Downregulation of Inflammatory Cytokine Release from IL-1β and LPS-Stimulated PBMC Orchestrated by ST2825, a MyD88 Dimerisation Inhibitor
Abstract
1. Introduction
2. Results
2.1. Inhibitory Activity of ST2825 Molecule in rhIL-1β and LPS-Stimulated PBMC
2.2. Inhibition of Pro-Inflammatory Cytokines Orchestrated by ST2825 in LPS-Stimulated PBMC
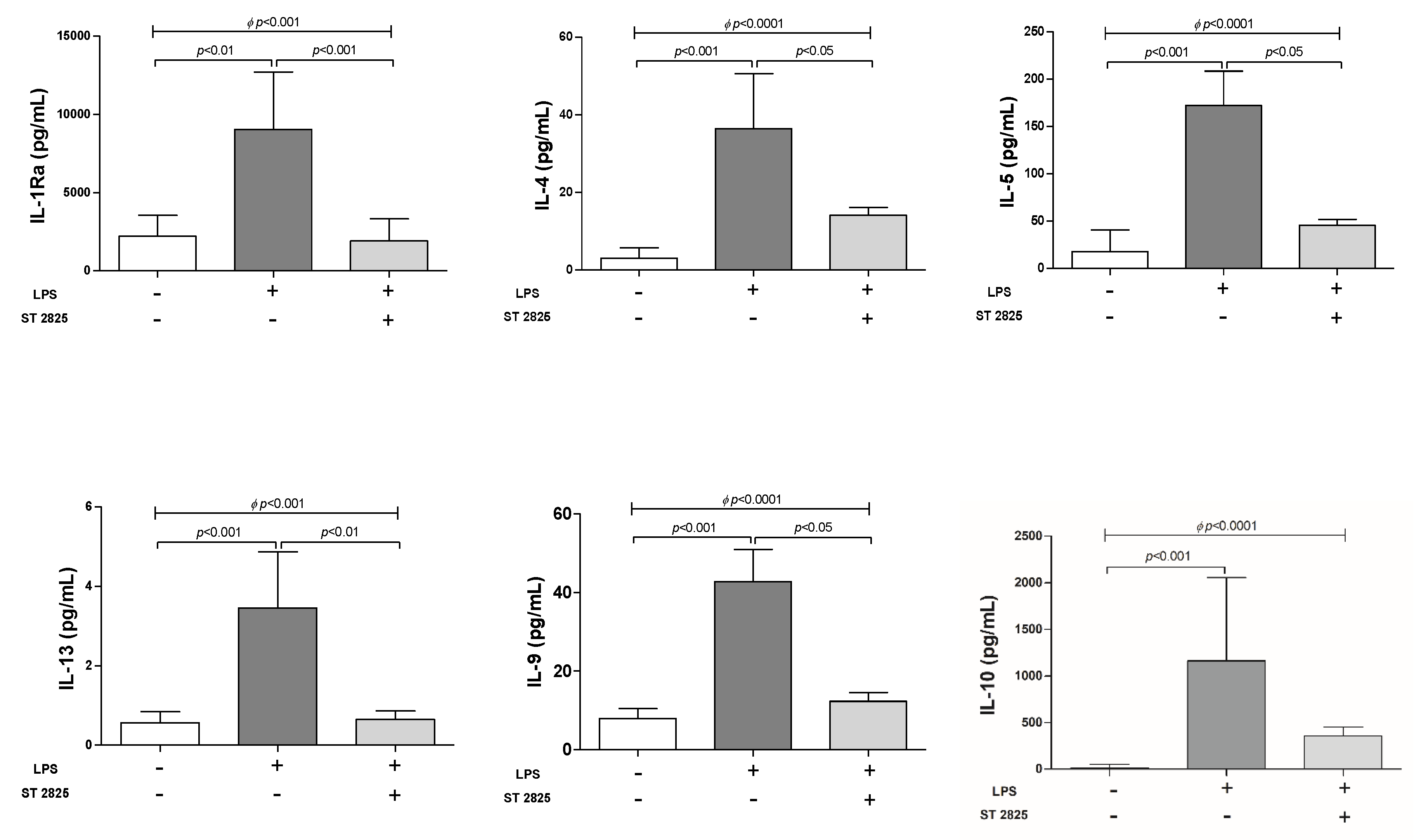
2.3. Inhibition of Anti-Inflammatory Cytokines Orchestrated by ST2825 in LPS-Stimulated PBMC
2.4. Inhibition of Pro- and Anti-Inflammatory Cytokines Orchestrated by ST2825 in rhIL-1β-Stimulated PBMC
3. Discussion
4. Experimental Section
4.1. Reagents
4.2. Subjects
4.3. Isolation of PBMC
4.4. Ex-Vivo Induction of Cytokines from rhIL-1β and LPS-Stimulated PBMC
4.5. Cytokine Analysis by Multiple Analyte Profiling (xMAP) Technology
4.6. Statistics
Supplementary Materials
Author Contributions
Funding
Conflicts of Interest
References
- Deguine, J.; Barton, G.M. MyD88: A central player in innate immune signaling. F1000Prime Rep. 2014, 6, 97. [Google Scholar] [CrossRef]
- Balka, K.R.; De Nardo, D. Understanding early TLR signaling through the Myddosome. J. Leukoc. Biol. 2018, 105, 339–351. [Google Scholar] [CrossRef]
- Dinarello, C.A. The IL-1 family of cytokines and receptors in rheumatic diseases. Nat. Rev. Rheumatol. 2019, 15, 612–632. [Google Scholar] [CrossRef] [PubMed]
- Newton, K.; Dixit, V.M. Signaling in innate immunity and inflammation. Cold Spring Harb. Perspect. Biol. 2012, 4, a006049. [Google Scholar] [CrossRef] [PubMed]
- Elshabrawy, H.A.; Essani, A.E.; Szekanecz, Z.; Fox, D.A.; Shahrara, S. TLRs, future potential therapeutic targets for RA. Autoimmun. Rev. 2017, 16, 103–113. [Google Scholar] [CrossRef]
- Boraschi, D.; Tagliabue, A. The interleukin-1 receptor family. Semin. Immunol. 2013, 25, 394–407. [Google Scholar] [CrossRef] [PubMed]
- Akira, S.; Takeda, K.; Kaisho, T. Toll-like receptors: Critical proteins linking innate and acquired immunity. Nat. Immunol. 2001, 2, 675–680. [Google Scholar] [CrossRef]
- Vijay, K. Toll-like receptors in immunity and inflammatory diseases: Past, present, and future. Int. Immunopharmacol. 2018, 59, 391–412. [Google Scholar] [CrossRef]
- Rossol, M.; Heine, H.; Meusch, U.; Quandt, D.; Klein, C.; Sweet, M.J.; Hauschildt, S. LPS-induced cytokine production in human monocytes and macrophages. Crit. Rev. Immunol. 2011, 31, 379–446. [Google Scholar] [CrossRef]
