Analysis of Phenolic Components and Related Biological Activities of 35 Apple (Malus pumila Mill.) Cultivars
Abstract
1. Introduction
2. Results
2.1. Analysis of Basic Indexes of Different Apple Cultivars
2.2. Comparison of Total Phenolics, Total Proanthocyanidins, and Antioxidant Activities of Different Apple Cultivars
2.3. Comparison of Phenolic Components in Apple Fruit Extracts from Different Cultivars
2.4. Correlation Analysis of Phenolics Composition and Antioxidant Capacity
2.5. Anti-Tumour Proliferation Activity
2.6. Correlations between Phenolic Components and Anti-Tumour Activity
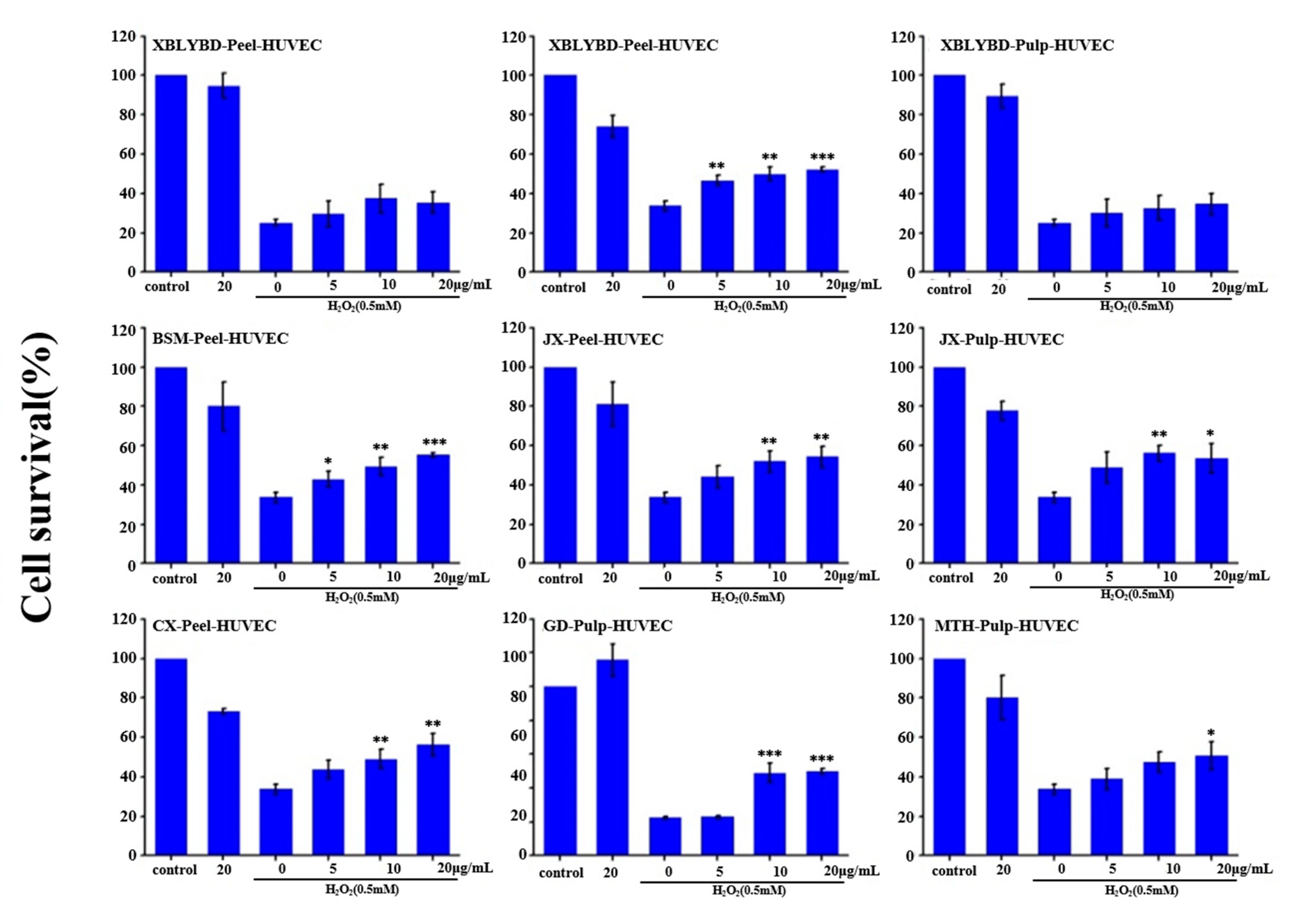
2.7. Protective Effect on HUVEC
2.8. Promotion Effect on Glucose Consumption in HepG2 Cells
3. Discussion
4. Materials and Methods
4.1. Materials
4.2. Measurement of Basic Indexes
4.3. Determination of Total Phenolics, Total Proanthocyanidins, and Antioxidant Activity
4.4. Analysis of Phenolic Compounds by HPLC and HRMS
4.5. Preparation of Apple Fruit SPE Powder
4.6. Detection of Anti-Tumour Proliferation Activity
4.7. Detection of HUVEC Protection Activity
4.8. Detection of Glucose Consumption Promotion Activity in HepG2 Cells
4.9. Statistical Analysis
5. Conclusions
Supplementary Materials
Author Contributions
Funding
Conflicts of Interest
References
- Raudone, L.; Raudonis, R.; Liaudanskas, M.; Janulis, V.; Viskelis, P. Phenolic antioxidant profiles in the whole fruit, flesh and peel of apple cultivars grown in Lithuania. Sci. Hortic. 2017, 216, 186–192. [Google Scholar] [CrossRef]
- Figuerola, F.; Hurtado, M.L.; Estévez, A.M.; Chiffelle, I.; Asenjo, F. Fibre concentrates from apple pomace and citrus peel as potential fibre sources for food enrichment. Food Chem. 2005, 91, 395–401. [Google Scholar] [CrossRef]
- Hyson, D.A. A Comprehensive review of apples and apple components and their relationship to human health. Adv. Nutr. 2011, 2, 408–420. [Google Scholar] [CrossRef] [PubMed]
- Wang, Y.; Ji, S.; Zang, W.; Wang, N.; Cao, J.; Li, X.; Sun, C. Identification of phenolic compounds from a unique citrus species, finger lime (Citrus australasica) and their inhibition of LPS-induced NO-releasing in BV-2 cell line. Food Chem. Toxicol. 2019, 129, 54–63. [Google Scholar] [CrossRef] [PubMed]
- Wolfe, K.; Wu, X.Z.; Liu, R.H. Antioxidant activity of apple peels. J. Agric. Food Chem. 2003, 51, 609–614. [Google Scholar] [CrossRef]
- Graziani, G.; D’Argenio, G.; Tuccillo, C.; Loguercio, C.; Ritieni, A.; Morisco, F.; Blanco, C.D.; Fogliano, V.; Romano, M. Apple polyphenol extracts prevent damage to human gastric epithelial cells in vitro and to rat gastric mucosa in vivo. Gut 2005, 54, 193–200. [Google Scholar] [CrossRef]
- He, X.; Liu, R.H. Phytochemicals of apple peels: Isolation, structure elucidation, and their antiproliferative and antioxidant activities. J. Agric. Food Chem. 2008, 56, 9905–9910. [Google Scholar] [CrossRef]
- Liu, R.H.; Liu, J.R.; Chen, B.Q. Apples prevent mammary tumors in rats. J. Agric. Food Chem. 2005, 53, 2341–2343. [Google Scholar] [CrossRef]
- Andre, C.M.; Greenwood, J.M.; Walker, E.G.; Maysoon, R.; Michael, S.; Danièle, E.; Perry, N.B.; Laing, W.A. Anti-inflammatory procyanidins and triterpenes in 109 apple varieties. J. Agric. Food Chem. 2012, 60, 10546–10554. [Google Scholar] [CrossRef]
