Three Novel Zn-Based Coordination Polymers: Synthesis, Structure, and Effective Detection of Al3+ and S2− Ions
Abstract
1. Introduction
2. Results
2.1. Crystal Structure of [Zn(MIPA)]n (1)
2.2. Crystal Structure of {[Zn(MIPA)(4,4′-bipy)0.5(H2O)]·1.5H2O}n (2)
2.3. Crystal Structure of {[Zn(MIPA)(bpe)]·H2O}n (3)
2.4. Powder Diffraction (PXRD) Analysis and Thermogravimetric Analysis (TGA)
2.5. Solid-State Luminescence
2.6. Selectivity toward Al3+ Ions
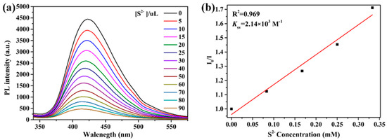
2.7. Selectivity toward S2− Ions
3. Experimental
3.1. Materials and General Methods
3.2. Synthesis of [Zn(MIPA)]n (1)
3.3. Synthesis of {[Zn(MIPA)(4,4′-bpy)0.5(H2O)]·1.5H2O}n (2)
3.4. Synthesis of {[Zn(MIPA)(bpe)]·H2O}n (3)
3.5. Crystallographic Data Collection and Refinement
4. Conclusions
Supplementary Materials
Author Contributions
Funding
Conflicts of Interest
Appendix A
References
- So, H.; Chae, J.B.; Kim, C. A thiol-containing colorimetric chemosensor for relay recognition of Cu2+ and S2− in aqueous media with a low detection limit. Inorg. Chim. Acta 2019, 492, 83–90. [Google Scholar] [CrossRef]
- Zhan, Z.; Jia, Y.; Li, D.; Zhang, X.; Hu, M. A water-stable terbium-MOF sensor for the selective, sensitive, and recyclable detection of Al3+ and CO32− ions. Dalton Trans. 2019, 48, 15255–15262. [Google Scholar] [CrossRef] [PubMed]
- Wang, X.R.; Huang, Z.; Du, J.; Wang, X.Z.; Gu, N.; Tian, X.; Li, Y.; Liu, Y.Y.; Huo, J.Z.; Ding, B. Hydrothermal preparation of five rare-earth (Re = Dy, Gd, Ho, Pr, and Sm) luminescent cluster-based coordination materials: The first MOFs-based ratiometric fluorescent sensor for lysine and bifunctional sensing platform for lnsulin and Al3+. Inorg. Chem. 2018, 57, 12885–12899. [Google Scholar] [CrossRef] [PubMed]
- Joo, D.H.; Mok, J.S.; Bae, G.H.; Oh, S.E.; Kang, J.H.; Kim, C. Colorimetric detection of Cu2+ and fluorescent detection of PO43− and S2− by a multifunctional chemosensor. Ind. Eng. Chem. Res. 2017, 56, 8399–8407. [Google Scholar] [CrossRef]
- Chen, X.; Peng, Y.; Han, X.; Liu, Y.; Lin, X.; Cui, Y. Sixteen isostructural phosphonate metal-organic frameworks with controlled Lewis acidity and chemical stability for asymmetric catalysis. Nat. Commun. 2017, 8, 2171. [Google Scholar] [CrossRef]
- Zhao, N.; Li, Y.; Gu, J.Z.; Fernandes, T.A.; Kirillova, M.V.; Kirillov, M.A. New copper (II) coordination compounds assembled from multifunctional pyridine carboxylate blocks: Synthesis, structures, and satalytic activity in cycloalkane oxidation. Molecules 2019, 24, 6. [Google Scholar] [CrossRef]
- Ji, P.; Drake, T.; Murakami, A.; Oliveres, P.; Skone, J.H.; Lin, W. Tuning Lewis acidity of metal-organic frameworks via perfluorination of bridging ligands: Spectroscopic, theoretical, and catalytic studies. J. Am. Chem. Soc. 2018, 140, 10553–10561. [Google Scholar] [CrossRef]
