Qualitative and Quantitative Study of Glycosphingolipids in Human Milk and Bovine Milk Using High Performance Liquid Chromatography–Data-Dependent Acquisition–Mass Spectrometry
Abstract
1. Introduction
2. Results
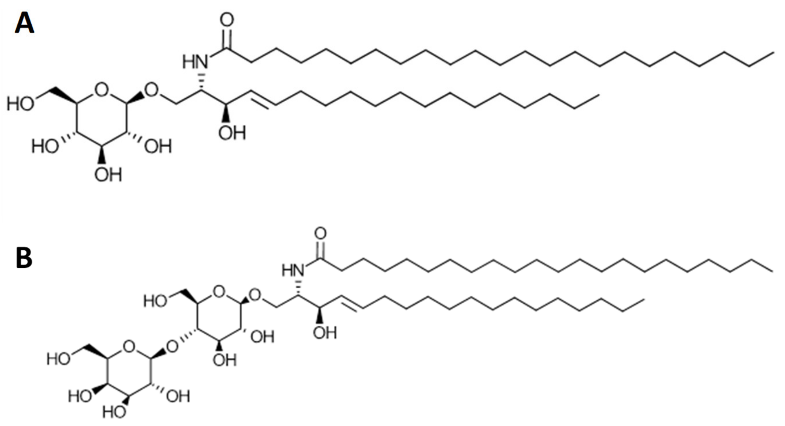
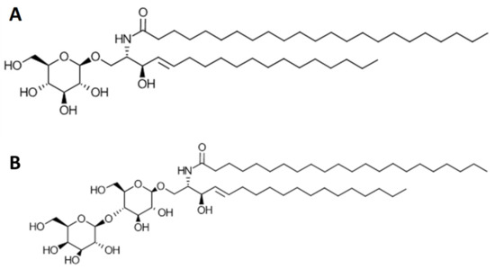
2.1. Characterization of Crbs and LacCer
2.1.1. Commercial Standards
2.1.2. Human Milk, Bovine Milk and MFGM Lipid 100
2.2. Impact of GSL Composition on MS Ionization
2.3. Quantification of Crbs and LacCer
2.3.1. Validation
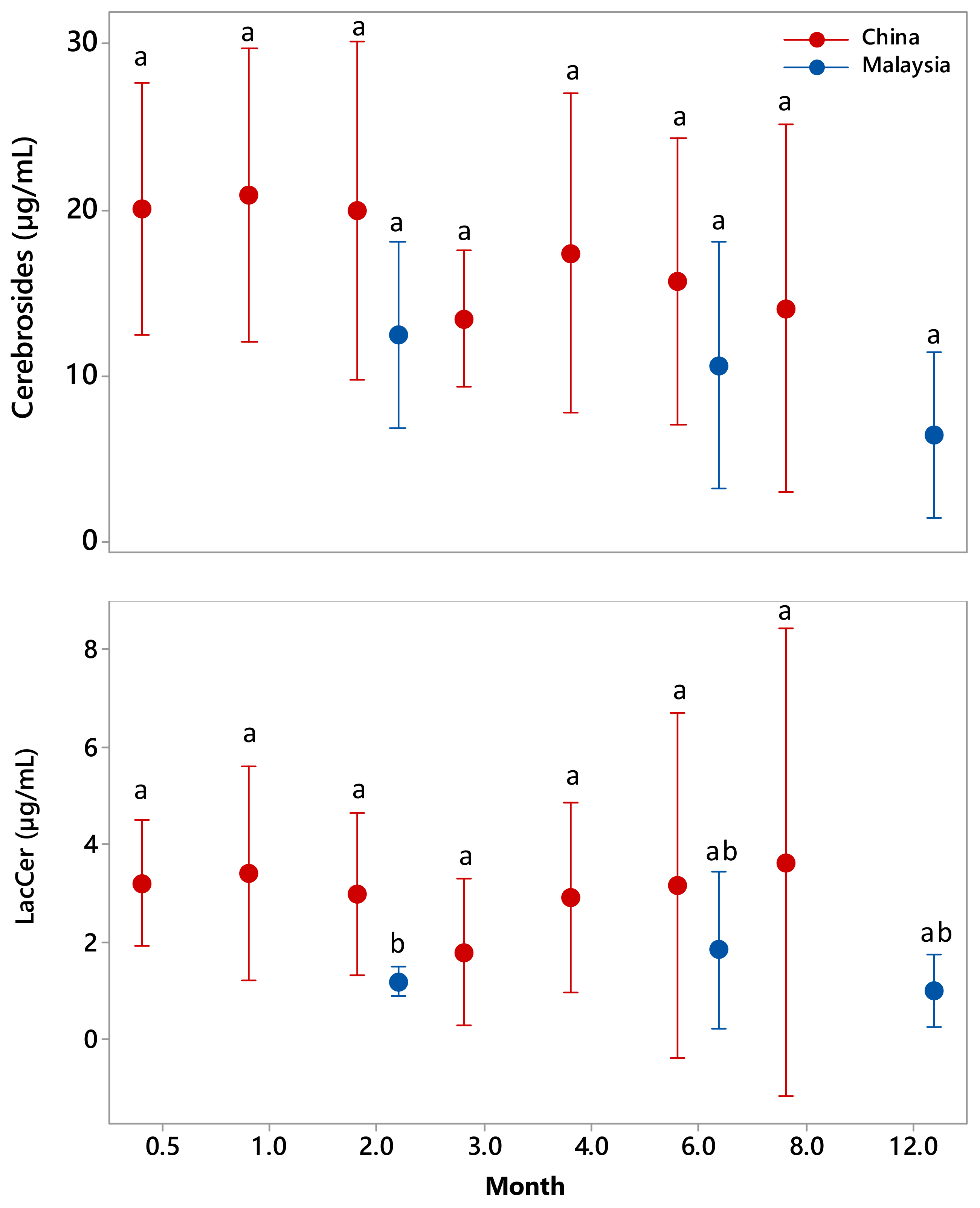
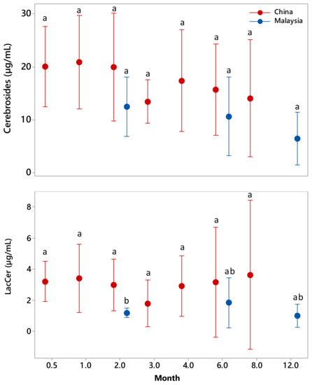
2.3.2. Crb And Laccer Concentrations in Dairy Samples and Human Milk at Different Time Points During Lactation
2.3.3. Lactational Changes in Crb and LacCer
3. Discussion
3.1. Characterization of GSLs
3.1.1. LCB and Fatty Acid Moieties in the Purified Standards
3.1.2. LCB and Fatty Acid Moieties in Human Milk, Bovine Milk and MFGM Lipid 100
3.2. Quantification of GSLs Using LC-MS
4. Materials and Methods
4.1. Standards and Chemicals
4.2. Samples and Lipid Extraction
4.3. HPLC-MS Characterization of GSLs
4.4. HPLC-MS Quantification of GSLs
4.5. Validation–LOD, LOQ, Recovery and Reproducibility
4.6. Impact of Polar Head Group and Fatty Acid Composition of GSL on MS Response
4.7. Statistical Analysis
5. Conclusions
Supplementary Materials
Author Contributions
Funding
Acknowledgments
Conflicts of Interest
References
- Fahy, E.; Subramaniam, S.; Brown, H.A.; Glass, C.K.; Merrill, A.H., Jr.; Murphy, R.C.; Raetz, C.R.H.; Russell, D.W.; Seyama, Y.; Shaw, W.; et al. A comprehensive classification system for lipids. Eur. J. Lipid Sci. Technol. 2005, 107, 337–364. [Google Scholar] [CrossRef]
- Farwanah, H.; Wirtz, J.; Kolter, T.; Raith, K.; Neubert, R.H.H.; Sandhoff, K. Normal phase liquid chromatography coupled to quadrupole time of flight atmospheric pressure chemical ionization mass spectrometry for separation, detection and mass spectrometric profiling of neutral sphingolipids and cholesterol. J. Chromatogr. B 2009, 877, 2976–2982. [Google Scholar] [CrossRef] [PubMed]
- Yano, M.; Kishida, E.; Muneyuki, Y.; Masuzawa, Y. Quantitative analysis of ceramide molecular species by high performance liquid chromatography. J. Lipid Res. 1998, 39, 2091–2098. [Google Scholar] [PubMed]