- Lam, C.K.; Zhang, Z.; Yu, H.; Tsang, S.Y.; Huang, Y.; Chen, Z.Y. Apple polyphenols inhibit plasma CETP activity and reduce the ratio of non-HDL to HDL cholesterol. Mol. Nutr. Food Res. 2010, 52, 950–958. [Google Scholar] [CrossRef]
- Mennen, L.I.; Sapinho, D.; de Bree, A.; Arnault, N.; Bertrais, S.; Galan, P.; Hercberg, S. Consumption of foods rich in flavonoids is related to a decreased cardiovascular risk in apparently healthy French women. J. Nutr. 2004, 134, 923–926. [Google Scholar] [CrossRef] [PubMed]
- de Oliveira, M.C.; Sichieri, R.; Mozzer, R.V. A low-energy-dense diet adding fruit reduces weight and energy intake in women. Appetite 2008, 51, 291–295. [Google Scholar] [CrossRef] [PubMed]
- Shoji, T.; Akazome, Y.; Kanda, T.; Ikeda, M. The toxicology and safety of apple polyphenol extract. Food Chem. Toxicol. 2004, 42, 959–967. [Google Scholar] [CrossRef] [PubMed]
- Dhyani, P.; Bahukhandi, A.; Rawat, S.; Bhatt, I.D.; Rawal, R.S. Diversity of bioactive compounds and antioxidant activity in Delicious group of apple in Western Himalaya. J. Food Sci. Technol. 2018, 55, 1–13. [Google Scholar] [CrossRef] [PubMed]
- Wang, Y.; Qian, J.; Cao, J.; Wang, D.; Liu, C.; Yang, R.; Li, X.; Sun, C. Antioxidant Capacity, Anticancer Ability and Flavonoids Composition of 35 Citrus (Citrus reticulata Blanco) Varieties. Molecules 2017, 22, 1114. [Google Scholar] [CrossRef]
- Ding, T.; Cao, K.; Fang, W.; Zhu, G.; Wang, L. Evaluation of phenolic components (anthocyanins, flavanols, phenolic acids, and flavonols) and their antioxidant properties of peach fruits. Sci. Hortic. 2020, 268, 109365. [Google Scholar] [CrossRef]
- Oszmianski, J.; Lachowicz, S.; Glawdel, E.; Cebulak, T.; Ochmian, I. Determination of phytochemical composition and antioxidant capacity of 22 old apple cultivars grown in Poland. Eur. Food Res. Technol. 2018, 244, 647–662. [Google Scholar] [CrossRef]
- Lo Piccolo, E.; Landi, M.; Massai, R.; Remorini, D.; Conte, G.; Guidi, L. Ancient apple cultivars from Garfagnana (Tuscany, Italy): A potential source for ‘nutrafruit’ production. Food Chem. 2019, 294, 518–525. [Google Scholar] [CrossRef]
- Duan, N.B.; Bai, Y.; Sun, H.H.; Wang, N.; Ma, Y.M.; Li, M.J.; Wang, X.; Jiao, C.; Legall, N.; Mao, L.Y.; et al. Genome re-sequencing reveals the history of apple and supports a two-stage model for fruit enlargement. Nat. Commun. 2017, 8, 249. [Google Scholar] [CrossRef]
- Podsedek, A.; Wilska-Jeszka, J.; Anders, B.; Markowski, J. Compositional characterisation of some apple varieties. Eur. Food Res. Technol. 2000, 210, 268–272. [Google Scholar] [CrossRef]
- Sun, J.; Chu, Y.F.; Wu, X.Z.; Liu, R.H. Antioxidant and anti proliferative activities of common fruits. J. Agric. Food Chem. 2002, 50, 7449–7454. [Google Scholar] [CrossRef] [PubMed]
- Chun, O.K.; Kim, D.O.; Smith, N.; Schroeder, D.; Han, J.T.; Chang, Y.L. Daily consumption of phenolics and total antioxidant capacity from fruit and vegetables in the American diet. J. Sci. Food Agric. 2005, 85, 1715–1724. [Google Scholar] [CrossRef]
- Hertog, M.G.L.; Feskens, E.J.M.; Hollman, P.C.H.; Katan, M.B.; Kromhout, D. Dietary flavonoids and cancer risk in the Zutphen elderly study. Nutr. Cancer 1994, 22, 175–184. [Google Scholar] [CrossRef] [PubMed]
- Sampson, L.; Rimm, E.; Hollman, P.C.H.; de Vries, J.H.M.; Katan, M.B. Flavonol and flavone intakes in US health professionals. J. Am. Diet. Assoc. 2002, 102, 1414–1420. [Google Scholar] [CrossRef]
