Potential of Cellulose Microfibers for PHA and PLA Biopolymers Reinforcement
Abstract
1. Introduction
2. Materials and Methods
2.1. Materials
2.2. Sample Production
2.2.1. CNC-Filled Samples
2.2.2. MF-Filled Samples
2.3. Sample Testing
3. Results and Discussion
3.1. Tensile Tests
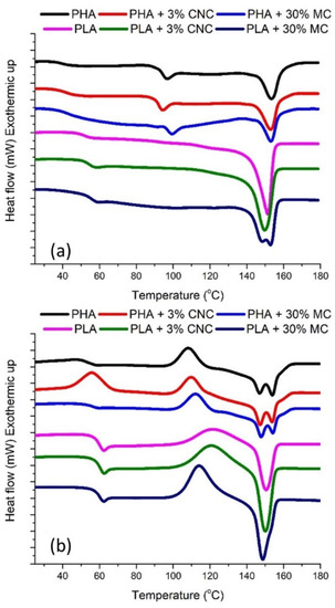
3.2. Differential Scanning Calorimetry
3.3. Fourier Transformed Infrared Spectroscopy
3.4. Thermogravimetric Analysis
3.5. Microscopy Analysis
3.6. Ultraviolet-Visible Spectroscopy
4. Conclusions
Author Contributions
Funding
Conflicts of Interest
References
- Shekar, H.S.; Ramachandra, M. Green composites: A review. Mater. Today Proc. 2018, 5, 2518–2526. [Google Scholar] [CrossRef]
- Ramesh, M.; Palanikumar, K.; Reddy, K.H. Plant fibre based bio-composites: Sustainable and renewable green materials. Renew. Sustain. Energy Rev. 2017, 79, 558–584. [Google Scholar] [CrossRef]
- Christian, S.; Billington, S.L. Mechanical response of PHB and cellulose acetate natural fiber-reinforced composites for construction applications. Compos. Part B Eng. 2011, 42, 1920–1928. [Google Scholar] [CrossRef]
- Zhang, Q.; Shi, L.; Nie, J.; Wang, H.; Yang, D. Study on poly (lactic acid)/natural fibers composites. J. Appl. Polym. Sci. 2012, 125, E526–E533. [Google Scholar] [CrossRef]
- Saba, N.; Jawaid, M.; Al-Othman, O. An overview on polylactic acid, its cellulosic composites and applications. Curr. Org. Synth. 2017, 14, 156–170. [Google Scholar] [CrossRef]
- Mathuriya, A.S.; Yakhmi, J.V.; Martínez, L.M.T.; Kharissova, O.V.; Kharisov, B.I. Polyhydroxyalkanoates: Biodegradable plastics and their applications. In Handbook of Ecomaterials; Springer: Cham, Switzerland, 2017; pp. 1–29. [Google Scholar]
- Bugnicourt, E.; Cinelli, P.; Lazzeri, A.; Alvarez, V. Polyhydroxyalkanoate (PHA): Review of synthesis, characteristics, processing and potential applications in packaging. Express Polym. Lett. 2014, 8, 791–808. [Google Scholar] [CrossRef]
- Chen, G.-Q.; Chen, X.-Y.; Wu, F.-Q.; Chen, J.-C. Polyhydroxyalkanoates (PHA) toward cost competitiveness and functionality. Adv. Ind. Eng. Polym. Res. 2020, 3, 1–7. [Google Scholar] [CrossRef]
- Koay, S.C.; Yeng, C.M.; May, C.P.; Yeow, T.K.; Kiat, O.T.; How, C.K. Effect of coupling agent content on properties of composites made from polylactic acid and chrysanthemum waste. J. Vinyl Addit. Technol. 2019, 26, 10–16. [Google Scholar] [CrossRef]
- Seggiani, M.; Cinelli, P.; Verstichel, S.; Puccini, M.; Vitolo, S.; Anguillesi, I.; Lazzeri, A. Development of fibres-reinforced biodegradable composites. Chem. Eng. Trans. 2015, 1813–1818. [Google Scholar] [CrossRef]
- Nery, T.B.R.; Dos Santos, Z.I.G.; José, N.M. Desenvolvimento e caracterização de biocompósitos de polihidroxibutirato e fibra de bananeira. Matéria Rio Jan. 2018, 23. [Google Scholar] [CrossRef]