- Zhu, J.; Usov, P.M.; Xu, W.; Celis-Salazar, P.J.; Lin, S.; Kessinger, M.C.; Landaverde-Alvarado, C.; Cai, M.; May, A.M.; Slebodnick, C.; et al. A new class of metal-cyclam-based zirconium metal-organic frameworks for CO2 adsorption and chemical fixation. J. Am. Chem. Soc. 2018, 140, 993–1003. [Google Scholar] [CrossRef]
- Erhart, O.; Georgiev, P.A.; Krautscheid, H. Desolvation process in the flexible metal–organic framework [Cu (Me-4py-trz-ia)], adsorption of dihydrogen and related structure responses. CrystEngComm 2019, 21, 6523–6535. [Google Scholar] [CrossRef]
- Zhang, Y.; Wang, L.; Zeng, M.; Kurmoo, M. Fabrication of a capillary column coated with the four-fold-interpenetrated MOF Cd (D-Cam) (tmdpy) for gas chromatographic separation. Inorg. Chem. Commun. 2017, 83, 123–126. [Google Scholar] [CrossRef]
- Wang, Q.; Luo, Y.; Hou, R.; Zaman, S.; Qi, K.; Liu, H.; Park, H.S.; Xia, B.Y. Redox tuning in crystalline and electronic structure of bimetal-organic frameworks derived cobalt/nickel boride/sulfide for boosted faradaic capacitance. Adv. Mater. 2019, 31, e1905744. [Google Scholar] [CrossRef] [PubMed]
- Yuan, Z.; Yin, Y.; Xie, C.; Zhang, H.; Yao, Y.; Li, X. Advanced materials for zinc-based flow battery: Development and challenge. Adv. Mater. 2019, 31, e1902025. [Google Scholar] [CrossRef] [PubMed]
- Dolgopolova, E.A.; Brandt, A.J.; Ejegbavwo, O.A.; Duke, A.S.; Maddumapatabandi, T.D.; Galhenage, R.P.; Larson, B.W.; Reid, O.G.; Ammal, S.C.; Heyden, A.; et al. Electronic properties of bimetallic metal-organic frameworks (MOFs): Tailoring the density of electronic states through MOF modularity. J. Am. Chem. Soc. 2017, 139, 5201–5209. [Google Scholar] [CrossRef] [PubMed]
- Liu, Y.; Xie, X.Y.; Cheng, C.; Shao, Z.S.; Wang, H.S. Strategies to fabricate metal–organic framework (MOF)-based luminescent sensing platforms. J. Mater. Chem. C 2019, 7, 10743–10763. [Google Scholar] [CrossRef]
- Ma, Y.L.; Tang, H.J.; Dong, X.; Wang, K.M.; Liu, M.H.; Wang, Y.N. A dual-functional 3D coordination polymer as a luminescent sensor for acetone in an aqueous medium and detecting the temperature. Inorg. Chem. Commun. 2019, 105, 13–19. [Google Scholar] [CrossRef]
- Rosario, J.; da Luz, L.L.; Geris, R.; Ramalho, J.G.S.; da Silva, A.F.; Junior, S.A.; Malta, M. Photoluminescent organisms: How to make fungi glow through biointegration with lanthanide metal-organic frameworks. Nat. Communt. 2019, 9, 7302. [Google Scholar] [CrossRef]
- Wang, K.M.; Ma, Y.L.; Tang, H.J. Lanthanide Coordination Polymers as Luminescent Sensors for the Selective and Recyclable Detection of Acetone. Crystals 2017, 7, 199. [Google Scholar] [CrossRef]
- Hou, B.L.; Tian, D.; Liu, J.; Dong, L.Z.; Li, S.L.; Li, D.S.; Lan, Y.Q. A water-stable metal-organic framework for highly sensitive and selective sensing of Fe3+ ion. Inorg. Chem. 2016, 55, 10580–10586. [Google Scholar] [CrossRef]