- Farwanah, H.; Kolter, T.; Sandhoff, K. Mass spectrometric analysis of neutral sphingolipids: Methods, applications, and limitations. Biochim. Et Biophys. Acta (BBA)-Mol. Cell Biol. Lipids 2011, 1811, 854–860. [Google Scholar] [CrossRef] [PubMed]
- Merrill, A.H., Jr.; Sullards, M.C.; Allegood, J.C.; Kelly, S.; Wang, E. Sphingolipidomics: High-throughput, structure-specific, and quantitative analysis of sphingolipids by liquid chromatography tandem mass spectrometry. Methods 2005, 36, 207–224. [Google Scholar] [CrossRef] [PubMed]
- Santinha, D.; Ferreira-Fernandes, E.; Melo, T.; Silva, E.M.P.; Maciel, E.; Fardilha, M.; Domingues, P.; Domingues, M.R.M. Evaluation of the photooxidation of galactosyl- and lactosylceramide by electrospray ionization mass spectrometry. Rapid Commun. Mass Spectrom. 2014, 28, 2275–2284. [Google Scholar] [CrossRef]
- Zancada, L.; Sánchez-Juanes, F.; Alonso, J.M.; Hueso, P. Neutral glycosphingolipid content of ovine milk. J. Dairy Sci. 2010, 93, 19–26. [Google Scholar] [CrossRef]
- Ishibashi, Y.; Kohyama-Koganeya, A.; Hirabayashi, Y. New insights on glucosylated lipids: Metabolism and functions. Biochim. Et Biophys. Acta (BBA)-Mol. Cell Biol. Lipids 2013, 1831, 1475–1485. [Google Scholar] [CrossRef]
- Newburg, D.S.; Neubauer, S.H. Carbohydrates in Milks: Analysis, Quantities, and Significance. In Handbook of Milk Composition; Jensen, R.G., Ed.; Academic Press: San Diego, CA, USA, 1995; pp. 273–349. [Google Scholar] [CrossRef]
- Ma, L.; MacGibbon, A.K.H.; Jan Mohamed, H.J.B.; Loy, S.; Rowan, A.; McJarrow, P.; Fong, B.Y. Determination of ganglioside concentrations in breast milk and serum from Malaysian mothers using a high performance liquid chromatography-mass spectrometry-multiple reaction monitoring method. Int. Dairy J. 2015, 49, 62–71. [Google Scholar] [CrossRef]
- Ma, L.; Liu, X.; MacGibbon, A.H.; Rowan, A.; McJarrow, P.; Fong, B. Lactational changes in concentration and distribution of ganglioside molecular species in human breast milk from Chinese mothers. Lipids 2015, 50, 1145–1154. [Google Scholar] [CrossRef]
- Mencarelli, C.; Martinez–Martinez, P. Ceramide function in the brain: When a slight tilt is enough. Cell. Mol. Life Sci. 2013, 70, 181–203. [Google Scholar] [CrossRef] [PubMed]
