Synthesis of Novel 2-(Isopropylamino)thiazol-4(5H)-one Derivatives and Their Inhibitory Activity of 11β-HSD1 and 11β-HSD2 in Aspect of Carcinogenesis Prevention
Abstract
1. Introduction
2. Results and Discussion
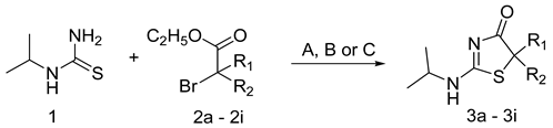
2.1. Chemistry
2.2. In Vitro Studies
2.3. Bioavailability
3. Materials and Methods
3.1. General Informations
3.2. Reagents and Solvents
3.3. Synthesis of Compound 3a–3e—General Procedure
3.4. Synthesis of Compound 3f,g—General Procedure
3.5. Synthesis of Compound 3h,i—General Procedure
3.6. Inhibition of 11β-HSD1 Assays
3.7. Inhibition of 11β-HSD2 Assays
3.8. Determination of IC50
4. Conclusions
Supplementary Materials
Author Contributions
Funding
Conflicts of Interest
References
- Siegel, R.L.; Miller, K.D.; Sauer, A.G.; Fedewa, S.A.; Butterly, L.F.; Anderson, J.C.; Cercek, A.; Smith, R.A.; Jemal, A.J. Colorectal cancer statistics, 2020. CA Cancer J. Clin. 2020, 70, 7–30. [Google Scholar] [CrossRef]
- Spiegel, D.; Giese-Davis, J. Depression and cancer: Mechanisms and disease progression. Boil. Psychiatry 2003, 54, 269–282. [Google Scholar] [CrossRef]
- Bukberg, J.; Penman, D.; Holland, J.C. Depression in Hospitalized Cancer Patients. Psychosom. Med. 1984, 46, 199–212. [Google Scholar] [CrossRef] [PubMed]
- Spiegel, D. Health caring. Psychosocial support for patients with cancer. Cancer 1994, 74, 1453–1457. [Google Scholar] [CrossRef]
- Chida, Y.; Hamer, M.; Wardle, J.; Steptoe, A. Do stress-related psychosocial factors contribute to cancer incidence and survival? Nat. Clin. Pract. Oncol. 2008, 5, 466–475. [Google Scholar] [CrossRef] [PubMed]
- Volden, P.A.; Conzen, S.D. The influence of glucocorticoid signaling on tumor progression. Brainbehav. Immun. 2012, 30, 26–31. [Google Scholar] [CrossRef]
- Brothers, B.M.; Andersen, B.L. Hopelessness as a predictor of depressive symptoms for breast cancer patients coping with recurrence. Psycho Oncol. 2009, 18, 267–275. [Google Scholar] [CrossRef] [PubMed]
- Bener, A.; Alsulaiman, R.; Doodson, L.; Agathangelou, T. Depression, Hopelessness and Social Support among Breast Cancer Patients: In Highly Endogamous Population. Asian Pac. J. Cancer Prev. 2017, 18, 1889–1896. [Google Scholar]
- Ewert, A.; Chang, Y. Levels of Nature and Stress Response. Behav. Sci. 2018, 8, 49. [Google Scholar] [CrossRef]
- Takahashi, A.; Flanigan, M.E.; McEwen, B.S.; Russo, S.J. Aggression, Social Stress, and the Immune System in Humans and Animal Models. Front. Behav. Neurosci. 2018, 12, 56. [Google Scholar]
- Kupczyk, D.; Studzińska, R.; Bilski, R.; Woźniak, A. Application of ELISA Technique and Human Microsomes in the Search for 11β-Hydroxysteroid Dehydrogenase Inhibitors. Biomed. Res. Int. 2019, 2019, 5747436–5747438. [Google Scholar] [CrossRef] [PubMed]
