Focusing on the Catalysts of the Pd- and Ni-Catalyzed Hirao Reactions
Abstract
1. Introduction
1.1. Palladium-Catalyzed Hirao Reactions
1.2. Nickel-Catalyzed P–C Coupling Reactions
2. Catalysts for the Pd-Promoted P–C Couplings
2.1. General Considerations
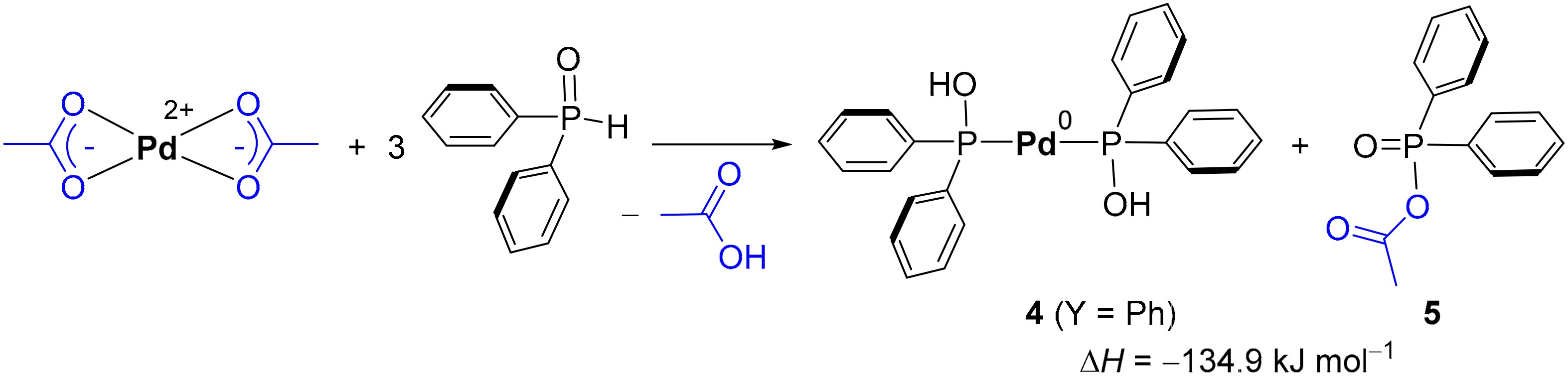
2.2. Formation of the PdP2 Catalyst—Theoretical and Experimental Results
2.3. A Theoretical Study on the Ligation of Pd(0)
2.4. Experimental Results of the Effect of the Different Methyl Substituents in Diarylphosphine Oxides on the P–C Coupling Reaction with Bromobenzene
3. Catalysts for the Ni-Assisted Hirao Reactions
3.1. Theoretical and Experimental Studies on the Ni Catalyst
3.2. A Theoretical Study on the Ligation of Ni(II)
4. Conclusions
Author Contributions
Funding
Acknowledgments
Conflicts of Interest
References
- Hirao, T.; Masunaga, T.; Ohshiro, Y.; Agawa, T. Stereoselective synthesis of vinylphosphonate. Tetrahedron Lett. 1980, 21, 3595–3598. [Google Scholar] [CrossRef]
- Hirao, T.; Masunaga, T.; Yamada, N.; Ohshiro, Y.; Agawa, T. Palladium-catalyzed new carbon-phosphorus bond formation. Bull. Chem. Soc. Jpn. 1982, 55, 909–913. [Google Scholar] [CrossRef]
- Hirao, T.; Masunaga, T.; Ohshiro, Y.; Agawa, T. A novel synthesis of dialkyl arenephosphonates. Synthesis 1981, 56–57. [Google Scholar] [CrossRef]
- Lu, X.; Zhu, J. Palladium-catalyzed reaction of aryl polyfluoroalkanesulfonates with O,O-dialkyl phosphonates. Synthesis 1987, 726–727. [Google Scholar] [CrossRef]
- Holt, D.A.; Erb, J.M. Palladium-catalyzed phosphorylation of alkenyl triflates. Tetrahedron Lett. 1989, 30, 5393–5396. [Google Scholar] [CrossRef]
- Kazankova, M.A.; Trostyanskaya, I.G.; Lutsenko, S.V.; Beletskaya, I.P. Nickel- and palladium-catalyzed cross-coupling as a route to 1- and 2-alkoxy- or dialkylaminovinylphosphonates. Tetrahedron Lett. 1999, 40, 569–572. [Google Scholar] [CrossRef]
- Zhong, P.; Xiong, Z.X.; Huang, X. A facile regio- and stereocontrolled synthesis of (E)-vinylphosphonates VIA cross coupling of (E)-vinyl iodides with dialkyl phosphites. Synth. Commun. 2000, 30, 273–278. [Google Scholar] [CrossRef]
- Kobayashi, Y.; William, A.D. Palladium- and nickel-catalyzed coupling reactions of α-bromoalkenylphosphonates with arylboronic acids and lithium alkenylborates. Adv. Synth. Catal. 2004, 346, 1749–1757. [Google Scholar] [CrossRef]
- Chrzanowski, J.; Krasowska, D.; Urbaniak, M.; Sieroń, L.; Pokora-Sobczak, P.; Demchuk, O.M.; Drabowicz, J. Synthesis of enantioenriched aryl-tert-butylphenylphosphine oxides via cross-coupling reactions of tert-butylphenylphosphine oxide with aryl halides. Eur. J. Org. Chem. 2018, 4614–4627. [Google Scholar] [CrossRef]
