Recovery and Stabilization of Anthocyanins and Phenolic Antioxidants of Roselle (Hibiscus sabdariffa L.) with Hydrophilic Deep Eutectic Solvents
Abstract
1. Introduction
2. Results and Discussion
2.1. Characterization of DESs
2.1.1. Viscosity
2.1.2. FTIR
2.2. Evaluation of DESs Efficiency
2.3. Optimization of DES and Extraction Conditions
2.3.1. Model Analysis
2.3.2. Effects of Independent Variables on the Responses
2.3.3. Multi-Response of the Optimization Process
2.4. Efficiency of Response Surface Methodology on Total Anthocyanin
2.5. Stability of Antioxidant Properties of Roselle in SAFAm
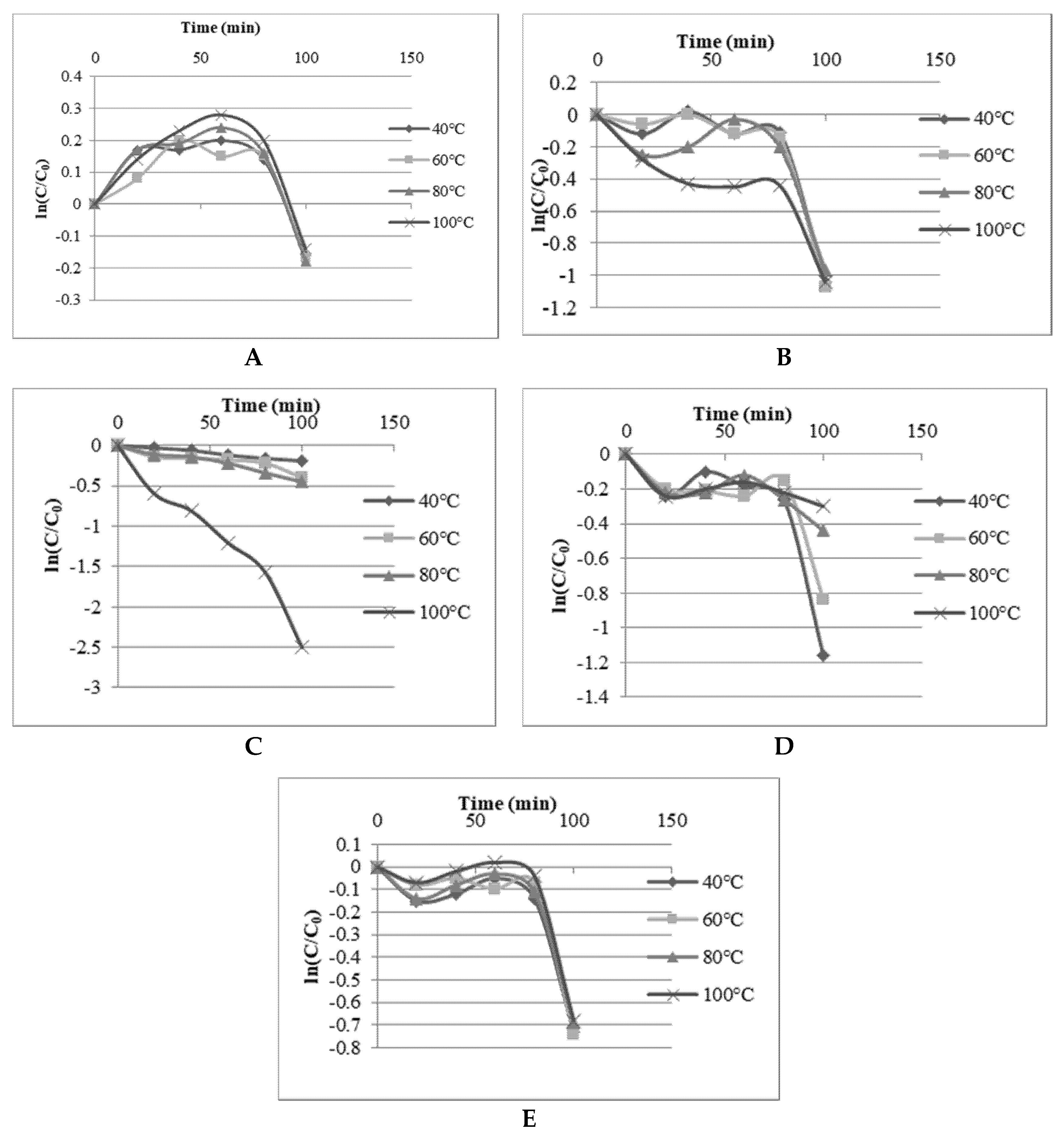
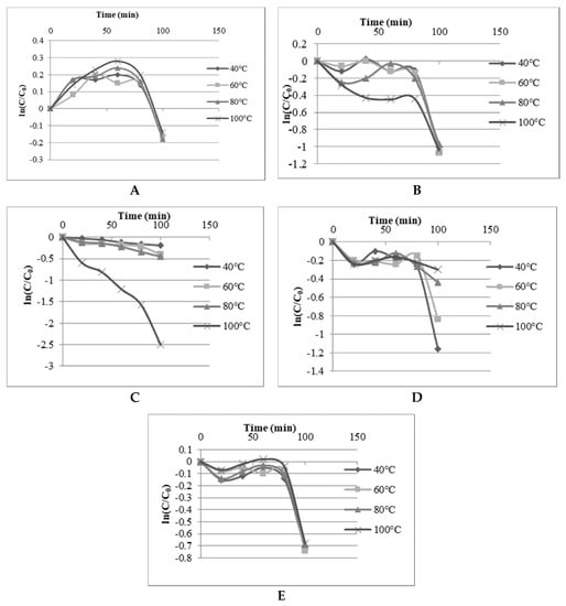
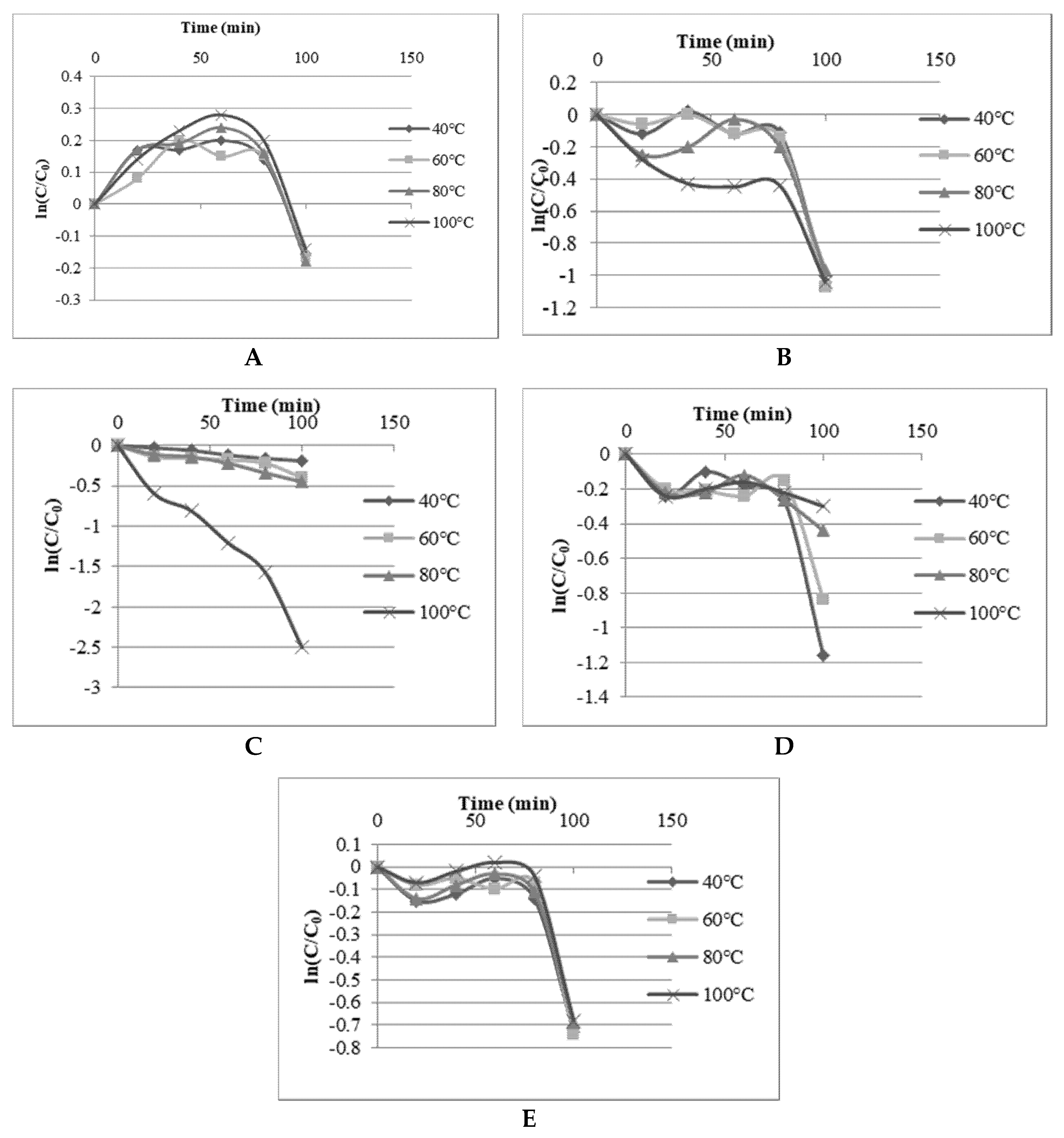
2.5.1. Thermal Stability
2.5.2. Stability of Total Anthocyanin during Storage
3. Materials and Methods
3.1. Plant Material
3.2. Chemicals and Reagents
3.3. Deep Eutectic Solvent Preparation
3.4. Characterization of DESs
3.4.1. Rheology
3.4.2. Fourier Transformed Infrared (FTIR)
3.5. Extraction with DES and Conventional Solvents
3.6. Optimization Parameters of DES and Extraction with Response Surface Methodology
3.7. Determination of Total Phenolic Content (TPC)
3.8. Determination of Total Flavonoid (TFC)
3.9. Determination of Total Anthocyanin (TACN)
3.10. Determination of Ferric Reducing Antioxidant Power (FRAP)
3.11. Determination of the DPPH Radical Scavenging Activity
3.12. Stability Tests
3.12.1. Thermal Stability
3.12.2. Storage Stability
3.13. Data and Statistical Analyses
4. Conclusions
Author Contributions
Funding
Conflicts of Interest
References
- Badreldin, H.A.; Naser Al, W.; Gerald, B. Phytochemical, pharmacological and toxicological aspects of Hibiscus sabdariffa L.: A review. Phytother. Res. 2005, 19, 369–375. [Google Scholar]
- Maganha, E.G.; da Costa Halmenschlager, R.; Rosa, R.M.; Henriques, J.A.P.; de Paula Ramos, A.L.L.; Saffi, J. Pharmacological evidences for the extracts and secondary metabolites from plants of the genus Hibiscus. Food Chem. 2010, 118, 1–10. [Google Scholar] [CrossRef]
- McKay, D.; Blumberg, J. Hibiscus tea (Hibiscus sabdariffa L.) lowers blood pressure in pre-and mildly hypertensive adults. FASEB J. 2007, 21, 1–6. [Google Scholar]
- Prenesti, E.; Berto, S.; Daniele, P.G.; Toso, S. Antioxidant power quantification of decoction and cold infusions of Hibiscus sabdariffa flowers. Food Chem. 2007, 100, 433–438. [Google Scholar] [CrossRef]
- Amin, A.; Hamza, A.A. Hepatoprotective effects of Hibiscus, Rosmarinus and Salvia on azathioprine-induced toxicity in rats. Life Sci. 2005, 77, 266–278. [Google Scholar] [CrossRef]
- Mohd-Esa, N.; Hern, F.S.; Ismail, A.; Yee, C.L. Antioxidant activity in different parts of roselle (Hibiscus sabdariffa L.) extracts and potential exploitation of the seeds. Food Chem. 2010, 122, 1055–1060. [Google Scholar] [CrossRef]
- Zannou, O.; Kelebek, H.; Selli, S. Elucidation of key odorants in Beninese Roselle (Hibiscus sabdariffa L.) infusions prepared by hot and cold brewing. Food Res. Int. 2020, 133, 109133. [Google Scholar] [CrossRef] [PubMed]
- De Moura, S.C.S.R.; Schettini, G.N.; Garcia, A.O.; Gallina, D.A.; Alvim, I.D.; Hubinger, M.D. Stability of hibiscus extract encapsulated by ionic gelation incorporated in yogurt. Food Bioprocess Technol. 2019, 12, 1500–1515. [Google Scholar] [CrossRef]