- Kirsch, S.; Zarei, M.; Cindrić, M.; Müthing, J.; Bindila, L.; Peter-Katalinić, J. On-Line Nano-HPLC/ESI QTOF MS and Tandem MS for Separation, Detection, and Structural Elucidation of Human Erythrocytes Neutral Glycosphingolipid Mixture. Anal. Chem. 2008, 80, 4711–4722. [Google Scholar] [CrossRef]
- Schweppe, C.H.; Hoffmann, P.; Nofer, J.-R.; Pohlentz, G.; Mormann, M.; Karch, H.; Friedrich, A.W.; Müthing, J. Neutral glycosphingolipids in human blood: A precise mass spectrometry analysis with special reference to lipoprotein-associated Shiga toxin receptors. J. Lipid Res. 2010, 51, 2282–2294. [Google Scholar] [CrossRef] [PubMed]
- Karlsson, A.A.; Arnoldsson, K.C.; Westerdahl, G.; Odham, G. Common molecular species of glucosyl ceramides, lactosyl ceramides and sphingomyelins in bovine milk determined by high performance liquid chromatography mass spectrometry. Milchwiss.-Milk Sci. Int. 1997, 52, 554–559. [Google Scholar]
- Rodríguez-Alcalá, L.M.; Fontecha, J. Major lipid classes separation of buttermilk, and cows, goats and ewes milk by high performance liquid chromatography with an evaporative light scattering detector focused on the phospholipid fraction. J. Chromatogr. A 2010, 1217, 3063–3066. [Google Scholar] [CrossRef] [PubMed]
- Kayser, S.G.T.; Stuart, P. The function of very long chain fatty acids in membrane structure: Evidence from milk cerebrosides. Biochem. Biophys. Res. Commun. 1970, 41, 1572–1578. [Google Scholar] [CrossRef]
- Newburg, D.; Chaturvedi, P. Neutral glycolipids of human and bovine milk. Lipids 1992, 27, 923–927. [Google Scholar] [CrossRef]
- Bouhours, J.-F.; Bouhours, D. Galactosylceramide in the major cerebroside of human milk fat globule membrane. Biochem. Biophys. Res. Commun. 1979, 88, 1217–1222. [Google Scholar] [CrossRef]
- Christie, W.W. Fatty Acids: Hydroxy and Other Oxygenated. Available online: https://www.lipidhome.co.uk/lipids/fa-eic/fa-oxy/index.htm (accessed on 27 March 2020).
- Morrison, W.R.; Hay, J.D. Polar lipids in bovine milk II. Long-chain bases, normal and 2-hydroxy fatty acids, and isomeric cis and trans monoenoic fatty acids in the sphingolipids. Biochim. Et Biophys. Acta (BBA) -Lipids Lipid Metab. 1970, 202, 460–467. [Google Scholar] [CrossRef]