- Jablonkai, E.; Keglevich, G. P–C bond formation by coupling reaction utilizing >P(O)H species as the reagents. Curr. Org. Synth. 2014, 11, 429–453. [Google Scholar] [CrossRef]
- Jablonkai, E.; Keglevich, G. Advances and new variations of the Hirao reaction. Org. Prep. Proc. Int. 2014, 46, 281–316. [Google Scholar] [CrossRef]
- Henyecz, R.; Keglevich, G. New developments on the Hirao reactions, especially from “green” point of view. Curr. Org. Synth. 2019, 16, 523–545. [Google Scholar] [CrossRef] [PubMed]
- Kalek, M.; Stawinski, J. Pd(0)-catalyzed phosphorus−carbon bond formation. Mechanistic and synthetic studies on the role of the palladium sources and anionic additives. Organometallics 2007, 26, 5840–5847. [Google Scholar] [CrossRef]
- Belabassi, Y.; Alzghari, S.; Montchamp, J.-L. Revisiting the Hirao cross-coupling: Improved synthesis of aryl and heteroaryl phosphonates. J. Organomet. Chem. 2008, 693, 3171–3178. [Google Scholar] [CrossRef] [PubMed]
- Deal, E.L.; Petit, C.; Montchamp, J.-L. Palladium-catalyzed cross-coupling of H-phosphinate esters with chloroarenes. Org. Lett. 2011, 13, 3270–3273. [Google Scholar] [CrossRef]
- Kalek, M.; Jezowska, M.; Stawinski, J. Preparation of arylphosphonates by palladium(0)-catalyzed cross-coupling in the presence of acetate additives: Synthetic and mechanistic studies. Adv. Synth. Catal. 2009, 351, 3207–3216. [Google Scholar] [CrossRef]
- Gooßen, L.J.; Dezfuli, M.K. Practical protocol for the palladium-catalyzed synthesis of arylphosphonates from bromoarenes and diethyl phosphite. Synlett 2005, 445–448. [Google Scholar] [CrossRef]
- Sun, W.; Gu, H.; Lin, X. Synthesis and application of hexamethyl-1,1′-spirobiindane-based phosphine-oxazoline ligands in Ni-catalyzed asymmetric arylation of cyclic aldimines. J. Org. Chem. 2018, 83, 4034–4043. [Google Scholar] [CrossRef]
- Bloomfield, A.J.; Herzon, S.B. Room temperature, palladium-mediated P-arylation of secondary phosphine oxides. Org. Lett. 2012, 14, 4370–4373. [Google Scholar] [CrossRef]
- Han, Z.S.; Wu, H.; Xu, Y.; Zhang, Y.; Qu, B.; Li, Z.; Caldwell, D.R.; Fandrick, K.R.; Zhang, L.; Roschangar, F.; et al. General and stereoselective method for the synthesis of sterically congested and structurally diverse P-stereogenic secondary phosphine oxides. Org. Lett. 2017, 19, 1796–1799. [Google Scholar] [CrossRef]
- Liu, C.; Szostak, M. Decarbonylative phosphorylation of amides by palladium and nickel catalysis: The Hirao cross-coupling of amide derivatives. Angew. Chem. Int. Ed. 2017, 56, 12718–12722. [Google Scholar] [CrossRef] [PubMed]
- Zhang, J.-S.; Chen, T.; Han, L.-B. Palladium-catalyzed direct decarbonylative phosphorylation of benzoic acids with P(O)–H compounds. Eur. J. Org. Chem. 2020, 1148–1153. [Google Scholar] [CrossRef]