- Ramos, S. Effects of dietary flavonoids on apoptotic pathways related to cancer chemoprevention. J. Nutr. Biochem. 2007, 18, 427–442. [Google Scholar] [CrossRef]
- Tsao, R.; Yang, R.; Xie, S.; Sockovie, E.; Khanizadeh, S. Which polyphenolic compounds contribute to the total antioxidant activities of apple? J. Agric. Food Chem. 2005, 53, 4989–4995. [Google Scholar] [CrossRef]
- Bahukhandi, A.; Dhyani, P.; Bhatt, I.D.; Rawal, R.S. Variation in polyphenolics and antioxidant activity of traditional apple cultivars from West Himalaya, Uttarakhand. Hortic. Plant J. 2018, 4, 151–157. [Google Scholar] [CrossRef]
- Shafi, W.; Mansoor, S.; Jan, S.; Singh, D.B.; Kazi, M.; Raish, M.; Alwadei, M.; Mir, J.I.; Ahmad, P. Variability in catechin and rutin contents and their antioxidant potential in diverse apple genotypes. Molecules 2019, 24, 943. [Google Scholar] [CrossRef]
- Zhou, Z.Q. The apple genetic resources in China: The wild species and their distributions, informative characteristics and utilisation. Genet. Resour. Crop. Ev. 1999, 46, 599–609. [Google Scholar] [CrossRef]
- Lv, Q.; Si, M.M.; Yan, Y.Y.; Luo, F.L.; Hu, G.B.; Wu, H.S.; Sun, C.D.; Li, X.; Chen, K.S. Effects of phenolic-rich litchi (Litchi chinensis Sonn.) pulp extracts on glucose consumption in human HepG2 cells. J. Funct. Foods 2014, 7, 621–629. [Google Scholar] [CrossRef]
- Wang, Y.; Zhang, X.N.; Xie, W.H.; Zheng, Y.X.; Cao, J.P.; Cao, P.R.; Chen, Q.J.; Li, X.; Sun, C.D. The growth of SGC-7901 tumor xenografts was suppressed by Chinese bayberry anthocyanin extract through upregulating KLF6 gene expression. Nutrients 2016, 8, 599. [Google Scholar] [CrossRef] [PubMed]
- de Kok, T.; de Waard, P.; Wilms, L.C.; van Breda, S.G.J. Antioxidative and antigenotoxic properties of vegetables and dietary phytochemicals: The value of genomics biomarkers in molecular epidemiology. Mol. Nutr. Food Res. 2010, 54, 208–217. [Google Scholar] [CrossRef]
- Jaramillo, S.; Lopez, S.; Varela, L.M.; Rodriguez-Arcos, R.; Jimenez, A.; Abia, R.; Guillen, R.; Muriana, F.J.G. The flavonol isorhamnetin exhibits cytotoxic effects on human colon cancer cells. J. Agric. Food Chem. 2010, 58, 10869–10875. [Google Scholar] [CrossRef] [PubMed]
- Key, T.J.; Fraser, G.E.; Thorogood, M.; Appleby, P.N.; Beral, V. Mortality in vegetarians and nonvegetarians: Detailed findings from a collaborative analysis of 5 prospective studies. Am. J. Clin. Nutr. 1999, 70, 516S–524S. [Google Scholar] [CrossRef] [PubMed]
- Miura, K. Relation of vegetable, fruit, and meat intake to 7-year blood pressure change in middle-aged men: The Chicago Western Electric Study. Am. J. Epidemiol. 2004, 159, 572–580. [Google Scholar] [CrossRef] [PubMed]
- Steffen, L.M.; Kroenke, C.H.; Yu, X.; Pereira, M.A.; Slattery, M.L.; Van Horn, L.; Gross, M.D.; Jacobs, D.R. Associations of plant food, dairy product, and meat intakes with 15-y incidence of elevated blood pressure in young black and white adults: The Coronary Artery Risk Development in Young Adults (CARDIA) Study. Am. J. Clin. Nutr. 2005, 82, 1169–1177. [Google Scholar] [CrossRef]
- Shinohara, K.; Kuroki, S.; Miwa, M.; Kong, Z.L.; Hosoda, H. Antimutagenicity of dialysates of vegetables and fruits. Agric. Biol. Chem. 1988, 52, 1369–1375. [Google Scholar]