- Draper, N.; Stewart, P.M. 11β-Hydroxysteroid dehydrogenase and the pre-receptor regulation of corticosteroid hormone action. J. Endocrinol. 2005, 186, 251–271. [Google Scholar] [CrossRef] [PubMed]
- Choe, S.J.; Kim, D.; Kim, E.J.; Ahn, J.-S.; Choi, E.-J.; Son, E.D.; Lee, T.R.; Choi, E.H. Psychological Stress Deteriorates Skin Barrier Function by Activating 11β-Hydroxysteroid Dehydrogenase 1 and the HPA Axis. Sci. Rep. 2018, 8, 6334. [Google Scholar] [CrossRef] [PubMed]
- Dhabhar, F.S.; McEwen, B.S. Enhancing versus suppressive effects of stress hormones on skin immune function. Proc. Natl. Acad. Sci. USA 1999, 96, 1059–1064. [Google Scholar] [CrossRef] [PubMed]
- Antoni, M.H.; Lutgendorf, S.K.; Cole, S.W.; Dhabhar, F.S.; Sephton, S.E.; McDonald, P.G.; Stefanek, M.; Sood, A.K. The influence of bio-behavioural factors on tumour biology: Pathways and mechanisms. Nat. Rev. Cancer 2006, 6, 240–248. [Google Scholar] [CrossRef]
- Lorenzo-Herrero, S.; López-Soto, A.; Sordo-Bahamonde, C.; González-Rodríguez, A.P.; Vitale, M.; González, S. NK Cell-Based Immunotherapy in Cancer Metastasis. Cancers 2018, 11, 29. [Google Scholar] [CrossRef]
- Kuroda, K.; Venkatakrishnan, R.; James, S.; Šućurović, S.; Mulac-Jericevic, B.; Lucas, E.S.; Takeda, S.; Shmygol, A.; Brosens, J.; Quenby, S. Elevated periimplantation uterine natural killer cell density in human endometrium is associated with impaired corticosteroid signaling in decidualizing stromal cells. J. Clin. Endocrinol. Metab. 2013, 98, 4429–4437. [Google Scholar] [CrossRef]
- Chapman, K.; Holmes, M.; Seckl, J. 11β-hydroxysteroid dehydrogenases: Intracellular gate-keepers of tissue glucocorticoid action. Physiol. Rev. 2013, 93, 1139–1206. [Google Scholar] [CrossRef]
- Bailey, M.A. 11β-hydroxysteroid dehydrogenases and hypertension in the metabolic syndrome. Curr. Hypertens. Rep. 2017, 19, 100. [Google Scholar] [CrossRef]
- Chen, J.; Liu, Q.M.; Du, P.C.; Ning, D.; Mo, J.; Zhu, H.D.; Wang, C.; Ge, O.Y.; Cheng, O.; Zhang, X.W.; et al. Type-2 11β-hydroxysteroid dehydrogenase promotes the metastasis of colorectal cancer via the Fgfbp1-AKT pathway. Am. J. Cancer Res. 2020, 10, 662–673. [Google Scholar]
- Danielsen, S.A.; Eide, P.W.; Nesbakken, A.; Guren, T.; Leithe, E.; Lothe, R.A. Portrait of the PI3K/AKT pathway in colorectal cancer. Biochim. Et Biophys. Acta (Bba)-Bioenerg. 2015, 1855, 104–121. [Google Scholar] [CrossRef] [PubMed]
- Diederich, S.; Grossmann, C.; Hanke, B.; Quinkler, M.; Herrmann, M.; Bähr, V.; Oelkers, W. In the search for specific inhibitors of human 11beta-hydroxysteroid-dehydrogenases (11beta-HSDs): Chenodeoxycholic acid selectively inhibits 11beta-HSD-I. Eur. J. Endocrinol. 2000, 142, 200–207. [Google Scholar] [CrossRef] [PubMed]
- Vicker, N.; Su, X.; Lawrence, H.; Cruttenden, A.; Purohit, A.; Reed, M.J.; Potter, B.V. A novel 18β-glycyrrhetinic acid analogue as a potent and selective inhibitor of 11β-hydroxysteroid dehydrogenase 2. Bioorganic Med. Chem. Lett. 2004, 14, 3263–3267. [Google Scholar]
