morino, Y.; Oderaotoshi, Y.; Komatsu, M. Novel aziridination of olefins: Direct synthesis from sulfonamides using t-BuOI. Chem. Commun. 2006, 3337–3339. [Google Scholar] [CrossRef] [PubMed]
- Tanner, D.D.; Gidley, G.C.; Das, N.; Rowe, J.E.; Potter, A. On the structure of tert-butyl hypoiodite. J. Am. Chem. Soc. 1984, 106, 5261–5267. [Google Scholar] [CrossRef]
- Minakata, S.; Morino, Y.; Ide, T.; Oderaotoshi, Y.; Komatsu, M. Direct synthesis of oxazolines from olefins and amides using t-BuOI. Chem. Commun. 2007, 3279–3281. [Google Scholar] [CrossRef]
- Shainyan, B.A.; Moskalik, M.Y.; Astakhova, V.V.; Schilde, U. Novel design of 3,8-diazabicyclo[3.2.1]octane framework in oxidative sulfonamidation of 1,5-hexadiene. Tetrahedron 2014, 70, 4547–4551. [Google Scholar] [CrossRef]
- Shainyan, B.A.; Moskalik, M.Y.; Astakhova, V.V.; Sterkhova, I.V.; Ushakov, I.A. Oxidative addition of trifluoroacetamide to alkenes, 2,5-dimethylhexa-2,4-diene and conjugated cyclic dienes. Tetrahedron 2015, 71, 8669–8675. [Google Scholar] [CrossRef]
- Moskalik, M.Y.; Astakhova, V.V.; Schilde, U.; Sterkhova, I.V.; Shainyan, B.A. Assembling of 3,6-diazabicyclo[3.1.0]hexane framework in oxidative triflamidation of substituted buta-1,3-dienes. Tetrahedron 2014, 70, 8636–8641. [Google Scholar] [CrossRef]
- Astakhova, V.V.; Shainyan, B.A.; Moskalik, M.Y.; Sterkhova, I.V. Oxidative sulfamidation of vinyl silanes: A route to diverse silylated N-Heterocycles. Tetrahedron 2019, 75, 4531–4541. [Google Scholar] [CrossRef]
- Shainyan, B.A. Unsaturated Derivatives of Trifluoromethanesulfonamide. Eur. J. Org. Chem. 2018, 2018, 3594–3608. [Google Scholar] [CrossRef]
- Moskalik, M.Y.; Astakhova, V.V.; Shainyan, B.A. Oxidative sulfamidation as a route to N-heterocycles and unsaturated sulfonamides. Pure Appl. Chem. 2020, 92, 123–149. [Google Scholar] [CrossRef]
- Moskalik, M.Y.; Shainyan, B.A.; Ushakov, I.A.; Sterkhova, I.V.; Astakhova, V.V. Oxidant effect, skeletal rearrangements and solvent interception in oxidative triflamidation of norbornene and 2,5-norbornadiene. Tetrahedron 2020, 76, 131018. [Google Scholar] [CrossRef]
- Ganin, A.S.; Moskalik, M.Y.; Astakhova, V.V.; Sterkhova, I.V.; Shainyan, B.A. Heterocyclization and solvent interception upon oxidative triflamidation of allyl ethers, amines and silanes. Tetrahedron 2020, 76, 131374. [Google Scholar] [CrossRef]
- Yu, W.Z.; Cheng, Y.A.; Wong, M.W.; Yeung, Y.-Y. Atmosphere- and Temperature-Controlled Regioselective Aminobromination of Olefins. Adv. Synth. Catal. 2017, 359, 234–239. [Google Scholar] [CrossRef]
- Frisch, M.J.; Trucks, G.W.; Schlegel, H.B.; Scuseria, G.E.; Robb, M.A.; Cheeseman, J.R. ; Scalmani, G. ; Barone, V. ; Mennucci, B. ; Petersson, G.A.; Nakatsuji, H.; Caricato, M.; Li, X.; Hratchian, H.P.; Izmaylov, A.F.; Bloino, J.; Zheng, G.; Sonnenberg, J.L.; Hada, M.; Ehara, M.; Toyota, K.; Fukuda, R.; Hasegawa, J.; Ishida, M.; Nakajima, T.; Honda, Y.; Kitao, O.; Nakai, H.; Vreven, T.; Montgomery, J.A.; Peralta, J.E.; Ogliaro, F.; Bearpark, M.; Heyd, J.J.; Brothers, E.; Kudin, K.N.; Staroverov, V.N.; Kobayashi, R.; Normand, J.; Raghavachari, K.; Rendell, A.; Burant, J.C.; Iyengar, S.S.; Tomasi, J.; Cossi, M.; Rega, N.; Millam, J.M.; Klene, M.; Knox, J.E.; Cross, J.B.; Bakken, V.; Adamo, C.; Jaramillo, J.; Gomperts, R.; Stratmann, R.E.; Yazyev, O.; Austin, A.J.; Cammi, R.; Pomelli, C.; Ochterski, J.W.; Martin, R.L.; Morokuma, K.; Zakrzewski, V.G.; Voth, G.A.; Salvador, P.; Dannenberg, J.J.; Dapprich, S.; Daniels, A.D.; Farkas, O.; Foresman, J.B.; Ortiz, J.V.; Cioslowski, J.; Fox, D.J. Gaussian 09, Revision, A.02;, Wallingford, CT, 2009.