- Waldecker, M.; Kautenburger, T.; Daumann, H.; Veeriah, S.; Will, F.; Dietrich, H.; Pool-Zobel, B.L.; Schrenk, D. Histone-deacetylase inhibition and butyrate formation: Fecal slurry incubations with apple pectin and apple juice extracts. Nutrition 2008, 24, 366–374. [Google Scholar] [CrossRef]
- Yoon, H.; Liu, R.H. Effect of selected phytochemicals and apple extracts on NF-κB activation in human breast cancer MCF-7 cells. J. Agric. Food Chem. 2007, 55, 3167–3173. [Google Scholar] [CrossRef]
- Yang, N.N.; Ekanem, N.R.; Sakyi, C.A.; Ray, S.D. Hepatocellular carcinoma and microRNA: New perspectives on therapeutics and diagnostics. Adv. Drug Deliv. Rev. 2015, 81, 62–74. [Google Scholar] [CrossRef]
- Johnston, K.L.; Clifford, M.N.; Morgan, L.M. Possible role for apple juice phenolic, compounds in the acute modification of glucose tolerance and gastrointestinal hormone secretion in humans. J. Sci. Food Agric. 2002, 82, 1800–1805. [Google Scholar] [CrossRef]
- Marks, S.C.; Mullen, W.; Borges, G.; Crozier, A. Absorption, metabolism, and excretion of cider dihydrochalcones in healthy humans and subjects with an ileostomy. J. Agric. Food Chem. 2009, 57, 2009–2015. [Google Scholar] [CrossRef] [PubMed]
- Zhou, J.Y.; Sun, C.D.; Zhang, L.L.; Dai, X.; Xu, C.J.; Chen, K.S. Preferential accumulation of orange-colored carotenoids in Ponkan (Citrus reticulata) fruit peel following postharvest application of ethylene or ethephon. Sci. Hortic. 2010, 126, 229–235. [Google Scholar] [CrossRef]
- Ghafoor, K.; Park, J.; Choi, Y.H. Optimization of supercritical fluid extraction of bioactive compounds from grape (Vitis labrusca B.) peel by using response surface methodology. Innov. Food Sci. Emerg. 2010, 11, 485–490. [Google Scholar] [CrossRef]
- Payne, M.J.; Hurst, W.J.; Stuart, D.A.; Ou, B.X.; Fan, E.; Ji, H.P.; Kou, Y. Determination of total procyanidins in selected chocolate and confectionery products using DMAC. J. Aoac Int. 2010, 93, 89–96. [Google Scholar] [CrossRef]
- Zhang, W.S.; Li, X.; Zheng, J.T.; Wang, G.Y.; Sun, C.D.; Ferguson, I.B.; Chen, K.S. Bioactive components and antioxidant capacity of Chinese bayberry (Myrica rubra Sieb. and Zucc.) fruit in relation to fruit maturity and postharvest storage. Eur. Food Res. Technol. 2008, 227, 1091–1097. [Google Scholar] [CrossRef]
- Schieber, A.; Keller, P.; Carle, R. Determination of phenolic acids and flavonoids of apple and pear by high-performance liquid chromatography. J. Chromatogr. A 2001, 910, 265–273. [Google Scholar] [CrossRef]
- Liu, X.W.; Su, Y.; Zhu, H.; Cao, J.; Ding, W.J.; Zhao, Y.C.; He, Q.J.; Yang, B. HIF-1 alpha-dependent autophagy protects HeLa cells from fenretinide (4-HPR)-induced apoptosis in hypoxia. Pharmacol. Res. 2010, 62, 416–425. [Google Scholar] [CrossRef]
- Li, Y.Y.; Wu, H.S.; Tang, L.; Feng, C.R.; Yu, J.H.; Li, Y.; Yang, Y.S.; Yang, B.; He, Q.J. The potential insulin sensitizing and glucose lowering effects of a novel indole derivative in vitro and in vivo. Pharmacol. Res. 2007, 56, 335–343. [Google Scholar] [CrossRef]
Sample Availability: Samples of apple powders are not available from the authors. |










| Mature Period | Cultivar | Fruit Weight (g) | Colour (CIRG) | Firmness (N) | TSS (°Brix) | Ratio of Peel (%) |
|---|---|---|---|---|---|---|
| Early maturing cultivars | Vista Bella | 94.43 ± 13.55 bcde | 2.18 ± 0.4 mnop | 0.64 ± 0.21 a | 10.18 ± 0.68 ab | 7.99 ± 0.81 cdefgh |