- Galanakis, C.M. The Food systems in the era of the coronavirus (COVID-19) pandemic crisis. Foods 2020, 9, 523. [Google Scholar] [CrossRef]
- Zhen, J.; Villani, T.S.; Guo, Y.; Qi, Y.; Chin, K.; Pan, M.H.; Ho, C.T.; Simon, J.E.; Wu, Q. Phytochemistry, antioxidant capacity, total phenolic content and anti-inflammatory activity of Hibiscus sabdariffa leaves. Food Chem. 2016, 190, 673–680. [Google Scholar] [CrossRef]
- Owoade, A.; Adetutu, A.; Olorunnisola, O. Identification of phenolic compounds in Hibiscus sabdariffa polyphenolic rich extract (HPE) by chromatography techniques. Br. J. Pharm. Res. 2016, 12, 1–12. [Google Scholar] [CrossRef]
- Segura-Carretero, A.; Puertas-Mejía, M.A.; Cortacero-Ramírez, S.; Beltrán, R.; Alonso-Villaverde, C.; Joven, J.; Dinelli, G.; Fernández-Gutiérrez, A. Selective extraction, separation, and identification of anthocyanins from Hibiscus sabdariffa L. using solid phase extraction-capillary electrophoresis-mass spectrometry (time-of-flight/ion trap). Electrophoresis 2008, 29, 2852–2861. [Google Scholar] [CrossRef] [PubMed]
- Grajeda-Iglesias, C.; Figueroa-Espinoza, M.C.; Barouh, N.; Baréa, B.; Fernandes, A.; De Freitas, V.; Salas, E. Isolation and characterization of anthocyanins from Hibiscus sabdariffa flowers. J. Nat. Prod. 2016, 79, 1709–1718. [Google Scholar] [CrossRef] [PubMed]
- Sinela, A.; Rawat, N.; Mertz, C.; Achir, N.; Fulcrand, H.; Dornier, M. Anthocyanins degradation during storage of Hibiscus sabdariffa extract and evolution of its degradation products. Food Chem. 2017, 214, 234–241. [Google Scholar] [CrossRef]
- Mercado-Mercado, G.; Blancas-Benitez, F.J.; Velderrain-Rodríguez, G.R.; Montalvo-González, E.; González-Aguilar, G.A.; Alvarez-Parrilla, E.; Sáyago-Ayerdi, S.G. Bioaccessibility of polyphenols released and associated to dietary fibre in calyces and decoction residues of Roselle (Hibiscus sabdariffa L.). J. Funct. Foods 2015, 18, 171–181. [Google Scholar] [CrossRef]
- Ademiluyi, A.O.; Oboh, G.; Agbebi, O.J.; Akinyemi, A.J. Anthocyanin-rich red dye of Hibiscus sabdariffa calyx modulates cisplatin-induced nephrotoxicity and oxidative stress in rats. Int. J. Biomed. Sci. 2013, 9, 243–248. [Google Scholar]
- Ozkol, H.U.; Koyuncu, I.; Tuluce, Y.; Dilsiz, N.; Soral, S.; Ozkol, H. Anthocyanin-rich extract from Hibiscus sabdariffa calyx counteracts UVC-caused impairments in rats. Pharm. Biol. 2015, 53, 1435–1441. [Google Scholar] [CrossRef]
- Galanakis, C.M. Recovery of high added-value components from food wastes: Conventional, emerging technologies and commercialized applications. Trends Food Sci. Technol. 2012, 26, 68–87. [Google Scholar] [CrossRef]
- Galanakis, C.M. Emerging technologies for the production of nutraceuticals from agricultural by-products: A viewpoint of opportunities and challenges. Food Bioprod. Process. 2013, 91, 575–579. [Google Scholar] [CrossRef]
- Galanakis, C.M. Separation of functional macromolecules and micromolecules: From ultrafiltration to the border of nanofiltration. Trends Food Sci. Technol. 2015, 42, 44–63. [Google Scholar] [CrossRef]
- Azmir, J.; Zaidul, I.S.M.; Rahman, M.M.; Sharif, K.M.; Mohamed, A.; Sahena, F.; Jahurul, M.H.A.; Ghafoor, K.; Norulaini, N.A.N.; Omar, A.K.M. Techniques for extraction of bioactive compounds from plant materials: A review. J. Food Eng. 2013, 117, 426–436. [Google Scholar] [CrossRef]