- Brinson, C.W.; Lu, Z.; Li, Y.; Lopes-Virella, M.F.; Huang, Y. Lipopolysaccharide and IL-1β coordinate a synergy on cytokine production by upregulating MyD88 expression in human gingival fibroblasts. Mol. Immunol. 2016, 79, 47–54. [Google Scholar] [CrossRef]
- Lappas, M. The IL-1β signalling pathway and its role in regulating pro-inflammatory and pro-labour mediators in human primary myometrial cells. Reprod. Biol. 2017, 17, 333–340. [Google Scholar] [CrossRef] [PubMed]
- Scuderi, F.; Convertino, R.; Molino, N.; Provenzano, C.; Marino, M.; Zoli, A.; Bartoccioni, E. Effect of pro-inflammatory/anti-inflammatory agents on cytokine secretion by peripheral blood mononuclear cells in rheumatoid arthritis and systemic lupus erythematosus. Autoimmunity 2003, 36, 71–77. [Google Scholar] [CrossRef] [PubMed]
- Smedman, C.; Gårdlund, B.; Nihlmark, K.; Gille-Johnson, P.; Andersson, J.; Paulie, S. ELISpot analysis of LPS-stimulated leukocytes: Human granulocytes selectively secrete IL-8, MIP-1beta and TNF-alpha. J. Immunol. Methods 2009, 346, 1–8. [Google Scholar] [CrossRef] [PubMed]
- Chovanova, L.; Vlcek, M.; Krskova, K.; Penesova, A.; Radikova, Z.; Rovensky, J.; Cholujova, D.; Sedlak, J.; Imrich, R. Increased production of IL-6 and IL-17 in lipopolysaccharide-stimulated peripheral mononuclears from patients with rheumatoid arthritis. Gen Physiol. Biophys. 2013, 32, 395–404. [Google Scholar] [CrossRef] [PubMed][Green Version]
- Van Dooren, F.H.; Duijvis, N.W.; te Velde, A.A. Analysis of cytokines and chemokines produced by whole blood, peripheral mononuclear and polymorphonuclear cells. J. Immunol. Methods 2013, 396, 128–133. [Google Scholar] [CrossRef]
- Olson, M.A.; Lee, M.S.; Kissner, T.L.; Alam, S.; Waugh, D.S.; Saikh, K.U. Discovery of small molecule inhibitors of MyD88-dependent signaling pathways using a computational screen. Sci. Rep. 2015, 5, 14246. [Google Scholar] [CrossRef]
- Avbelj, M.; Horvat, S.; Jerala, R. The role of intermediary domain of MyD88 in cell activation and therapeutic Inhibition of TLRs. J. Immunol. 2011, 187, 2394–2404. [Google Scholar] [CrossRef]
- Li, J.; Wang, X.; Zhang, F.; Yin, H. Toll-like receptors as therapeutic targets for autoimmune connective tissue diseases. Pharmacol. Ther. 2013, 138, 441–451. [Google Scholar] [CrossRef]
- Loiarro, M.; Capolunghi, F.; Fantò, N.; Gallo, G.; Campo, S.; Arseni, B.; Carsetti, R.; Carminati, P.; De Santis, R.; Ruggiero, V.; et al. Pivotal Advance: Inhibition of MyD88 dimerisation and recruitment of IRAK1 and IRAK4 by a novel peptidomimetic compound. J. Leukoc. Biol. 2007, 82, 801–810. [Google Scholar] [CrossRef]
