Napthrene Compounds from Mycelial Fermentation Products of Marasmius berteroi
Abstract
1. Introduction
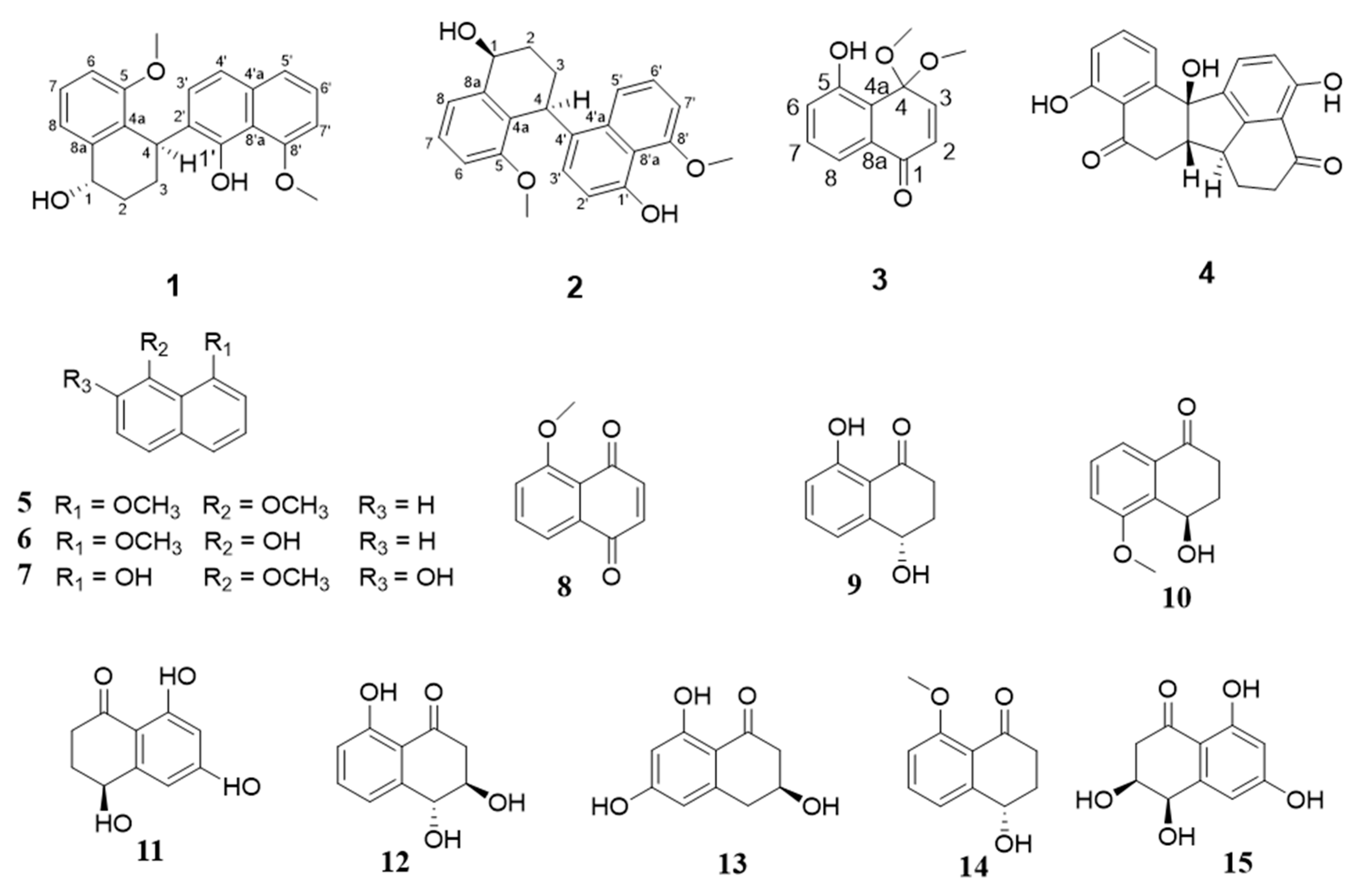
2. Results and Discussion
3. Materials and Methods
3.1. General Information
3.2. Fungal Material
3.3. Fermentation, Extraction and Isolation
3.3.1. Dipolynaphthalene A (1)
3.3.2. Dipolynaphthalene B (2)
3.3.3. Naphthone C (3)
3.4. Bioassay of AChE Inhibitory Activity and Cytotoxic Activity
4. Conclusions
Supplementary Materials
Author Contributions
Funding
Acknowledgments
Conflicts of Interest
References
- Liu, R.X.; Chang, P.; Jiang, Z.F. Research Progress of Bioactive Polysaccharides in Neuroprotection and in the Prevention and Treatment of Alzheimer’s Disease. Nat. Prod. Res. Dev. 2014, 26, 2076–2081. [Google Scholar]
- Hiremathad, A.; Piemontese, L. Heterocyclic compounds as key structures for the interaction with old and new targets in Alzheimer’s disease therapy. Neural Regen. Res. 2017, 12, 1256–1261. [Google Scholar] [PubMed]
- Song, B.; Deng, C.Y.; Wu, X.L.; Li, T.H. Known Species of Marasmius from China and Their Distribution. Guizhou Sci. 2009, 27, 1–18. [Google Scholar]
- Ayer, W.A.; Craw, P.A.; Stout, T.J.; Clardy, J. Novel sesquiterpenoids from the fairy ring fungus, Marasmius oreades. Can. J. Chem. 1989, 67, 773–778. [Google Scholar] [CrossRef]
- Evans, L.; Hedger, J.; O’Donnell, G.; Skelton, B.W.; White, A.H.; Williamson, R.T.; Gibbons, S. Structure elucidation of some highly unusual tricyclic cis-caryophyllane sesquiterpenes from Marasmiellus troyanus. Tetrahedron Lett. 2010, 51, 5493–5496. [Google Scholar] [CrossRef]
- Meng, J.; Li, Y.Y.; Ou, Y.X.; Song, L.F.; Lu, C.H.; Shen, Y.M. New sesquiterpenes from Marasmius cladophyllus. Mycology 2011, 2, 30–36. [Google Scholar] [CrossRef]
- Liermann, J.C.; Thines, E.; Opatz, T.; Anke, H. Drimane sesquiterpenoids from Marasmius sp. inhibiting the conidial germination of plant-pathogenic fungi. J. Nat. Prod. 2012, 75, 1983–1986. [Google Scholar] [CrossRef]