- Machado, M.L.C.; Pereira, N.C.; De Miranda, L.F.; Terence, M.C.; Pradella, J.G.C. Estudo das propriedades mecânicas e térmicas do polímero Poli-3-hidroxibutirato (PHB) e de compósitos PHB/pó de madeira. Polímeros 2010, 20, 65–71. [Google Scholar] [CrossRef]
- Shojaeiarani, J.; Bajwa, D. Functionalized Cellulose Nanocrystals for Improving the Mechanical Properties of Poly (Lactic Acid); American Society of Mechanical Engineers: Pittsburgh, PA, USA, 2018; Volume 12. [Google Scholar]
- Mokhena, T.C.; Sefadi, J.S.; Sadiku, E.; John, M.J.; Mochane, M.J.; Mtibe, A. Thermoplastic processing of PLA/cellulose nanomaterials composites. Polymers 2018, 10, 1363. [Google Scholar] [CrossRef] [PubMed]
- Zheng, T.; Zhang, Z.; Shukla, S.; Agnihotri, S.; Clemons, C.M.; Pilla, S. PHBV-graft-GMA via reactive extrusion and its use in PHBV/nanocellulose crystal composites. Carbohydr. Polym. 2019, 205, 27–34. [Google Scholar] [CrossRef] [PubMed]
- Patrício, P.S.D.O.; Pereira, F.V.; Dos Santos, M.C.; De Souza, P.P.; Roa, J.P.B.; Orefice, R.L. Increasing the elongation at break of polyhydroxybutyrate biopolymer: Effect of cellulose nanowhiskers on mechanical and thermal properties. J. Appl. Polym. Sci. 2012, 127, 3613–3621. [Google Scholar] [CrossRef]
- Trache, D.; Hussin, M.H.; Haafiz, M.K.M.; Mishra, Y.K. Recent progress in cellulose nanocrystals: Sources and production. Nanoscale 2017, 9, 1763–1786. [Google Scholar] [CrossRef] [PubMed]
- Seoane, I.T.; Manfredi, L.B.; Cyras, V.P.; Torre, L.; Fortunati, E.; Puglia, D. Effect of cellulose nanocrystals and bacterial cellulose on disintegrability in composting conditions of plasticized PHB nanocomposites. Polymers 2017, 9, 561. [Google Scholar] [CrossRef]
- Rigotti, D.; Checchetto, R.; Tarter, S.; Caretti, D.; Rizzuto, M.; Fambri, L.; Pegoretti, A. Polylactic acid-lauryl functionalized nanocellulose nanocomposites: Microstructural, thermo-mechanical and gas transport properties. Express Polym. Lett. 2019, 13, 858–876. [Google Scholar] [CrossRef]
- Deetuam, C.; Samthong, C.; Choksriwichit, S.; Somwangthanaroj, A. Isothermal cold crystallization kinetics and properties of thermoformed poly (lactic acid) composites: Effects of talc, calcium carbonate, cassava starch and silane coupling agents. Iran. Polym. J. 2020, 29, 103–116. [Google Scholar] [CrossRef]
- Singh, M.; Kumar, P.; Ray, S.; Kalia, V.C. Challenges and opportunities for customizing polyhydroxyalkanoates. Indian J. Microbiol. 2015, 55, 235–249. [Google Scholar] [CrossRef]
- Oksman, K.; Skrifvars, M.; Selin, J.-F. Natural fibres as reinforcement in polylactic acid (PLA) composites. Compos. Sci. Technol. 2003, 63, 1317–1324. [Google Scholar] [CrossRef]
- Torres-Tello, E.V.; Robledo-Ortíz, J.R.; González-García, Y.; Pérez-Fonseca, A.A.; Jasso-Gastinel, C.F.; Mendizábal, E. Effect of agave fiber content in the thermal and mechanical properties of green composites based on polyhydroxybutyrate or poly (hydroxybutyrate-co-hydroxyvalerate). Ind. Crops Prod. 2017, 99, 117–125. [Google Scholar] [CrossRef]