| Mato | 148.58 ± 9.69 hijkl | 1.78 ± 0.17 defg | 37.32 ± 5.50 lmnop | 10.32 ± 0.46 abc | 8.97 ± 1.07 defghijk | |
| Early McIntosh | 82.89 ± 6.06 bc | 1.78 ± 0.16 defg | 18.52 ± 5.33 bc | 10.82 ± 0.74 abcde | 11.35 ± 1.19 lm | |
| Tianyisayewa | 119.94 ± 12.99 defghi | 1.55 ± 0.04 a | 22.99 ± 6.67 cd | 10.76 ± 0.80 abcde | 8.97 ± 0.70 defghijk | |
| Chunxiang | 95.84 ± 6.51 bcdef | 1.91 ± 0.24 fghijk | 30.61 ± 3.42 fghi | 10.87 ± 0.91 abcdef | 8.77 ± 0.77 defghij | |
| Faxian | 119.55 ± 12.53 defgh | 1.77 ± 0.12 cdefg | 31.16 ± 6.16 fghij | 13.03 ± 0.52 efghi | 7.79 ± 2.20 cdefg | |
| Matsumoto Nishiki | 258.19 ± 22.59 s | 1.79 ± 0.23 defgh | 34.89 ± 4.28 hijklmn | 11.41 ± 0.75 abcdefg | 6.76 ± 1.07 abc | |
| Babusijinuo | 140.93 ± 34.11 ghijk | 1.58 ± 0.06 abc | 26.71 ± 3.13 def | 9.63 ± 0.36 a | 8.17 ± 0.74 cdefghi | |
| Xiboliyabaidian | 37.74 ± 7.01 a | 1.56 ± 0.04 ab | 17.32 ± 2.60 b | / | 11.84 ± 0.75 m | |
| Basimei | 76.59 ± 13.01 b | 2.05 ± 0.24 jklm | 17.90 ± 3.85 b | / | 10.38 ± 0.43 jklm | |
| Honglu | 88.16 ± 12.42 bcd | 1.75 ± 0.30 bcdef | 32.11 ± 2.45 ghijk | 13.45 ± 0.56 ghi | 8.46 ± 0.50 defghij | |
| Nuoda | 121.37 ± 18.95 efghi | 1.76 ± 0.21 cdef | 19.70 ± 2.22 bc | 10.55 ± 0.64 abcd | 8.92 ± 0.83 defghijk | |
| Medium maturing cultivars | Bolan No.8 | 215.53 ± 30.03 qr | 2.20 ± 0.38 mnop | 30.42 ± 5.07 fgh | 10.87 ± 0.85 abcdef | 7.59 ± 0.53 cde |
| Southern Snap | 116.60 ± 14.72 defgh | 2.18 ± 0.23 mnop | 34.34 ± 4.61 hijklm | 14.51 ± 0.99 hij | 9.36 ± 0.92 fghijk | |
| Qianqiu | 164.35 ± 27.75 klm | 1.86 ± 0.15 efghij | 35.38 ± 3.62 ijklmno | 12.38 ± 0.94 bcdefghi | 7.97 ± 0.75 cdefgh | |
| Gala | 146.93 ± 22.29 hijkl | 1.78 ± 0.14 defg | 32.37 ± 5.85 ghijk | 12.79 ± 1.18 defghi | 8.40 ± 1.13 cdefghi | |
| Hermhut | 127.36 ± 13.47 fghij | 1.68 ± 0.16 abcde | 31.32 ± 1.60 fghij | 10.50 ± 0.57 abcd | 9.11 ± 0.49 efghijk | |
| Ximengfei | 112.72 ± 7.03 cdefg | 2.37 ± 0.31 pqr | 36.36 ± 8.05 klmnop | 11.97 ± 1.18 abcdefg | 9.54 ± 1.46 hijk | |
| Sakata Tsugaru | 203.54 ± 35.56 opqr | 1.81 ± 0.17 klmn | 30.67 ± 2.15 fghi | 13.08 ± 0.96 efghi | 5.76 ± 1.11 ab | |
| Yingqiu | 149.81 ± 22.66 ijkl | 1.85 ± 0.20 efghi | 25.40 ± 4.20 de | 12.54 ± 0.67 bcdefghi | 9.59 ± 0.78 hijk | |
| Mantanghong | 142.23 ± 16.17 ghijkl | 2.01 ± 0.29 ijklm | 39.22 ± 3.58 mnopq | 10.97 ± 1.62 abcdef | 5.09 ± 0.54 a | |
| Qiuying | 167.06 ± 9.59 klmn | 2.44 ± 0.36 qr | 40.23 ± 3.60 opq | 13.24 ± 0.67 fghi | 8.02 ± 0.55 cdefgh | |
| Late maturing cultivars | Red Fuji | 219.91 ± 10.98 r | 1.82 ± 0.13 efghi | 25.47 ± 4.04 de | 12.61 ± 1.35 cdefghi | 7.62 ± 0.37 cde |
| Gold Delicious | 211.89 ± 8.07 pqr | 1.62 ± 0.03 abcd | 19.27 ± 2.42 bc | 11.37 ± 0.77 abcdefg | 7.58 ± 0.22 cde | |
| Jonagold | 174.01 ± 18.13 lmno | 1.97 ± 0.13 hijkl | 19.80 ± 2.89 bc | 11.34 ± 0.88 abcdefg | 7.51 ± 0.27 cde | |
| Jingxiang | 165.73 ± 17.97 klm | 1.92 ± 0.13 fghijk | 39.55 ± 3.57 nopq | 11.54 ± 1.04 abcdefg | 10.62 ± 0.46 klm | |
| Xinshijie | 163..95 ± 22.28 klm | 2.25 ± 0.22 nop | 38.08 ± 3.64 mnopq | 15.99 ± 1.16 j | 8.42 ± 1.38 cdefghi | |
| Danguang | 182.79 ± 26.60 mnop | 2.25 ± 0.23 nop | 32.76 ± 3.01 ghijkl | 11.59 ± 2.06 abcdefg | 9.78 ± 0.89 ijkl | |
| Dounan | 199.18 ± 22.45 nopqr | 2.25 ± 0.25 nop | 42.59 ± 3.70 q | 12.2 ± 0.85 bcdefgh | 9.13 ± 0.65 efghijk | |