- Capolunghi, F.; Rosado, M.M.; Cascioli, S.; Girolami, E.; Bordasco, S.; Vivarelli, M.; Ruggiero, B.; Cortis, E.; Insalaco, A.; Fantò, N.; et al. Pharmacological inhibition of TLR9 activation blocks autoantibody production in human B cells from SLE patients. Rheumatology 2010, 49, 2281–2289. [Google Scholar] [CrossRef]
- Loiarro, M.; Ruggiero, V.; Sette, C. Targeting the Toll-like receptor/interleukin 1 receptor pathway in human diseases: Rational design of MyD88 inhibitors. Clin. Lymphoma Myeloma Leuk. 2013, 13, 222–226. [Google Scholar] [CrossRef] [PubMed][Green Version]
- Long, T.; Liu, Z.; Shang, J.; Zhou, X.; Yu, S.; Tian, H.; Bao, Y. Polygonatum sibiricum polysaccharides play anti-cancer effect through TLR4-MAPK/NF-κB signaling pathways. Int. J. Biol. Macromol. 2018, 111, 813–821. [Google Scholar] [CrossRef] [PubMed]
- Weber, A.; Wasiliew, P.; Kracht, M. Interleukin-1 (IL-1) pathway. Sci. Signal. 2010, 3. [Google Scholar] [CrossRef] [PubMed]
- Hua, H.; Du, Y.; Ma, R.; Zhang, B.-B.; Yu, Q.; Li, B.; Xu, J.-T.; Li, X.-Y.; Tang, R.-X.; Yan, C.; et al. The Regulatory Roles of Toll-Like Receptor 4 in Secretions of Type 1/Type 2 Relative Cytokines by Splenocytes and Dendritic Cells Exposed to Clonorchis sinensis Excretory/Secretory Products. Inflammation 2018, 41, 213–220. [Google Scholar] [CrossRef]
- Shirakawa, F.; Tanaka, Y.; Ota, T.; Suzuki, H.; Eto, S.; Yamashita, U. Expression of interleukin 1 receptors on human peripheral T cells. J. Immunol. 1987, 138, 4243–4248. [Google Scholar]
- Garlanda, C.; Dinarello, C.A.; Mantovani, A. The interleukin-1 family: Back to the future. Immunity 2013, 39, 1003–1018. [Google Scholar] [CrossRef]
- Vasilyev, F.F.; Lopatnikova, J.A.; Sennikov, S.V. Optimised flow cytometry protocol for analysis of surface expression of interleukin-1 receptor types I and II. Cytotechnology 2013, 65, 795–802. [Google Scholar] [CrossRef]
- Shiratori, H.; Feinweber, C.; Luckhardt, S.; Linke, B.; Resch, E.; Geisslinger, G.; Weigert, A.; Parnham, M.J. THP-1 and human peripheral blood mononuclear cell-derived macrophages differ in their capacity to polarise in vitro. Mol. Immunol. 2017, 88, 58–68. [Google Scholar] [CrossRef]
- Bhattacharya, S.; Aggarwal, A. M2 macrophages and their role in rheumatic diseases. Rheumatol. Int. 2018, 39, 769–780. [Google Scholar] [CrossRef]
- Lechner, J.; Chen, M.; Hogg, R.E.; Toth, L.; Silvestri, G.; Chakravarthy, U.; Xu, H. Peripheral blood mononuclear cells from neovascular age-related macular degeneration patients produce higher levels of chemokines CCL2 (MCP-1) and CXCL8 (IL-8). J. Neuroinflamm. 2017, 14, 42. [Google Scholar] [CrossRef]