- Scott, J.S.; Goldberg, F.W.; Turnbull, A.V. Medicinal Chemistry of Inhibitors of 11β-Hydroxysteroid Dehydrogenase Type 1 (11β-HSD1). J. Med. Chem. 2013, 57, 4466–4486. [Google Scholar] [CrossRef] [PubMed]
- Barf, T.; Vallgårda, J.; Emond, R.; Häggström, C.; Kurz, G.; Nygren, A.; Larwood, V.; Mosialou, E.; Axelsson, K.; Olsson, R.; et al. Arylsulfonamidothiazoles as a New Class of Potential Antidiabetic Drugs. Discovery of Potent and Selective Inhibitors of the 11β-Hydroxysteroid Dehydrogenase Type 1. J. Med. Chem. 2002, 45, 3813–3815. [Google Scholar] [CrossRef]
- Fotsch, C.; Wang, M. ChemInform Abstract: Blockade of Glucocorticoid Excess at the Tissue Level: Inhibitors of 11β-Hydroxysteroid Dehydrogenase Type 1 as a Therapy for Type 2 Diabetes. J. Med. Chem. 2008, 39, 4851–4857. [Google Scholar] [CrossRef] [PubMed]
- Hale, C.; Véniant, M.M.; Wang, Z.; Chen, M.; McCormick, J.; Cupples, R.; Hickman, D.; Min, X.; Sudom, A.; Xu, H.; et al. Structural Characterization and Pharmacodynamic Effects of an Orally Active 11β-Hydroxysteroid Dehydrogenase Type 1 Inhibitor. Chem. Boil. Drug Des. 2007, 71, 36–44. [Google Scholar] [CrossRef]
- Wan, Z.K.; Chenail, E.; Li, H.Q.; Ipek, M.; Xiang, J.; Suri, V.; Hahm, S.; Bard, J.; Svenson, K.; Xu, X.; et al. Discovery of HSD-621 as a Potential Agent for the Treatment of Type 2 Diabetes. ACS Med. Chem. Lett. 2012, 4, 118–123. [Google Scholar] [CrossRef][Green Version]
- Johansson, L.; Fotsch, C.; Bartberger, M.D.; Castro, V.M.; Chen, M.; Emery, M.; Gustafsson, S.; Hale, C.; Hickman, D.; Homan, E.; et al. 2-Amino-1,3-thiazol-4(5H)-ones as Potent and Selective 11β-Hydroxysteroid Dehydrogenase Type 1 Inhibitors: Enzyme-Ligand Co-Crystal Structure and Demonstration of Pharmacodynamic Effects in C57Bl/6 Mice. J. Med. Chem. 2008, 51, 2933–2943. [Google Scholar] [CrossRef]
- Yuan, C.; Jean, D.J.S.; Liu, Q.; Cai, L.; Li, A.; Han, N.; Moniz, G.; Askew, B.; Hungate, R.W.; Johansson, L.; et al. The discovery of 2-anilinothiazolones as 11β-HSD1 inhibitors. Bioorganic Med. Chem. Lett. 2007, 17, 6056–6061. [Google Scholar] [CrossRef]
- Sanna, P.P.; Kawamura, T.; Chen, J.; Koob, G.F.; Roberts, A.J.; Vendruscolo, L.F.; Repunte-Canonigo, V. 11β-hydroxysteroid dehydrogenase inhibition as a new potential therapeutic target for alcohol abuse. Transl. Psychiatry 2016, 6, e760. [Google Scholar] [CrossRef] [PubMed]
- Beck, K.R.; Bächler, M.; Vuorinen, A.; Wagner, S.; Akram, M.; Griesser, U.; Temml, V.; Klusonova, P.; Yamaguchi, H.; Schuster, D.; et al. Inhibition of 11β-hydroxysteroid dehydrogenase 2 by the fungicides itraconazole and posaconazole. Biochem. Pharmacol. 2017, 130, 93–103. [Google Scholar] [CrossRef]
