Next Article in Journal
Quinoline-Based Molecules Targeting c-Met, EGF, and VEGF Receptors and the Proteins Involved in Related Carcinogenic Pathways
Next Article in Special Issue
N-Alkylated Iminosugar Based Ligands: Synthesis and Inhibition of Human Lysosomal β-Glucocerebrosidase
Previous Article in Journal
Semi-Continuous Flow Biocatalysis with Affinity Co-Immobilized Ketoreductase and Glucose Dehydrogenase
Previous Article in Special Issue
Mechanistic Insights into the Chaperoning of Human Lysosomal-Galactosidase Activity: Highly Functionalized Aminocyclopentanes and C-5a-Substituted Derivatives of 4-epi-Isofagomine
 
 
Due to scheduled maintenance work on our servers, there may be short service disruptions on this website between 11:00 and 12:00 CEST on March 28th.
Font Type:
Arial Georgia Verdana
Font Size:
Aa Aa Aa
Line Spacing:
Column Width:
Background:
Article

Synthesis of Fucose Derivatives with Thiol Motifs towards Suicide Inhibition of Helicobacter pylori

1
Centre for Synthesis and Chemical Biology, University College Dublin, Belfield, Dublin 4, Ireland
2
Department of Pharmacy, University of Pisa, Via Bonanno 33, 56126 Pisa, Italy
3
VIB-VUB Center for Structural Biology, Pleinlaan 2, Building E, 1050 Brussel, Belgium
*
Author to whom correspondence should be addressed.
Molecules 2020, 25(18), 4281; https://doi.org/10.3390/molecules25184281
Submission received: 19 August 2020 / Revised: 7 September 2020 / Accepted: 10 September 2020 / Published: 18 September 2020
(This article belongs to the Special Issue Targeting Carbohydrate–Protein Interactions)

Abstract

The syntheses of six thiol-exhibiting monosaccharides towards suicide inhibition of Helicobacter pylori are reported. Blood group Antigen Binding Adhesin (BabA), a bacterial membrane-bound lectin, binds to human ABO and Lewis b blood group structures displayed on the surface of host epithelial cells. Crystal structures of the carbohydrate-recognition domain revealed a conserved disulfide bonded loop that anchors a critical fucose residue in these blood group structures. Disruption of this loop by N-acetylcysteine results in reduced BabA-mediated adherence to human gastric tissue sections and attenuated virulence in Lewis b-expressing transgenic mice. With a view of creating specific inhibitors of the lectin, we designed and successfully synthesised six fucose-derived compounds with thiol motifs to engage in a thiol-disulfide exchange with this disulfide bond of BabA and form a glycan-lectin disulfide linkage. Branching and extending the fucose backbone with 2- and 3-carbon thiol motifs delivered a range of candidates to be tested for biological activity against BabA.

Graphical Abstract

1. Introduction

Helicobacter pylori, a Gram-negative helical-shaped bacterium, infects the stomach of almost 50% of the population [1,2,3]. Though most infections tend to be asymptomatic, in up to 10% of carriers, H. pylori is associated with the development of diseases such as gastritis, peptic ulcers and, in extreme cases, stomach cancers [4,5,6,7,8]. The bacterium survives the harsh acidic conditions of the stomach due to generation of ammonia and bicarbonate from epithelial urea and buries itself into the gastric mucosa, where the pH is relatively neutral [9,10]. Current treatments for infections have moved towards combination therapies, which involve the use of a proton-pump inhibitor and at least two antibiotics due to increasing levels of antibiotic resistance [11,12,13,14,15].
Binding of H. pylori to host epithelial cells is multivalent, but a prominent interaction is that of the blood group Antigen Binding Adhesin BabA to human ABO and Lewis b blood group structures of the lacto series displayed on the surface of the cells [16,17]. Transfer of effector proteins like VacA and CagA is facilitated through this binding, which increases the virulence of BabA-positive strains. Studies have shown that strains which are triple-positive for BabA, VacA and CagA are significantly more likely to cause gastric diseases [18].
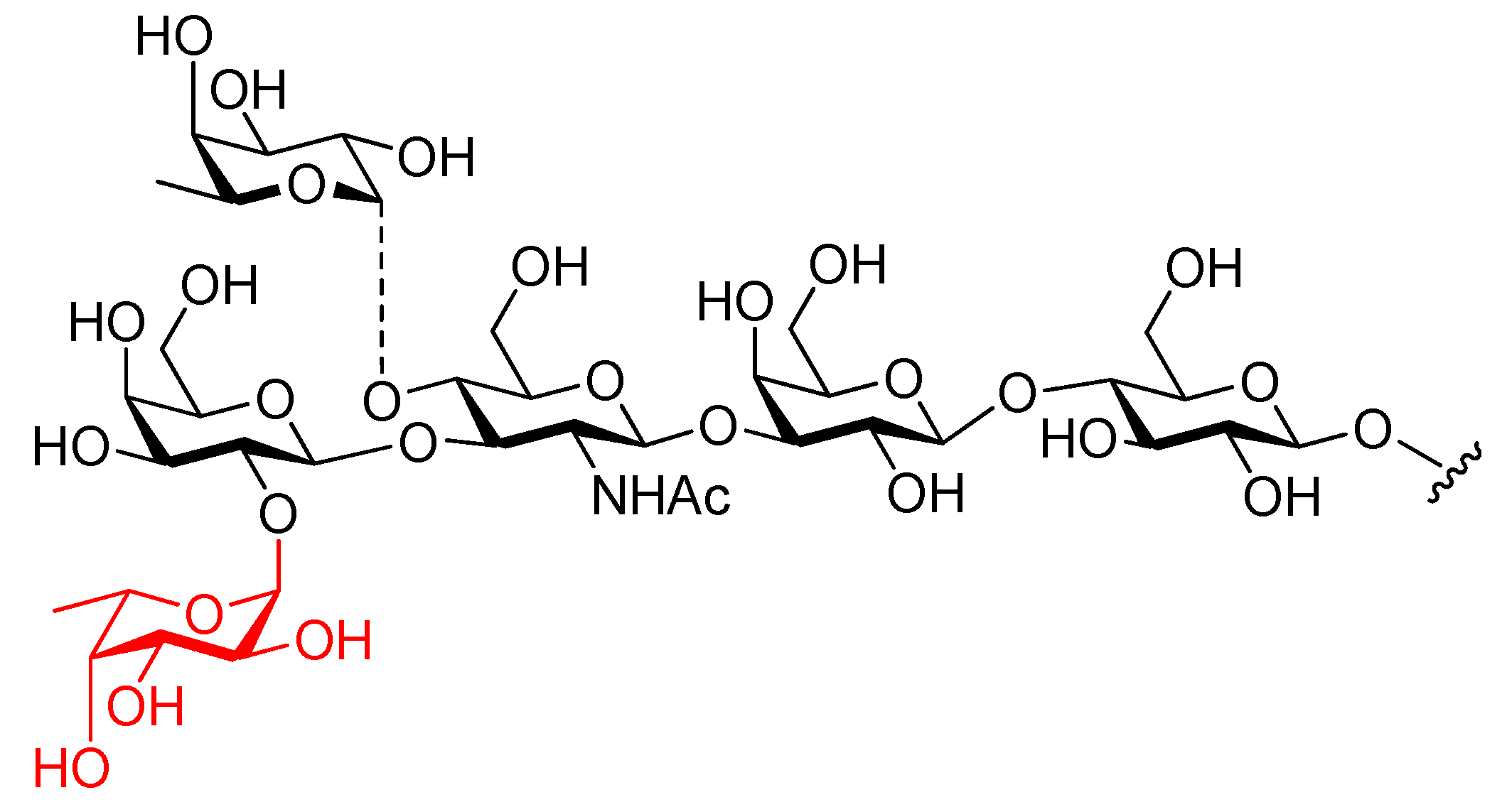
Moonens et al. reported a series of crystal structures of the carbohydrate-recognition domain of BabA bound to a Lewis b hexasaccharide synthesised in our group [19,20,21]. Structures of BabA originating from different clinical isolates showed a highly polymorphous binding site, with the exception of a fucose-binding subsite. A particular paratope, Cysteine-clasped Loop 2 (CL2), was observed to be strongly conserved and served as a critical anchoring point for the binding of the α(1→2) linked fucose residue in the blood group antigen structures (Figure 1).
CL2 was reported by Moonens et al. to contain a disulfide bond between Cys189 and Cys197, constraining the loop into the conformation in which the α(1→2) fucose residue is bound [19]. Interestingly, they outlined that BabA-mediated adherence of H. pylori to human gastric tissue sections was prevented through treatment with the redox reagent N-acetylcysteine (NAC). Furthermore, Leb-expressing transgenic mice infected with H. pylori showed reduced bacterial titers and neutrophil infiltration when their drinking water was dosed with NAC. The authors attributed these observations to disruption of the Cys189-Cys197 disulfide bond, providing optimism for this to be a target of future H. pylori inhibitors. However, due to the lack in binding specificity for the BabA carbohydrate binding site, high doses of NAC are required to reduce the CL2 disulfide and inhibit BabA adherence [19].
Based on the proof-of-principle of NAC in diminishing H. pylori binding, we hypothesised that we could design more specific redox-active inhibitors of BabA by mimicking the natural fucosyl epitope of CL2 and introducing thiol moieties onto fucose-derived backbones. These compounds could then potentially perform a thiol-disulfide exchange with the Cys189-Cys197 disulfide bond and act as suicide inhibitors of BabA (Scheme 1).
Based on rational design, we targeted the syntheses of compounds 16 (Figure 2). The 2- and 3-carbon spacers were desired to enable reaching towards the disulfide bond in CL2. We decided to synthesise α-O-methyl glycosides to stay consistent with the natural α-linkage, as shown previously in Figure 1.
Targets 1 and 2 both exhibited axial thiol motifs from the 2-position, with the structures being branched to attempt to maintain H-bonding interactions with the 2-OH. Inspired by the work of Cleator et al., we envisioned proceeding via oxidation of the 2-position followed by addition of an alkenyl Grignard reagent (Scheme 2) [22]. This would then provide us with a handle to perform thiol-ene reactions to introduce thiol groups. Since we predicted that the Grignard reaction would generate a mixture of diastereomers, we chose to also synthesise equatorial thiol compounds 3 and 4.
Given that the 4-substituent of L-fucose is natively axial, we aimed to take advantage of this by extending the 4-position in targets 5 and 6, rather than branching at another location. Introduction of a secondary amine at this position was also desired to aid in maintaining H-bonding interactions within CL2. We decided to follow a similar pathway to Rabuka et al. and perform a double inversion at the 4-position to introduce an axial azido group [23]. Reduction would then yield an intermediate containing a primary amine (Scheme 3), with N-alkylation allowing us to introduce 2- and 3-carbon spacers towards 5 and 6.
For target 5, we proposed introducing the 2-carbon motif through N-alkylation with an alkyl bromide containing a protected thiol (Scheme 4). Deprotection would then yield the final structure.
Towards target 6, we envisioned installing an N-allyl group and then performing a thiol-ene reaction to introduce a protected thiol. Removal of the protecting groups would then afford the target compound (Scheme 5).