- Rothfuchs, A.G.; Trumstedt, C.; Wigzell, H.; Rottenberg, M.E. Intracellular bacterial infection-induced IFN-gamma is critically but not solely dependent on Toll-like receptor 4-myeloid differentiation factor 88-IFN-alpha beta-STAT1 signaling. J. Immunol. 2004, 172, 6345–6353. [Google Scholar] [CrossRef] [PubMed]
- Park, J.-H.; Jeong, S.-Y.; Choi, A.-J.; Kim, S.-J. Lipopolysaccharide directly stimulates Th17 differentiation in vitro modulating phosphorylation of RelB and NF-κB1. Immunol. Lett. 2015, 165, 10–19. [Google Scholar] [CrossRef] [PubMed]
- Peyssonnaux, C.; Cejudo-Martin, P.; Doedens, A.; Zinkernagel, A.S.; Johnson, R.S.; Nizet, V. Cutting edge: Essential role of hypoxia inducible factor-1alpha in development of lipopolysaccharide-induced sepsis. J. Immunol. 2007, 178, 7516–7519. [Google Scholar] [CrossRef]
- Matsui-Hasumi, A.; Sato, Y.; Uto-Konomi, A.; Yamashita, S.; Uehori, J.; Yoshimura, A.; Yamashita, M.; Asahara, H.; Suzuki, S.; Kubo, M. E3 ubiquitin ligases SIAH1/2 regulate hypoxia-inducible factor-1 (HIF-1)-mediated Th17 cell differentiation. Int. Immunol. 2017, 29, 133–143. [Google Scholar] [CrossRef]
- Nyati, K.K.; Masuda, K.; Zaman, M.M.-U.; Dubey, P.K.; Millrine, D.; Chalise, J.P.; Higa, M.; Li, S.; Standley, D.M.; Saito, K.; et al. TLR4-induced NF-κB and MAPK signaling regulate the IL-6 mRNA stabilising protein Arid5a. Nucleic Acids Res. 2017, 45, 2687–2703. [Google Scholar] [CrossRef] [PubMed]
- El Chartouni, C.; Schwarzfischer, L.; Rehli, M. Interleukin-4 induced interferon regulatory factor (Irf) 4 participates in the regulation of alternative macrophage priming. Immunobiology 2010, 215, 821–825. [Google Scholar] [CrossRef]
- Negishi, H.; Ohba, Y.; Yanai, H.; Takaoka, A.; Honma, K.; Yui, K.; Matsuyama, T.; Taniguchi, T.; Honda, K. Negative regulation of Toll-like-receptor signaling by IRF-4. Proc. Natl. Acad. Sci. USA 2005, 102, 15989–15994. [Google Scholar] [CrossRef]
- Pena, O.M.; Pistolic, J.; Raj, D.; Fjell, C.D.; Hancock, R.E.W. Endotoxin tolerance represents a distinctive state of alternative polarisation (M2) in human mononuclear cells. J. Immunol. 2011, 186, 7243–7254. [Google Scholar] [CrossRef]
- O’Carroll, C.; Fagan, A.; Shanahan, F.; Carmody, R.J. Identification of a unique hybrid macrophage-polarisation state following recovery from lipopolysaccharide tolerance. J. Immunol. 2014, 192, 427–436. [Google Scholar] [CrossRef]