- Guo, L.; Liu, Y.; Kong, R.; Chen, G.; Liu, Z.; Qu, F.; Xia, L.; Tan, W. A metal-organic framework as selectivity regulator for Fe3+ and ascorbic acid detection. Anal. Chem. 2019, 91, 12453–12460. [Google Scholar] [CrossRef]
- Zhou, A.M.; Wei, H.; Liu, J.P.; Zhang, X.M.; Shi, D.; Zhu, C.; Schipper, D.; Jones, R.A. Two 2D multiresponsive luminescence coordination polymers for selective sensing of Fe3+, CrVI anions and TNP in aqueous medium. CrystEngComm 2019, 21, 5185–5194. [Google Scholar] [CrossRef]
- Li, H.; Han, W.; Lv, R.; Zhai, A.; Li, X.L.; Gu, W.; Liu, X. Dual-function mixed-lanthanide metal-organic framework for ratiometric water detection in bioethanol and temperature sensing. Anal. Chem. 2019, 91, 2148–2154. [Google Scholar] [CrossRef] [PubMed]
- Kang, X.-M.; Fan, X.-Y.; Hao, P.-Y.; Wang, W.-M.; Zhao, B. A stable zinc–organic framework with luminescence detection of acetylacetone in aqueous solution. Inorg. Chem. Front. 2019, 6, 271–277. [Google Scholar] [CrossRef]
- Vasylevskyi, S.I.; Bassani, D.M.; Fromm, K.M. Anion-induced structural diversity of Zn and Cd coordination polymers based on bis-9,10-(pyridine-4-yl)-anthracene, their luminescent properties, and highly efficient sensing of nitro derivatives and herbicides. Inorg. Chem. 2019, 58, 5646–5653. [Google Scholar] [CrossRef] [PubMed]
- Huang, W.H.; Ren, J.; Yang, Y.H.; Li, X.M.; Wang, Q.; Jiang, N.; Yu, J.Q.; Wang, F.; Zhang, J. Water-stable metal-organic frameworks with selective sensing on Fe3+ and nitroaromatic explosives, and stimuli-responsive luminescence on lanthanide encapsulation. Inorg. Chem. 2019, 58, 1481–1491. [Google Scholar] [CrossRef]
- Li, L.; Cheng, J.; Liu, Z.; Song, L.; You, Y.; Zhou, X.; Huang, W. Ratiometric luminescent sensor of picric acid based on the dual-emission mixed-lanthanide coordination polymer. ACS Appl. Mater. Interfaces 2018, 10, 44109–44115. [Google Scholar] [CrossRef]
- Tian, D.; Liu, X.J.; Feng, R.; Xu, J.L.; Xu, J.; Chen, R.Y.; Huang, L.; Bu, X.H. Microporous luminescent metal-organic framework for a sensitive and selective fluorescence sensing of toxic mycotoxin in moldy sugarcane. ACS Appl. Mater. Interfaces 2018, 10, 5618–5625. [Google Scholar] [CrossRef] [PubMed]
- Han, Z.; Wang, K.; Guo, Y.; Chen, W.; Zhang, J.; Zhang, X.; Siligardi, G.; Yang, S.; Zhou, Z.; Sun, P.; et al. Cation-induced chirality in a bifunctional metal-organic framework for quantitative enantioselective recognition. Nat. Commun. 2019, 10, 5117. [Google Scholar] [CrossRef] [PubMed]
- Wang, J.; Wu, J.; Lu, L.; Ma, A.Q.; Hu, W.S.; Wu, W.P.; Wu, Y.; Sun, Y.C.; Singh, A.; Kumar, A. Two chemically stable Cd (II) polymers as fluorescent sensor and photocatalyst for aromatic dyes. Polymers 2018, 10, 274. [Google Scholar] [CrossRef] [PubMed]
- Ghorai, P.; Dey, A.; Hazra, A.; Dutta, B.; Brandão, P.; Ray, P.P.; Banerjee, P.; Saha, A. Cd (II) based coordination polymer series: Fascinating structures, efficient semiconductors, and promising nitro aromatic sensing. Cryst. Growth Des. 2019, 19, 6431–6447. [Google Scholar] [CrossRef]