| Huahong | 159.51 ± 17.02 jklm | 1.96 ± 0.16 ghijkl | 31.35 ± 2.62 fghij | 11.87 ± 1.18 abcdefg | 7.37 ± 0.97 bcd | |
| Yuehong | 158.97 ± 15.83 jklm | 2.29 ± 0.18 opq | 38.53 ± 3.62 mnopq | 14.71 ± 1.20 ij | 7.97 ± 1.78 cdefgh | |
| New Jonagold | 203.55 ± 16.54 opqr | 2.15 ± 0.25 lmno | 31.70 ± 3.19 ghijk | 12.59 ± 1.05 cdefghi | 9.46 ± 0.45 ghijk | |
| Rizhiwan | 183.90 ± 21.05 mnopq | 2.54 ± 0.42 r | 40.32 ± 6.80 pq | 13.00 ± 0.46 abcdef | 8.32 ± 1.02 cdefghi | |
| Hanfu | 217.90 ± 34.09 r | 2.15 ± 0.23 lmno | 28.64 ± 2.87 efg | 11.79 ± 0.62 a | 7.73 ± 1.07 cdef | |
| Huaguan | 138.71 ± 22.09 ghijk | 2.26 ± 0.18 nopq | 35.74 ± 3.51 jklmnop | 14.26 ± 0.87 abcdefg | 7.94 ± 1.48 cdefgh |
| Cultivars | Total Phenolics (mg CAE/g DW) | Total Proanthocyanidins (mg PB2/g DW) | DPPH (mg TE/g DW) | FRAP (mg TE/g DW) | ||||
|---|---|---|---|---|---|---|---|---|
| peel | pulp | peel | pulp | peel | pulp | peel | pulp | |
| Vista Bella | 18.71 ± 2.17 bc | 21.27 ± 1.69 q | 20.44 ± 1.77 l | 6.07 ± 0.44 l | 26.94 ± 2.23 lm | 10.59 ± 0.52 mno | 43.23 ± 1.57 ij | 12.74 ± 1.21 klm |
| Mato | 29.13 ± 4.74 hijk | 7.45 ± 0.34 defghi | 8.97 ± 0.11 bc | 2.80 ± 0.13 cd | 18.09 ± 0.27 def | 6.51 ± 0.51 fgh | 27.97 ± 1.35 def | 6.44 ± 0.36 cde |
| Early McIntosh | 54.57 ± 1.79 qr | 23.43 ± 1.06 r | 28.92 ± 1.21 p | 10.69 ± 0.42 o | 46.74 ± 0.42 n | 21.56 ± 0.46 q | 53.56 ± 0.73 k | 21.20 ± 1.33 o |
| Tianyisayewa | 26.76 ± 0.91 fghi | 12.81 ± 1.14 mno | 11.70 ± 0.27 de | 5.05 ± 0.22 ij | 18.92 ± 0.25 defg | 10.78 ± 1.05 no | 35.92 ± 1.09 g | 14.47 ± 0.77 mn |
| Chunxiang | 38.67 ± 0.51 no | 17.29 ± 0.86 p | 16.52 ± 1.40 ij | 4.42 ± 0.13 ghi | 23.58 ± 2.16 ghijkl | 8.46 ± 0.62 jkl | 38.82 ± 0.85 ghi | 13.76 ± 0.30 klm |
| Faxian | 25.49 ± 1.09 efgh | 14.04 ± 0.40 o | 14.21 ± 0.30 fgh | 6.92 ± 0.07 m | 22.22 ± 0.54 fghijkl | 14.26 ± 0.55 p | 27.56 ± 0.80 def | 11.94 ± 0.93 ijk |
| Matsumoto Nishiki | 21.86 ± 0.76 cde | 9.09 ± 0.61 ghijkl | 10.86 ± 0.29 cde | 2.80 ± 0.11 cd | 20.71 ± 0.81 fghi | 6.43 ± 0.22 fgh | 30.96 ± 0.69 f | 10.32 ± 0.11 hi |
| Babusijinuo | 52.03 ± 1.74 pq | 17.40 ± 0.44 p | 35.05 ± 0.59 r | 8.30 ± 0.35 n | 54.31 ± 1.31 op | 14.39 ± 0.39 p | 64.35 ± 1.49 lm | 20.88 ± 0.19 o |
| Xiboliyabaidian | 64.76 ± 1.30 s | 58.11 ± 0.67 s | 38.39 ± 1.71 s | 25.38 ± 0.39 p | 68.74 ± 1.28 q | 27.80 ± 0.46 s | 69.55 ± 3.66 n | 40.04 ± 0.80 q |
| Basimei | 48.60 ± 1.15 p | 23.43 ± 0.77 r | 32.71 ± 0.56 q | 10.46 ± 0.42 o | 49.56 ± 4.28 no | 23.59 ± 1.55 r | 61.83 ± 1.13 l | 27.28 ± 0.61 p |
| Honglu | 57.73 ± 0.55 r | 16.52 ± 0.68 p | 36.24 ± 1.12 rs | 7.41 ± 0.11 m | 55.81 ± 4.88 p | 12.04 ± 0.63 o | 67.92 ± 1.25 mn | 16.15 ± 0.72 n |
| Nuoda | 35.08 ± 0.88 mn | 12.07 ± 0.70 mn | 24.37 ± 0.48 mn | 4.99 ± 0.11 hij | 31.58 ± 2.77 m | 7.98 ± 0.25 hijk | 53.16 ± 0.89 k | 14.42 ± 0.52 mn |
| Bolan No.8 | 31.05 ± 1.34 jkl | 14.32 ± 0.77 o | 12.53 ± 0.07 efg | 3.36 ± 0.07 de | 19.02 ± 0.53 defg | 7.30 ± 0.29 hij | 43.92 ± 0.86 j | 21.72 ± 0.56 o |
| Southern Snap | 24.55 ± 0.68 efg | 8.11 ± 0.84 efghij | 12.44 ± 0.11 ef | 3.51 ± 0.14 ef | 20.08 ± 0.61 efgh | 6.38 ± 0.17 fgh | 41.74 ± 0.83 hij | 12.76 ± 0.03 jklm |
| Qianqiu | 15.60 ± 0.84 ab | 5.30 ± 0.08 bc | 5.42 ± 0.53 a | 0.60 ± 0.04 a | 12.49 ± 0.10 bc | 1.86 ± 0.25 a | 18.53 ± 0.45 b | 3.28 ± 0.21 a |
| Gala | 24.00 ± 0.70 ef | 8.67 ± 0.17 fghijk | 15.23 ± 0.17 hij | 4.35 ± 0.08 gh | 22.72 ± 0.04 fghijkl | 6.88 ± 0.50 ghij | 25.88 ± 1.66 de | 7.35 ± 0.08 def |