- Graupner, N.; Herrmann, A.S.; Müssig, J. Natural and man-made cellulose fibre-reinforced poly (lactic acid) (PLA) composites: An overview about mechanical characteristics and application areas. Compos. Part A Appl. Sci. Manuf. 2009, 40, 810–821. [Google Scholar] [CrossRef]
- Barkoula, N.; Garkhail, S.; Peijs, T. Biodegradable composites based on flax/polyhydroxybutyrate and its copolymer with hydroxyvalerate. Ind. Crops Prod. 2010, 31, 34–42. [Google Scholar] [CrossRef]
- Di Vona, M.L. Annealing of polymer membranes. In Encyclopedia of Membranes; Drioli, E., Giorno, L., Eds.; Springer: Berlin/Heidelberg, Germany, 2014; pp. 1–2. [Google Scholar]
- Kumar, R.; Kumari, S.; Rai, B.; Das, R.; Kumar, G. Effect of nano-cellulosic fiber on mechanical and barrier properties of polylactic acid (PLA) green nanocomposite film. Mater. Res. Express 2019, 6, 125108. [Google Scholar] [CrossRef]
- Gupta, A.; Simmons, W.; Schueneman, G.T.; Hylton, D.; Mintz, E.A. Rheological and thermo-mechanical properties of poly (lactic acid)/lignin-coated cellulose nanocrystal composites. ACS Sustain. Chem. Eng. 2017, 5, 1711–1720. [Google Scholar] [CrossRef]
- Sato, H.; Murakami, R.; Padermshoke, A.; Hirose, F.; Senda, K.; Noda, I.; Ozaki, Y. Infrared spectroscopy studies of CH···O hydrogen bondings and thermal behavior of biodegradable poly (hydroxyalkanoate). Macromolecules 2004, 37, 7203–7213. [Google Scholar] [CrossRef]
- Socrates, G. Infrared and Raman Characteristic Group Frequencies: Tables and Charts, 3rd ed.; Wiley: Chichester, UK, 2010. [Google Scholar]
- Zhang, J.; Sato, H.; Noda, I.; Ozaki, Y. Conformation rearrangement and molecular dynamics of poly (3-hydroxybutyrate) during the melt-crystallization process investigated by infrared and two-dimensional infrared correlation spectroscopy. Macromolecules 2005, 38, 4274–4281. [Google Scholar] [CrossRef]
- Padermshoke, A.; Katsumoto, Y.; Sato, H.; Ekgasit, S.; Noda, I.; Ozaki, Y. Melting behavior of poly (3-hydroxybutyrate) investigated by two-dimensional infrared correlation spectroscopy. Spectrochim. Acta Part A Mol. Biomol. Spectrosc. 2005, 61, 541–550. [Google Scholar] [CrossRef]
- Brizuela, A.B.; Bichara, L.C.; Romano, E.; Yurquina, A.; Locatelli, S.; Brandán, S.A. A complete characterization of the vibrational spectra of sucrose. Carbohydr. Res. 2012, 361, 212–218. [Google Scholar] [CrossRef]
- Borkotoky, S.S.; Dhar, P.; Katiyar, V. Biodegradable poly (lactic acid)/Cellulose nanocrystals (CNCs) composite microcellular foam: Effect of nanofillers on foam cellular morphology, thermal and wettability behavior. Int. J. Biol. Macromol. 2018, 106, 433–446. [Google Scholar] [CrossRef]
- Bai, J.; Chen, X.; Shao, J.; Jia, C.; Wang, Q. Study of breakage of main covalent bonds during co-pyrolysis of oil shale and alkaline lignin by TG-FTIR integrated analysis. J. Energy Inst. 2019, 92, 512–522. [Google Scholar] [CrossRef]