- Sutton, C.E.; Lalor, S.J.; Sweeney, C.M.; Brereton, C.F.; Lavelle, E.C.; Mills, K.H.G. Interleukin-1 and IL-23 induce innate IL-17 production from gammadelta T cells, amplifying Th17 responses and autoimmunity. Immunity 2009, 31, 331–341. [Google Scholar] [CrossRef]
- Cai, Y.; Shen, X.; Ding, C.; Qi, C.; Li, K.; Li, X.; Jala, V.R.; Zhang, H.; Wang, T.; Zheng, J.; et al. Pivotal role of dermal IL-17-producing γδ T cells in skin inflammation. Immunity 2011, 35, 596–610. [Google Scholar] [CrossRef]
- Chung, Y.; Chang, S.H.; Martinez, G.J.; Yang, X.O.; Nurieva, R.; Kang, H.S.; Ma, L.; Watowich, S.S.; Jetten, A.M.; Tian, Q.; et al. Critical regulation of early Th17 cell differentiation by interleukin-1 signaling. Immunity 2009, 30, 576–587. [Google Scholar] [CrossRef] [PubMed]
- Hu, Y.; Xu, F.; Zhang, R.; Legarda, D.; Dai, J.; Wang, D.; Li, H.; Zhang, Y.; Xue, Q.; Dong, G.; et al. Interleukin-1β-induced IRAK1 ubiquitination is required for TH-GM-CSF cell differentiation in T cell-mediated inflammation. J. Autoimmun. 2019, 102, 50–64. [Google Scholar] [CrossRef] [PubMed]
- Langlet, C.; Springael, C.; Johnson, J.; Thomas, S.; Flamand, V.; Leitges, M.; Goldman, M.; Aksoy, E.; Willems, F. PKC-alpha controls MYD88-dependent TLR/IL-1R signaling and cytokine production in mouse and human dendritic cells. Eur. J. Immunol. 2010, 40, 505–515. [Google Scholar] [CrossRef]
- Thornton, R.D.; Lane, P.; Borghaei, R.C.; Pease, E.A.; Caro, J.; Mochan, E. Interleukin 1 induces hypoxia-inducible factor 1 in human gingival and synovial fibroblasts. Biochem. J. 2000, 350, 307–312. [Google Scholar] [CrossRef] [PubMed]
- Jung, Y.-J.; Isaacs, J.S.; Lee, S.; Trepel, J.; Neckers, L. IL-1beta-mediated up-regulation of HIF-1alpha via an NFkappaB/COX-2 pathway identifies HIF-1 as a critical link between inflammation and oncogenesis. FASEB J. 2003, 17, 2115–2117. [Google Scholar] [CrossRef] [PubMed]
- Sartori-Cintra, A.R.; de Mara, C.S.; Argolo, D.L.; Coimbra, I.B. Regulation of hypoxia-inducible factor-1α (HIF-1α) expression by interleukin-1β (IL-1 β), insulin-like growth factors I (IGF-I) and II (IGF-II) in human osteoarthritic chondrocytes. Clinics 2012, 67, 35–40. [Google Scholar] [CrossRef]
- Yao, H.; Hu, C.; Yin, L.; Tao, X.; Xu, L.; Qi, Y.; Han, X.; Xu, Y.; Zhao, Y.; Wang, C.; et al. Dioscin reduces lipopolysaccharide-induced inflammatory liver injury via regulating TLR4/MyD88 signal pathway. Int. Immunopharmacol. 2016, 36, 132–141. [Google Scholar] [CrossRef]