2. Results and Discussion

2.1. Branched Targets 14

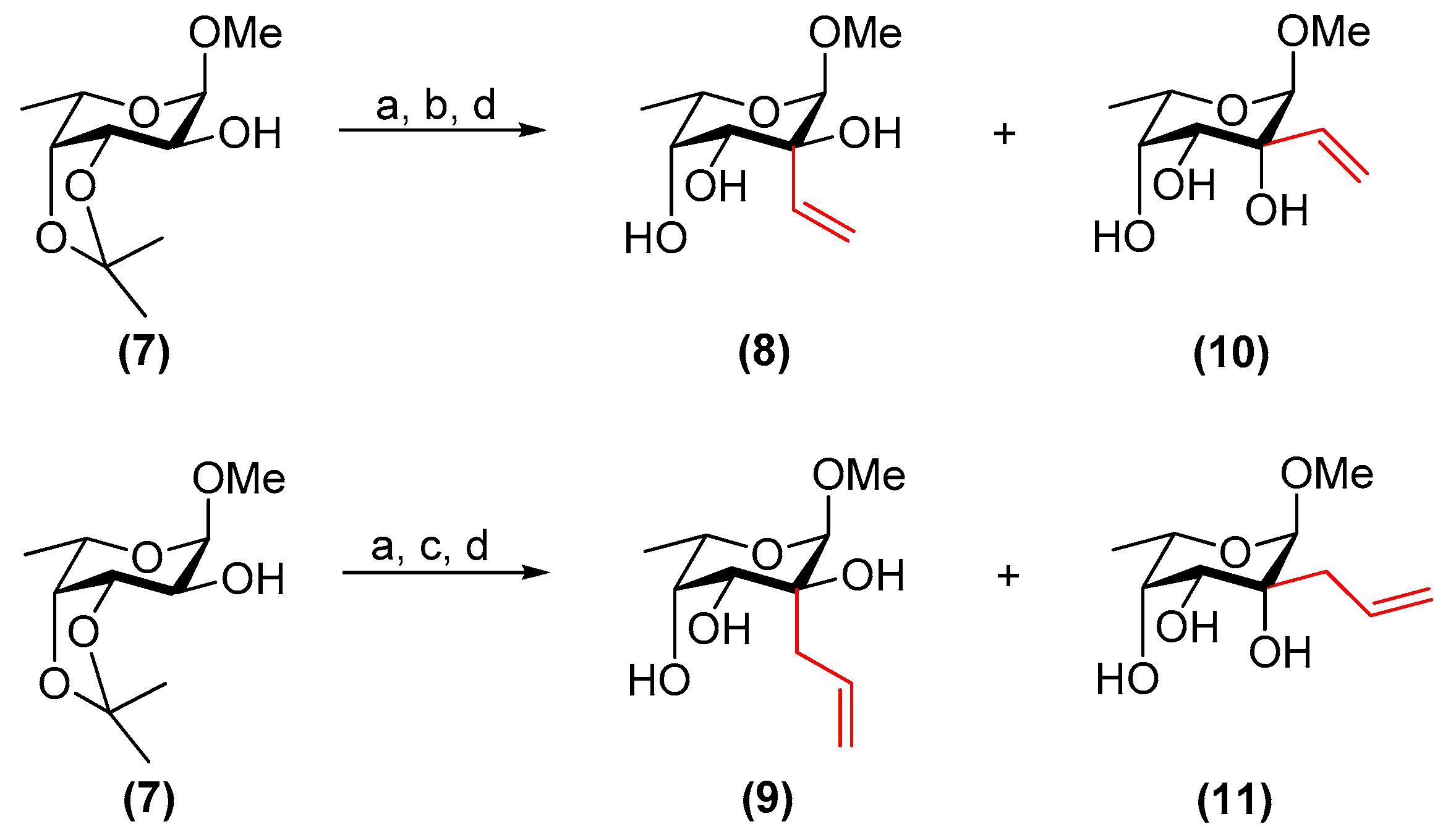
In a telescoped procedure (Scheme 6) beginning from 3,4-isopropylidene protected compound 7, the 2-OH was oxidised to the corresponding ulose with N-methylmorpholine N-oxide (NMO) and catalytic tetrapropylammonium perruthenate (TPAP) [24,25,26,27]. This was then used in a Grignard reaction with vinylmagnesium bromide, followed by acidic cleavage of the isopropylidene group, yielding triols 8 (14%) and 10 (50%) over 3 steps. Compounds 9 (34%) and 11 (21%) were prepared in a similar fashion over 3 steps using allylmagnesium bromide as the Grignard reagent. Each diastereomer was separated by flash chromatography and the stereochemistry was assigned through analysis of NOESY spectra.
Compounds 8, 9, 10 and 11 underwent AIBN-initiated thiol-ene reactions with thioacetic acid to furnish corresponding thioacetate-containing compounds 12, 13, 14 and 15, respectively, in yields between 73% and 85% (Scheme 7). Deacetylation with freshly prepared, de-gassed NaOMe/MeOH solution in dry, de-gassed MeOH yielded targets 14 in yields ranging from 92%–95%, with little to no evidence of unwanted disulfide side-products. Monitoring of the deacetylations proved to be difficult since the thioacetates and their corresponding free thiols had the same Rf values by TLC. However, the reactions were observed to be complete in a short period of time (5–15 min) with longer reaction times (16–18 h) leading to some disulfide formation.

2.2. Extended Targets 5 and 6

Commencing with 2,3-butanediacetal (BDA)-protected compound 16, the 4-OH was triflated with Tf2O in CH2Cl2/Py at −40 °C and subsequently displaced with Bu4NOAc, furnishing equatorial 4-OAc compound 17 in a 68% yield over 2 steps [28]. The Rf values of the triflate and 17 were extremely similar by TLC and so mass spectrometry aided in monitoring of the displacement reaction. Deacetylation under Zemplén conditions then yielded compound 18 (94%) [29,30]. Triflation, similar to before, and SN2 inversion with NaN3 furnished 19 (70% over 2 steps). Pd-catalysed reduction of the azido-group, under a H2 atmosphere, generated primary amine intermediate 20 in a 91% yield (Scheme 8).

2.2.1. Target 5

Towards target 5, as detailed in Scheme 9, we opted to proceed via N-alkylation using alkyl bromide 21 [31]. Alkylation of the primary amine of 20, in the presence of K2CO3 and KI, proceeded in a 40% yield to furnish compound 22. When using these mild alkylation conditions, we typically observed little to no over-alkylation of the amine; however, we suspect the diminished yield was due to S→N acyl-transfer taking place as a side-reaction [32]. The BDA protecting group was then removed in TFA/H2O, yielding 77% of diol 23. We often observed the formation of an amine-TFA salt during this reaction, but stirring with Amberlyst® A21 resin afterwards removed any TFA and was therefore incorporated as part of the work-up [33].
At this point, deacetylation was attempted, but resulted in the formation of a range of products (inseparable by TLC/flash chromatography). Upon further investigation, we realised that compound 23 had degraded within 5 days. Interestingly, Paritala et al. have also reported degradation upon isolation of a product containing the same 2-carbon thioacetyl motif [34]. They reported that stability of their product could be increased by replacing the thioacetyl group with that of a thiobenzoyl, perhaps suggesting that degradation was occurring due to migration of the acetyl group. We therefore decided trial the approach of employing a benzoyl protecting group.
Alkyl bromide 24 was synthesised from 1,2-dibromoethane and sodium thiobenzoate in an 86% yield [35]. Paritala et al. reported the use of microwave methodology to alkylate a primary amine in their synthetic pathway using 24 [34]. However, in our hands, we only observed S→N acyl-transfer using these conditions [32]. We then attempted N-alkylation at 80 °C in an oil bath in the presence of potassium iodide. In this case, we were able to isolate compound 25 in a 49% yield, with some S→N acyl-transfer still being observed by TLC (Scheme 10). The progress of the reaction if performed at room temperature, or without KI being present, was too slow to be viable.
Acid hydrolysis in TFA/H2O yielded diol 26 (64% yield), with no degradation being observed after isolation. De-benzoylation with freshly prepared, de-gassed 1 M NaOMe/MeOH in dry, de-gassed MeOH yielded target 5 (Scheme 10). Flash chromatography was performed through a small plug of silica gel, using de-gassed solvents, to remove methyl benzoate, the by-product from the reaction. From the mass of material collected, a 58% yield was obtained. However, according to 1H NMR data, up to 5% of the corresponding disulfide was isolated, giving an actual yield of 55% of thiol 5.

2.2.2. Target 6

Compound 20 underwent N-alkylation with allyl bromide and K2CO3 in DMF to allow us to perform a thiol-ene reaction towards target 6. Mono-alkylated product 27 was isolated in a 68% yield (Scheme 11) with what was hypothesised to be minor over-alkylation visible by TLC.
Firstly, using 27 and thioacetic acid, AIBN was trialled as an initiator in a similar procedure to what yielded compounds 1215. However, the reaction did not deliver positive results, with a complex mixture observed by TLC. Povie et al. outlined problems when performing thiol-ene reactions where an O-allyl or benzylic alkenyl substrate was used [36]. They reported poor yields and regioselectivity and attributed these difficulties to the stability of the radical on the carbon next to the aromatic ring or oxygen during the mechanism. This led to formation of numerous side-products due to disproportionation or recombination. Since we possessed an N-allyl group, we believed that our problems may have been similar to what Povie et al. observed. They reported the use of Et3B (initiator), catechol (repair reagent) and thioacetic acid in CH2Cl2 to mend the thiol-ene process and when these conditions were performed with 27, the reaction proceeded smoothly to furnish compound 28 in an 83% yield (Scheme 11).
The BDA protecting group of 28 was removed via acid hydrolysis in TFA/H2O (68% yield), generating compound 29, with no degradation being observed over time. Deacetylation using dry, de-gassed reagents and solvents furnished target 6 in an 88% yield based on the mass of material collected (Scheme 11). From 1H NMR data, up to 12% of the disulfide was observed, giving an actual yield of 77% free thiol 6.
NMR spectra of compounds 129 are available in the Supplementary Materials.

3. Materials and Methods

Reactions were monitored by thin-layer chromatography (TLC) on Merck DC-Alufolien plates precoated with silica gel 60 F254 in the eluents states in parentheses (v/v). Visualisation was performed with UV-light (254 nm) and/or staining with 8% H2SO4/EtOH solution. All chemicals were purchased from commercial suppliers [Carbosynth Ltd. (Compton, Berkshire, UK), Fisher Scientific Ltd. (Blanchardstown, Co. Dublin, Ireland), Glycom A/S (Hørsholm, Denmark), Merck (Carrigtwohill, Co. Cork, Ireland), Sigma-Aldrich (Arklow, Co. Wicklow, Ireland), VWR (Blanchardstown, Co. Dublin, Ireland) and were used without purification. Dry solvents were obtained from a PureSolv-ENTM solvent purification system (Innovative Technology Inc., Hong Kong) or were used as purchased from Sigma-Aldrich (Arklow, Co. Wicklow, Ireland) in AcroSeal® bottles. NMR spectra were recorded on Varian Inova spectrometers (Varian, Ltd., Palo Alto, CA, USA) at 25 °C. High-resolution mass spectrometry (HRMS) data were recorded on a Waters Micromass LCT LC-TOF instrument using electrospray ionisation (ESI) in positive mode. Specific rotations were recorded (Model 343) at the sodium D-line (589 nm) at 20 °C in a 1 dm cell at the stated concentration (c 1.0 = 10 mg/mL) on a Perkin-Elmer polarimeter (PerkinElmer Ltd., Waltham, MA, USA), except for compound 17 which was recorded on a Schmidt-Haensch UniPol L 2000 polarimeter. Deprotected sugars were lyophilised using a Christ Alpha 1-2 LDplus (SciQuip Ltd., Shropshire, UK) freeze-dryer: pressure: 0.035 mbar; ice-condenser temperature: −55 °C. Each proton and carbon belonging to the monosaccharide ring systems was numbered according to conventional guidelines [37].

3.1. General Procedure A (Preparation of Compounds 1215)

Thioacetic acid (20 eq.) and azobisisobutyronitrile (1 eq.) were added to a solution of the alkene-bearing sugar (1 eq.) in dry, de-gassed 1,4-dioxane (0.5 mL) under N2. The reaction mixture was refluxed at 75 °C and after 3 h, the volatiles were removed in vacuo. Flash chromatography on silica gel yielded the desired product.

3.2. General Procedure B (Preparation of Compounds 14)

A freshly prepared solution of dry, de-gassed 0.4 M NaOMe/MeOH was added to a solution of the thioacetate-containing sugar in dry, de-gassed MeOH (1 mL) under N2 until pH 13 was reached. The mixture was stirred at room temperature for 5 min. The solution was then neutralised with Dowex® (H+) ion-exchange resin and the resin was filtered off and washed with MeOH. The filtrate was concentrated in vacuo to furnish the product.