- Barba, F.J.; Galanakis, C.M.; Esteve, M.J.; Frigola, A.; Vorobiev, E. Potential use of pulsed electric technologies and ultrasounds to improve the recovery of high-added value compounds from blackberries. J. Food Eng. 2015, 167, 38–44. [Google Scholar] [CrossRef]
- Bursać Kovačević, D.; Barba, F.J.; Granato, D.; Galanakis, C.M.; Herceg, Z.; Dragović-Uzelac, V.; Putnik, P. Pressurized hot water extraction (PHWE) for the green recovery of bioactive compounds and steviol glycosides from Stevia rebaudiana Bertoni leaves. Food Chem. 2018, 254, 150–157. [Google Scholar] [CrossRef] [PubMed]
- Chemat, F.; Vian, M.A.; Cravotto, G. Green extraction of natural products: Concept and principles. Int. J. Mol. Sci. 2012, 13, 8615–8627. [Google Scholar] [CrossRef] [PubMed]
- El Kantar, S.; Rajha, H.N.; Boussetta, N.; Vorobiev, E.; Maroun, R.G.; Louka, N. Green extraction of polyphenols from grapefruit peels using high voltage electrical discharges, deep eutectic solvents and aqueous glycerol. Food Chem. 2019, 295, 165–171. [Google Scholar] [CrossRef] [PubMed]
- Nagarajan, J.; Wah Heng, W.; Galanakis, C.M.; Nagasundara Ramanan, R.; Raghunandan, M.E.; Sun, J.; Ismail, A.; Beng-Ti, T.; Prasad, K.N. Extraction of phytochemicals using hydrotropic solvents. Sep. Sci. Technol. 2016, 51, 1151–1165. [Google Scholar] [CrossRef]
- Nagarajan, J.; Krishnamurthy, N.P.; Nagasundara Ramanan, R.; Raghunandan, M.E.; Galanakis, C.M.; Ooi, C.W. A facile water-induced complexation of lycopene and pectin from pink guava byproduct: Extraction, characterization and kinetic studies. Food Chem. 2019, 296, 47–55. [Google Scholar] [CrossRef]
- López, N.; Delso, I.; Matute, D.; Lafuente, C.; Artal, M. Characterization of xylitol or citric acid:choline chloride:water mixtures: Structure, thermophysical properties, and quercetin solubility. Food Chem. 2020, 306, 125610. [Google Scholar] [CrossRef]
- Martins, M.A.R.; Pinho, S.P.; Coutinho, J.A.P. Insights into the nature of eutectic and deep eutectic mixtures. J. Solut. Chem. 2019, 48, 962–982. [Google Scholar] [CrossRef]
- Wei, Z.; Qi, X.; Li, T.; Luo, M.; Wang, W.; Zu, Y.; Fu, Y. Application of natural deep eutectic solvents for extraction and determination of phenolics in Cajanus cajan leaves by ultra performance liquid chromatography. Sep. Purif. Technol. 2015, 149, 237–244. [Google Scholar] [CrossRef]
- Cunha, S.C.; Fernandes, J.O. Extraction techniques with deep eutectic solvents. TrAC-Trends Anal. Chem. 2018, 105, 225–239. [Google Scholar] [CrossRef]
- Kachangoon, R.; Vichapong, J.; Santaladchaiyakit, Y.; Burakham, R.; Srijaranai, S. An eco-friendly hydrophobic deep eutectic solvent-based dispersive liquid-liquid microextraction for the determination of neonicotinoid insecticide residues in water, soil and egg yolk samples. Molecules 2020, 25, 2785. [Google Scholar] [CrossRef] [PubMed]
- Chakroun, D.; Grigorakis, S.; Loupassaki, S.; Makris, D.P. Enhanced-performance extraction of olive (Olea europaea) leaf polyphenols using L-lactic acid/ammonium acetate deep eutectic solvent combined with β-cyclodextrin: Screening, optimisation, temperature effects and stability. Biomass Convers. Biorefin. 2019, 1–12. [Google Scholar] [CrossRef]
- Skarpalezos, D.; Detsi, A. Deep eutectic solvents as extraction media for valuable flavonoids from natural sources. Appl. Sci. 2019, 9, 4169. [Google Scholar] [CrossRef]