- Zhang, X.; Liu, H.; Hu, X.; Tang, G.; Zhu, J.; Zhao, Y. Ni(II)/Zn catalyzed reductive coupling of aryl halides with diphenylphosphine oxide in water. Org. Lett. 2011, 13, 3478–3481. [Google Scholar] [CrossRef] [PubMed]
- Kinbara, A.; Ito, M.; Abe, T.; Yamagishi, T. Nickel-catalyzed C–P cross-coupling reactions of aryl iodides with H-phosphinates. Tetrahedron 2015, 71, 7614–7619. [Google Scholar] [CrossRef]
- Yang, J.; Xiao, J.; Chen, T.; Han, L.-B. Nickel-catalyzed phosphorylation of aryl triflates with P(O)H compounds. J. Organomet. Chem. 2016, 820, 120–124. [Google Scholar] [CrossRef]
- Yang, J.; Chen, T.; Han, L.-B. C–P Bond-forming reactions via C–O/P–H cross-coupling catalyzed by nickel. J. Am. Chem. Soc. 2015, 137, 1782–1785. [Google Scholar] [CrossRef] [PubMed]
- Isshiki, R.; Muto, K.; Yamaguchi, J. Decarbonylative C–P bond formation using aromatic esters and organophosphorus compounds. Org. Lett. 2018, 20, 1150–1153. [Google Scholar] [CrossRef] [PubMed]
- Karlstedt, N.B.; Beletskaya, I.P. Copper-catalyzed cross-coupling of diethyl phosphonate with aryl iodides. Russ. J. Org. Chem. 2011, 47, 1011. [Google Scholar] [CrossRef]
- Stankevič, M.; Włodarczyk, A. Efficient copper(I)-catalyzed coupling of secondary phosphine oxides with aryl halides. Tetrahedron 2013, 69, 73–81. [Google Scholar] [CrossRef]
- Stankevič, M.; Pisklak, J.; Włodarczyk, K. Aryl group – a leaving group in arylphosphine oxides. Tetrahedron 2016, 72, 810–824. [Google Scholar] [CrossRef]
- Zhuang, R.; Xu, J.; Cai, Z.; Tang, G.; Fang, M.; Zhao, Y. Copper-catalyzed C−P bond construction via direct coupling of phenylboronic acids with H-phosphonate diesters. Org. Lett. 2011, 13, 2110–2113. [Google Scholar] [CrossRef] [PubMed]
- Kalek, M.; Ziadi, A.; Stawinski, J. Microwave-assisted palladium-catalyzed cross-coupling of aryl and vinyl halides with H-phosphonate diesters. Org. Lett. 2008, 10, 4637–4640. [Google Scholar] [CrossRef] [PubMed]
- Villemin, D.; Jaffres, P.-A.; Simeon, F. Rapid and efficient phosphonation of aryl halides catalysed by palladium under microwave irradiation. Phosphorus Sulfur Silicon 1997, 130, 59–63. [Google Scholar] [CrossRef]
- Andaloussi, M.; Lindh, J.; Sävmarker, J.; Sjöberg, P.J.R.; Larhed, M. Microwave-promoted palladium(II)-catalyzed C–P bond formation by using arylboronic acids or aryltrifluoroborates. Chem. Eur. J. 2009, 15, 13069–13074. [Google Scholar] [CrossRef]
- Li, J.; Bi, X.; Wang, H.; Xiao, J. Decarboxylative C–P coupling of o-nitrobenzoic acids with H-phosphonates. Asian J. Org. Chem. 2014, 3, 1113–1118. [Google Scholar] [CrossRef]