3.3. Methyl 2-C-vinyl-α-l-fucopyranoside (8) and Methyl 6-deoxy-2-C-vinyl-α-l-talopyranoside (10)

Four Å molecular sieves (150 mg), 4-methylmorpholine N-oxide (180 mg, 1.53 mmol), and tetrapropylammonium perruthenate (27 mg, 77 µmol) were added sequentially to a solution of compound 7 (180 mg, 0.825 mmol) in dry CH2Cl2 (7.5 mL). The resulting mixture was stirred at room temperature. After 2 h, TLC analysis (CH2Cl2/acetone, 9:1) showed the disappearance of the starting material and the formation of a less polar spot. The mixture was filtered through a Celite®-silica-Celite® triple pad, and the filter was washed with CH2Cl2 (10 mL) and EtOAc (15 mL). The filtrate was concentrated in vacuo to afford a white solid which was used without further purification.
The crude was dissolved in dry toluene (10 mL) and the solution was cooled to 0 °C. 1 M vinylmagnesium bromide/THF (2.5 mL, 2.5 mmol) was then added dropwise. After 10 min, EtOH (1 mL) and sat. aq. NaHCO3 solution (10 mL) were added. The resulting mixture was extracted with EtOAc (2 × 20 mL), and the combined organic phase was dried over MgSO4. The solids were filtered off and the filtrate was concentrated in vacuo.
The crude residue was dissolved in MeOH (15 mL) and Dowex® (H+) acidic ion-exchange resin (400 mg) was added. The mixture was stirred at room temperature and after 16 h, the solids were filtered off and the filtrate was concentrated in vacuo. The residue was purified by flash column chromatography on silica gel (toluene/EtOAc, 3:7→EtOAc) to afford 8 (23 mg, 14%) and 10 (85 mg, 50%) over 3 steps as white amorphous solids.
(8): Rf = 0.4 (EtOAc); [α] D 20 −85 (c 0.5, CHCl3); 1H NMR (500 MHz, CDCl3) δ 6.29 (dd, J = 17.4, 11.0 Hz, 1H, CH2=CH), 5.53 (dd, J = 17.5, 1.9 Hz, 1H, CH2(A)=CH), 5.32 (dd, J = 11.1, 1.9 Hz, 1H, CH2(B)=CH), 4.48 (s, 1H, H-1), 3.99 (qd, J = 6.6, 1.8 Hz, 1H, H-5), 3.85 (br s, 1H, H-3 or H-4), 3.81 (br s, 1H, H-3 or H-4), 3.43 (s, 3H, OCH3), 2.65 (s, 1H, OH), 2.57 (d, J = 4.6 Hz, 1H, OH), 2.30 (d, J = 3.3 Hz, 1H, OH), 1.32 (d, J = 6.6 Hz, 3H, H-6); 13C NMR (126 MHz, CDCl3) δ 136.6 (CH2=CH), 116.8 (CH2=CH), 102.7 (C-1), 74.5 (C-2), 73.3 (C-3 or C-4), 71.4 (C-3 or C-4), 65.6 (C-5), 55.7 (OCH3), 16.1 (C-6); HRMS (ESI) m/z calculated for C9H16O5 [M + Na]+ 227.0895, found 227.0905.
(10): Rf = 0.5 (EtOAc); [α] D 20 −150 (c 1.0, CHCl3); 1H NMR (500 MHz, CDCl3) δ 5.91 (dd, J = 17.4, 10.9 Hz, 1H, CH2=CH), 5.48 (dd, J = 17.4, 1.6 Hz, 1H, CH2(A)=CH), 5.31 (dd, J = 10.9, 1.6 Hz, 1H, CH2(B)=CH), 4.39 (s, 1H, H-1), 4.25 (s, 1H, OH), 3.97 (q, J = 6.6 Hz, 1H, H-5), 3.90 (d, J = 6.3 Hz, 1H, OH), 3.76-3.71 (m, 2H, H-3, H-4), 3.48 (m, 1H, OH), 3.34 (s, 3H, OCH3), 1.32 (d, J = 6.6 Hz, 3H, H-6); 13C NMR (126 MHz, CDCl3) δ 137.8 (CH2=CH), 116.7 (CH2=CH), 104.4 (C-1), 75.5 (C-2), 72.1, 68.8 (C-3, C-4), 66.0 (C-5), 55.4 (OCH3), 16.5 (C-6); HRMS (ESI) m/z calculated for C9H16O5 [M + Na]+ 227.0895, found 227.0894.

3.4. Methyl 2-C-allyl-α-l-fucopyranoside (9) and Methyl 2-C-allyl-6-deoxy-α-l-talopyranoside (11)

Four Å molecular sieves (150 mg), 4-methylmorpholine N-oxide (252 mg, 2.15 mmol), and tetrapropylammonium perruthenate (38 mg, 0.11 mmol) were added sequentially to a solution of 7 (252 mg, 1.15 mmol) in dry CH2Cl2 (10 mL). The resulting mixture was stirred at room temperature. After 1.5 h, TLC analysis (CH2Cl2/acetone, 9:1) showed the disappearance of the starting material and the formation of a less polar spot. The mixture was filtered through a Celite®-silica-Celite® triple pad, and the filter was washed with CH2Cl2 (10 mL) and EtOAc (15 mL). The filtrate was concentrated in vacuo to afford a white solid which was used without further purification.
The crude was dissolved in dry toluene (10 mL) and the solution was cooled to 0 °C before adding 1 M allylmagnesium bromide/Et2O (3.5 mL, 3.5 mmol) dropwise. After 10 min, EtOH (1 mL) and sat. aq. NaHCO3 solution (10 mL) were added. The resulting mixture was extracted with EtOAc (2 × 20 mL), and the organic phase was dried over MgSO4. The solids were filtered off and the filtrate was concentrated in vacuo.
The crude residue was dissolved in MeOH (15 mL) and Dowex® (H+) acidic ion-exchange resin (600 mg) was added. The mixture was stirred at room temperature and after 48 h, the solids were filtered off and the filtrate was concentrated in vacuo. The residue was purified by flash chromatography on silica gel (toluene/EtOAc, 1:1→EtOAc) to afford 9 (86 mg, 34%) and 11 (54 mg, 21%) over 3 steps as white amorphous solids.
(9): Rf = 0.3 (EtOAc); [α] D 20 −145 (c 1.0, CHCl3); 1H NMR (500 MHz, CDCl3) δ 5.93 (m, 1H, CH2=CH), 5.25–5.02 (m, 2H, CH2=CH), 4.56 (s, 1H, H-1), 3.93 (q, J = 6.5 Hz, 1H, H-5), 3.88 (d, J = 3.5 Hz, 1H, H-3 or H-4), 3.81 (br s, 1H, H-3 or H-4), 3.61–3.47 (m, 1H, OH), 3.39 (s, 3H, OCH3), 2.86–2.58 (m, 4H, CH-CH2, 2 × OH), 1.30 (d, J = 6.5 Hz, 3H, H-6); 13C NMR (151 MHz, CDCl3) δ 133.9 (CH2=CH), 118.7 (CH2=CH), 101.1 (C-1), 73.45 (C-2), 73.41 (C-3 or C-4), 71.4 (C-3 or C-4), 65.6 (C-5), 55.6 (OCH3), 36.1 (CH-CH2), 16.0 (C-6); HRMS (ESI) m/z calculated for C10H18O5 [M + Na]+ 241.1052, found 241.1064.
(11): Rf = 0.4 (EtOAc); [α] D 20 −66 (c 1.0, CHCl3); 1H NMR (500 MHz, CDCl3) δ 5.87 (m, 1H, CH2=CH), 5.18 (s, 1H, CH2(A)=CH), 5.15 (m, 1H, CH2(B)=CH), 4.45 (s, 1H, H-1), 3.92 (q, J = 6.6 Hz, 1H, H-5), 3.68–3.52 (m, 4H, H-3, H-4, 2 × OH), 3.35 (s, 3H, OCH3), 2.60 (m, 1H, CH-CH2(A)), 2.33 (m, 1H, CH-CH2(B)), 1.30 (d, J = 6.6 Hz, 1H, H-6); 13C NMR (151 MHz, CDCl3) δ 132.6 (CH2=CH), 119.4 (CH2=CH), 102.9 (C-1), 74.6 (C-2), 72.8 (C-3 or C-4), 69.7 (C-3 or C-4), 65.8 (C-5), 55.3 (OCH3), 38.8 (CH-CH2), 16.5 (C-6); HRMS (ESI) m/z calculated for C10H18O5 [M + Na]+ 241.1052, found 241.1054.

3.5. Methyl 2-C-[2-acetylthioethyl]-α-l-fucopyranoside (12)

Compound 8 (14 mg, 69 µmol) was subjected to General Procedure A and purified by flash chromatography on silica gel (toluene/EtOAc, 3:2→EtOAc) to afford 12 (14 mg, 73%) as a white amorphous solid. Rf = 0.6 (EtOAc); [α] D 20 −59 (c 1.0, CHCl3); 1H NMR (500 MHz, CDCl3) δ 4.61 (s, 1H, H-1), 3.93 (qd, J = 6.6, 1.9 Hz, 1H, H-5), 3.88 (br s, 1H, H-3), 3.82 (br s, 1H, H-4), 3.42 (s, 3H, OCH3), 3.13 (ddd, J = 13.3, 11.1, 5.3 Hz, 1H, CH2(A)SAc), 3.02 (d, J = 3.8 Hz, 1H, OH), 2.90 (ddd, J = 13.3, 11.3, 5.4 Hz, 1H, CH2(B)SAc), 2.63 (d, J = 1.4 Hz, 1H, OH), 2.44 (m, 1H, OH), 2.32 (s, 3H, CH3(SAc)), 2.20 (ddd, J = 14.5, 11.4, 5.3 Hz, 1H, C(sugar)-CH2(A)), 2.06 (m, 1H, C(sugar)-CH2(B)), 1.30 (d, J = 6.7 Hz, 3H, H-6); 13C NMR (126 MHz, CDCl3) δ 196.7 (C=O), 101.2 (C-1), 73.6 (C-3), 73.4 (C-2), 71.3 (C-4), 65.8 (C-5), 55.8 (OCH3), 31.9 (CH2-SAc), 30.7 (CH3(SAc)), 23.9 (C(sugar)-CH2), 15.9 (C-6); HRMS (ESI) m/z calculated for C11H20OsS [M + Na]+ 303.0878, found 303.0878.

3.6. Methyl 2-C-[3-acetylthiopropyl]-α-l-fucopyranoside (13)

Compound 9 (67 mg, 0.31 mmol) was subjected to General Procedure A and purified by flash chromatography on silica gel (toluene/EtOAc, 1:1→EtOAc) to afford 13 (76 mg, 84%) as a white amorphous solid. Rf = 0.5 (EtOAc); [α] D 20 #x2212;74 (c 1.0, CHCl3); 1H NMR (500 MHz, CDCl3) δ 4.55 (s, 1H, H-1), 3.93 (m, 1H, H-5), 3.85 (t, J = 3.9 Hz, 1H, H-3), 3.81 (br s, 1H, H-4), 3.56 (d, J = 4.1 Hz, 1H, OH), 3.40 (s, 3H, OCH3), 2.87 (m, 2H, CH2-SAc), 2.82 (m, 1H, OH), 2.72 (d, J = 1.3 Hz, 1H, OH), 2.32 (s, 3H, CH3(SAc)), 1.99–1.87 (m, 2H, -CH2-), 1.79 (m, 1H, C(sugar)-CH2(A)), 1.61 (m, 1H, C(sugar)-CH2(B)), 1.29 (d, J = 6.7 Hz, 3H, H-6); 13C NMR (126 MHz, CDCl3) δ 196.4 (C=O), 100.9 (C-1), 73.5 (C-2), 73.5 (C-3), 71.4 (C-4), 65.6 (C-5), 55.6 (OCH3), 30.7 (CH3(SAc)), 30.2 (-CH2-), 29.8 (CH2-SAc), 23.4 (C(sugar)-CH2), 15.9 (C-6); HRMS (ESI) m/z calculated for C12H22O6S [M + Na]+ 317.1035, found 317.1027.