- Saha, S.K.; Dey, S.; Chakraborty, R. Effect of choline chloride-oxalic acid based deep eutectic solvent on the ultrasonic assisted extraction of polyphenols from Aegle marmelos. J. Mol. Liq. 2019, 287, 110956. [Google Scholar] [CrossRef]
- Dai, Y.; Witkamp, G.J.; Verpoorte, R.; Choi, Y.H. Tailoring properties of natural deep eutectic solvents with water to facilitate their applications. Food Chem. 2015, 187, 14–19. [Google Scholar] [CrossRef]
- Liu, X.; Fu, N.; Zhang, Q.; Cai, S.; Wang, Q.; Han, D.; Tang, B. Green tailoring with water of choline chloride deep eutectic solvents for the extraction of polyphenols from palm samples. J. Chromatogr. Sci. 2019, 57, 272–278. [Google Scholar]
- Li, T.; Song, Y.; Li, J.; Zhang, M.; Shi, Y.; Fan, J. New low viscous hydrophobic deep eutectic solvents in vortex-assisted liquid-liquid microextraction for the determination of phthalate esters from food-contacted plastics. Food Chem. 2020, 309, 125752. [Google Scholar] [CrossRef]
- Vilková, M.; Justyna, P.; Andruch, V. The role of water in deep eutectic solvent-base extraction. J. Mol. Liq. 2019, 291, 111301. [Google Scholar] [CrossRef]
- Gabriele, F.; Chiarini, M.; Germani, R.; Tiecco, M.; Spreti, N. Effect of water addition on choline chloride/glycol deep eutectic solvents: Characterization of their structural and physicochemical properties. J. Mol. Liq. 2019, 291, 111301. [Google Scholar] [CrossRef]
- Ozturk, B.; Parkinson, C.; Gonzalez-Miquel, M. Extraction of polyphenolic antioxidants from orange peel waste using deep eutectic solvents. Sep. Purif. Technol. 2018, 206, 1–13. [Google Scholar] [CrossRef]
- Barbieri, J.B.; Goltz, C.; Batistão Cavalheiro, F.; Theodoro Toci, A.; Igarashi-Mafra, L.; Mafra, M.R. Deep eutectic solvents applied in the extraction and stabilization of rosemary (Rosmarinus officinalis L.) phenolic compounds. Ind. Crops Prod. 2020, 144, 112049. [Google Scholar] [CrossRef]
- Buldo, M.; Cicci, A.; Sed, G.; Sapone, V.; Bravi, M. Detoxification of olive mill wastewaters by liquid-liquid extraction with natural deep eutectic solvents. Chem. Eng. Trans. 2019, 74, 1495–1500. [Google Scholar]
- Athanasiadis, V.; Grigorakis, S.; Lalas, S.; Makris, D.P. Highly efficient extraction of antioxidant polyphenols from Olea europaea leaves using an eco-friendly glycerol/glycine deep eutectic solvent. Waste Biomass Valorization 2018, 9, 1985–1992. [Google Scholar] [CrossRef]
- Pal, C.B.T.; Jadeja, G.C. Microwave-assisted extraction for recovery of polyphenolic antioxidants from ripe mango (Mangifera indica L.) peel using lactic acid/sodium acetate deep eutectic mixtures. Food Sci. Technol. Int. 2020, 26, 78–92. [Google Scholar] [CrossRef]
- Lopez, A.; Iguaz, A.; Esnoz, A.; Virseda, P. Thin-layer drying behaviour of vegetable wastes from wholesale market. Dry. Technol. 2020, 18, 995–1006. [Google Scholar] [CrossRef]
- Pinela, J.; Prieto, M.A.; Pereira, E.; Jabeur, I.; Barreiro, M.F.; Barros, L.; Ferreira, I.C.F.R. Optimization of heat- and ultrasound-assisted extraction of anthocyanins from Hibiscus sabdariffa calyces for natural food colorants. Food Chem. 2019, 275, 309–321. [Google Scholar] [CrossRef]
- Daniel, D.L.; Huerta, B.E.B.; Sosa, I.A.; Mendoza, M.G.V. Effect of fixed bed drying on the retention of phenolic compounds, anthocyanins and antioxidant activity of roselle (Hibiscus sabdariffa L.). Ind. Crops Prod. 2012, 40, 268–276. [Google Scholar] [CrossRef]