- Isaka, M.; Palasarn, S.; Sappan, M.; Supothina, S.; Boonpratuang, T. Hirsutane sesquiterpenes from cultures of the basidiomycete Marasmiellus sp. BCC 22389. Nat. Prod. Bioprospect. 2016, 6, 257–260. [Google Scholar] [CrossRef]
- Fattorusso, E.; Giovannitti, B.; Lanzotti, V.; Magno, S.; Violante, U. 4,4-Dimethyl-5 alpha -ergosta -8,24(28)-dien-3 beta-ol from the fungus Marasmius oreades. Steroids 1992, 57, 119–121. [Google Scholar] [CrossRef]
- Ványolós, A.; Dékány, M.; Kovács, B.; Krámos, B.; Bérdi, P.; Zupkó, I.; Hohmann, J.; Béni, Z. Gymnopeptides A and B, cyclic octadecapeptides from the mushroom Gymnopus fusipes. Org. Lett. 2016, 18, 2688–2691. [Google Scholar] [CrossRef]
- Thongbai, B.; Surup, F.; Mohr, K.; Kuhnert, E.; Hyde, K.D.; Stadler, M. Gymnopalynes A and B, chloropropynyl-isocoumarin antibiotics from cultures of the basidiomycete Gymnopus sp. J. Nat. Prod. 2013, 76, 2141–2144. [Google Scholar] [CrossRef] [PubMed]
- Zhang, L.; Yang, M.; Song, Y.; Sun, Z.; Peng, Y.; Qu, K.; Zhu, H. Antihypertensive effect of 3,3,5,5-tetramethyl-4-piperidone, a new compound extracted from Marasmius androsaceus. J. Ethnopharmacol. 2009, 123, 34–39. [Google Scholar] [CrossRef] [PubMed]
- Mao, X.L. Macromycetes of China, 1st ed.; Science Press: Beijing, China, 2009. [Google Scholar]
- Dai, J.; Karsten, K.; Ulrich, F.; Siegfried, D.; Barbara, S.; Attila, K.S.; Sándor, A.; Tibor, K.; Teunis van, R. Metabolites from the endophytic fungus Nodulisporium sp. from Juniperus cedre. Eur. J. Org. Chem. 2006, 15, 3498–3506. [Google Scholar] [CrossRef]
- Crouse, D.J.; Wheeler, D.M.S. Preparation of a 4-monoketal of juglone methyl ether. Tetrahedron Lett. 1979, 20, 4797–4798. [Google Scholar] [CrossRef]
- Gu, W.; Ge, H.M.; Song, Y.C.; Ding, H.; Zhu, H.L.; Zhao, X.A.; Tan, R.X. Cytotoxic benzo[j]fluoranthene metabolites from Hypoxylon truncatum IFB-18, an endophyte of Artemisia annua. J. Nat. Prod. 2007, 70, 114–117. [Google Scholar] [CrossRef]
- Li, D.L.; Wu, Z.C.; Chen, Y.C.; Tao, M.H.; Zhang, W.M. Chemical constituents of endophytic fungus Nodulisporium sp. A4 from Aquilaria sinensis. China J. Chin. Mater. Med. 2011, 36, 3276–3280. [Google Scholar]