3.7. Methyl 2-C-[2-acetylthioethyl]-6-deoxy-α-l-talopyranoside (14)

Compound 10 (50 mg, 0.25 mmol) was subjected to General Procedure A and purified by flash chromatography on silica gel (toluene/EtOAc, 3:2→EtOAc) to afford 14 (59 mg, 85%) as a white amorphous solid. Rf = 0.6 (EtOAc); [α] D 20 −72 (c 1.0, CHCl3); 1H NMR (500 MHz, CDCl3) δ 4.57 (s, 1H, H-1), 4.14 (s, 1H, OH), 3.95–3.82 (m, 2H, H-5, OH), 3.74 (d, J = 9.2 Hz, 1H, OH), 3.67 (dd, J = 6.9, 3.0 Hz, 1H, H-4), 3.55 (dd, J = 9.3, 3.0 Hz, 1H, H-3), 3.35 (s, 3H, OCH3), 3.04 (ddd, J = 13.3, 11.4, 4.7 Hz, 1H, CH2(A)-SAc), 2.85 (ddd, J = 13.3, 11.2, 5.7 Hz, 1H, CH2(B)-SAc), 2.33 (s, 3H, CH3(SAc)), 2.05 (ddd, J = 14.1, 11.2, 4.7 Hz, 1H, C(sugar)-CH2(A)), 1.83 (ddd, J = 14.1, 11.2, 5.7 Hz, 1H, C(sugar)-CH2(B)), 1.30 (d, J = 6.6 Hz, 3H, H-6); 13C NMR (126 MHz, CDCl3) δ 196.9 (C=O), 102.6 (C-1), 74.6 (C-2), 72.7 (C-4), 69.7 (C-3), 65.7 (C-5), 55.3 (OCH3), 34.6 (CH2-SAc), 30.7 (CH3(SAc)), 23.0 (C(sugar)-CH2), 16.5 (C-6); HRMS (ESI) m/z calculated for C11H20OsS [M + Na]+ 303.0878, found 303.0872.

3.8. Methyl 2-C-[3-acetylthiopropyl]-6-deoxy-α-l-talopyranoside (15)

Compound 11 (38 mg, 0.17 mmol) was subjected to General Procedure A and purified by flash chromatography on silica gel (toluene/EtOAc, 3:2→EtOAc) to afford 15 (43 mg, 84%) as a white amorphous solid. Rf = 0.4 (toluene/EtOAc, 1:4); [α] D 20 −67 (c 1.0, CHCl3); 1H NMR (500 MHz, CDCl3) δ 4.50 (s, 1H, H-1), 3.92–3.86 (m, 2H, H-5, OH), 3.79 (d, J = 7.1 Hz, 1H, OH), 3.65 (m, 1H, H-3 or H-4), 3.59 (d, J = 8.6 Hz, 1H, OH), 3.52 (br s, 1H, H-3 or H-4), 3.35 (s, 3H, OCH3), 2.90–2.82 (m, 2H, CH2-SAc), 2.33 (s, 3H, CH3(SAc)), 1.85 (ddd, J = 14.5, 7.0, 4.0 Hz, 1H, -CH2(A)-), 1.75 (m, 1H, C(sugar)-CH2(A)), 1.65–1.48 (m, 2H, -CH2(B)-, C(sugar)-CH2(B)), 1.29 (d, J = 6.6 Hz, 3H, H-6); 13C NMR (126 MHz, CDCl3) δ 196.4 (C=O), 102.5 (C-1), 74.5 (C-2), 72.7 (C-3 or C-4), 70.0 (C-3 or C-4), 65.6 (C-5), 55.3 (OCH3), 33.3 (-CH2-), 30.8 (CH3(SAc)), 29.7 (CH2-SAc), 22.4 (C(sugar)-CH2), 16.5 (C-6); HRMS (ESI) m/z calculated for C12H22O6S [M + Na]+ 317.1035, found 317.1024.

3.9. Methyl 2-C-[2-thioethyl]-α-l-fucopyranoside (1)

Compound 12 was subjected to General Procedure B (14 mg, 50 µmol) to afford 1 (11 mg, 92%) as a colourless, amorphous solid. Rf = 0.5 (CH2Cl2/MeOH, 19:1); [α] D 20 −78 (c 0.9, CH3OH); 1H NMR (400 MHz, CD3OD) δ 4.52 (s, 1H, H-1), 3.95 (m, 1H, H-5), 3.82 (d, J = 3.9 Hz, 1H, H-4), 3.70 (dd, J = 3.9, 1.6 Hz, 1H, H-3), 3.40 (s, 3H, OCH3), 2.73 (m, 1H, CH2(A)-SH), 2.59 (m, 1H, CH2(B)-SH), 2.25 (ddd, J = 14.5, 11.8, 5.3 Hz, 1H, C(sugar)-CH2(A)), 2.15 (ddd, J = 14.5, 11.8, 5.3 Hz, 1H, C(sugar)-CH2(B)), 1.25 (d, J = 6.6 Hz, 3H, H-6); 13C NMR (Taken from HSQC) δ 103.3 (C-1), 74.3 (C-4), 74.1 (C-3), 67.7 (C-5), 56.3 (OCH3), 39.9 (C(sugar)-CH2), 20.1 (CH2-SH), 16.8 (C-6); HRMS (ESI) m/z calculated for C9H18OsS [M + Na]+ 261.0773, found 261.0767.

3.10. Methyl 2-C-[3-thiopropyl]-α-l-fucopyranoside (2)

Compound 13 (33 mg, 0.11 mmol) was subjected to General Procedure B to afford 2 (26 mg, 92%) as a colourless, amorphous solid. Rf = 0.4 (CH2Cl2/MeOH, 19:1); [α] D 20 −78 (c 0.9, CH3OH); 1H NMR (400 MHz, CD3OD) δ 4.53 (s, 1H, H-1), 3.97 (m, 1H, H-5), 3.83 (d, J = 4.0 Hz, 1H, H-4), 3.72 (dd, J = 4.0, 1.9 Hz, 1H, H-3), 3.41 (s, 3H, OCH3), 2.52 (t, J = 7.3 Hz, 2H, CH2-SH), 2.00–1.90 (m, 2H, -CH2-), 1.83 (m, 1H, C(sugar)-CH2(A)), 1.65 (m, 1H, C(sugar)-CH2(B)), 1.25 (d, J = 6.7 Hz, 3H, H-6); 13C NMR (Taken from HSQC) δ 103.0 (C-1), 74.2 (C-4), 73.4 (C-3), 67.4 (C-5), 56.1 (OCH3), 32.1 (-CH2-), 29.3 (C(sugar)-CH2), 26.3 (CH2-SH), 16.6 (C-6); HRMS (ESI) m/z calculated for C10H20O5S [M + Na]+ 275.0929, found 275.0919.

3.11. Methyl 6-deoxy-2-C-[2-thioethyl]-α-l-talopyranoside (3)

Compound 14 (10 mg, 36 µmol) was subjected to General Procedure B to afford 3 (8 mg, 92%) as a colourless, amorphous solid. Rf = 0.5 (CH2Cl2/MeOH, 19:1); [α] D 20 −57 (c 0.9, CH3OH); 1H NMR (500 MHz, CD3OD) δ 4.48 (s, 1H, H-1), 3.89 (m, 1H, H-5), 3.61 (d, J = 2.5 Hz, 1H, H-4), 3.50 (d, J = 3.3 Hz, 1H, H-3), 3.37 (s, 3H, OCH3), 2.69 (td, J = 12.3, 4.4 Hz, 1H, CH2(A)-SH), 2.50 (td, J = 12.3, 5.3 Hz, 1H, CH2(B)-SH), 2.12 (ddd, J = 13.8, 12.3, 4.4 Hz, 1H, C(sugar)-CH2(A)), 1.82 (ddd, J = 13.8, 12.3, 5.2 Hz, 1H, C(sugar)-CH2(B)), 1.26 (d, J = 6.6 Hz, 3H, H-6); 13C NMR (Taken from HSQC) δ 105.1 (C-1), 74.8 (C-4), 71.0 (C-3), 68.0 (C-5), 55.9 (OCH3), 41.4 (C(sugar)-CH2), 19.3 (CH2-SH), 17.3 (C-6); HRMS (ESI) m/z calculated for C9H18OsS [M + Na]+ 261.0773, found 261.0773.

3.12. Methyl 6-deoxy-2-C-[3-thiopropyl]-α-l-talopyranoside (4)

Compound 15 (30 mg, 0.10 mmol) was subjected to General Procedure B to afford 4 (24 mg, 95%) as a colourless, amorphous solid. Rf = 0.4 (CH2Cl2/MeOH, 19:1); [α] D 20 −71 (c 0.8, CH3OH); 1H NMR (400 MHz, CD3OD) δ 4.48 (s, 1H, H-1), 3.90 (m, 1H, H-5), 3.62 (dd, J = 3.4, 1.0 Hz, 1H, H-4), 3.51 (d, J = 3.4 Hz, 1H, H-3), 3.38 (s, 3H, OCH3), 2.56–2.44 (m, 2H, CH2-SH), 1.97–1.73 (m, 2H, C(sugar)-CH2(A), -CH2-(A)), 1.67–1.53 (m, 2H, C(sugar)-CH2(B), -CH2-(B)), 1.27 (d, J = 6.6 Hz, 3H, H-6); 13C NMR (Taken from HSQC) δ 104.9 (C-1), 74.7 (C-4), 71.3 (C-3), 68.0 (C-5), 56.0 (OCH3), 34.8 (-CH2-), 29.0 (C(sugar)-CH2), 26.3 (CH2-SH), 17.3 (C-6); HRMS (ESI) m/z calculated for C10H20O5S [M + Na]+ 275.0929, found 275.0917.

3.13. Methyl 4-O-acetyl-2,3-O-(2′,3′-dimethoxybutane-2′,3′-diyl)-α-l-quinovopyranoside (17)

Compound 16 (6.09 g, 20.6 mmol) was placed under N2 and dissolved in dry CH2Cl2 (90 mL) and dry pyridine (14 mL). The solution was cooled to −40 °C and trifluoromethanesulfonic anhydride (4.2 mL, 25 mmol) was added. The reaction was stirred at −40 °C for 7 h, then allowed to reach room temperature. The organic phase was washed with sat. NaHCO3 solution (100 mL) and brine (100 mL), dried over MgSO4, filtered and concentrated in vacuo. The dark red/brown oil obtained was immediately used in the next step.
The crude and tetrabutylammonium acetate (7.55 g, 25.0 mmol) were placed under N2 and dry toluene (60 mL) was added. The reaction was stirred for 14 h at room temperature and the solvent was then removed under reduced pressure. The product was purified via flash chromatography on silica gel (cyclohexane/EtOAc, 4:1→1:1) to yield 17 a pale-yellow syrup (4.71 g, 68% over 2 steps). Rf = 0.7 (cyclohexane/EtOAc, 1:1); [α] D 20 +47 (c 1.0, CHCl3); 1H NMR (300 MHz, CDCl3) δ 4.80 (t, J = 9.7 Hz, 1H, H-4), 4.69 (d, J = 3.6 Hz, 1H, H-1), 4.06 (t, J = 9.7 Hz, 1H, H-3), 3.84–3.72 (m, 2H, H-2, H-5), 3.41 (s, 3H, OCH3), 3.24 (s, 3H, OCH3), 3.22 (s, 3H, OCH3), 2.07 (s, 3H, CH3(OAc)), 1.32 (s, 3H, CH3(BDA)), 1.24 (s, 3H, CH3(BDA)), 1.17 (d, J = 6.3 Hz, 3H, H-6); 13C NMR (126 MHz, CDCl3) δ 169.9 (C=O), 100.0, 99.5 (2 × C(ketal)), 97.9 (C-1), 73.3 (C-4), 68.7 (C-2), 67.1 (C-3), 66.1 (C-5), 55.2, 48.0, 47.6 (3 × OCH3), 21.0 (CH3(OAc)), 17.9, 17.8 (2 × CH3(BDA)), 17.5 (C-6); HRMS (ESI) m/z calculated for C15H26O8 [M + Na]+ 357.1525, found 357.1523.