- Poleshchuk, O.K.; Yureva, A.; Filimonov, V.D.; Frenking, G. Study of a surface of the potential energy for processes of alkanes free-radical iodination by B3LYP/DGDZVP method. J. Mol. Struct. THEOCHEM 2009, 912, 67–72. [Google Scholar] [CrossRef]
- Tomasi, J.; Mennucci, B.; Cancès, E. The IEF version of the PCM solvation method: An overview of a new method addressed to study molecular solutes at the QM ab initio level. J. Mol. Struct. THEOCHEM 1999, 464, 211–226. [Google Scholar] [CrossRef]
- Shainyan, B.A.; Tolstikova, L.L. Trifluoromethanesulfonamides and Related Compounds. Chem. Rev. 2012, 113, 699–733. [Google Scholar] [CrossRef]
- Astakhova, V.V.; Moskalik, M.Y.; Shainyan, B.A. Solvent interception, heterocyclization and desilylation upon NBS-induced sulfamidation of trimethyl(vinyl)silane. Org. Biomol. Chem. 2019, 17, 7927–7937. [Google Scholar] [CrossRef]
- Shainyan, B.A.; Moskalik, M.Y.; Starke, I.; Schilde, U. Formation of unexpected products in the attempted aziridination of styrene with trifluoromethanesulfonyl nitrene. Tetrahedron 2010, 66, 8383–8386. [Google Scholar] [CrossRef]
- Moskalik, M.Y.; Shainyan, B.A.; Schilde, U. Reaction of trifluoromethanesulfonamide with alkenes and cycloocta-1,5-diene under oxidative conditions. Direct assembly of 9-heterobicyclo[4.2.1]nonanes. Russ. J. Org. Chem. 2011, 47, 1271–1277. [Google Scholar] [CrossRef]













| Parameter | 5 | TS5-6 | 6 | 6’ |
|---|---|---|---|---|
| MP2/DGDZVP//B3LYP/DGDZVP | ||||
| ΔE+ZPVE | 0.0 | 28.8 | −10.9 | 24.5 |
| ΔG | 0.0 | 38.8 | −10.5 | 23.6 |
| wB97XD/DGDZVP | ||||
| ΔE+ZPVE | 0.0 | 25.4 | −13.0 | 20.0 |
| ΔG | 0.0 | 34.3 | −12.8 | 19.4 |
| Parameter | 5 + 3 or 4 | 5···3 | 5···4 | 6 + 3 or 4 | 6···3 | 6···4 |
|---|---|---|---|---|---|---|
| MP2/DGDZVP//B3LYP/DGDZVP | ||||||
| ΔE+ZPVE | 0.0 | −3.0 | −3.8 | −10.9 | −16.8 | −18.3 |
| ΔG | 0.0 | 6.9 | 5.0 | −10.5 | −6.0 | −7.7 |
| wB97XD/DGDZVP | ||||||
| ΔE+ZPVE | 0.0 | – | – | −13.0 | −19.2 | −21.2 |
| ΔG | 0.0 | – | – | −12.8 | −8.6 | −8.3 |
| Parameter | R = CH3 | R = CF3 | R = p-Tol | R = p-NO2C6H4 | ||||||||
|---|---|---|---|---|---|---|---|---|---|---|---|---|
| X= NH2 | NHI | NI2 | NH2 | NHI | NI2 | NH2 | NHI | NI2 | NH2 | NHI | NI2 | |
| S–N, Å | 1.678 | 1.707 | 1.745 | 1.646 | 1.659 | 1.679 | 1.683 | 1.717 | 1.761 | 1.673 | 1.702 | 1.740 |
| N–I, Å | – | 2.115 | 2.136 | – | 2.103 | 2.121 | – | 2.116 | 2.139 | – | 2.111 | 2.134 |