- Ojha, N.; Das, N.; Ojhaa, N. A Statistical approach to optimize the production of Polyhydroxyalkanoates from Wickerhamomyces anomalus VIT-NN01 using response surface methodology. Int. J. Biol. Macromol. 2018, 107, 2157–2170. [Google Scholar] [CrossRef] [PubMed]
- Zou, H.; Yi, C.; Wang, L.; Liu, H.; Xu, W. Thermal degradation of poly (lactic acid) measured by thermogravimetry coupled to Fourier transform infrared spectroscopy. J. Therm. Anal. Calorim. 2009, 97, 929–935. [Google Scholar] [CrossRef]
- Lanzalunga, O.; Bietti, M. Photo and radiation chemical induced degradation of lignin model compounds. J. Photochem. Photobiol. B Biol. 2000, 56, 85–108. [Google Scholar] [CrossRef]
- Park, S.Y.; Kim, J.-Y.; Youn, H.J.; Choi, J.W. Utilization of lignin fractions in UV resistant lignin-PLA biocomposites via lignin-lactide grafting. Int. J. Biol. Macromol. 2019, 138, 1029–1034. [Google Scholar] [CrossRef]
- Qian, Y.; Qiu, X.; Zhu, S. Lignin: A nature-inspired sun blocker for broad-spectrum sunscreens. Green Chem. 2015, 17, 320–324. [Google Scholar] [CrossRef]
- Stenström, S. Drying of paper: A review 2000–2018. Dry. Technol. 2019, 38, 825–845. [Google Scholar] [CrossRef]
Sample Availability: Samples of the compounds made out of PHA and PLA are available from the authors. |









| Polymer | Filler Type | Content (wt.%) | |
|---|---|---|---|
| PHA | PHA | None | 0 |
| PHA + 1% CNC | PHA | CNC | 1 |
| PHA + 2% CNC | PHA | CNC | 2 |
| PHA + 3% CNC | PHA | CNC | 3 |
| PHA + 10% MF | PHA | MF | 10 |
| PHA + 20% MF | PHA | MF | 20 |
| PHA + 30% MF | PHA | MF | 30 |
| PLA | PLA | None | 0 |
| PLA + 1% CNC | PLA | CNC | 1 |
| PLA + 2% CNC | PLA | CNC | 2 |
| PLA + 3% CNC | PLA | CNC | 3 |
| PLA + 10% MF | PLA | MF | 10 |
| PLA + 20% MF | PLA | MF | 20 |
| PLA + 30% MF | PLA | MF | 30 |
| n = 5 | Tensile Strength (MPa) | Elongation at Break (%) | Young’s Modulus (GPa) | |||
|---|---|---|---|---|---|---|
| Avr. | COV | Avr. | COV | Avr. | COV | |
| PHA | 20.2 c | 0.07 | 4.47 b | 0.06 | 0.54 c | 0.12 |
| PHA + 1% CNC | 22.5 a,b,c | 0.02 | 10.43 a | 0.23 | 0.72 b | 0.02 |
| PHA + 2% CNC | 22.6 a,b,c | 0.06 | 5.85 b | 0.13 | 0.81 a,b | 0.06 |
| PHA + 3% CNC | 22.2 b,c | 0.03 | 5.95 b | 0.25 | 0.81 a,b | 0.05 |
| PHA + 10% MF | 23.5 a,b | 0.03 | 4.33 b | 0.10 | 0.81 a,b | 0.03 |
| PHA + 20% MF | 24.9 a | 0.05 | 3.78 b | 0.11 | 0.94 a | 0.14 |
| PHA + 30% MF | 23.0 a,b | 0.06 | 3.93 b | 0.04 | 0.93 a | 0.06 |
| PLA | 52.3 b,c | 0.02 | 3.86 a | 0.13 | 1.95 b,c | 0.05 |
| PLA + 1% CNC | 72.9 a | 0.05 | 4.02 a | 0.12 | 2.12 a,b,c | 0.07 |
| PLA + 2% CNC | 68.6 a | 0.06 | 3.51 a | 0.10 | 2.05 a,b,c | 0.03 |
| PLA + 3% CNC | 65.5 a | 0.06 | 3.54 a | 0.13 | 1.92 c | 0.03 |
| PLA + 10% MF | 55.2 b | 0.02 | 2.00 b | 0.16 | 2.28 a,b | 0.10 |
| PLA + 20% MF | 65.2 a | 0.05 | 3.38 a | 0.04 | 2.39 a | 0.09 |
| PLA + 30% MF | 47.0 c | 0.12 | 2.37 b | 0.12 | 2.36 a | 0.07 |
| MF | Fiber length | 841 ± 71 μm | ||||
| CNC | ≈75 nm | |||||