- Kurtulbaş, E.; Pekel, A.G.; Bilgin, M.; Makris, D.P.; Şahin, S. Citric acid-based deep eutectic solvent for the anthocyanin recovery from Hibiscus sabdariffa through microwave-assisted extraction. Biomass Convers. Biorefin. 2020, 1–10. [Google Scholar] [CrossRef]
- Florindo, C.; Oliveira, F.S.; Rebelo, L.P.N.; Fernandes, A.M.; Marrucho, I.M. Insights into the synthesis and properties of deep eutectic solvents based on cholinium chloride and carboxylic acids. ACS Sustain. Chem. Eng. 2014, 2, 2416–2425. [Google Scholar] [CrossRef]
- Zannou, O.; Koca, I. Optimization and stabilization of the antioxidant properties from Alkanet (Alkanna tinctoria) with natural deep eutectic solvents. Arab. J. Chem. 2020, 13, 6437–6450. [Google Scholar] [CrossRef]
- Hammond, O.S.; Bowron, D.T.; Edler, K.J. The effect of water upon deep eutectic solvent nanostructure: An unusual transition from ionic mixture to aqueous solution. Angew. Chemie Int. Ed. 2017, 56, 9782–9785. [Google Scholar] [CrossRef] [PubMed]
- Dai, Y.; van Spronsen, J.; Witkamp, G.J.; Verpoorte, R.; Choi, Y.H. Natural deep eutectic solvents as new potential media for green technology. Anal. Chim. Acta. 2013, 766, 61–68. [Google Scholar] [CrossRef] [PubMed]
- Dai, Y.; Rozema, E.; Verpoorte, R.; Choi, Y.H. Application of natural deep eutectic solvents to the extraction of anthocyanins from Catharanthus roseus with high extractability and stability replacing conventional organic solvents. J. Chromatogr. A. 2016, 1434, 50–56. [Google Scholar] [CrossRef] [PubMed]
- Aroso, I.M.; Paiva, A.; Reis, R.L.; Duarte, A.R.C. Natural deep eutectic solvents from choline chloride and betainePhysicochemical properties. J. Mol. Liq. 2017, 241, 654–661. [Google Scholar] [CrossRef]
- Cvjetko Bubalo, M.; Ćurko, N.; Tomašević, M.; Kovačević Ganić, K.; Radojcic Redovnikovic, I. Green extraction of grape skin phenolics by using deep eutectic solvents. Food Chem. 2016, 200, 159–166. [Google Scholar] [CrossRef] [PubMed]
- Lakka, A.; Grigorakis, S.; Karageorgou, I.; Batra, G.; Kaltsa, O.; Bozinou, E.; Lalas, S.; Makris, D.P. Saffron processing wastes as a bioresource of high-value added compounds: Development of a green extraction process for polyphenol recovery using a natural deep eutectic solvent. Antioxidants 2019, 8, 586. [Google Scholar] [CrossRef]
- Dai, Y.; Verpoorte, R.; Choi, Y.H. Natural deep eutectic solvents providing enhanced stability of natural colorants from safflower (Carthamus tinctorius). Food Chem. 2014, 159, 116–121. [Google Scholar] [CrossRef]
- Liu, Y.; Li, J.; Fu, R.; Zhang, L.; Wang, D.; Wang, S. Enhanced extraction of natural pigments from Curcuma longa L. using natural deep eutectic solvents. Ind. Crops Prod. 2014, 140, 111620. [Google Scholar] [CrossRef]
- Wan Mahmood, W.M.A.; Lorwirachsutee, A.; Theodoropoulos, C.; Gonzalez-Miquel, M. Polyol-Based deep eutectic solvents for extraction of natural polyphenolic antioxidants from Chlorella vulgaris. ACS Sustain. Chem. Eng. 2019, 7, 5018–5026. [Google Scholar] [CrossRef]
- Zhou, P.; Wang, X.; Liu, P.; Huang, J.; Wang, C.; Pan, M.; Kuang, Z. Enhanced phenolic compounds extraction from Morus alba L. leaves by deep eutectic solvents combined with ultrasonic-assisted extraction. Ind. Crops Prod. 2018, 120, 147–154. [Google Scholar] [CrossRef]