3.14. Methyl 2,3-O-(2′,3′-dimethoxybutane-2′,3′-diyl)-α-l-quinovopyranoside (18)

Compound 17 (3.33 g, 9.96 mmol) was dissolved in MeOH (100 mL) and NaOMe (293 mg, 5.06 mmol) was added. The reaction was stirred for 19 h at room temperature and then Amberlite® IR120 resin (H+ form) was added to neutralise the solution. The mixture was filtered, and the filtrate was concentrated under reduced pressure. The resulting yellow syrup was purified via flash chromatography on silica gel (toluene→toluene/EtOAc, 1:1) to yield 18 as a white foam (2.74 g, 94%). Rf = 0.4 (cyclohexane/EtOAc, 1:1); [α] D 20 +59 (c 1.0, CHCl3); 1H NMR (300 MHz, CDCl3) δ 4.68 (d, J = 3.5 Hz, 1H, H-1), 3.95 (dd, J = 10.4, 9.2 Hz, 1H, H-3), 3.74–3.63 (m, 2H, H-2, H-5), 3.40 (s, 3H, OCH3), 3.35 (m, 1H, H-4), 3.27 (s, 3H, OCH3), 3.24 (s, 3H, OCH3), 2.23 (d, J = 2.8 Hz, 1H, OH), 1.33 (s, 3H, CH3(BDA)), 1.30 (s, 3H, CH3(BDA)), 1.28 (d, J = 6.3 Hz, 3H, H-6); 13C NMR (126 MHz, CDCl3) δ 100.0, 99.6 (2 × C(ketal)), 98.1 (C-1), 73.8 (C-4), 69.5 (C-3), 68.6 (C-2), 67.9 (C-5), 55.1, 48.1, 48.0 (3 × OCH3), 18.0, 17.8 (2 × CH3(BDA)), 17.7 (C-6); HRMS (ESI) m/z calculated for C13H24O7 [M + Na]+ 315.1420, found 315.1410.

3.15. Methyl 4-azido-4-deoxy-2,3-O-(2′,3′-dimethoxybutane-2′,3′-diyl)-α-l-fucopyranoside (19)

Compound 18 (3.96 g, 13.6 mmol) was placed under an N2 atmosphere and dissolved in dry CH2Cl2 (37 mL) and dry pyridine (8 mL). The solution was cooled to -20 °C and trifluoromethanesulfonic anhydride (2.6 mL, 16 mmol) was added slowly. The reaction was stirred at -20 °C for 4 h, then allowed to reach room temperature. The solution was then diluted with CH2Cl2 (35 mL) and washed with sat. aq. NaHCO3 (70 mL) and brine (70 mL). The combined aqueous phase was extracted with CH2Cl2 (70 mL) and the collective organic layer was dried over MgSO4, filtered and concentrated. The crude was used immediately in the next step.
The crude triflate and sodium azide (5.31 g, 81.7 mmol) were placed under N2 and dry DMF (110 mL) was added. The resulting suspension was stirred at 60 °C for 17 h and the solvent was then removed in vacuo. EtOAc (100 mL) and water (100 mL) were added to the resulting residue. The organic layer was separated and then washed with brine (100 mL). The collective aqueous phase was extracted with EtOAc (2 × 50 mL) and the combined organic layer was dried over MgSO4, filtered and concentrated under reduced pressure. The product was purified by flash chromatography on silica gel (cyclohexane/EtOAc, 3:1) to yield 19 as a pale-yellow syrup (3.00 g, 70% over 2 steps). Rf = 0.4 (cyclohexane/EtOAc, 3:1); [α] D 20 +86 (c 1.0, CHCl3); 1H NMR (300 MHz, CDCl3) δ 4.71 (d, J = 3.6 Hz, 1H, H-1), 4.21 (dd, J = 10.5, 3.5 Hz, 1H, H-3), 4.11 (dd, J = 10.5, 3.6 Hz, 1H, H-2), 3.99 (m, 1H, H-5), 3.64 (dd, J = 3.5, 3.2 Hz, 1H, H-4), 3.37 (s, 3H, OCH3), 3.27 (s, 3H, OCH3), 3.26 (s, 3H, OCH3), 1.31 (s, 3H, CH3(BDA)), 1.29 (s, 3H, CH3(BDA)), 1.26 (d, J = 6.5 Hz, 3H, H-6); 13C NMR (101 MHz, CDCl3) δ 100.3, 100.2 (2 × C(ketal)), 98.4 (C-1), 67.0 (C-3), 65.50 (C-5), 65.49 (C-2), 63.8 (C-4), 55.4, 48.14, 48.11 (2 × OCH3), 17.9, 17.8 (2 × CH3(BDA)), 17.4 (C-6); HRMS (ESI) m/z calculated for C13H23N3O6 [M + Na]+ 340.1485, found 340.1469.

3.16. Methyl 4-amino-4-deoxy-2,3-O-(2′,3′-dimethoxybutane-2′,3′-diyl)-α-l-fucopyranoside (20)

Compound 19 (2.74 g, 8.63 mmol) was dissolved in EtOH (15 mL). 10% Pd/C (0.54 g, 0.51 mmol) suspended in EtOH (5 mL) was added and the mixture was stirred under H2 (5 bar) at room temperature for 22 h. The suspension was then filtered through Celite® and the filtrate was concentrated. Flash chromatography on silica gel (CH2Cl2/MeOH, 49:1) yielded 20 as a white solid (2.28 g, 91%). Rf = 0.7 (CH2Cl2/MeOH, 19:1); mp = 87–89 °C; [α] D 20 +41 (c 1.0, MeOH); 1H NMR (300 MHz, CD3OD) δ 4.66 (d, J = 2.2 Hz, 1H, H-1), 4.07–3.97 (m, 3H, H-2, H-3, H-5), 3.38 (s, 3H, OCH3), 3.25 (s, 3H, OCH3), 3.24 (s, 3H, OCH3), 2.98 (t, J = 1.7 Hz, 1H, H-4), 1.28–1.27 (m, 6H, 2 × CH3(BDA)), 1.21 (d, J = 6.6 Hz, 3H, H-6); 13C NMR (126 MHz, CD3OD) δ 101.5, 101.3 (2 × C(ketal)), 99.7 (C-1), 67.8 (C-2 or C-3), 67.4 (C-5), 66.1 (C-2 or C-3), 55.4 (OCH3), 54.1 (C-4), 48.22, 48.15 (2 × OCH3), 18.1, 18.0 (2 × CH3(BDA)), 16.9 (C-6); HRMS (ESI) m/z calculated for C13H25NO6 [M + H]+ 292.1760, found 292.1761.

3.17. 2-Bromoethyl Thioacetate (21)

Dry THF (40 mL) was added to potassium thioacetate (2.00 g, 17.5 mmol) under N2. 1,2-Dibromoethane (3.1 mL, 36 mmol) was added and the mixture was refluxed at 90 °C for 22 h. The suspension was then filtered through Celite®, and the filtrate was concentrated under reduced pressure. The resulting yellow residue was purified via flash chromatography on silica gel (cyclohexane/EtOAc, 19:1), yielding compound 21 as a colourless oil (1.18 g, 37%). Rf = 0.5 (cyclohexane/EtOAc, 10:1); 1H NMR (400 MHz, CDCl3) δ 3.44 (m, 2H, CH2-Br), 3.30 (m, 2H, CH2-S), 2.35 (s, 3H, CH3(SAc)); 13C NMR (101 MHz, CDCl3) δ 194.7 (C=O(SAc)), 31.4 (CH2), 30.7 (CH3(SAc)), 30.1 (CH2). While the chemical shifts of the 1H NMR data match those reported in literature, we observed the CH2 signals as multiplets rather than triplets [28]. No 13C NMR data have been reported previously.

3.18. Methyl 4-[(2-acetylthioethyl)amino]-4-deoxy-2,3-O-(2′,3′-dimethoxybutane-2′,3′-diyl)-α-l-fucopyranoside (22)

Compound 20 (0.50 g, 1.7 mmol) and K2CO3 (1.19 g, 8.57 mmol) were placed under N2 and dry DMF (5 mL) was added. Alkyl bromide 21 (610 mg, 3.33 mmol) in dry DMF (5 mL) was added followed by KI (286 mg, 1.72 mmol) and the resulting suspension was stirred at room temperature for 4 days. The solvent was removed in vacuo and water (25 mL) was added. The aqueous phase was extracted with EtOAc (3 × 25 mL) and the combined organic layer was dried over Na2SO4, filtered and concentrated. The product was purified by flash chromatography on silica gel (toluene/EtOAc, 7:3), yielding 22 as a pale-yellow syrup (271 mg, 40%). Rf = 0.4 (cyclohexane/EtOAc, 1:1); [α] D 20 −8.2 (c 1.0, CHCl3); 1H NMR (500 MHz, CDCl3) δ 4.71 (d, J = 3.8 Hz, 1H, H-1), 4.12 (dd, J = 10.9, 4.4 Hz, 1H, H-3), 3.98–3.90 (m, 2H, H-2, H-5), 3.37 (s, 3H, OCH3), 3.24 (s, 3H, OCH3), 3.22 (s, 3H, OCH3), 3.07 (m, 1H, NH-CH2(A)), 2.98 (m, 1H, NH-CH2(B)), 2.93–2.84 (m, 2H, CH2-SAc), 2.73 (dd, J = 4.5, 4.4 Hz, 1H, H-4), 2.32 (s, 3H, CH3(SAc)), 1.31 (s, 3H, CH3(BDA)), 1.25 (s, 3H, CH3(BDA)), 1.24 (d, J = 6.7 Hz, 3H, H-6); 13C NMR (101 MHz, CDCl3) δ 196.1 (C=O(SAc)), 100.1, 99.8 (2 × C(ketal)), 98.3 (C-1), 67.1 (C-5), 66.5 (C-3), 65.6 (C-2), 60.1 (C-4), 55.1 (OCH3), 50.3 (CH2-SAc), 48.01, 47.99 (2 × OCH3), 30.8 (CH3(SAc)), 29.7 (NH-CH2), 17.91, 17.89 (2 × CH3(BDA)), 17.5 (C-6); HRMS (ESI) m/z calculated for C17H31NO7S [M + Na]+ 416.1719, found 416.1721.

3.19. Methyl 4-[(2-acetylthioethyl)amino]-4-deoxy-α-l-fucopyranoside (23)

Compound 22 (20 mg, 52 µmol) was stirred in TFA/H2O (1.7 mL, 9:1, v/v) at room temperature for 2.5 h. The solvents were then removed through co-evaporation with toluene under reduced pressure. The resulting residue was dissolved in CH2Cl2 (1.8 mL) and stirred with Amberlyst® A21 resin (197 mg) at room temperature for 18 h. The resin was then filtered off and washed with MeOH. The filtrate was concentrated in vacuo and the product was purified by flash chromatography on silica gel (EtOAc→EtOAc/MeOH, 19:1), furnishing 23 as a colourless syrup (11 mg, 77%). Rf = 0.5 (EtOAc/MeOH, 9:1); 1H NMR (500 MHz, CDCl3) δ 4.70 (d, J = 4.0 Hz, 1H, H-1), 4.06 (m, 1H, H-5), 3.63 (dd, J = 9.8, 4.6 Hz, 1H, H-3), 3.40 (s, 3H, OCH3), 3.38 (dd, J = 9.8, 4.0 Hz, 1H, H-2), 3.23 (m, 1H, CH2(A)-SAc), 3.04–2.95 (m, 2H, NH-CH2), 2.73–2.64 (m, 2H, H-4, CH2(B)-SAc), 2.36 (s, 3H, CH3(SAc)), 1.26 (d, J = 6.7 Hz, 3H, H-6); 13C NMR (126 MHz, CDCl3) δ 195.8 (C=O(SAc)), 99.6 (C-1), 71.3 (C-2), 70.7 (C-3), 66.3 (C-5), 62.6 (C-4), 55.6 (OCH3), 50.7 (CH2-SAc), 30.83 (CH3(SAc)), 30.82 (NH-CH2), 17.6 (C-6); HRMS (ESI) m/z calculated for C11H21NO5S [M + H]+ 280.1219, found 280.1208.

3.20. 2-Bromoethyl thiobenzoate (24)

Potassium thiobenzoate (0.51 g, 2.9 mmol) was placed under N2 and dry THF (28 mL) was added followed by 1,2-dibromoethane (2.4 mL, 28 mmol). The reaction was refluxed at 90 °C for 3 h, cooled to room temperature and the solids were removed by filtration through Celite®. The filtrate was concentrated in vacuo and purified by flash chromatography on silica gel (cyclohexane/toluene, 4:1). Compound 24 was obtained as a colourless oil (603 mg, 86%). Rf = 0.4 (cyclohexane/toluene, 7:3); 1H NMR (300 MHz, CDCl3) δ 7.99–7.92 (m, 2H, Ar-H), 7.58 (m, 1H, Ar-H), 7.52–7.39 (m, 2H, Ar-H), 3.67–3.40 (m, 4H, CH2-Br, CH2-S); 13C NMR (101 MHz, CDCl3) δ 190.7 (C=O(SBz)), 136.6 (Ar-C(quat)), 133.9, 128.9, 127.5 (3 × Ar-CH), 31.2 (CH2-S), 30.2 (CH2-Br).