- Tunsrichon, S.; Boonmak, J.; Youngme, S. Ultrasonic-assisted synthesis of a Zn (II) coordination polymer in aqueous media and its high-performance luminescent sensing for 2,4,6-trinitrophenol. Cryst. Growth Des. 2019, 19, 2139–2148. [Google Scholar] [CrossRef]
- Wang, C.C.; Ke, S.Y.; Cheng, C.W.; Wang, Y.W.; Chiu, H.S.; Ko, Y.C.; Sun, N.K.; Ho, M.L.; Chang, C.K.; Chuang, Y.C.; et al. Four mixed-ligand Zn (II) three-dimensional metal-organic frameworks: Synthesis, structural diversity, and photoluminescent property. Polymers 2017, 9, 644. [Google Scholar] [CrossRef] [PubMed]
- He, H.M.; Zhu, Q.Q.; Li, C.P.; Du, M. Design of a highly-stable pillar-layer Zinc (II) porous framework for rapid, reversible, and multi-responsive luminescent sensor in water. Cryst. Growth Des. 2019, 19, 2139–2148. [Google Scholar] [CrossRef]
- Zhang, W.H.; Dong, Z.; Wang, Y.Y.; Hou, L.; Jin, J.C.; Huang, W.H.; Shi, Q.Z. Synthesis, structural diversity and fluorescent characterisation of a series of d10 metal-organic frameworks (MOFs): Reaction conditions, secondary ligand and metal effects. Dalton Trans. 2011, 40, 2509–2521. [Google Scholar] [CrossRef] [PubMed]
- Rogovoy, M.I.; Berezin, A.S.; Kozlova, Y.N.; Samsonenko, D.G.; Artem’ev, A.V. A layered Ag (I)-based coordination polymer showing sky-blue luminescence and antibacterial activity. Inorg. Chem. Commun. 2019, 108, 107513. [Google Scholar] [CrossRef]
- Chen, D.M.; Tian, J.Y.; Chen, M.; Liu, C.S.; Du, M. Moisture-stable Zn (II) metal-organic framework as a multifunctional platform for highly efficient CO2 capture and nitro pollutant vapor detection. ACS Appl. Mater. Interfaces 2016, 8, 18043–18050. [Google Scholar] [CrossRef]
- Liang, X.; Guo, Z.; Wei, H.; Liu, X.; Lv, H.; Xing, H. Selective photooxidation of sulfides mediated by singlet oxygen using visible-light-responsive coordination polymers. Chem. Commun. 2018, 54, 13002–13005. [Google Scholar] [CrossRef]
- Artem’ev, A.V.; Doronina, E.P.; Rakhmanova, M.L.; Tarasova, O.A.; Bagryanskaya, L.Y.; Nedolya, N.A. Chemoselective mechanochemical route toward a bright TADF-emitting CuI-based coordination polymer. Inorg. Chem. Front. 2019, 6, 671. [Google Scholar] [CrossRef]
- Berezin, A.S.; Davydova, M.P.; Bagryanskaya, L.Y.; Artyushin, O.I.; Brel, V.K.; Artem’ev, A.V. A red-emitting Mn (II)-based coordination polymer build on 1,2,4,5-tetrakis (diphenylphosphinyl) benzene. Inorg. Chem. Commun. 2019, 107, 107473. [Google Scholar] [CrossRef]
- Qi, Y.J.; Wang, Y.J.; Li, X.X.; Zhao, D.; Sun, Y.Q.; Zheng, S.T. Two d10 metal–organic frameworks as low-temperature luminescent molecular thermometers. Cryst. Growth Des. 2018, 18, 7383–7390. [Google Scholar] [CrossRef]
- Sheldrick, G.M. Program for the Refinement of Crystal Structures; University of Göttingen: Göttingen, Germany, 1993. [Google Scholar]
- Sheldrick, G.M. A short history of SHELX. Acta Crystallogr. Sect. A 2008, 64, 112–122. [Google Scholar] [CrossRef]