- Shang, X.; Dou, Y.; Zhang, Y.; Tan, J.N.; Liu, X.; Zhang, Z. Tailor-made natural deep eutectic solvents for green extraction of isoflavones from chickpea (Cicer arietinum L.) sprouts. Ind. Crops Prod. 2019, 140, 111724. [Google Scholar] [CrossRef]
- Odabaş, H.I.; Koca, I. Application of response surface methodology for optimizing the recovery of phenolic compounds from hazelnut skin using different extraction methods. Ind. Crops Prod. 2016, 91, 114–124. [Google Scholar] [CrossRef]
- Vieira, V.; Prieto, M.A.; Barros, L.; Coutinho, J.A.P.; Ferreira, I.C.F.R.; Ferreira, O. Enhanced extraction of phenolic compounds using choline chloride based deep eutectic solvents from Juglans regia L. Ind. Crops Prod. 2018, 115, 261–271. [Google Scholar] [CrossRef]
- Obluchinskaya, E.D.; Daurtseva, A.V.; Pozharitskaya, O.N.; Flisyuk, E.V.; Shikov, A.N. Natural deep eutectic solvents as alternatives for extracting phlorotannins from brown algae. Pharm. Chem. J. 2019, 53, 243–247. [Google Scholar] [CrossRef]
- Balaraman, H.B.; Sivasubramaniyam, A.; Rathnasamy, S.K. High selective purification of Quercetin from Peanut hull using protic deep eutectic mixture based liquid–liquid microextraction. Microchem. J. 2020, 152, 104444. [Google Scholar] [CrossRef]
- Ji, Y.; Meng, Z.; Zhao, J.; Zhao, H.; Zhao, L. Eco-friendly ultrasonic assisted liquid-liquid microextraction method based on hydrophobic deep eutectic solvent for the determination of sulfonamides in fruit juices. J. Chromatogr. A 2020, 1609, 460520. [Google Scholar] [CrossRef]
- Heidari, H.; Ghanbari-rad, S.; Habibi, E. Optimization deep eutectic solvent-based ultrasound-assisted liquid-liquid microextraction by using the desirability function approach for extraction and preconcentration of organophosphorus pesticides from fruit. J. Food Compos. Anal. 2020, 87, 103389. [Google Scholar]
- Zhao, J.; Meng, Z.; Zhao, Z.; Zhao, L. Ultrasound-assisted deep eutectic solvent as green and e fficient media combined with functionalized magnetic multi-walled carbon nanotubes as solid-phase extraction to determine pesticide residues in food products. Food Chem. 2020, 310, 125863. [Google Scholar] [CrossRef]
- Galanakis, C.M. Phenols recovered from olive mill wastewater as additives in meat products. Trends Food Sci. Technol. 2018, 79, 98–105. [Google Scholar] [CrossRef]
- Galanakis, C.M.; Tsatalas, P.; Galanakis, I.M. Implementation of phenols recovered from olive mill wastewater as UV booster in cosmetics. Ind. Crops Prod. 2018, 111, 30–37. [Google Scholar] [CrossRef]
- Oancea, A.; Onofrei, C.; Turturica, M.; Bahrim, G.; Ra, G. The kinetics of thermal degradation of polyphenolic compounds from elderberry (Sambucus nigra L.) extract. Food Sci. Technol. Int. 2014, 24, 361–369. [Google Scholar] [CrossRef] [PubMed]
- Radu (Lupoae), D.; Râpeanu, G.; Bahrim, G.E.; Stănciuc, N. Investigations on thermal degradation of phytochemicals from lavender extract. Fascicle VI-Food Technol. 2019, 43, 33–47. [Google Scholar] [CrossRef]
- Olivares-tenorio, M.; Verkerk, R.; Van Boekel, M.A.J.S.; Dekker, M. Thermal stability of phytochemicals, HMF and antioxidant activity in cape gooseberry (Physalis peruviana L.). J. Funct. Foods. 2017, 32, 46–57. [Google Scholar] [CrossRef]
- Cissé, M.; Bohuon, P.; Sambe, F.; Kane, C.; Sakho, M.; Dornier, M. Aqueous extraction of anthocyanins from Hibiscus sabdariffa: Experimental kinetics and modeling. J. Food Eng. 2012, 109, 16–21. [Google Scholar] [CrossRef]