3.21. Methyl 4-[(2-benzoylthioethyl)amino]-4-deoxy-2,3-O-(2′,3′-dimethoxybutane-2′,3′-diyl)-α-l-fucopyranoside (25)

Compound 20 (351 mg, 1.20 mmol) was placed under N2 and dissolved in dry DMF (6 mL). K2CO3 (183 mg, 1.33 mmol) was added followed by a solution of alkyl bromide 24 (326 mg, 1.33 mmol) in dry DMF (6 mL). KI (97 mg, 0.58 mmol) was then added and the reaction was stirred at 80 °C for 20 h. The solvent was then removed in vacuo and water (30 mL) was added to the resulting residue. The product was extracted with EtOAc (3 × 30 mL) and the combined organic layer was dried over MgSO4, filtered and concentrated under reduced pressure. Flash chromatography on silica gel (toluene/acetone, 19:1) yielded compound 25 as a colourless syrup (267 mg, 49%). Rf = 0.5 (toluene/EtOAc, 1:1); [α] D 20 +14 (c 1.0, CHCl3); 1H NMR (400 MHz, CDCl3) δ 8.00–7.93 (m, 2H, Ar-H), 7.56 (m, 1H, Ar-H), 7.49–7.38 (m, 2H, Ar-H), 4.73 (d, J = 3.8 Hz, 1H, H-1), 4.14 (dd, J = 10.8, 4.4 Hz, 1H, H-3), 3.99 (dd, J = 10.8, 3.8 Hz, 1H, H-2), 3.94 (m, 1H, H-5), 3.38 (s, 3H, OCH3), 3.32–3.14 (m, 8H, 2 × OCH3, NH-CH2(A), NH-CH2(B)), 3.03–2.96 (m, 2H, CH2-SBz), 2.79 (dd, J = 4.4, 1.6 Hz, 1H, H-4), 1.31 (s, 3H, CH3(BDA)), 1.26 (d, J = 6.7 Hz, 3H, H-6), 1.24 (s, 3H, CH3(BDA)); 13C NMR (101 MHz, CDCl3) δ 192.1 (C=O(SBz)), 137.3 (Ar-C(quat)), 133.4, 128.7, 127.3 (3 × Ar-CH), 100.1, 99.8 (2 × C(ketal)), 98.3 (C-1), 67.2 (C-5), 66.6 (C-3), 65.6 (C-2), 60.1 (C-4), 55.1 (OCH3), 50.4 (CH2-SBz), 48.0 (2 × OCH3), 29.6 (NH-CH2), 17.90, 17.88 (2 × CH3(BDA)), 17.5 (C-6). HRMS (ESI) m/z calculated for C22H33NO7S [M + H]+ 456.2056, found 456.2068.

3.22. Methyl 4-[(2-benzoylthioethyl)amino]-4-deoxy-α-l-fucopyranoside (26)

Compound 25 (52 mg, 0.11 mmol) was stirred in TFA/H2O (3.7 mL, 9:1, v/v) at room temperature for 3 h. The solvents were then co-evaporated with toluene under reduced pressure. The resulting residue was re-dissolved in CH2Cl2 (5 mL) and stirred at room temperature with Amberlyst® A21 resin (507 mg) for 20 h. The resin was then filtered off and washed with CH2Cl2/MeOH (1:1, v/v). The filtrate was concentrated in vacuo and purified via flash chromatography on silica gel (toluene/EtOAc, 1:4→EtOAc), yielding 26 as a white amorphous solid (30 mg, 76%). Rf = 0.3 (EtOAc); [α] D 20 −120 (c 1.0, CHCl3); 1H NMR (500 MHz, CDCl3) δ 7.98–7.93 (m, 2H, Ar-H), 7.57 (m, 1H, Ar-H), 7.48–7.41 (m, 2H, Ar-H), 4.69 (d, J = 4.0 Hz, 1H, H-1), 4.06 (m, 1H, H-5), 3.63 (dd, J = 9.8, 4.7 Hz, 1H, H-3), 3.42–3.37 (m, 4H, H-2, OCH3), 3.31 (m, 1H, CH2(A)-SBz), 3.22–3.19 (m, 2H, NH-CH2), 2.81–2.71 (m, 2H, H-4, CH2(B)-SBz), 1.26 (d, J = 6.7 Hz, 3H, H-6); 13C NMR (126 MHz, CDCl3) δ 191.8 (C=O(SBz)), 137.0 (Ar-C(quat)), 133.7 (Ar-CH), 128.8 (Ar-CH), 127.4 (Ar-CH), 99.6 (C-1), 71.3 (C-2), 70.7 (C-3), 66.3 (C-5), 62.6 (C-4), 55.6 (OCH3), 50.8 (CH2-SBz), 30.7 (NH-CH2), 17.6 (C-6). HRMS (ESI) m/z calculated for C16H23NO5S [M + H]+ 342.1375, found 342.1366.

3.23. Methyl 4-deoxy-4-(2-thioethyl)amino-α-l-fucopyranoside (5)

Compound 26 (20 mg, 57 µmol) was placed under N2. Dry, de-gassed MeOH (0.58 mL) was added followed by freshly prepared, de-gassed 1 M NaOMe/MeOH (0.15 mL, 0.15 mmol). The reaction was stirred at room temperature for 15 min and then neutralised with Amberlite® IR120 resin (H+ form). The resin was filtered off and the filtrate was concentrated. The product was purified by flash chromatography through a short column of silica gel (CH2Cl2/MeOH, 19:1→9:1) under an N2 atmosphere and using de-gassed solvents. Compound 5 was obtained as a colourless residue (8 mg, 58% by mass, 95% thiol, 5% disulfide). Rf = 0.2 (EtOAc/MeOH, 19:1); [α] D 20 +2.7 (c 0.75, H2O); 1H NMR (500 MHz, D2O) δ 4.79 (d, 1H, H-1, underneath HDO peak), 4.14 (m, 1H, H-5), 3.97 (dd, J = 10.4, 4.3 Hz, 1H, H-3), 3.68 (dd, J = 10.4, 4.0 Hz, 1H, H-2), 3.40 (s, 3H, OCH3), 3.09 (m, 1H, CH2(A)-SH), 2.99 (d, J = 4.3 Hz, 1H, H-4), 2.85 (m, 1H, CH2(B)-SH), 2.77–2.67 (m, 2H, NH-CH2), 1.31 (d, J = 6.7 Hz, 3H, H-6); 13C NMR (126 MHz, D2O) δ 99.2 (C-1, JC-1,H-1 = 170.9 Hz), 68.8 (C-3), 68.0 (C-2), 65.9 (C-5), 61.8 (C-4), 55.0 (OCH3), 53.4 (CH2-SH), 23.3 (NH-CH2), 16.5 (C-6); HRMS (ESI) m/z calculated for C9H19NO4S [M + H]+ 238.1113, found 238.1119.

3.24. Methyl 4-allylamino-4-deoxy-2,3-O-(2′,3′-dimethoxybutane-2′,3′-diyl)-α-l-fucopyranoside (27)

Compound 20 (374 mg, 1.28 mmol) and K2CO3 (196 mg, 1.42 mmol) were subjected to an N2 atmosphere. Dry DMF (7.5 mL) was added followed by allyl bromide (0.13 mL, 1.5 mmol). The resulting suspension was stirred at room temperature for 21 h and the solvent was then removed under reduced pressure. Water (25 mL) was added and aqueous phase was extracted with EtOAc (3 × 25 mL). The combined organic layer was dried over Na2SO4, filtered and concentrated in vacuo. The crude was purified by flash chromatography on silica gel (toluene/EtOAc, 4:1→7:3) to yield 27 as a pale-yellow, waxy solid (290 mg, 68%). Rf = 0.3 (cyclohexane/EtOAc, 1:1); [α] D 20 +28 (c 1.0, CHCl3); 1H NMR (500 MHz, CDCl3) δ 5.89 (m, 1H, CH2=CH), 5.19 (dq, J = 17.2, 1.4 Hz, 1H, CH2(A)=CH), 5.06 (dq, J = 10.2, 1.4 Hz, 1H, CH2(B)=CH), 4.72 (d, J = 3.8 Hz, 1H, H-1), 4.13 (dd, J = 10.8, 4.5 Hz, 1H, H-3), 3.99 (dd, J = 10.8, 3.8 Hz, 1H, H-2), 3.91 (m, 1H, H-5), 3.40 (ddt, J = 14.3, 5.4, 1.6 Hz, 1H, NH-CH2(A)), 3.37 (s, 3H, OCH3), 3.27 (m, 1H, NH-CH2(B)), 3.24 (s, 3H, OCH3), 3.21 (s, 3H, OCH3), 2.75 (dd, J = 4.5, 4.3 Hz, 1H, H-4), 1.30 (s, 3H, CH3(BDA)), 1.25–1.24 (m, 6H, CH3(BDA), H-6); 13C NMR (126 MHz, CDCl3) δ 137.5 (CH2=CH), 115.7 (CH2=CH), 100.0, 99.8 (2 × C(ketal)), 98.3 (C-1), 67.3 (C-5), 66.5 (C-3), 65.6 (C-2), 59.5 (C-4), 55.1 (OCH3), 53.8 (NH-CH2), 47.98, 47.94 (2 × OCH3), 17.90, 17.88 (2 × CH3(BDA)), 17.80 (C-6); HRMS (ESI) m/z calculated for C16H29NO6 [M + H]+ 332.2073, found 332.2079.

3.25. Methyl 4-[(3-acetylthiopropyl)amino]-4-deoxy-2,3-O-(2′,3′-dimethoxybutane-2′,3′-diyl)-α-l-fucopyran -oside (28)

Compound 27 (281 mg, 0.849 mmol) and 1,2-dihydroxybenzene (116 mg, 1.05 mmol) were placed under N2 and dissolved in dry CH2Cl2 (1.1 mL). Thioacetic acid (0.12 mL, 1.7 mmol) was added followed by 1 M Et3B/hexanes (1.3 mL, 1.3 mmol). The reaction was stirred for 2.5 h at room temperature and then the volatiles were then removed under reduced pressure. The product was purified by flash chromatography on silica gel (toluene/EtOAc, 9:1→3:2), yielding 28 as a pale-yellow syrup (287 mg, 83%). Rf = 0.2 (cyclohexane/EtOAc, 3:2); [α] D 20 +8.4 (c 1.0, CHCl3); 1H NMR (500 MHz, CDCl3) δ 4.71 (d, J = 3.8 Hz, 1H, H-1), 4.11 (dd, J = 10.8, 4.4 Hz, 1H, H-3), 3.97 (dd, J = 10.8, 3.8 Hz, 1H, H-2), 3.92 (m, 1H, H-5), 3.36 (s, 3H, OCH3), 3.24 (s, 3H, OCH3), 3.21 (s, 3H, OCH3), 3.01–2.91 (m, 2H, CH2-SAc), 2.81–2.68 (m, 2H, NH-CH2), 2.66 (dd, J = 4.5, 4.4 Hz, 1H, H-4), 2.31 (s, 3H, CH3(SAc)), 1.83–1.68 (m, 2H, -CH2-), 1.30 (s, 3H, CH3(BDA)), 1.25 (s, 3H, CH3(BDA)), 1.23 (d, J = 6.7 Hz, 3H, H-6); 13C NMR (126 MHz, CDCl3) δ 196.1 (C=O(SAc)), 100.0, 99.8 (2 × C(ketal)), 98.3 (C-1), 67.2 (C-5), 66.6 (C-3), 65.6 (C-2), 60.8 (C-4), 55.1 (OCH3), 50.3 (CH2-SAc), 47.98, 47.97 (2 × OCH3), 30.7 (CH3(SAc)), 30.2 (-CH2-), 26.9 (NH-CH2), 17.92, 17.88 (2 × CH3(BDA)), 17.6 (C-6); HRMS (ESI) m/z calculated for C18H33NO7S [M + H]+ 408.2056, found 408.2076.