- Al-Ansary, G.H.; Ismail, M.A.; El Ella, D.A.A.; Eid, S.; Abouzid, K.A.M. Molecular design and synthesis of HCV inhibitors based on thiazolone scaffold. Eur. J. Med. Chem. 2013, 68, 19–32. [Google Scholar] [CrossRef] [PubMed]
- Dabholkar, V.V.; Shah, S.D.; Dave, V.M. Lacatums of thiazol-4-ones. Der Pharma Chemica. 2015, 7, 163–166. [Google Scholar]
- Manhi, F.M.; Mahmoud, M.R. Studies on the reactivity of fused thiazole toward nucleophilic reagents: Synthesis of new thiazolo-derivatives of potential antischistosomal activity. Heteroat. Chem. 2005, 16, 121–131. [Google Scholar] [CrossRef]
- Subtelna, I.; Atamanyuk, D.; Szymanska, E.; Kieć-Kononowicz, K.; Zimenkovsky, B.; Vasylenko, O.; Gzella, A.; Lesyk, R. Synthesis of 5-arylidene-2-amino-4-azolones and evaluation of their anticancer activity. Bioorganic Med. Chem. 2010, 18, 5090–5102. [Google Scholar] [CrossRef] [PubMed]
- Havrylyuk, D.; Zimenkovsky, B.; Vasylenko, O.; Zaprutko, L.; Gzella, A.; Lesyk, R. Synthesis of novel thiazolone-based compounds containing pyrazoline moiety and evaluation of their anticancer activity. Eur. J. Med. Chem. 2009, 44, 1396–1404. [Google Scholar] [CrossRef]
- Chen, S.; Chen, L.; Le, N.T.; Zhao, C.; Sidduri, A.; Lou, J.P.; Michoud, C.; Portland, L.; Jackson, N.; Liu, J.J.; et al. Synthesis and activity of quinolinyl-methylene-thiazolinones as potent and selective cyclin-dependent kinase 1 inhibitors. Bioorganic Med. Chem. Lett. 2007, 17, 2134–2138. [Google Scholar] [CrossRef]
- Studzińska, R.; Kołodziejska, R.; Kupczyk, D.; Plazinski, W.; Kosmalski, T. A novel derivatives of thiazol-4(5H)-one and their activity in the inhibition of 11β-hydroxysteroid dehydrogenase type 1. Bioorganic Chem. 2018, 79, 115–121. [Google Scholar] [CrossRef]
- Studzińska, R.; Kołodziejska, R.; Płaziński, W.; Kupczyk, D.; Kosmalski, T.; Jasieniecka, K.; Modzelewska-Banachiewicz, B. Synthesis of the N-methyl Derivatives of 2-Aminothiazol-4(5H)-one and Their Interactions with 11βHSD1-Molecular Modeling and in Vitro Studies. Chem. Biodivers. 2019, 16, e1900065. [Google Scholar]
- Studzińska, R.; Kupczyk, D.; Płazińska, A.; Kołodziejska, R.; Kosmalski, T.; Modzelewska-Banachiewicz, B. Thiazolo[3,2-α]pyrimidin-5-one derivatives as a novel class of 11β-hydroxysteroid dehydrogenase inhibitors. Bioorganic Chem. 2018, 81, 21–26. [Google Scholar] [CrossRef]
- Kim, H.M.; Ha, K.S.; Hwang, I.C.; Ahn, H.Y.; Youn, C.H. Random Serum Cortisol as a Predictor for Survival of Terminally Ill Patients with Cancer. Am. J. Hosp. Palliat. Med. 2014, 33, 281–285. [Google Scholar] [CrossRef] [PubMed]
- Schrepf, A.; Thaker, P.H.; Goodheart, M.J.; Bender, D.P.; Slavich, G.M.; Dahmoush, L.; Penedo, F.J.; DeGeest, K.; Mendez, L.E.; Lubaroff, D.M.; et al. Diurnal cortisol and survival in epithelial ovarian cancer. Psychoneuroendocrinology 2015, 53, 256–267. [Google Scholar] [CrossRef] [PubMed]