| ∠SNI(H)I(H) | 126.5 | 126.6 | 137.0 | 135.1 | 141.0 | 155.3 | 124.9 | 123.7 | 135.5 | 127.7 | 127.4 | 138.6 |
| ΣN | 335.5 | 337.3 | 344.9 | 343.3 | 348.6 | 355.2 | 333.8 | 334.6 | 343.7 | 336.6 | 338.1 | 346.0 |
| HOMO, eV | −12.720 | −10.480 | −10.242 | −13.453 | −10.685 | −10.382 | −9.734 | −9.835 | −9.881 | −10.375 | −10.349 | −10.289 |
| LUMO, eV | 5.141 | 0.644 | −0.475 | 4.946 | 0.317 | −0.735 | 2.161 | 0.694 | −0.435 | 0.197 | 0.116 | −0.545 |
| LUMO–HOMO gap, eV | 17.861 | 11.124 | 9.767 | 18.398 | 11.001 | 9.647 | 11.895 | 10.529 | 9.449 | 10.571 | 10.466 | 9.744 |
| CM5 charge on N | −0.600 | −0.503 | −0.412 | −0.574 | −0.501 | −0.428 | −0.601 | −0.502 | −0.407 | −0.593 | −0.501 | −0.412 |
| CM5 charge on I | – | 0.223 | 0.223 | – | 0.279 | 0.272 | – | 0.208 | 0.212 | – | 0.230 | 0.232 |
| Electrophilicity (I) | – | 1.866 | 1.600 | – | 2.168 | 1.820 | – | 1.819 | 1.538 | – | 1.986 | 1.568 |
| NBO (LPN occupancy) | 1.900 | 1.909 | 1.918 | 1.866 | 1.867 | 1.867 | 1.897 | 1.908 | 1.918 | 1.888 | 1.898 | 1.907 |
Sample Availability: Samples of the compounds are not available from the authors. |
Publisher’s Note: MDPI stays neutral with regard to jurisdictional claims in published maps and institutional affiliations. |
© 2020 by the authors. Licensee MDPI, Basel, Switzerland. This article is an open access article distributed under the terms and conditions of the Creative Commons Attribution (CC BY) license (http://creativecommons.org/licenses/by/4.0/).
Share and Cite
Kuzmin, A.V.; Moskalik, M.Y.; Shainyan, B.A. Trifluoromethanesulfonamide vs. Non-Fluorinated Sulfonamides in Oxidative Sulfamidation of the C=C Bond: An In Silico Study. Molecules 2020, 25, 4877. https://doi.org/10.3390/molecules25214877
Kuzmin AV, Moskalik MY, Shainyan BA. Trifluoromethanesulfonamide vs. Non-Fluorinated Sulfonamides in Oxidative Sulfamidation of the C=C Bond: An In Silico Study. Molecules. 2020; 25(21):4877. https://doi.org/10.3390/molecules25214877
Chicago/Turabian StyleKuzmin, Anton V., Mikhail Yu. Moskalik, and Bagrat A. Shainyan. 2020. "Trifluoromethanesulfonamide vs. Non-Fluorinated Sulfonamides in Oxidative Sulfamidation of the C=C Bond: An In Silico Study" Molecules 25, no. 21: 4877. https://doi.org/10.3390/molecules25214877
APA StyleKuzmin, A. V., Moskalik, M. Y., & Shainyan, B. A. (2020). Trifluoromethanesulfonamide vs. Non-Fluorinated Sulfonamides in Oxidative Sulfamidation of the C=C Bond: An In Silico Study. Molecules, 25(21), 4877. https://doi.org/10.3390/molecules25214877