| Hermhut | 24.27 ± 0.45 efg | 12.78 ± 0.31 mno | 10.01 ± 0.37 cd | 2.75 ± 0.12 cd | 14.12 ± 0.84 bcd | 5.59 ± 0.38 efg | 40.68 ± 2.66 ghij | 14.46 ± 0.24 mn |
| Ximengfei | 22.23 ± 1.29 cde | 9.14 ± 0.19 hijkl | 6.78 ± 0.15 ab | 3.38 ± 0.29 de | 12.35 ± 0.44 bc | 5.66 ± 0.16 efg | 38.27 ± 1.74 gh | 12.95 ± 1.91 jklm |
| Sakata Tsugaru | 20.19 ± 0.28 cd | 6.15 ± 0.16 cd | 7.22 ± 0.09 ab | 2.94 ± 0.04 cde | 14.07 ± 0.22 bcd | 4.75 ± 0.11 cde | 20.50 ± 0.58 bc | 5.50 ± 0.33 bcd |
| Yingqiu | 23.39 ± 0.47 def | 10.07 ± 0.13 kl | 10.42 ± 0.10 cde | 5.09 ± 0.02 jk | 14.37 ± 0.55 bcd | 6.61 ± 0.16 fghi | 25.83 ± 0.75 de | 9.76 ± 0.27 gh |
| Mantanghong | 35.46 ± 1.10 mn | 8.28 ± 0.38 efghijk | 14.65 ± 0.53 ghi | 4.34 ± 0.15 gh | 25.31 ± 2.32 ijkl | 7.98 ± 0.48 hijk | 27.17 ± 0.55 def | 12.39 ± 0.11 jkl |
| Qiuying | 29.73 ± 0.51 ijk | 7.40 ± 0.12 defgh | 11.38 ± 0.27 de | 4.14 ± 0.07 fg | 15.55 ± 0.43 cde | 5.20 ± 0.21 def | 27.72 ± 0.95 def | 7.29 ± 0.15 cdef |
| Red Fuji | 22.32 ± 1.36 cde | 7.26 ± 0.19 defg | 14.63 ± 4.28 fghi | 2.54 ± 0.14 c | 21.48 ± 1.36 fghij | 5.31 ± 0.39 defg | 29.07 ± 1.71 def | 6.84 ± 0.09 cdef |
| Gold Delicious | 12.97 ± 0.26 a | 5.14 ± 0.02 bc | / | 1.37 ± 0.03 b | 10.13 ± 0.17 ab | 3.57 ± 0.24 bc | 11.80 ± 0.52 a | 3.69 ± 0.25 ab |
| Jonagold | 29.53 ± 1.27 ijk | 13.93 ± 0.46 no | 23.33 ± 0.66 m | 5.12 ± 0.21 jk | 22.73 ± 2.03 fghijkl | 6.84 ± 0.25 ghi | 28.26 ± 1.05 def | 8.57 ± 0.52 fgh |
| Jingxiang | 41.62 ± 1.17 o | 13.67 ± 0.29 no | 19.20 ± 0.45 kl | 5.73 ± 0.13 kl | 21.87 ± 1.01 fghijk | 8.21 ± 0.43 ijk | 39.34 ± 1.89 ghij | 13.69 ± 0.28 jklm |
| Xinshijie | 25.38 ± 0.58 efgh | 2.39 ± 0.05 a | 6.40 ± 0.11 a | 0.61 ± 0.00 a | 20.70 ± 0.27 fghi | 2.59 ± 0.09 ab | 20.78 ± 0.46 bc | 7.54 ± 0.35 ef |
| Danguang | 33.85 ± 0.43 lm | 10.96 ± 0.78 lm | 17.40 ± 0.47 jk | 5.85 ± 0.29 l | 24.39 ± 0.55 hijkl | 9.15 ± 0.30 klm | 30.95 ± 1.02 f | 4.20 ± 0.24 lmn |
| Dounan | 33.96 ± 1.45 lm | 9.60 ± 0.05 jkl | 11.78 ± 0.06 de | 2.77 ± 0.09 cd | 26.86 ± 0.64 klm | 6.86 ± 0.08 ghij | 28.90 ± 0.22 def | 11.84 ± 0.26 ijk |
| Huahong | 27.85 ± 1.10 ghij | 9.17 ± 0.21 hijkl | 10.12 ± 0.43 cd | 3.47 ± 0.08 e | 21.60 ± 1.33 fghij | 8.19 ± 0.39 ijk | 24.60 ± 0.39 cd | 6.51 ± 0.48 cde |
| Yuehong | 28.01 ± 1.06 ghij | 6.99 ± 0.30 cdef | 14.40 ± 0.45 fghi | 3.48 ± 0.12 e | 26.22 ± 0.99 jkl | 9.03 ± 0.50 klm | 27.31 ± 1.15 def | 8.07 ± 0.04 efg |
| New Jonagold | 26.59 ± 0.29 fghi | 8.34 ± 0.05 efghijk | 15.97 ± 0.26 hij | 3.59 ± 0.28 ef | 21.82 ± 1.05 fghij | 8.18 ± 0.04 ijk | 29.99 ± 0.85 ef | 8.52 ± 0.61 fgh |
| Rizhiwan | 39.64 ± 0.96 o | 9.30 ± 0.19 ijkl | 26.86 ± 0.81 op | 4.95 ± 0.10 hij | 24.84 ± 1.78 hijkl | 9.89 ± 0.42 lmn | 36.76 ± 1.74 g | 14.26 ± 0.42 lmn |
| Hanfu | 19.12 ± 0.16 bc | 3.52 ± 0.05 ab | 12.53 ± 0.30 efg | 3.21 ± 0.09 de | 14.47 ± 0.44 bcd | 3.95 ± 0.04 bcd | 26.83 ± 0.46 def | 5.39 ± 0.28 bc |
| Huaguan | 32.58 ± 0.65 klm | 6.63 ± 0.19 cde | 26.26 ± 0.59 no | 4.29 ± 0.12 g | 22.56 ± 0.55 a | 6.62 ± 0.41 fghi | 36.41 ± 3.45 g | 11.78 ± 0.39 ij |
| Bioactive Capacities | Total Phenolics | DPPH | FRAP | Total Procyanidins |
|---|---|---|---|---|
| Total phenolics | 1 | |||
| DPPH | 0.918 ** | 1 | ||
| FRAP | 0.906 ** | 0.914 ** | 1 | |
| Total procyanidins | 0.919 ** | 0.934 ** | 0.914 ** | 1 |