- Blaas, N.; Schuurmann, C.; Bartke, N.; Stahl, B.; Humpf, H.-U. Structural Profiling and Quantification of Sphingomyelin in Human Breast Milk by HPLC-MS/MS. J. Agric. Food Chem. 2011, 59, 6018–6024. [Google Scholar] [CrossRef]
- Bourlieu, C.; Cheillan, D.; Blot, M.; Daira, P.; Trauchessec, M.; Ruet, S.; Gassi, J.-Y.; Beaucher, E.; Robert, B.; Leconte, N.; et al. Polar lipid composition of bioactive dairy co-products buttermilk and butterserum: Emphasis on sphingolipid and ceramide isoforms. Food Chem. 2018, 240, 67–74. [Google Scholar] [CrossRef] [PubMed]
- Tokuda, N.; Numata, S.; Li, X.; Nomura, T.; Takizawa, M.; Kondo, Y.; Yamashita, Y.; Hashimoto, N.; Kiyono, T.; Urano, T.; et al. β4GalT6 is involved in the synthesis of lactosylceramide with less intensity than β4GalT5. Glycobiology 2013, 23, 1175–1183. [Google Scholar] [CrossRef] [PubMed]
- SL, L.; Jan JM, H. The Universiti Sains Malaysia pregnancy cohort study: Maternal-infant adiposity development until the first year of life. Health Environ. J. 2014, 5, 50–64. [Google Scholar]
- Fong, B.; Ma, L.; Norris, C. Analysis of Phospholipids in Infant Formulas Using High Performance Liquid Chromatography-Tandem Mass Spectrometry. J. Agric. Food Chem. 2013, 61, 858–865. [Google Scholar] [CrossRef]
- Liu, Z.; Moate, P.; Cocks, B.; Rochfort, S. Comprehensive polar lipid identification and quantification in milk by liquid chromatography–mass spectrometry. J. Chromatogr. B 2015, 978–979, 95–102. [Google Scholar] [CrossRef] [PubMed]
- van Wezel-Meijler, G.; van der Knaap, M.; Huisman, J.; Jonkman, E.; Valk, J.; Lafeber, H. Dietary supplementation of long-chain polyunsaturated fatty acids in preterm infants: Effects on cerebral maturation. Acta Paediatr. 2002, 91, 942–950. [Google Scholar] [CrossRef] [PubMed]
- Klevebro, S.; Juul, S.E.; Wood, T.R. A More Comprehensive Approach to the Neuroprotective Potential of Long-Chain Polyunsaturated Fatty Acids in Preterm Infants Is Needed—Should We Consider Maternal Diet and the n-6:n-3 Fatty Acid Ratio? Front. Pediatrics 2020, 7, 533. [Google Scholar] [CrossRef]








| LCB | Cerebrosides (Crbs) | Lactosylceramide (LacCer) | ||||||
|---|---|---|---|---|---|---|---|---|