3.26. Methyl 4-[(3-acetylthiopropyl)amino]-4-deoxy-α-l-fucopyranoside (29)

Compound 28 (272 mg, 0.667 mmol) was stirred in TFA/H2O (22 mL, 9:1, v/v) at room temperature for 3 h. The solvents were then co-evaporated with toluene in vacuo. The resulting residue re-dissolved in CH2Cl2 (25 mL) and stirred at room temperature with Amberlyst® A21 resin (2.42 g) for 16 h. The resin was then filtered off and washed with CH2Cl2/MeOH (1:1, v/v). The filtrate was concentrated in vacuo and purified via flash chromatography on silica gel (EtOAc→EtOAc/MeOH, 4:1) to yield compound 29 as a yellow syrup (133 mg, 68%). Rf = 0.3 (EtOAc/MeOH, 9:1); [α] D 20 −136 (c 1.0, CHCl3); 1H NMR (500 MHz, CDCl3) δ 4.69 (d, J = 4.0 Hz, 1H, H-1), 4.05 (m, 1H, H-5), 3.63 (dd, J = 9.8, 4.7 Hz, 1H, H-3), 3.39 (m, 4H, H-2, OCH3), 3.04–2.89 (m, 3H, NH-CH2, CH2(A)-SAc), 2.69 (dd, J = 4.8, 4.7 Hz, 1H, H-4), 2.58 (m, 1H, CH2(B)-SAc), 2.33 (s, 3H, CH3(SAc)), 1.82–1.73 (m, 2H, -CH2-), 1.26 (d, J = 6.7 Hz, 3H, H-6); 13C NMR (126 MHz, CDCl3) δ 196.1 (C=O(SAc)), 99.6 (C-1), 71.1 (C-2), 70.4 (C-3), 66.2 (C-5), 62.6 (C-4), 55.6 (OCH3), 50.2 (CH2-SAc), 30.9 (-CH2-), 30.8 (CH3(SAc)), 26.7 (NH-CH2), 17.6 (C-6); HRMS (ESI) m/z calculated for C12H23NO5S [M + H]+ 294.1375, found 294.1364.

3.27. Methyl 4-deoxy-4-[(3-thiopropyl)amino]-α-l-fucopyranoside (6)

Compound 29 (27 mg, 91 µmol) was placed under N2 and dissolved in dry, de-gassed MeOH (0.90 mL). Freshly prepared, de-gassed 1 M NaOMe/MeOH (0.19 mL, 0.19 mmol) was then added and the reaction was stirred at room temperature for 30 min. The solution was then diluted with dry, de-gassed MeOH (1.0 mL), neutralised with activated Amberlite® IR120 resin (H+ form), filtered and concentrated in vacuo. Compound 6 was obtained as a yellow/orange residue (20 mg, 88% by mass, 88% thiol, 12% disulfide). Rf = 0.4 (CH2Cl2/MeOH, 9:1); [α] D 20 −180 (c 1.0, H2O); 1H NMR (400 MHz, D2O) δ 4.79 (d, 1H, H-1, underneath HDO peak), 4.12 (m, 1H, H-5), 3.97 (dd, J = 10.5, 4.6 Hz, 1H, H-3), 3.66 (dd, J = 10.5, 4.0 Hz, 1H, H-2), 3.40 (s, 3H, OCH3), 3.03–2.88 (m, 2H, H-4, CH2(A)-SH), 2.79 (m, 1H, CH2(B)-SH), 2.61 (t, J = 7.0 Hz, 2H, NH-CH2), 2.01–1.79 (m, 2H, -CH2-), 1.31 (d, J = 6.8 Hz, 3H, H-6); 13C NMR (126 MHz, D2O) δ 99.2 (C-1, JC-1,H-1 = 170.8 Hz), 68.7 (C-3), 68.0 (C-2), 66.1 (C-5), 62.2 (C-4), 55.0 (OCH3), 49.8 (CH2-SH), 32.5 (-CH2-), 21.4 (NH-CH2), 16.5 (C-6); HRMS (ESI) m/z calculated for C10H21NO4S [M + H]+ 252.1270, found 252.1261.

4. Conclusions

In conclusion, we successfully synthesised six potential suicide inhibitors of BabA which are currently being evaluated for biological activity. Our attention has now turned to the synthesis of disaccharide inhibitors to include more binding interactions in CL2 of BabA, in theory creating stronger inhibitors.

Supplementary Materials

The Supplementary Materials are available online.

Author Contributions

Data curation, M.R.; writing—original draft preparation, M.R.; writing—review and editing, M.R., L.G., H.R. and S.O.; methodology, L.G. and M.R.; supervision, S.O.; project administration, S.O.; funding acquisition, S.O. All authors have read and agreed to the published version of the manuscript.

Funding

This research was funded by Science Foundation Ireland, grant number 13/IA/1959 and 16/RC/3889.

Acknowledgments

Yannick Ortin and Jimmy Muldoon in University College Dublin for performing NMR and mass spectrometry experiments.

Conflicts of Interest

The authors declare no conflict of interest. The funders had no role in the design of the study; in the collection, analyses, or interpretation of data; in the writing of the manuscript, or in the decision to publish the results.