- Li, J.; Bi, X.; Wang, H.; Xiao, J. Palladium-catalyzed desulfitative C–P coupling of arylsulfinate metal salts and H-phosphonates. RSC Adv. 2014, 4, 19214–19217. [Google Scholar] [CrossRef]
- Rummelt, S.M.; Ranocchiari, M.; Bokhoven, J.A. Synthesis of water-soluble phosphine oxides by Pd/C-catalyzed P–C coupling in water. Org. Lett. 2012, 14, 2188–2190. [Google Scholar] [CrossRef]
- Kabachnik, M.M.; Solntseva, M.D.; Izmer, V.V.; Novikova, Z.S.; Beletskaya, I.P. Palladium-catalyzed phase-transfer arylation of dialkyl phosphonates. Russ. J. Org. Chem. 1998, 34, 93–97. [Google Scholar] [CrossRef]
- Beletskaya, I.P.; Karlstedt, N.B.; Nifant’ev, E.E.; Khodarev, D.V.; Kukhareva, T.S.; Nikolaev, A.V.; Ross, A.J. Palladium-catalyzed P-arylation of hydrophosphoryl derivatives of protected monosaccharides. Russ. J. Org. Chem. 2006, 42, 1780–1785. [Google Scholar] [CrossRef]
- Novikova, Z.S.; Demik, N.N.; Agarkov, A.Y.; Beletskaya, I.P. Palladium-catalyzed arylation of diethyl hydrogen phosphite. Russ. J. Org. Chem. 1995, 31, 129. [Google Scholar]
- Beletskaya, I.P.; Kazankova, M.A. Catalytic methods for building up phosphorus-carbon bond. Russ. J. Org Chem. 2002, 38, 1391–1430. [Google Scholar] [CrossRef]
- Jablonkai, E.; Keglevich, G. P-ligand-free, microwave-assisted variation of the Hirao reaction under solvent-free conditions; the P–C coupling reaction of >P(O)H species and bromoarenes. Tetrahedron Lett. 2013, 54, 4185–4188. [Google Scholar] [CrossRef]
- Keglevich, G.; Jablonkai, E.; Balázs, L.B. A “green” variation of the Hirao reaction: The P–C coupling of diethyl phosphite, alkyl phenyl-H-phosphinates and secondary phosphine oxides with bromoarenes using a P-ligand-free Pd(OAc)2 catalyst under microwave and solvent-free conditions. RSC Adv. 2014, 4, 22808–22816. [Google Scholar] [CrossRef]
- Keglevich, G.; Henyecz, R.; Mucsi, Z.; Kiss, N.Z. The palladium acetate-catalyzed microwave-assisted Hirao reaction without an added phosphorus ligand as a “green” protocol: A quantum chemical study on the mechanism. Adv. Synth. Catal. 2017, 359, 4322–4331. [Google Scholar] [CrossRef] [PubMed]
- Henyecz, R.; Oroszy, R.; Keglevich, G. Microwave-assisted Hirao reaction of heteroaryl bromides and >P(O)H reagents using Pd(OAc)2 as the catalyst precursor in the absence of added P-ligands. Curr. Org. Chem. 2019, 23, 1151–1157. [Google Scholar] [CrossRef]
- Henyecz, R.; Huszár, B.; Grenitzer, V.; Keglevich, G. A study on the reactivity of monosubstituted benzenes in the MW-assisted Pd(OAc)2-catalyzed Hirao reaction with Ph2P(O)H and (EtO)2P(O)H reagents. Curr. Org. Chem. 2020, 24, 1048–1054. [Google Scholar] [CrossRef]