- Nadeau, A.K.; Sorensen, J.L. Polyketides produced by Daldinia loculata cultured from Northern Manitoba. Tetrahedron Lett. 2011, 52, 1697–1699. [Google Scholar] [CrossRef]
- Chang, C.; Chang, H.; Cheng, M. Inhibitory effects of constituents of an endophytic fungus Hypoxylon investiens on nitric oxide and interleukin-6 production in RAW264.7 macrophages. Chem. Biodivers. 2014, 11, 949–961. [Google Scholar] [CrossRef]
- Tietze, L.F.; Güntner, C.; Gericke, K.M. A Diels-Alder reaction for the total synthesis of the novel antibiotic antitumor agent mensacarcin. Eur. J. Org. Chem. 2005, 2005, 2459–2467. [Google Scholar] [CrossRef]
- William, A.A.; Latchezar, S.T.; Leonard, J.H. Metabolites from a wood-inhabiting cup fungus, Urnula craterium. Nat. Prod. Lett. 2000, 14, 405–410. [Google Scholar]
- Arai, M.; Yamamoto, K.; Namatame, I. New monordens produced by amidepsine-producing fungus Humicola sp. FO-2942. J. Antibiot. 2003, 56, 526–532. [Google Scholar] [CrossRef] [PubMed]
- Dong, J.Y.; Song, H.C.; Li, J.H. Ymf 1029A-E, preussomerin analogues from the fresh-water-derived fungus YMF 1.01029. J. Nat. Prod. 2008, 71, 952–956. [Google Scholar] [CrossRef] [PubMed]
- Couché, E.; Fkyerat, A.; Tabacchi, R. Stereoselective synthesis of cis- and trans-3,4-dihydro-3, 4,8-trihydroxynaphthalen-1(2H)-one. Helv. Chim. Acta 2010, 92, 903–917. [Google Scholar] [CrossRef]
- Li, X.J.; Gao, J.M.; Zhang, A.L. Toxins from a symbiotic fungus, Leptographium qinlingensis associated with Dendroctonus armandi and their in vitro toxicities to Pinus armandi seedlings. Eur. J. Plant Pathol. 2012, 134, 239–247. [Google Scholar] [CrossRef]
- Rukachaisirikul, V.; Sommart, U.; Phongpaichit, S. Metabolites from the xylariaceous fungus PSU-A80. Chem. Pharm. Bull. 2007, 55, 1316–1318. [Google Scholar] [CrossRef] [PubMed][Green Version]
- Huang, R.; Wang, T.; Xie, X.S. Secondary metabolites from an endophytic fungus Nigrospora sp. Chem. Nat. Compd. 2016, 52, 697–699. [Google Scholar] [CrossRef]