- Yang, X.; Chen, G.T.; Wang, Y.Q.; Xian, S.; Zhang, L.; Zhu, S.M.; Pan, F.; Cheng, Y.X. TLR4 promotes the expression of HIF-1α by triggering reactive oxygen species in cervical cancer cells in vitro-implications for therapeutic intervention. Mol. Med. Rep. 2018, 17, 2229–2238. [Google Scholar] [CrossRef]
- Deng, Y.; Sun, J.; Zhang, L.D. Effect of ST2825 on the proliferation and apoptosis of human hepatocellular carcinoma cells. Genet. Mol. Res. 2016, 15, 15016826. [Google Scholar] [CrossRef]
- Zhang, H.-S.; Li, H.; Zhang, D.-D.; Yan, H.-Y.; Zhang, Z.-H.; Zhou, C.-H.; Ye, Z.-N.; Chen, Q.; Jiang, T.-W.; Liu, J.-P.; et al. Inhibition of myeloid differentiation factor 88(MyD88) by ST2825 provides neuroprotection after experimental traumatic brain injury in mice. Brain Res. 2016, 1643, 130–139. [Google Scholar] [CrossRef] [PubMed]
- Shiratori, E.; Itoh, M.; Tohda, S. MYD88 Inhibitor ST2825 Suppresses the Growth of Lymphoma and Leukaemia Cells. Anticancer Res. 2017, 37, 6203–6209. [Google Scholar] [PubMed]
- Dinarello, C.A. Overview of the interleukin-1 family of ligands and receptors. Semin. Immunol. 2013, 25, 389–393. [Google Scholar] [CrossRef] [PubMed]
- Palomo, J.; Dietrich, D.; Martin, P.; Palmer, G.; Gabay, C. The interleukin (IL)-1 cytokine family—Balance between agonists and antagonists in inflammatory diseases. Cytokine 2015, 76, 25–37. [Google Scholar] [CrossRef]
- Li, C.; Zienkiewicz, J.; Hawiger, J. Interactive sites in the MyD88 Toll/interleukin (IL) 1 receptor domain responsible for coupling to the IL1beta signaling pathway. J. Biol. Chem. 2005, 280, 26152–26159. [Google Scholar] [CrossRef]
- Loiarro, M.; Sette, C.; Gallo, G.; Ciacci, A.; Fantò, N.; Mastroianni, D.; Carminati, P.; Ruggiero, V. Peptide-mediated interference of TIR domain dimerisation in MyD88 inhibits interleukin-1-dependent activation of NF-{kappa}B. J. Biol. Chem. 2005, 280, 15809–15814. [Google Scholar] [CrossRef]
- Ahmad, R.; Sylvester, J.; Zafarullah, M. MyD88, IRAK1 and TRAF6 knockdown in human chondrocytes inhibits interleukin-1-induced matrix metalloproteinase-13 gene expression and promoter activity by impairing MAP kinase activation. Cell. Signal. 2007, 19, 2549–2557. [Google Scholar] [CrossRef]
- Wang, X.; Tan, Y.; Huang, Z.; Huang, N.; Gao, M.; Zhou, F.; Hu, J.; & Feng, W. Disrupting myddosome assembly in diffuse large B-cell lymphoma cells using the MYD88 dimerisation inhibitor ST2825. Oncol. Rep. 2019, 42, 1755–1766. [Google Scholar]