| Peak No. | RT (min) | λmax (nm) | HRMS/[M−H]− | Tentative Identification |
|---|---|---|---|---|
| 1 | 5.95 | 279.3, 516.1 | / | Cyanidin-3-galactoside (Std) |
| 2 | 9.22 | 279.3 | / | Procyanidin B1 (Std) |
| 3 | 11.03 | 217.8, 325.8 | 353.0783 | Chlorogenic acid (Std) |
| 4 | 13.0 | 278.2 | / | Epicatechin (Std) |
| 5 | 14.28 | 279.3 | / | Procyanidin B2 (Std) |
| 6 | 24.84 | 226.1, 309.1 | 337.0930 | p-Coumaroylquinic acid |
| 7 | 28.87 | 255.6, 354.0 | 609.5102 | Quercetin-3-rutinoside (Std) |
| 8 | 31.13 | 255.6, 354.1 | 463.2521 | Quercetin-3-glucoside (Std) |
| 9 | 31.78 | 255.6, 352.8 | 463.8649 | Quercetin-3-galactoside (Std) |
| 10 | 36.08 | 222.5, 284.1 | / | Phloridzin (Std) |
| 11 | 37.49 | 255.6, 354.0 | 433.0776 | Quercetin-3-arabinoside (Std) |
| Part | Assay | Cyanidin-3-galactoside | Chlorogenic acid | Proanthocyanidin B1 | Proanthocyanidin B2 | Epicatechin | Quercetin-3-rutinoside | Quercetin-3-galactoside | Quercetin-3-glucoside | Phlorizin | Quercetin-3-arabinoside | p-Coumaroylquinic Acid |
|---|---|---|---|---|---|---|---|---|---|---|---|---|
| Peel | DPPH | −0.058 | 0.384 * | 0.524 ** | 0.840 ** | 0.781 ** | −0.054 | 0.119 | 0.422 * | 0.387 * | 0.515 ** | 0.729 ** |
| FRAP | 0.116 | 0.466 ** | 0.608 ** | 0.784 ** | 0.784 ** | −0.02 | 0.105 | 0.558 ** | 0.439 ** | 0.534 ** | 0.664 ** | |
| Pulp | DPPH | / | 0.485 ** | 0.036 | 0.202 | 0.837 ** | / | / | / | 0.221 | / | 0.707 ** |
| FRAP | / | 0.482 ** | 0.117 | −0.012 | 0.773 ** | / | / | / | 0.409 * | / | 0.810 ** |
| Bioactive Capacities | Part | Cyanidin-3-galactoside | Procyanidin B1 | Chlorogenic Acid | Epicatechin | Procyanidin B2 | p-Coumaroylquinic Acid | Quercetin-3-rutinoside | Quercetin-3-galactoside | Quercetin-3-glucoside | Quercetin-3-arabinoside | Phloridzin |
|---|---|---|---|---|---|---|---|---|---|---|---|---|
| Inhibition rate # | peel | 0.106 | 0.321 | 0.274 | 0.643 ** | 0.655 ** | 0.016 | 0.184 | 0.106 | −0.055 | −0.041 | / |
| pulp | / | 0.438 ** | 0.421 * | 0.536 ** | 0.417 * | −0.004 | / | / | / | / | 0.128 |
© 2020 by the authors. Licensee MDPI, Basel, Switzerland. This article is an open access article distributed under the terms and conditions of the Creative Commons Attribution (CC BY) license (http://creativecommons.org/licenses/by/4.0/).
Share and Cite
Liang, X.; Zhu, T.; Yang, S.; Li, X.; Song, B.; Wang, Y.; Lin, Q.; Cao, J. Analysis of Phenolic Components and Related Biological Activities of 35 Apple (Malus pumila Mill.) Cultivars. Molecules 2020, 25, 4153. https://doi.org/10.3390/molecules25184153
Liang X, Zhu T, Yang S, Li X, Song B, Wang Y, Lin Q, Cao J. Analysis of Phenolic Components and Related Biological Activities of 35 Apple (Malus pumila Mill.) Cultivars. Molecules. 2020; 25(18):4153. https://doi.org/10.3390/molecules25184153
Chicago/Turabian StyleLiang, Xiao, Tailin Zhu, Sijia Yang, Xin Li, Bo Song, Yue Wang, Qiong Lin, and Jinping Cao. 2020. "Analysis of Phenolic Components and Related Biological Activities of 35 Apple (Malus pumila Mill.) Cultivars" Molecules 25, no. 18: 4153. https://doi.org/10.3390/molecules25184153
APA StyleLiang, X., Zhu, T., Yang, S., Li, X., Song, B., Wang, Y., Lin, Q., & Cao, J. (2020). Analysis of Phenolic Components and Related Biological Activities of 35 Apple (Malus pumila Mill.) Cultivars. Molecules, 25(18), 4153. https://doi.org/10.3390/molecules25184153