- Jablonkai, E.; Balázs, L.B.; Keglevich, G. A P-ligand-free nickel-catalyzed variation of the Hirao reaction under microwave conditions. Curr. Org. Chem. 2015, 19, 197–202. [Google Scholar] [CrossRef]
- Johansson, T.; Stawinski, J. Synthesis of dinucleoside pyridylphosphonates involving palladium(0)-catalysed phosphorus–carbon bond formation as a key step. Chem. Commun. 2001, 2564–2565. [Google Scholar] [CrossRef]
- Pirat, J.-L.; Monbrun, J.; Virieux, D.; Cristau, H.J. Pallado-catalysed P-arylations and P-vinylation of 2-hydrogeno-2-oxo-1, 4, 2-oxazaphosphinanes. Tetrahedron 2005, 61, 7029–7036. [Google Scholar] [CrossRef]
- Kalek, M.; Stawinski, J. Palladium-catalyzed C–P bond formation: Mechanistic studies on the ligand substitution and the reductive elimination. An intramolecular catalysis by the acetate group in PdII complexes. Organometallics 2008, 27, 5876–5888. [Google Scholar] [CrossRef]
- Tappe, F.M.J.; Trepohl, V.T.; Oestreich, M. Transition-metal-catalyzed C–P cross-coupling reactions. Synthesis 2010, 3037–3062. [Google Scholar] [CrossRef]
- Berger, O.; Petit, C.; Deal, E.L.; Montchamp, J.L. Phosphorus-carbon bond formation: Palladium-catalyzed cross-coupling of H-phosphinates and other P(O)H-containing compounds. Adv. Synth. Catal. 2013, 355, 1361–1373. [Google Scholar] [CrossRef]
- Berger, O.; Montchamp, J.-L. General synthesis of P-stereogenic compounds: The menthyl phosphinate approach. Org. Biomol. Chem. 2016, 14, 7552–7562. [Google Scholar] [CrossRef] [PubMed]
- Kohler, M.C.; Sokol, J.G.; Stockland, R.A. Development of a room temperature Hirao reaction. Tetrahedron Lett. 2009, 50, 457–459. [Google Scholar] [CrossRef]
- Kohler, M.C.; Grimes, T.V.; Wang, X.; Cundari, T.R.; Stockland, R.A. Arylpalladium phosphonate complexes as reactive intermediates in phosphorus-carbon bond forming reactions. Organometallics 2009, 28, 1193–1201. [Google Scholar] [CrossRef][Green Version]
- Shen, C.R.; Yang, G.Q.; Zhang, W.B. Nickel-catalyzed C–P coupling of aryl mesylates and tosylates with H(O)PR1R2. Org. Biomol. Chem. 2012, 10, 3500–3505. [Google Scholar] [CrossRef]
- Yang, J.; Xiao, J.; Chen, T.Q.; Yin, S.F.; Han, L.B. Efficient nickel-catalyzed phosphinylation of C-S bonds forming C-P bonds. Chem. Commun. 2016, 52, 12233–12236. [Google Scholar] [CrossRef]
- Zhang, J.S.; Chen, T.Q.; Yang, J.; Han, L.B. Nickel-catalysed P–C bond formation via P-H/C-CN cross coupling reactions. Chem. Commun. 2015, 51, 7540–7542. [Google Scholar] [CrossRef]
- Yang, J.; Xiao, J.; Chen, T.Q.; Han, L.B. Nickel-catalyzed phosphorylation of phenol derivatives via C–O/P–H cross-coupling. J. Org. Chem. 2016, 81, 3911–3916. [Google Scholar] [CrossRef]