References

  1. Robin Warren, J.; Marshall, B. Unidentified Curved Bacilli on Gastric Epithelium in Active Chronic Gastritis. Lancet 1983, 321, 1273–1275. [Google Scholar] [CrossRef]
  2. Suerbaum, S.; Michetti, P. Helicobacter Pylori Infection. N. Engl. J. Med. 2002, 347, 1175–1186. [Google Scholar] [CrossRef]
  3. Peleteiro, B.; Bastos, A.; Ferro, A.; Lunet, N. Prevalence of Helicobacter Pylori Infection Worldwide: A Systematic Review of Studies with National Coverage. Dig. Dis. Sci. 2014, 59, 1698–1709. [Google Scholar] [CrossRef] [PubMed]
  4. Graham, D.Y. Campylobacter Pylori and Peptic Ulcer Disease. Gastroenterology 1989, 96, 615–625. [Google Scholar] [CrossRef]
  5. McColl, K.E.L.; El-Omar, E.; Gillen, D. Helicobacter Pylori Gastritis and Gastric Physiology. Gastroenterol. Clin. North. Am. 2000, 29, 687–703. [Google Scholar] [CrossRef]
  6. Polk, D.B.; Peek, R.M. Helicobacter Pylori: Gastric Cancer and Beyond. Nat. Rev. Cancer 2010, 10, 403–414. [Google Scholar] [CrossRef] [PubMed]
  7. Desforges, J.F.; Peterson, W.L. Helicobacter Pylori and Peptic Ulcer Disease. N. Engl. J. Med. 1991, 324, 1043–1048. [Google Scholar] [CrossRef]
  8. Peek, R.M.; Blaser, M.J. Helicobacter Pylori and Gastrointestinal Tract Adenocarcinomas. Nat. Rev. Cancer 2002, 2, 28–37. [Google Scholar] [CrossRef]
  9. Amieva, M.; Peek, R.M. Pathobiology of Helicobacter Pylori-Induced Gastric Cancer. Gastroenterology 2016, 150, 64–78. [Google Scholar] [CrossRef]
  10. Ansari, S.; Yamaoka, Y. Survival of Helicobacter Pylori in Gastric Acidic Territory. Helicobacter 2017, 22, e12386. [Google Scholar] [CrossRef]
  11. Safavi, M.; Sabourian, R.; Foroumadi, A. Treatment of Helicobacter Pylori Infection: Current and Future Insights. World J. Clin. Cases 2016, 4, 5–19. [Google Scholar] [CrossRef] [PubMed]
  12. Yousfi, M.M.; El-Zimaity, H.M.T.; Al-Assi, M.T.; Cole, R.A.; Genta, R.M.; Graham, D.Y. Metronidazole, Omeprazole and Clarithromycin: An Effective Combination Therapy for Helicobacter Pylori Infection. Aliment. Pharmacol. Ther. 1995, 9, 209–212. [Google Scholar] [CrossRef] [PubMed]
  13. Murakami, K.; Fujioka, T.; Okimoto, T.; Sato, R.; Kodama, M.; Nasu, M. Drug Combinations with Amoxycillin Reduce Selection of Clarithromycin Resistance during Helicobacter Pylori Eradication Therapy. Int. J. Antimicrob. Agents 2002, 19, 67–70. [Google Scholar] [CrossRef]
  14. de Francesco, V.; Giorgio, F.; Hassan, C.; Manes, G.; Vannella, L.; Panella, C.; Ierardi, E.; Zullo, A. Worldwide H. Pylori Antibiotic Resistance: A Systematic Review. J. Gastrointest. Liver Dis. 2010, 19, 409–414. [Google Scholar]
  15. Ghotaslou, R. Prevalence of Antibiotic Resistance in Helicobacter Pylori: A Recent Literature Review. World J. Methodol. 2015, 5, 164. [Google Scholar] [CrossRef]
  16. Ilver, D.; Arnqvist, A.; Ögren, J.; Frick, I.M.; Kersulyte, D.; Incecik, E.T.; Berg, D.E.; Covacci, A.; Engstrand, L.; Borén, T. Helicobacter Pylori Adhesin Binding Fucosylated Histo-Blood Group Antigens Revealed by Retagging. Science 1998, 279, 373–377. [Google Scholar] [CrossRef]
  17. Aspholm-Hurtig, M.; Dailide, G.; Lahmann, M.; Kalia, A.; Ilver, D.; Roche, N.; Vikström, S.; Sjöström, R.; Lindén, S.; Bäckström, A.; et al. Functional Adaptation of BabA the H. Pylori ABO Blood Group Antigen Binding Adhesin. Science 2004, 305, 519–522. [Google Scholar] [CrossRef]
  18. Gerhard, M.; Lehn, N.; Neumayer, N.; Borén, T.; Rad, R.; Schepp, W.; Miehlke, S.; Classen, M.; Prinz, C. Clinical Relevance of the Helicobacter Pylori Gene for Blood-Group Antigen-Binding Adhesin. Proc. Natl. Acad. Sci. USA 1999, 96, 12778–12783. [Google Scholar] [CrossRef]
  19. Moonens, K.; Gideonsson, P.; Subedi, S.; Bugaytsova, J.; Romaõ, E.; Mendez, M.; Nordén, J.; Fallah, M.; Rakhimova, L.; Shevtsova, A.; et al. Structural Insights into Polymorphic ABO Glycan Binding by Helicobacter Pylori. Cell Host Microbe 2016, 19, 55–66. [Google Scholar] [CrossRef]
  20. Chernyak, A.; Oscarson, S.; Turek, D. Synthesis of the Lewis b Hexasaccharide and Squarate Acid-HSA Conjugates Thereof with Various Saccharide Loadings. Carbohydr. Res. 2000, 329, 309–316. [Google Scholar] [CrossRef]
  21. Lahmann, M.; Bülow, L.; Teodorovic, P.; Gybäck, H.; Oscarson, S. Synthesis of the Lewis b Hexasaccharide and HSA-Conjugates Thereof. Glycoconj. J. 2004, 21, 251–256. [Google Scholar] [CrossRef] [PubMed]
  22. Cleator, E.; McCusker, C.F.; Steltzer, F.; Ley, S.V. Grignard Additions to 2-Uloses: Synthesis of Stereochemically Pure Tertiary Alcohols. Tetrahedron Lett. 2004, 45, 3077–3080. [Google Scholar] [CrossRef]
  23. Rabuka, D.; Hubbard, S.C.; Laughlin, S.T.; Argade, S.P.; Bertozzi, C.R. A Chemical Reporter Strategy to Probe Glycoprotein Fucosylation. J. Am. Chem. Soc. 2006, 128, 12078–12079. [Google Scholar] [CrossRef]
  24. Baer, H.H.; Mateo, F.H.; Siemsen, L. A Facile Formation of 2,5-Anhydro Sugars by Ring Contraction in Methyl Hexopyranoside 2-Triflates under Conditions of Nucleophilic Displacement. Carbohydr. Res. 1989, 187, 67–92. [Google Scholar] [CrossRef]
  25. Griffith, W.P.; Ley, S.V.; Whitcombe, G.P.; White, A.D. Preparation and Use of Tetra-n-Butylammonium per-Ruthenate (TBAP Reagent) and Tetra-n-Propylammonium per-Ruthenate (TPAP Reagent) as New Catalytic Oxidants for Alcohols. J. Chem. Soc. Chem. Commun. 1987, 4, 1625–1627. [Google Scholar] [CrossRef]
  26. Catelani, G.; D’Andrea, F.; Griselli, A.; Guazzelli, L.; Legnani, L.; Toma, L. A New Stereoselective Approach to a Selectively Protected Derivative of D-Pinitol and Its Evaluation as α-L-Rhamnopyranose Mimetic. Tetrahedron Lett. 2008, 49, 4534–4536. [Google Scholar] [CrossRef][Green Version]
  27. Guazzelli, L.; Catelani, G.; D’Andrea, F. Lactose as an Inexpensive Starting Material for the Preparation of Aldohexos-5-Uloses: Synthesis of L-Ribo and D-Lyxo Derivatives. Carbohydr. Res. 2010, 345, 369–376. [Google Scholar] [CrossRef][Green Version]
  28. Frihed, T.G.; Heuckendorff, M.; Pedersen, C.M.; Bols, M. Easy Access to L-Mannosides and L-Galactosides by Using C-H Activation of the Corresponding 6-Deoxysugars. Angew. Chemi-Int. Ed. 2012, 51, 12285–12288. [Google Scholar] [CrossRef]
  29. Zemplén, G.; Kunz, A. Studien Über Amygdalin, IV: Synthese Des Natürlichen l -Amygdalins. Ber. Dtsch. Chem. Ges. 1924, 57, 1357–1359. [Google Scholar] [CrossRef]
  30. Wang, Z. Zemplén Deacetylation. In Comprehensive Organic Name Reactions and Reagents; John Wiley & Sons, Inc.: Hoboken, NJ, USA, 2010; pp. 3123–3126. [Google Scholar]
  31. Huang, Z.; Knaus, E.E. O2-(N-Hydroxy(Methoxy)-2-Ethanesulfonamido) Protected Diazen-1-Ium-1,2-Diolates: Nitric Oxide Release via a Base-Induced Beta-Elimination Cleavage. Org. Lett. 2011, 13, 1178–1181. [Google Scholar] [CrossRef]
  32. Burke, H.M.; McSweeney, L.; Scanlan, E.M. Exploring Chemoselective S-to-N Acyl Transfer Reactions in Synthesis and Chemical Biology. Nat. Commun. 2017, 8, 1–16. [Google Scholar] [CrossRef] [PubMed]
  33. Srinivasan, N.; Yurek-George, A.; Ganesan, A. Rapid Deprotection of N-Boc Amines by TFA Combined with Freebase Generation Using Basic Ion-Exchange Resins. Mol. Divers. 2005, 9, 291–293. [Google Scholar] [CrossRef]
  34. Paritala, H.; Suzuki, Y.; Carroll, K.S. Design, Synthesis and Evaluation of Fe-S Targeted Adenosine 5′-Phosphosulfate Reductase Inhibitors. Nucleos. Nucleot. Nucl. 2015, 34, 199–220. [Google Scholar] [CrossRef] [PubMed]
  35. Hansen, B. The Preparation of Thiocholine Esters. Acta Chem. Scand. 1957, 11, 537–540. [Google Scholar] [CrossRef][Green Version]
  36. Povie, G.; Tran, A.T.; Bonnaffé, D.; Habegger, J.; Hu, Z.; Le Narvor, C.; Renaud, P. Repairing the Thiol-Ene Coupling Reaction. Angew. Chemie-Int. Ed. 2014, 53, 3894–3898. [Google Scholar] [CrossRef]
  37. Nomenclature of Carbohydrates, (Recommendations 1996). Adv. Carbohydr. Chem. Biochem. 1997, 52, 44–177. [CrossRef]
Sample Availability: Samples of the compounds are not available from the authors.
Figure 1. Highlighted in red is the fucose residue bound in CL2 of BabA [19].
Figure 1. Highlighted in red is the fucose residue bound in CL2 of BabA [19].
Molecules 25 04281 g001
Scheme 1. Representation of possible thiol-disulfide exchange for inhibition of BabA.
Scheme 1. Representation of possible thiol-disulfide exchange for inhibition of BabA.
Molecules 25 04281 sch001
Figure 2. Target compounds 16.
Figure 2. Target compounds 16.
Molecules 25 04281 g002
Scheme 2. Retrosynthetic pathway for targets 14 (PG = protecting group).
Scheme 2. Retrosynthetic pathway for targets 14 (PG = protecting group).
Molecules 25 04281 sch002
Scheme 3. Retrosynthetic pathway of a key intermediate towards targets 5 and 6 (PG = protecting group).
Scheme 3. Retrosynthetic pathway of a key intermediate towards targets 5 and 6 (PG = protecting group).
Molecules 25 04281 sch003
Scheme 4. Retrosynthesis of target 5.
Scheme 4. Retrosynthesis of target 5.
Molecules 25 04281 sch004
Scheme 5. Retrosynthetic pathway for compound 6.
Scheme 5. Retrosynthetic pathway for compound 6.
Molecules 25 04281 sch005
Scheme 6. Syntheses of alkenyl compounds 811. (a) NMO, TPAP (cat.), 4 Å molecular sieves, CH2Cl2, rt, 1.5–2 h; (b) 1 M vinylmagnesium bromide/THF, toluene, 0 °C, 10 min; (c) 1 M allylmagnesium bromide/Et2O, toluene, 0 °C, 10 min; (d) Dowex® (H+) resin, MeOH, rt, 16 h–48 h. Yields over 3 steps: (8) = 14%, (10) = 50% (d.r. = 1:3.6); (9) = 34%; (11) = 21% (d.r. = 1.6:1).
Scheme 6. Syntheses of alkenyl compounds 811. (a) NMO, TPAP (cat.), 4 Å molecular sieves, CH2Cl2, rt, 1.5–2 h; (b) 1 M vinylmagnesium bromide/THF, toluene, 0 °C, 10 min; (c) 1 M allylmagnesium bromide/Et2O, toluene, 0 °C, 10 min; (d) Dowex® (H+) resin, MeOH, rt, 16 h–48 h. Yields over 3 steps: (8) = 14%, (10) = 50% (d.r. = 1:3.6); (9) = 34%; (11) = 21% (d.r. = 1.6:1).
Molecules 25 04281 sch006
Scheme 7. Thiol-ene reactions and deacetylation towards targets 14. (a) AcSH, AIBN, 1,4-dioxane, 75 °C, 3 h, (12) = 73%; (13) = 84%; (14) = 85%; (15) = 84%; (b) 0.4 M NaOMe/MeOH, MeOH, rt, 5 min, (1) = 92%; (2) = 92%; (3) = 92%; (4) = 95%.
Scheme 7. Thiol-ene reactions and deacetylation towards targets 14. (a) AcSH, AIBN, 1,4-dioxane, 75 °C, 3 h, (12) = 73%; (13) = 84%; (14) = 85%; (15) = 84%; (b) 0.4 M NaOMe/MeOH, MeOH, rt, 5 min, (1) = 92%; (2) = 92%; (3) = 92%; (4) = 95%.
Molecules 25 04281 sch007
Scheme 8. Synthesis of intermediate 20 via double inversion. (a) Tf2O, CH2Cl2/Py, −40 °C, 4 h; (b) Bu4NOAc, toluene, rt, 14 h, 68% over 2 steps; (c) NaOMe (cat.), MeOH, rt, 19 h, 94%; (d) Tf2O, CH2Cl2/Py, −20 °C, 4 h; (e) NaN3, DMF, 60 °C, 17 h, 70% over 2 steps; (f) H2 (5 bar), Pd/C (cat.), EtOH, rt, 21 h, 91%.
Scheme 8. Synthesis of intermediate 20 via double inversion. (a) Tf2O, CH2Cl2/Py, −40 °C, 4 h; (b) Bu4NOAc, toluene, rt, 14 h, 68% over 2 steps; (c) NaOMe (cat.), MeOH, rt, 19 h, 94%; (d) Tf2O, CH2Cl2/Py, −20 °C, 4 h; (e) NaN3, DMF, 60 °C, 17 h, 70% over 2 steps; (f) H2 (5 bar), Pd/C (cat.), EtOH, rt, 21 h, 91%.
Molecules 25 04281 sch008
Scheme 9. N-alkylation and degradation of compound 23. (a) K2CO3, KI, DMF, rt, 4 days, 40%; (b) TFA/H2O (9:1, v/v), rt, 3 h, then Amberlyst® A21 resin, CH2Cl2, rt, 16 h, 77%.
Scheme 9. N-alkylation and degradation of compound 23. (a) K2CO3, KI, DMF, rt, 4 days, 40%; (b) TFA/H2O (9:1, v/v), rt, 3 h, then Amberlyst® A21 resin, CH2Cl2, rt, 16 h, 77%.
Molecules 25 04281 sch009
Scheme 10. Re-designed synthesis towards target 5. (a) K2CO3, KI (cat.), DMF, 80 °C, 20 h, 49%; (b) TFA/H2O (9:1, v/v), rt, 3 h, then Amberlyst® A21 resin, CH2Cl2, rt, 18 h, 64%; (c) 1 M NaOMe/MeOH, MeOH, rt, 15 min, 58% (95% thiol, 5% disulfide).
Scheme 10. Re-designed synthesis towards target 5. (a) K2CO3, KI (cat.), DMF, 80 °C, 20 h, 49%; (b) TFA/H2O (9:1, v/v), rt, 3 h, then Amberlyst® A21 resin, CH2Cl2, rt, 18 h, 64%; (c) 1 M NaOMe/MeOH, MeOH, rt, 15 min, 58% (95% thiol, 5% disulfide).
Molecules 25 04281 sch010
Scheme 11. N-alkylation, thiol-ene and deprotection towards target 6. (a) Allyl bromide, K2CO3, DMF, rt, 21 h, 68%; (b) 1 M Et3B/hexanes, AcSH, catechol, CH2Cl2, rt, 3 h, 83%; (c) TFA/H2O (9:1, v/v), rt, 4 h, then Amberlyst® A21 resin, CH2Cl2, rt, 16 h, 68%; (d) 1 M NaOMe/MeOH, MeOH, rt, 30 min, 88% (88% thiol, 12% disulfide).
Scheme 11. N-alkylation, thiol-ene and deprotection towards target 6. (a) Allyl bromide, K2CO3, DMF, rt, 21 h, 68%; (b) 1 M Et3B/hexanes, AcSH, catechol, CH2Cl2, rt, 3 h, 83%; (c) TFA/H2O (9:1, v/v), rt, 4 h, then Amberlyst® A21 resin, CH2Cl2, rt, 16 h, 68%; (d) 1 M NaOMe/MeOH, MeOH, rt, 30 min, 88% (88% thiol, 12% disulfide).
Molecules 25 04281 sch011

Share and Cite

MDPI and ACS Style

Reihill, M.; Guazzelli, L.; Remaut, H.; Oscarson, S. Synthesis of Fucose Derivatives with Thiol Motifs towards Suicide Inhibition of Helicobacter pylori. Molecules 2020, 25, 4281. https://doi.org/10.3390/molecules25184281

AMA Style

Reihill M, Guazzelli L, Remaut H, Oscarson S. Synthesis of Fucose Derivatives with Thiol Motifs towards Suicide Inhibition of Helicobacter pylori. Molecules. 2020; 25(18):4281. https://doi.org/10.3390/molecules25184281

Chicago/Turabian Style

Reihill, Mark, Lorenzo Guazzelli, Han Remaut, and Stefan Oscarson. 2020. "Synthesis of Fucose Derivatives with Thiol Motifs towards Suicide Inhibition of Helicobacter pylori" Molecules 25, no. 18: 4281. https://doi.org/10.3390/molecules25184281

APA Style

Reihill, M., Guazzelli, L., Remaut, H., & Oscarson, S. (2020). Synthesis of Fucose Derivatives with Thiol Motifs towards Suicide Inhibition of Helicobacter pylori. Molecules, 25(18), 4281. https://doi.org/10.3390/molecules25184281

Article Metrics

Back to TopTop