| Standard | Human Milk | Bovine Milk | MFGM Lipid 100 | Standard | Human Milk | Bovine Milk | MFGM Lipid 100 | |
| 15:0 | 0% | 0% | 4% | 5% | 0% | 0% | 3% | 0% |
| 15:1 | 0% | 2% | 0% | 1% | 0% | 0% | 3% | 0% |
| 16:0 | 11% | 2% | 3% | 4% | 18% | 5% | 13% | 15% |
| 16:1 | 7% | 10% | 23% | 21% | 18% | 5% | 13% | 15% |
| 17:0 | 7% | 14% | 6% | 8% | 0% | 11% | 11% | 3% |
| 17:1 | 0% | 6% | 13% | 14% | 6% | 0% | 11% | 13% |
| 18:0 | 18% | 4% | 1% | 0% | 24% | 0% | 8% | 3% |
| 18:1 | 36% | 54% | 39% | 31% | 35% | 47% | 29% | 36% |
| 18:2 | 0% | 6% | 0% | 0% | 0% | 5% | 0% | 0% |
| 19:0 | 7% | 0% | 0% | 0% | 0% | 0% | 0% | 0% |
| 19:1 | 7% | 2% | 6% | 12% | 0% | 21% | 5% | 5% |
| 20:0 | 4% | 0% | 0% | 0% | 0% | 0% | 0% | 0% |
| 20:1 | 4% | 0% | 1% | 2% | 0% | 0% | 3% | 5% |
| 21:4 | 0% | 0% | 0% | 0% | 0% | 5% | 3% | 3% |
| 22:1 | 0% | 0% | 0% | 1% | 0% | 0% | 0% | 0% |
| 22:2 | 0% | 0% | 0% | 0% | 0% | 0% | 0% | 3% |
| 23:1 | 0% | 0% | 4% | 0% | 0% | 0% | 0% | 0% |
| 24:1 | 0% | 0% | 0% | 2% | 0% | 0% | 0% | 0% |
| Saturated | 46% | 20% | 14% | 17% | 41% | 16% | 34% | 21% |
| Monounsaturated | 54% | 74% | 86% | 83% | 59% | 74% | 63% | 74% |
| Polyunsaturated | 0% | 6% | 0% | 0% | 0% | 11% | 3% | 5% |
| Fatty Amide | Cerebrosides (Crbs) | Lactosylceramide (LacCer) | ||||||
|---|---|---|---|---|---|---|---|---|
| Standard | Human Milk | Bovine Milk | MFGM Lipid 100 | Standard | Human Milk | Bovine Milk | MFGM Lipid 100 | |
| 13:2 | 0% | 0% | 0% | 1% | 0% | 0% | 0% | 0% |
| 14:0 | 0% | 2% | 1% | 0% | 0% | 0% | 0% | 0% |
| 14:2 | 0% | 0% | 0% | 1% | 0% | 0% | 0% | 0% |
| 15:0 | 0% | 0% | 0% | 0% | 0% | 0% | 0% | 0% |
| 15:1 | 0% | 0% | 1% | 1% | 0% | 0% | 0% | 0% |
| 15:2 | 0% | 2% | 1% | 3% | 0% | 0% | 0% | 0% |
| 16:0 | 4% | 2% | 7% | 5% | 12% | 5% | 5% | 5% |
| 16:1 | 4% | 4% | 3% | 2% | 0% | 0% | 0% | 0% |
| 16:2 | 0% | 2% | 1% | 1% | 0% | 0% | 0% | 0% |
| 16:3 | 0% | 2% | 1% | 3% | 0% | 0% | 0% | 0% |
| 16:0–OH | 0% | 2% | 3% | 3% | 0% | 0% | 0% | 0% |
| 17:0 | 4% | 2% | 3% | 1% | 0% | 5% | 3% | 3% |
| 17:1 | 0% | 2% | 4% | 3% | 0% | 0% | 0% | 0% |
| 17:2 | 0% | 6% | 1% | 3% | 0% | 0% | 0% | 0% |
| 17:3 | 0% | 4% | 0% | 0% | 0% | 0% | 0% | 0% |
| 18:0 | 4% | 6% | 4% | 4% | 0% | 11% | 5% | 8% |
| 18:1 | 0% | 4% | 4% | 4% | 0% | 0% | 0% | 0% |