- Hu, G.B.; Chen, W.Z.; Fu, T.T.; Peng, Z.M.; Qiao, H.W.; Gao, Y.X.; Zhao, Y.F. Nickel-catalyzed C–P cross-coupling of arylboronic acids with P(O)H compounds. Org. Lett. 2013, 15, 5362–5365. [Google Scholar] [CrossRef]
- Zhao, Y.L.; Wu, G.J.; Li, Y.; Gao, L.X.; Han, F.S. [NiCl2(dppp)]-catalyzed cross-coupling of aryl halides with dialkyl phosphite, diphenylphosphine oxide, and diphenylphosphine. Chem. Eur. J. 2012, 18, 9622–9627. [Google Scholar] [CrossRef] [PubMed]
- Zhang, H.Y.; Sun, M.; Ma, Y.N.; Tian, Q.P.; Yang, S.D. Nickel-catalyzed C–P cross-coupling of diphenylphosphine oxide with aryl chlorides. Org. Biomol. Chem. 2012, 10, 9627–9633. [Google Scholar] [CrossRef] [PubMed]
- Zhao, Y.L.; Wu, G.J.; Han, F.S. Ni-catalyzed construction of C–P bonds from electron-deficient phenols via the in situ aryl C–O activation by PyBroP. Chem. Commun. 2012, 48, 5868–5870. [Google Scholar] [CrossRef] [PubMed]
- Łastawiecka, E.; Flis, A.; Stankevič, M.; Greluk, M.; Słowik, G.; Gac, W. P-Arylation of secondary phosphine oxides catalyzed by nickel-supported nanoparticles. Org. Chem. Front. 2018, 5, 2079–2085. [Google Scholar] [CrossRef]
- Liu, L.; Wang, Y.; Zeng, Z.; Xu, P.; Gao, Y.; Yin, Y.; Zhao, Y. Nickel(II)–magnesium-catalyzed cross-coupling of 1,1-dibromo-1-alkenes with diphenylphosphine oxide: One-pot synthesis of (E)-1-alkenylphosphine oxides or bisphosphine oxides. Adv. Synth. Catal. 2013, 355, 659–666. [Google Scholar] [CrossRef]
- Bigeault, J.; Giordano, L.; Buono, G. [2+1] cycloadditions of terminal alkynes to norbornene derivatives catalyzed by palladium complexes with phosphinous acid ligands. Angew. Chem. Int. Ed. 2005, 44, 4753–4757. [Google Scholar] [CrossRef]
- Amatore, C.; Jutand, A. Anionic Pd(0) and Pd(II) Intermediates in palladium-catalyzed Heck and cross-coupling reactions. Acc. Chem. Res. 2000, 33, 314–321. [Google Scholar] [CrossRef]
- Ackermann, L.; Vicente, R.; Hofmann, N. Air-stable secondary phosphine oxide as preligand for palladium-catalyzed intramolecular α-arylations with chloroarenes. Org. Lett. 2009, 11, 4274–4276. [Google Scholar] [CrossRef]
- Henyecz, R.; Mucsi, Z.; Keglevich, G. Palladium-catalyzed microwave-assisted Hirao reaction utilizing the excess of the diarylphosphine oxide reagent as the P-ligand; A study on the activity and formation of the “PdP2” catalyst. Pure Appl. Chem. 2019, 91, 121–134. [Google Scholar] [CrossRef]
- Andrae, D.; Haeussermann, U.; Dolg, M.; Stoll, H.; Preuss, H. Energy-adjusted ab initio pseudopotentials for the second and third row transition elements. Theor. Chem. Acc. 1990, 77, 123–141. [Google Scholar] [CrossRef]