- Huang, Y.; Smith, D.E.; Ibáñez-Sandoval, O.; Sims, J.E.; Friedman, W.J. Neuron-specific effects of interleukin-1β are mediated by a novel isoform of the IL-1 receptor accessory protein. J. Neurosci. 2011, 31, 18048–18059. [Google Scholar] [CrossRef]
- Smith, D.E.; Lipsky, B.P.; Russell, C.; Ketchem, R.R.; Kirchner, J.; Hensley, K.; Huang, Y.; Friedman, W.J.; Boissonneault, V.; Plante, M.-M.; et al. A central nervous system-restricted isoform of the interleukin-1 receptor accessory protein modulates neuronal responses to interleukin-1. Immunity 2009, 30, 817–831. [Google Scholar] [CrossRef]
- Heinz, L.X.; Rebsamen, M.; Rossi, D.C.; Staehli, F.; Schroder, K.; Quadroni, M.; Gross, O.; Schneider, P.; Tschopp, J. The death domain-containing protein Unc5CL is a novel MyD88-independent activator of the pro-inflammatory IRAK signaling cascade. Cell Death Differ. 2012, 19, 722–731. [Google Scholar] [CrossRef] [PubMed]
- E Gallenga, C.; Pandolfi, F.; Caraffa, A.; Kritas, S.K.; Ronconi, G.; Toniato, E.; Martinotti, S.; Conti, P. Interleukin-1 family cytokines and mast cells: Activation and inhibition. J. Biol. Regul. Homeost. Agents 2019, 33, 1–6. [Google Scholar]
- Caraffa, A.; Gallenga, C.E.; Kritas, S.K.; Ronconi, G.; Di Emidio, P.; Conti, P. CAR-T cell therapy causes inflammation by IL-1 which activates inflammatory cytokine mast cells: Anti-inflammatory role of IL-37. J. Biol. Regul. Homeost. Agents 2019, 33, 1981–1985. [Google Scholar]
- Conti, P.; Ronconi, G.; Caraffa, A.; Gallenga, C.E.; Ross, R.; Frydas, I.; Kritas, S.K. Induction of pro-inflammatory cytokines (IL-1 and IL-6) and lung inflammation by Coronavirus-19 (COVI-19 or SARS-CoV-2): Anti-inflammatory strategies. J. Biol. Regul. Homeost. Agents 2020, 34, 327–331. [Google Scholar] [PubMed]
Sample Availability: Samples of the compounds are available from the authors. |




| Pro-Inflammatory Cytokine Profile | |||||
| RPMI | rhIL-1β | * p-Value | rhIL-1β + ST2825 | ** p-Value | |
| TNF-α | 825.3 (304.3–2020) | 1158 (648–1918) | ns | 409 (289.5–303.8) | ns |
| IFN-γ | 70.3 (18.6–126.6) | 167.8 (137.4–184) | ns | 26.52 (24.20–33.3) | <0.01 |
| IL-6 | 434 (171.4–1333) | 894.2 (720.4–1795) | ns | 982.3 (713.3–2371) | ns |
| IL-12 | 1.4 (0.4–1.4) | 4.8 (4.4–5.1) | <0.01 | 4.7 (3.2–5.1) | ns |
| IL-17A | 12.2 (6.3–23.7) | 86.8 (74–88.4) | <0.05 | 81.1 (71–86.2) | ns |
| G-CSF | 131.8 (82.1–243.6) | 293.6 (241.9–534.8) | <0.05 | 402.2 (277.1–573.2) | ns |
| GM-CSF | 1.4 (0.8–2.6) | 5.4 (4.9–5.8) | <0.05 | 5.2 (4–5.7) | ns |
| IL-2 | 18.1 (8.1–38.2) | 41.1 (37.3–49.6) | ns | 28.5 (24.8–29.9) | ns |