| 18:3 | 0% | 0% | 0% | 1% | 0% | 0% | 0% | 0% |
| 18:0–OH | 0% | 2% | 6% | 5% | 0% | 0% | 0% | 0% |
| 19:0 | 0% | 0% | 0% | 1% | 0% | 5% | 0% | 0% |
| 19:1 | 0% | 0% | 4% | 2% | 0% | 5% | 0% | 0% |
| 19:2 | 0% | 2% | 0% | 1% | 0% | 0% | 0% | 0% |
| 20:0 | 0% | 2% | 0% | 2% | 0% | 11% | 3% | 3% |
| 20:1 | 0% | 2% | 0% | 0% | 0% | 0% | 0% | 0% |
| 20:2 | 0% | 0% | 1% | 1% | 0% | 0% | 3% | 3% |
| 19:1 | 0% | 0% | 0% | 0% | 0% | 0% | 0% | 3% |
| 21:0 | 4% | 2% | 1% | 1% | 0% | 0% | 3% | 8% |
| 21:2 | 0% | 2% | 4% | 4% | 0% | 0% | 5% | 0% |
| 22:0 | 14% | 2% | 3% | 3% | 24% | 16% | 18% | 13% |
| 22:1 | 4% | 4% | 3% | 4% | 0% | 0% | 0% | 0% |
| 22:2 | 0% | 0% | 6% | 4% | 0% | 0% | 8% | 10% |
| 22:4 | 0% | 0% | 0% | 1% | 0% | 0% | 0% | 3% |
| 22:0–OH | 0% | 4% | 4% | 3% | 0% | 0% | 0% | 0% |
| 22:1–OH | 0% | 0% | 0% | 0% | 0% | 0% | 0% | 3% |
| 23:0 | 32% | 2% | 7% | 4% | 29% | 5% | 11% | 8% |
| 23:1 | 4% | 2% | 3% | 4% | 0% | 0% | 8% | 0% |
| 23:2 | 0% | 6% | 4% | 3% | 0% | 5% | 5% | 8% |
| 23:3 | 0% | 2% | 0% | 0% | 0% | 11% | 3% | 0% |
| 23:0–OH | 0% | 2% | 3% | 4% | 0% | 0% | 0% | 0% |
| 24:0 | 18% | 6% | 4% | 4% | 24% | 11% | 16% | 13% |
| 24:1 | 4% | 4% | 3% | 3% | 6% | 0% | 3% | 0% |
| 24:2 | 0% | 0% | 0% | 1% | 0% | 0% | 0% | 0% |
| 24:4 | 0% | 2% | 0% | 0% | 0% | 0% | 0% | 0% |
| 24:0–OH | 0% | 2% | 4% | 3% | 0% | 0% | 0% | 0% |
| 25:0 | 7% | 2% | 0% | 3% | 6% | 5% | 3% | 3% |
| 25:1 | 0% | 0% | 0% | 1% | 0% | 0% | 0% | 3% |
| 25:2 | 0% | 2% | 1% | 1% | 0% | 0% | 0% | 0% |
| 25:0–OH | 0% | 4% | 0% | 0% | 0% | 0% | 0% | 0% |
| 26:0 | 0% | 2% | 0% | 2% | 0% | 0% | 0% | 3% |
| 26:1 | 0% | 0% | 0% | 2% | 0% | 0% | 0% | 0% |
| 26:2 | 0% | 0% | 0% | 0% | 0% | 0% | 0% | 3% |
| 26:5 | 0% | 0% | 0% | 0% | 0% | 5% | 0% | 3% |
| Saturated | 86% | 30% | 31% | 29% | 94% | 74% | 66% | 59% |
| Monounsaturated | 14% | 22% | 26% | 25% | 6% | 5% | 11% | 3% |
| Polyunsaturated | 0% | 32% | 23% | 28% | 0% | 21% | 24% | 36% |
| Saturated–OH | 0% | 16% | 20% | 17% | 0% | 0% | 0% | 0% |
| Unsaturated–OH | 0% | 0% | 0% | 0% | 0% | 0% | 0% | 3% |
| GluCer | LacCer | ||||
|---|---|---|---|---|---|
| Spiking concentrations | 10 µg/mL | 20 µg/mL | 5 µg/mL | 10 µg/mL | 20 µg/mL |
| Human milk (n = 6) | 96 ± 3.5% | 106 ± 9.2% | 109 ± 22.5% | 115 ± 13.6% | |