| Maximum Degradation Rate | First Heating | Second Heating | UV-VIS Transmittance | ||||||||||
|---|---|---|---|---|---|---|---|---|---|---|---|---|---|
| Temperature at Peak Center | Mass Loss at Peak Center | Xc | Tg | Tcc | Xc | Tg | Tcc | Contact Angle | T300 | T600 | |||
| (°C) | (%) | (%) | (°C) | (%) | (°C) | (°) | (%) | ||||||
| PHA pellets | 12.7 | 60.4 | |||||||||||
| PLA pellets | 28.5 | 60.8 | |||||||||||
| PHA | 269 | 342 | 39.81 | 87.86 | 8.1 | ** | 96.8 | 11.6 | 48.6 | 108.5 | 55.7 | 31.26 | 71.6 |
| PHA + 1% CNC | 270 | 330 | 35.16 | 88.38 | 7.2 | ** | 94.4 | 12.8 | 61.8 | 110.7 | 73.8 | 26.82 | 72.5 |
| PHA + 2% CNC | 273 | 330 | 32.45 | 87.93 | 8.5 | ** | 94.2 | 12.2 | 48.6 | 110.2 | 95.7 | 21.72 | 70.1 |
| PHA + 3% CNC | 275 | 317 | 29.93 | 87.15 | 8.3 | ** | 94.1 | 11.8 | 55.4 | 109.8 | 78.8 | 21.22 | 69.0 |
| PHA + 10% MF | 270 | 341 | 35.11 | 91.21 | 9.1 | ** | 96.8 | 13.9 | 49.2 | 112.3 | 78.6 | 15.7 | 71.0 |
| PHA + 20% MF | 277 | 341 | 19.08 | 80.55 | 10.4 | ** | 95.7 | 12 | 51.4 | 112.3 | 78.9 | 3.59 | 55.6 |
| PHA + 30% MF | 278 | 341 | 18.14 | 88.03 | 7.8 | ** | 99.6 | 13.5 | 52.8 | 113.4 | 67.5 | 0.39 | 30.1 |
| PLA | 368 | 57.46 | 42.7 | 55.6 | ** | 26.1 | 62.7 | 121.6 | 67.5 | 64.66 | 86.3 | ||
| PLA + 1% CNC | 368 | 54.19 | 33.1 | 57.7 | ** | 25.2 | 63 | 123.8 | 43.6 | 68.07 | 84.2 | ||
| PLA + 2% CNC | 368 | 54.13 | 34.4 | 57 | ** | 19.5 | 62 | 120.5 | 57.2 | 63.76 | 83.8 | ||
| PLA + 3% CNC | 368 | 54.06 | 37.2 | 57.7 | ** | 37.6 | 62.7 | 124.3 | 60.6 | 66.71 | 83.8 | ||
| PLA + 10% MF | 360 | 74.88 | 45.6 | 57 | ** | 50.7 | 62.5 | 118.2 | 67.6 | 27.81 | 79.1 | ||
| PLA + 20% MF | 357 | 77.6 | 38.9 | 59.4 | ** | 59.9 | 62.5 | 118 | 61.1 | 7.01 | 70.3 | ||
| PLA + 30% MF | 357 | 77.24 | 30.7 | 59.5 | ** | 31.2 | 62.4 | 114.2 | 60.9 | 2.04 | 40.5 | ||
| MF | 357 | 8.14 | Fiber length | 841 ± 71 μm | |||||||||
| CNC | 305 | 4.67 | ≈75 nm | ||||||||||
© 2020 by the authors. Licensee MDPI, Basel, Switzerland. This article is an open access article distributed under the terms and conditions of the Creative Commons Attribution (CC BY) license (http://creativecommons.org/licenses/by/4.0/).
Share and Cite
Mármol, G.; Gauss, C.; Fangueiro, R. Potential of Cellulose Microfibers for PHA and PLA Biopolymers Reinforcement. Molecules 2020, 25, 4653. https://doi.org/10.3390/molecules25204653
Mármol G, Gauss C, Fangueiro R. Potential of Cellulose Microfibers for PHA and PLA Biopolymers Reinforcement. Molecules. 2020; 25(20):4653. https://doi.org/10.3390/molecules25204653
Chicago/Turabian StyleMármol, Gonzalo, Christian Gauss, and Raul Fangueiro. 2020. "Potential of Cellulose Microfibers for PHA and PLA Biopolymers Reinforcement" Molecules 25, no. 20: 4653. https://doi.org/10.3390/molecules25204653
APA StyleMármol, G., Gauss, C., & Fangueiro, R. (2020). Potential of Cellulose Microfibers for PHA and PLA Biopolymers Reinforcement. Molecules, 25(20), 4653. https://doi.org/10.3390/molecules25204653