| VEGF | 0 (0–88.5) | 723.4 (586.2–805.3) | <0.05 | 843.2 (585.1–954.2) | ns |
| IL-15 | 1.2 (0–17.4) | 74.1 (69.7–77.3) | <0.05 | 78.06 (70.65–79.3) | ns |
| IL-7 | 14.2 (7.7–17.7) | 28.7 (22.1–30.7) | ns | 25.7 (16.9–30.1) | ns |
| Anti-Inflammatory Cytokine Profile | |||||
| RPMI | rhIL-1β | * p-Value | rhIL-1β + ST2825 | ** p-Value | |
| IL-1Ra | 2211 (1165–3543) | 3339 (2399–3710) | ns | 670 (426–1638) | <0.001 |
| IL-4 | 3 (1.6–5.6) | 13.7 (12.8–14.6) | <0.01 | 13.5 (12.3–14) | ns |
| IL-5 | 17.9 (8.6–40.5) | 53 (49.1–60) | ns | 45.8 (37.4–57.3) | ns |
| IL-13 | 0.6 (0.2–0.8) | 1.1 (0.9–1.2) | ns | 1 (0.9–1.1) | ns |
| IL-10 | 13.3 (5.6–50.5) | 43 (27.1–83.6) | ns | 22.8 (13.2–35.6) | ns |
| IL-9 | 7.9 (5.3–10.5) | 14 (12.3–15.3) | <0.01 | 12.7 (10–16.3) | ns |
© 2020 by the authors. Licensee MDPI, Basel, Switzerland. This article is an open access article distributed under the terms and conditions of the Creative Commons Attribution (CC BY) license (http://creativecommons.org/licenses/by/4.0/).
Share and Cite
Ramírez-Pérez, S.; Hernández-Palma, L.A.; Oregon-Romero, E.; Anaya-Macías, B.U.; García-Arellano, S.; González-Estevez, G.; Muñoz-Valle, J.F. Downregulation of Inflammatory Cytokine Release from IL-1β and LPS-Stimulated PBMC Orchestrated by ST2825, a MyD88 Dimerisation Inhibitor. Molecules 2020, 25, 4322. https://doi.org/10.3390/molecules25184322
Ramírez-Pérez S, Hernández-Palma LA, Oregon-Romero E, Anaya-Macías BU, García-Arellano S, González-Estevez G, Muñoz-Valle JF. Downregulation of Inflammatory Cytokine Release from IL-1β and LPS-Stimulated PBMC Orchestrated by ST2825, a MyD88 Dimerisation Inhibitor. Molecules. 2020; 25(18):4322. https://doi.org/10.3390/molecules25184322
Chicago/Turabian StyleRamírez-Pérez, Sergio, Luis Alexis Hernández-Palma, Edith Oregon-Romero, Brian Uriel Anaya-Macías, Samuel García-Arellano, Guillermo González-Estevez, and José Francisco Muñoz-Valle. 2020. "Downregulation of Inflammatory Cytokine Release from IL-1β and LPS-Stimulated PBMC Orchestrated by ST2825, a MyD88 Dimerisation Inhibitor" Molecules 25, no. 18: 4322. https://doi.org/10.3390/molecules25184322
APA StyleRamírez-Pérez, S., Hernández-Palma, L. A., Oregon-Romero, E., Anaya-Macías, B. U., García-Arellano, S., González-Estevez, G., & Muñoz-Valle, J. F. (2020). Downregulation of Inflammatory Cytokine Release from IL-1β and LPS-Stimulated PBMC Orchestrated by ST2825, a MyD88 Dimerisation Inhibitor. Molecules, 25(18), 4322. https://doi.org/10.3390/molecules25184322