- Sheldrick, G.M. Crystal structure refinement with SHELXL. Acta Crystallogr. Sect. C 2015, 71, 3–8. [Google Scholar] [CrossRef] [PubMed]
- Burla, M.C.; Caliandro, R.; Camalli, M.; Carrozzini, B.; Cascarano, G.L.; De Caro, L.; Giacovazzo, C.; Polidori, G.; Spagna, R. SIR2004: An improved tool for crystal structure determination and refinement. J. Appl. Cryst. 2005, 38, 381–388. [Google Scholar] [CrossRef]
Sample Availability: Samples of the compounds 1–3 are available from the authors. |













| Compound | 1 | 2 | 3 |
|---|---|---|---|
| Empirical formula | C9H6O5Zn | C14H15ZnNO7.5 | C21H17ZnN2O6 |
| Formula weight | 259.51 | 382.64 | 458.75 |
| Crystal system | Orthorhombic | Monoclinic | Orthorhombic |
| Space group | Pbca | C2/c | Pnna |
| a/Å | 6.9761 (17) | 18.346 (3) | 7.996 (2) |
| b/Å | 14.443 (4) | 12.2149 (16) | 17.355 (5) |
| c/Å | 17.319 (4) | 16.850 (3) | 15.110 (4) |
| α/° | 90.00 | 90.00 | 90.00 |
| β/° | 90.00 | 121.911(2) | 90.00 |
| γ/° | 90.00 | 90.00 | 90.00 |
| Volume/Å3 | 1745.0(8) | 3205.26 | 2096.8(10) |
| Z | 8 | 8 | 8 |
| Dc/g cm−3 | 1.976 | 1.586 | 1.453 |
| μ/mm−1 | 2.810 | 1.571 | 1.211 |
| F(000) | 1040.0 | 1568.0 | 940.0 |
| Independent reflections | 2090 | 3772 | 2543 |
| Rint | 0.1138 | 0.0405 | 0.0494 |
| Goodness-of-fit on F2 | 0.954 | 1.024 | 1.036 |
| R1, wR2(I > = 2σ(I)) | 0.0508, 0.1046 | 0.0450, 0.1255 | 0.0553, 0.1621 |
| R1, wR2 (all data) | 0.1393, 0.1339 | 0.0776, 0.1421 | 0.1039, 0.1863 |
| Δρmax/Δρmin (e Å−3) | 1.43/−0.74 | 0.5/−0.65 | 0.42/−0.5 |
© 2020 by the authors. Licensee MDPI, Basel, Switzerland. This article is an open access article distributed under the terms and conditions of the Creative Commons Attribution (CC BY) license (http://creativecommons.org/licenses/by/4.0/).
Share and Cite
Wang, Y.; Zhang, X.; Zhao, Y.; Zhang, S.; Li, S.; Jia, L.; Du, L.; Zhao, Q. Three Novel Zn-Based Coordination Polymers: Synthesis, Structure, and Effective Detection of Al3+ and S2− Ions. Molecules 2020, 25, 382. https://doi.org/10.3390/molecules25020382
Wang Y, Zhang X, Zhao Y, Zhang S, Li S, Jia L, Du L, Zhao Q. Three Novel Zn-Based Coordination Polymers: Synthesis, Structure, and Effective Detection of Al3+ and S2− Ions. Molecules. 2020; 25(2):382. https://doi.org/10.3390/molecules25020382
Chicago/Turabian StyleWang, Yuna, Xiaofeng Zhang, Yanru Zhao, Suoshu Zhang, Shifen Li, Lei Jia, Lin Du, and Qihua Zhao. 2020. "Three Novel Zn-Based Coordination Polymers: Synthesis, Structure, and Effective Detection of Al3+ and S2− Ions" Molecules 25, no. 2: 382. https://doi.org/10.3390/molecules25020382
APA StyleWang, Y., Zhang, X., Zhao, Y., Zhang, S., Li, S., Jia, L., Du, L., & Zhao, Q. (2020). Three Novel Zn-Based Coordination Polymers: Synthesis, Structure, and Effective Detection of Al3+ and S2− Ions. Molecules, 25(2), 382. https://doi.org/10.3390/molecules25020382