- Cissé, M.; Vaillant, F.; Acosta, O.; Dhuique-Mayer, C. Thermal degradation kinetics of anthocyanins from blood orange, blackberry, and roselle using the arrhenius, eyring, and ball models. J. Agric. Food Chem. 2009, 57, 6285–6291. [Google Scholar] [CrossRef]
- Ahmed, J.; Shivhare, U.S.; Raghavan, G.S.V. Thermal degradation kinetics of anthocyanin and visual colour of plum puree. Eur. Food Res. Technol. 2004, 218, 525–528. [Google Scholar] [CrossRef]
- Harbourne, N.; Jacquier, J.C.; Morgan, D.J.; Lyng, J.G. Determination of the degradation kinetics of anthocyanins in a model juice system using isothermal and non-isothermal methods. Food Chem. 2008, 111, 204–208. [Google Scholar] [CrossRef]
- Pal, C.B.T.; Jadeja, G.C. Deep eutectic solvent-based extraction of polyphenolic antioxidants from onion (Allium cepa L.) peel. J. Sci. Food Agric. 2019, 99, 1969–1979. [Google Scholar] [CrossRef]
- Fawole, O.A.; Opara, U.L.; Theron, K.I. Chemical and phytochemical properties and antioxidant activities of three pomegranate cultivars grown in South Africa. Food Bioprocess Technol. 2011, 5, 2934–2940. [Google Scholar] [CrossRef]
- Koca, I.; Karadeniz, B. Antioxidant properties of blackberry and blueberry fruits grown in the Black Sea Region of Turkey. Sci Hortic. 2009, 121, 447–450. [Google Scholar] [CrossRef]
- Wang, T.; Guo, N.; Wang, S.X.; Kou, P.; Zhao, C.J.; Fu, Y.J. Ultrasound-negative pressure cavitation extraction of phenolic compounds from blueberry leaves and evaluation of its DPPH radical scavenging activity. Food Bioprod. Process. 2018, 108, 69–80. [Google Scholar] [CrossRef]
- Tural, S.; Koca, I. Physico-chemical and antioxidant properties of cornelian cherry fruits (Cornus mas L.) grown in Turkey. Sci. Hortic. 2008, 116, 362–366. [Google Scholar] [CrossRef]
- Sathishkumar, R.S.; Sundaramanickam, A.; Srinath, R.; Ramesh, T.; Saranya, K.; Meena, M.; Surya, P. Green synthesis of silver nanoparticles by bloom forming marine microalgae Trichodesmium erythraeum and its applications in antioxidant, drug-resistant bacteria, and cytotoxicity activity. J. Saudi Chem. Soc. 2019, 23, 1180–1191. [Google Scholar] [CrossRef]
- Anna, V.S.; Damasceno, L.; Marczak, F.; Tessaro, I.C. Kinetic modeling of anthocyanin extraction from grape Marc. Food Bioprocess Technol. 2013, 6, 3473–3480. [Google Scholar]
Sample Availability: Samples of the compounds are available from the authors. |






| DES. | Water Content % | Molar Ratio | Molarity Ratio | Viscosity (mPa.s) |
|---|---|---|---|---|
| SAFA0 | 0 | 1:2 | - | 3651.60 ± 14.60a |
| SAFA20 | 20 | 1:2 | - | 61.60 ± 5.98b |
| SAFA40 | 40 | 1:2 | - | 17.36 ± 0.79c |
| SAFA60 | 60 | 1:2 | - | 10.81 ± 0.15c |
| SAFA80 | 80 | 1:2 | - | 7.66 ± 0.46c |
| SAFAm | - | - | 1:2 | 6.15 ± 1.27c |
| Solvents. | TPC, mg GAE/g | TFC, mg ECE/g | TACN, mg D3S/g | DPPH Radical Scavenging, mmol TE/g | FRAP, mmol ISE/g |
|---|---|---|---|---|---|
| SAFA0 | 6.95 ± 0.41d | 0.44 ± 0.07e | 0.13 ± 0.03e | 5.84 ± 0.93g | 58.99 ± 3.42c |
| SAFA20 | 141.30 ± 8.53c | 2.28 ± 0.13d | 3.93 ± 0.23d | 52.55 ± 5.78f | 435.61 ± 31.04a |
| SAFA40 | 198.49 ± 3.22b | 3.57 ± 0.38c | 5.27 ± 0.56c | 60.62 ± 20.11ef | 448.99 ± 57.01a |
| SAFA60 | 199.83 ± 10.54b | 3.71 ± 0.29c | 5.42 ± 0.91c | 82.22 ± 5.55de | 465.98 ± 29.16a |
| SAFA80 | 202.17 ± 4.37b | 3.75 ± 0.28c | 5.85 ± 0.29bc | 87.27 ± 6.80d | 484.06 ± 2.73a |