- Ellman, G.L.; Courtney, K.D.; Andres, V.; Featherstone, R.M. A new and rapid colorimetric determination of acetylcholinesterase activity. Biochem. Pharmacol. 1961, 7, 88–95. [Google Scholar] [CrossRef]
- Mosmann, T. Rapid colorimetric assay for cellular growth and survival: Application to proliferation and cytotoxicity assays. J. Immunol. Methods 1983, 65, 55–63. [Google Scholar] [CrossRef]
- Barnes, E.C.; Jumpathong, J.; Lumyong, S.; Voigt, K.; Hertweck, C. Daldionin, an unprecedented binaphthyl derivative, and diverse polyketide congeners from a fungal orchid endophyte. Chem. Eur. J. 2016, 22, 4551–4555. [Google Scholar] [CrossRef]



| No. | 1 | 2 | ||
|---|---|---|---|---|
| δC | δH (J in Hz) | δC | δH (J in Hz) | |
| 1 | 69.7 | 4.85 dd (5.4, 8.8) | 67.5 | 4.87 t (2.7) |
| 2α | 29.2 | 1.75 m | 26.8 | 1.81 m |
| 2β | 1.95 m | 1.75 m | ||
| 3α | 26.2 | 2.12 m | 23.6 | 2.37 m |
| 3β | 2.21 m | 1.85 m | ||
| 4 | 33.6 | 4.74 m | 33.9 | 5.03 d (5.4) |
| 4a | 127.8 | 134.2 | ||
| 5 | 156.2 | 157.3 | ||
| 6 | 109.9 | 6.74 d (8.0) | 103.9 | 6.85 d (8.0) |
| 7 | 127.4 | 7.27 t (8.0) | 125.6 | 7.45 t (8.0) |
| 8 | 119.5 | 7.26 d (8.0) | 118.0 | 7.9 d (8.0) |
| 8a | 141.9 | 140.5 | ||
| 5-OCH3 | 56.2 | 4.06 s | 55.7 | 3.49 s |
| 1′ | 150.4 | 152.9 | ||
| 2′ | 128.1 | 110.4 | 6.79 d (8.0) | |
| 3′ | 124.7 | 7.23 d (8.1) | 126.8 | 6.37 d (8.0) |
| 4′ | 117.8 | 7.11 d (8.1) | 128.3 | |
| 4′a | 135.3 | 131.6 | ||
| 5′ | 109.8 | 6.74 d (7.8) | 121.7 | 7.11 d (7.8) |
| 6′ | 121.9 | 7.34 d (7.8) | 127.9 | 7.32 t (7.8) |
| 7′ | 103.8 | 6.76 d (7.8) | 109.5 | 6.60 d (7.8) |
| 8′ | 157.4 | 157.0 | ||
| 8′a | 115.0 | 115.7 | ||
| 8′-OCH3 | 55.7 | 4.08 s | 56.3 | 3.49 s |
| No. | 3 | |
|---|---|---|
| δC | δH (J in Hz) | |
| 1 | 193.3 (s) | |
| 2 | 145.3 (d) | 7.24 d (9.9) |
| 3 | 124.6 (d) | 6.07 d (9.9) |
| 4 | 97.5 (s) | |
| 4a | 119.4 (s) | |
| 5 | 157.9 (s) | |
| 6 | 120.2 (d) | 6.94 dd (8.3, 1.0) |
| 7 | 131.7 (d) | 7.27 t (7.5) |
| 8 | 122.6 (d) | 6.83 dd (8.3, 1.0) |
| 8a | 132.6 (s) | |
| OCH3 | 52.3 (q) | 3.35 s |
| Compound | Inhibition Rate (%) | Initial Screening Concentration (Final Concentration)/μM |
|---|---|---|
| 21.35 ± 0.57 | 143 | |