- Henyecz, R.; Mucsi, Z.; Keglevich, G. A surprising mechanism lacking the Ni(0) state during the Ni(II)-catalyzed P–C cross-coupling reaction performed in the absence of a reducing agent – An experimental and a theoretical study. Pure Appl. Chem. 2020, 92, 493–503. [Google Scholar] [CrossRef]
- Keglevich, G.; Henyecz, R.; Mucsi, Z. Experimental and theoretical study on the “2,2-bipiridyl-Ni-catalyzed” Hirao reaction of >P(O)H reagents and halobenzenes: A Ni(0) → Ni(II) or a Ni(II) → Ni(IV) mechanism? J. Org. Chem 2020, in press. [Google Scholar] [CrossRef] [PubMed]
- Meucci, E.A.; Camasso, N.M.; Sanford, M.S. An organometalllic NiIV complex that participates in competing transmetalation and C(sp2)−O bond-forming reductive elimination reactions. Organometallics 2017, 36, 247–250. [Google Scholar] [CrossRef]
- Roberts, C.C.; Chong, E.; Kampf, J.W.; Canty, A.J.; Ariafard, A.; Sanford, M.S. Nickel(II/IV) manifold enables room-temperature C(sp3)−H functionalization. J. Am. Chem. Soc. 2019, 141, 19513–19520. [Google Scholar] [CrossRef]
- Roberts, C.C.; Camasso, N.M.; Bowes, E.G.; Sanford, M.S. Impact of oxidation state on reactivity and selectivity differences between Nickel(III) and Nickel(IV) alkyl complexes. Angew. Chem. Int. Ed. 2019, 58, 9104–9108. [Google Scholar] [CrossRef] [PubMed]
- Li, Y.; Zou, L.; Bai, R.; Lan, Y. Ni(I)–Ni(III) vs. Ni(II)–Ni(IV): Mechanistic study of Ni-catalyzed alkylation of benzamides with alkyl halides. Org. Chem. Front. 2018, 5, 615–622. [Google Scholar] [CrossRef]
- Vincze, D.; Ábrányi-Balogh, P.; Bagi, P.; Keglevich, G. A mechanistic study on the tautomerism of H-phosphonates, H-phosphinates and secondary phosphine oxides. Molecules 2019, 24, 3859. [Google Scholar] [CrossRef]













© 2020 by the authors. Licensee MDPI, Basel, Switzerland. This article is an open access article distributed under the terms and conditions of the Creative Commons Attribution (CC BY) license (http://creativecommons.org/licenses/by/4.0/).
Share and Cite
Keglevich, G.; Henyecz, R.; Mucsi, Z. Focusing on the Catalysts of the Pd- and Ni-Catalyzed Hirao Reactions. Molecules 2020, 25, 3897. https://doi.org/10.3390/molecules25173897
Keglevich G, Henyecz R, Mucsi Z. Focusing on the Catalysts of the Pd- and Ni-Catalyzed Hirao Reactions. Molecules. 2020; 25(17):3897. https://doi.org/10.3390/molecules25173897
Chicago/Turabian StyleKeglevich, György, Réka Henyecz, and Zoltán Mucsi. 2020. "Focusing on the Catalysts of the Pd- and Ni-Catalyzed Hirao Reactions" Molecules 25, no. 17: 3897. https://doi.org/10.3390/molecules25173897
APA StyleKeglevich, G., Henyecz, R., & Mucsi, Z. (2020). Focusing on the Catalysts of the Pd- and Ni-Catalyzed Hirao Reactions. Molecules, 25(17), 3897. https://doi.org/10.3390/molecules25173897