- Koyama, K.; Krozowski, Z. Modulation of 11β-hydroxysteroid dehydrogenase type 2 activity in Ishikawa cells is associated with changes in cellular proliferation. Mol. Cell. Endocrinol. 2001, 183, 165–170. [Google Scholar] [CrossRef]
- Yamazaki, R.; Kusunoki, N.; Matsuzaki, T.; Hashimoto, S.; Kawai, S. Selective cyclooxygenase-2 inhibitors show a differential ability to inhibit proliferation and induce apoptosis of colon adenocarcinoma cells. Febs Lett. 2002, 531, 278–284. [Google Scholar] [CrossRef]
- Yang, S.; Jiang, L.; Zhang, M.-Z. 11β-Hydroxysteroid Dehydrogenase Type II is a Potential Target for Prevention of Colorectal Tumorigenesis. J. Oncobiomark. 2013, 1, 2. [Google Scholar] [CrossRef]
- Rabbitt, E.H.; Ayuk, J.; Boelaert, K.; Sheppard, M.C.; Hewison, M.; Stewart, P.M.; Gittoes, N.J.L. Abnormal expression of 11β-hydroxysteroid dehydrogenase type 2 in human pituitary adenomas: A prereceptor determinant of pituitary cell proliferation. Oncogene 2003, 22, 1663–1667. [Google Scholar] [CrossRef]
- Lipinski, C.A.; Lombardo, F.; Dominy, B.W.; Feeney, P.J. Experimental and computational approaches to estimate solubility and premeability in drug discovery and development settings. Adv. Drug Deliv. Rev. 1997, 23, 3–25. [Google Scholar] [CrossRef]
- Veber, D.F.; Johnson, S.R.; Cheng, H.-Y.; Smith, B.R.; Ward, K.W.; Kopple, K.D. Molecular Properties That Influence the Oral Bioavailability of Drug Candidates. J. Med. Chem. 2002, 45, 2615–2623. [Google Scholar] [CrossRef]
- Molinspiration. Available online: https://www.molinspiration.com (accessed on 1 July 2020).
- ALOGPS 2.1. Available online: http://146.107.217.178/web/alogps (accessed on 2 July 2020).
- Arnott, J.A.; Planey, S.L. The influence of lipophilicity in drug discovery and design. Expert Opin. Drug Discov. 2012, 7, 863–875. [Google Scholar] [CrossRef]
- Chen, Y.; Wu, B.; Hao, Y.; Liu, Y.; Zhang, Z.; Tian, C.; Ning, X.; Guo, Y.; Liu, J.; Wang, X. Structure-activity relationship studies of (E)-3,4-dihydroxystyryl alkyl sulfones as novel neuroprotective agents based on improved antioxidant, anti-inflammatory activities and BBB permeability. Eur. J. Med. Chem. 2019, 171, 420–433. [Google Scholar] [CrossRef] [PubMed]
- Studzińska, R.; Karczmarska-Wódzka, A.; Kozakiewicz, A.; Kołodziejska, R.; Paprocka, R.; Wroblewski, M.; Augustynska, B.; Modzelewska-Banachiewicz, B. 2-Allylaminothiazole and 2-allylaminodihydrothiazole derivatives: Synthesis, characterization, and evaluation of bioactivity. Mon. Für Chem. 2015, 146, 1673–1679. [Google Scholar] [CrossRef] [PubMed]
Sample Availability: Samples of the compounds 3a–3i are available from the authors. |



| No | R1 | R2 | Procedure Time (h) | Isolated Yield (%) | M.p. (°C) | % of 11β-HSD1 Inhibition 10 μM/IC50 [µM] a | % of 11β-HSD2 Inhibition 10 μM/IC50 [µM] a |
|---|---|---|---|---|---|---|---|
| 3a | H | CH3 | A/7 | 34 | 115–117 | 0 | 27.61 ± 2.11/nd |