| 2 | 42.74 ± 0.93 | 143 |
| 3 | 44.63 ± 0.52 | 227 |
| 4 | 39.50 ± 2.14 | 149 |
| 5 | 12.40 ± 0.60 | 266 |
| 6 | 24.74 ± 1.70 | 287 |
| 7 | 51.49 ± 0.32 | 263 |
| 8 | 13.72 ± 1.52 | 266 |
| 9 | 14.51 ± 5.20 | 281 |
| 10 | 17.69 ± 0.89 | 260 |
| 11 | 14.87 ± 3.14 | 258 |
| 12 | 13.33 ± 1.46 | 258 |
| 13 | 15.18 ± 2.91 | 258 |
| 14 | 10.59 ± 3.97 | 260 |
| 15 | 11.80 ± 4.10 | 238 |
| Tacrine | 71.79 ± 1.11 | 0.33 |
| Compound | K562 | SGC-7901 |
|---|---|---|
| 1 | >0.25 | >0.25 |
| 2 | >0.25 | >0.25 |
| 3 | >0.25 | >0.25 |
| 4 | >0.25 | >0.25 |
| 5 | 0.10 | 0.13 |
| 6 | >0.25 | >0.25 |
| 7 | 0.076 | 0.18 |
| 8 | 0.058 | 0.15 |
| 9 | >0.25 | >0.25 |
| 10 | >0.25 | >0.25 |
| 11 | >0.25 | >0.25 |
| 12 | >0.25 | >0.25 |
| 13 | >0.25 | >0.25 |
| 14 | >0.25 | >0.25 |
| 15 | >0.25 | >0.25 |
| taxol | 0.00021 | 0.0010 |
© 2020 by the authors. Licensee MDPI, Basel, Switzerland. This article is an open access article distributed under the terms and conditions of the Creative Commons Attribution (CC BY) license (http://creativecommons.org/licenses/by/4.0/).
Share and Cite
Yang, N.N.; Ma, Q.Y.; Kong, F.D.; Xie, Q.Y.; Dai, H.F.; Zhou, L.M.; Yu, Z.F.; Zhao, Y.X. Napthrene Compounds from Mycelial Fermentation Products of Marasmius berteroi. Molecules 2020, 25, 3898. https://doi.org/10.3390/molecules25173898
Yang NN, Ma QY, Kong FD, Xie QY, Dai HF, Zhou LM, Yu ZF, Zhao YX. Napthrene Compounds from Mycelial Fermentation Products of Marasmius berteroi. Molecules. 2020; 25(17):3898. https://doi.org/10.3390/molecules25173898
Chicago/Turabian StyleYang, Ning Ning, Qing Yun Ma, Fan Dong Kong, Qing Yi Xie, Hao Fu Dai, Li Man Zhou, Zhi Fang Yu, and You Xing Zhao. 2020. "Napthrene Compounds from Mycelial Fermentation Products of Marasmius berteroi" Molecules 25, no. 17: 3898. https://doi.org/10.3390/molecules25173898
APA StyleYang, N. N., Ma, Q. Y., Kong, F. D., Xie, Q. Y., Dai, H. F., Zhou, L. M., Yu, Z. F., & Zhao, Y. X. (2020). Napthrene Compounds from Mycelial Fermentation Products of Marasmius berteroi. Molecules, 25(17), 3898. https://doi.org/10.3390/molecules25173898