| Bovine milk (n = 6) | 111 ± 5.1% | 101 ± 3.5% | 96 ± 20.2% | 95 ± 12.5% | |
| MFGM Lipid 100 (n = 6) | 99 ± 7.5% | 108 ± 10.0% | 97 ± 10.4% | 103 ± 12.5% | |
| Crbs (µg/mL) | LacCer (µg/mL) | |
|---|---|---|
| Human milk (Chinese cohort) * | 17.4 ± 7.0 a | 3.0 ± 2.0 a |
| Human milk (Malaysian cohort) * | 9.9 ± 5.2 b, c | 1.3 ± 0.9 b |
| Human milk (n = 6) | 9.10 ± 0.61 (6.7%) b, c | 1.35 ± 0.25 (18.7%) b |
| Bovine milk 1 (n = 6) | 11.99 ± 0.52 (4.3%) b, d | 14.74 ± 1.12 (7.6%) c |
| Bovine milk 2 (n = 6) | 11.61 ± 0.17 (1.5%) b, d | 16.16 ± 2.70 (16.7%) c |
| Bovine milk 3 (n = 6) | 9.76 ± 0.48 (5.0%) b, c | 14.25 ± 1.73 (12.2%) c |
| MFGM Lipid 100 (n = 6) # | 447.9± 55.7 (12.4%) | 1036.4 ± 115.4 (11.1%) |
© 2020 by the authors. Licensee MDPI, Basel, Switzerland. This article is an open access article distributed under the terms and conditions of the Creative Commons Attribution (CC BY) license (http://creativecommons.org/licenses/by/4.0/).
Share and Cite
Ma, L.; Fong, B.Y.; MacGibbon, A.K.H.; Norris, G. Qualitative and Quantitative Study of Glycosphingolipids in Human Milk and Bovine Milk Using High Performance Liquid Chromatography–Data-Dependent Acquisition–Mass Spectrometry. Molecules 2020, 25, 4024. https://doi.org/10.3390/molecules25174024
Ma L, Fong BY, MacGibbon AKH, Norris G. Qualitative and Quantitative Study of Glycosphingolipids in Human Milk and Bovine Milk Using High Performance Liquid Chromatography–Data-Dependent Acquisition–Mass Spectrometry. Molecules. 2020; 25(17):4024. https://doi.org/10.3390/molecules25174024
Chicago/Turabian StyleMa, Lin, Bertram Y. Fong, Alastair K. H. MacGibbon, and Gillian Norris. 2020. "Qualitative and Quantitative Study of Glycosphingolipids in Human Milk and Bovine Milk Using High Performance Liquid Chromatography–Data-Dependent Acquisition–Mass Spectrometry" Molecules 25, no. 17: 4024. https://doi.org/10.3390/molecules25174024
APA StyleMa, L., Fong, B. Y., MacGibbon, A. K. H., & Norris, G. (2020). Qualitative and Quantitative Study of Glycosphingolipids in Human Milk and Bovine Milk Using High Performance Liquid Chromatography–Data-Dependent Acquisition–Mass Spectrometry. Molecules, 25(17), 4024. https://doi.org/10.3390/molecules25174024