| 3b | H | C2H5 | A/8 | 28 | 130–131 | 0 | 47.08 ± 2.51/nd |
| 3c | H | n-C3H7 | A/10 | 47 | 110–112 | 0 | 54.59 ± 4.21/9.12 ± 0.76 |
| 3d | H | CH(CH3)2 | A/15 | 25 | 153–155 | 18.86 ± 3.47/nd | 14.29 ± 1.21/nd |
| 3e | CH3 | CH3 | A/11 | 10 | 193–194 | 18.06 ± 0.97/nd | 21.43 ± 2.11/nd |
| 3f | H | C6H5 | B/240 | 25 | 227 (dec.) | 0 | 10.48 ± 2.13/nd |
| 3g | H | pBr-C6H4 | B/168 | 85 | 236–237 | 27.58 ± 2.53/nd | 27.61 ± 2.11/nd |
| 3h | C5H10cycl | C/168 | 8 | 140 (dec.) | 54.53 ± 3.03/9.35 ± 0.67 | 17.35 ± 1.25/nd | |
| 3i | C3H6cycl | C/240 | 15 | 151–152 | 20.94 ± 2.22/nd | 36.73 ± 2.43/nd | |
| control | 84.54 ± 5.47 b/<0.625 | 47.43 ± 1.11 c/nd | |||||
| No. | Lipinski’s Rule of Five | Veber’s Rule | |||||
|---|---|---|---|---|---|---|---|
| Molecular Weight a | miLog P a | Log P b | nOHNH a | nON a | TPSA/Å2 a | Nrotb a | |
| 3a | 172.25 | 0.75 | 1.01 | 1 | 3 | 41.46 | 2 |
| 3b | 186.28 | 1.25 | 1.86 | 1 | 3 | 41.46 | 3 |
| 3c | 200.31 | 1.81 | 2.37 | 1 | 3 | 41.46 | 4 |
| 3d | 200.31 | 1.50 | 1.53 | 1 | 3 | 41.46 | 3 |
| 3e | 186.28 | 1.20 | 1.39 | 1 | 3 | 41.46 | 2 |
| 3f | 234.32 | 1.97 | 2.26 | 1 | 3 | 41.46 | 3 |
| 3g | 313.22 | 2.78 | 2.82 | 1 | 3 | 41.46 | 3 |
| 3h | 226.34 | 2.37 | 2.54 | 1 | 3 | 41.46 | 2 |
| 3i | 198.29 | 1.12 | 1.88 | 1 | 3 | 41.46 | 2 |
© 2020 by the authors. Licensee MDPI, Basel, Switzerland. This article is an open access article distributed under the terms and conditions of the Creative Commons Attribution (CC BY) license (http://creativecommons.org/licenses/by/4.0/).
Share and Cite
Kupczyk, D.; Studzińska, R.; Bilski, R.; Baumgart, S.; Kołodziejska, R.; Woźniak, A. Synthesis of Novel 2-(Isopropylamino)thiazol-4(5H)-one Derivatives and Their Inhibitory Activity of 11β-HSD1 and 11β-HSD2 in Aspect of Carcinogenesis Prevention. Molecules 2020, 25, 4233. https://doi.org/10.3390/molecules25184233
Kupczyk D, Studzińska R, Bilski R, Baumgart S, Kołodziejska R, Woźniak A. Synthesis of Novel 2-(Isopropylamino)thiazol-4(5H)-one Derivatives and Their Inhibitory Activity of 11β-HSD1 and 11β-HSD2 in Aspect of Carcinogenesis Prevention. Molecules. 2020; 25(18):4233. https://doi.org/10.3390/molecules25184233
Chicago/Turabian StyleKupczyk, Daria, Renata Studzińska, Rafał Bilski, Szymon Baumgart, Renata Kołodziejska, and Alina Woźniak. 2020. "Synthesis of Novel 2-(Isopropylamino)thiazol-4(5H)-one Derivatives and Their Inhibitory Activity of 11β-HSD1 and 11β-HSD2 in Aspect of Carcinogenesis Prevention" Molecules 25, no. 18: 4233. https://doi.org/10.3390/molecules25184233
APA StyleKupczyk, D., Studzińska, R., Bilski, R., Baumgart, S., Kołodziejska, R., & Woźniak, A. (2020). Synthesis of Novel 2-(Isopropylamino)thiazol-4(5H)-one Derivatives and Their Inhibitory Activity of 11β-HSD1 and 11β-HSD2 in Aspect of Carcinogenesis Prevention. Molecules, 25(18), 4233. https://doi.org/10.3390/molecules25184233