| SAFAm | 248.26 ± 26.99a | 10.42 ± 0.15a | 7.01 ± 0.04a | 372.34 ± 9.56a | 451.20 ± 1.58a |
| distilled water | 141.23 ± 17.96c | 2.09 ± 1.04d | 6.44 ± 0.20ab | 313.41 ± 13.91c | 391.91 ± 9.33b |
| 70% ethanol | 141.11 ± 24.14c | 8.55 ± 0.83b | 6.80 ± 0.68a | 354.97 ± 27.41ab | 450.86 ± 7.76a |
| 80% methanol | 139.83 ± 32.38c | 2.95 ± 0.19cd | 5.68 ± 0.46bc | 337.42 ± 15.40bc | 467.75 ± 21.76a |
| Run | Coded Values | Analytical Responses | ||||||
|---|---|---|---|---|---|---|---|---|
| X1 | X2 | X3 | Y1 | Y2 | Y3 | Y4 | Y5 | |
| 1 | 0 | +1 | −1 | 285.36 | 187.65 | 387.09 | 8.54 | 8.12 |
| 2 | 0 | 0 | 0 | 225.09 | 115.48 | 318.29 | 8.54 | 7.49 |
| 3 | −1 | 0 | −1 | 253.27 | 218.65 | 413.77 | 6.71 | 8.45 |
| 4 | 0 | +1 | +1 | 295.17 | 180.24 | 350.69 | 3.78 | 8.34 |
| 5 | 0 | 0 | 0 | 230.54 | 105.81 | 305.86 | 8.41 | 6.80 |
| 6 | 0 | 0 | 0 | 231.89 | 121.86 | 325.44 | 7.31 | 7.12 |
| 7 | +1 | −1 | 0 | 343.76 | 233.20 | 493.88 | 10.13 | 10.90 |
| 8 | +1 | +1 | 0 | 297.80 | 206.55 | 395.52 | 8.95 | 7.5 |
| 9 | 0 | −1 | +1 | 307.40 | 206.40 | 420.22 | 6.08 | 9.5 |
| 10 | 0 | −1 | −1 | 339.30 | 265.03 | 466.24 | 8.78 | 8.74 |
| 11 | 0 | 0 | 0 | 222.05 | 105.83 | 310.74 | 8.12 | 7.03 |
| 12 | +1 | 0 | +1 | 255.15 | 213.36 | 371.96 | 4.41 | 8.46 |
| 13 | −1 | −1 | 0 | 276.96 | 211.34 | 396.57 | 9.01 | 8.49 |
| 14 | 0 | 0 | 0 | 230.54 | 205.30 | 315.35 | 7.56 | 6.50 |
| 15 | +1 | 0 | −1 | 327.05 | 127.11 | 423.06 | 9.02 | 8.5 |
| 16 | −1 | 0 | +1 | 279.46 | 177.04 | 339.79 | 4.37 | 8.30 |
| 17 | −1 | +1 | 0 | 280.89 | 180.32 | 398.58 | 7.34 | 8.50 |
| TPC | TFC | TACN | DPPH Radical Scavenging | FRAP | |||||||||||
|---|---|---|---|---|---|---|---|---|---|---|---|---|---|---|---|
| SS | F-Value | p-Value | SS | F-Value | p-Value | SS | F-Value | p-Value | SS | F-Value | p-Value | SS | F-value | p-Value | |
| model | 41,224.33 | 63.93 | <0.0001 | 57.49 | 30.84 | <0.0001 | 16.54 | 21.77 | 0.0003 | 25,303.24 | 56.28 | <0.0001 | 48,608,31 | 32.78 | <0.0001 |
| X1 | 526.91 | 7.35 | 0.0301 | - | - | - | 2.07 | 24.51 | 0.0017 | 1919.57 | 38.42 | 0.0004 | - | - | - |
| X2 | 10,419.57 | 145.42 | <0.0001 | - | - | - | 3.15 | 37.30 | 0.0005 | 10,107.63 | 202.33 | <0.0001 | 13,644.21 | 82.80 | <0.0001 |
| X3 | 10,289.55 | 143.61 | <0.0001 | 20.17 | 97.35 | <0.0001 | 0.7286 | 8.63 | 0.0218 | 3544.30 | 70.95 | <0.0001 | 2683.79 | 16.29 | 0.0050 |
| X12 | - | - | - | - | - | - | 3.28 | 38.80 | 0.0004 | 625.00 | 12.51 | 0.0095 | 2500.00 | 15.17 | 0.0059 |
| X13 | - | - | - | 2.25 | 10.86 | 0.0132 | - | - | - | 2401.00 | 48.06 | 0.0002 | - | - | - |
| X23 | 676.00 | 9.43 | 0.0180 | 2.25 | 10.86 | 0.0132 | - | - | - | 441.00 | 8.83 | 0.0208 | - | - | - |
| X11 | 9812.53 | 136.95 | <0.0001 | - | - | - | 2.20 | 26.03 | 0.0014 | 1982.69 | 39.69 | 0.0004 | 7903.39 | 47.96 | 0.0002 |
| X22 | 10,119.79 | 141.24 | <0.0001 | 2.06 | 9.96 | 0.0160 | 4.84 | 57.35 | 0.0001 | 10,400.38 | 208.19 | <0.0001 | 16,486.87 | 100.05 | <0.0001 |
| X33 | 10,642.42 | 148.53 | <0.0001 | 17.69 | 85.42 | <0.0001 | 1.61 | 19.01 | 0.0033 | 3590.06 | 71.86 | <0.0001 | 3438.02 | 20.86 | 0.0026 |
| residual | 501.55 | 1.45 | 0.59 | 349.70 | 1153.45 | ||||||||||
| lack of fit | 280.75 | 1.70 | 0.3046 | 0.25 | 0.28 | 0.84 | 0.40 | 2.77 | 0.17 | 288.50 | 6.29 | 0.0540 | 920.25 | 5.26 | 0.0713 |
| total | 41,725.88 | 58.94 | 17.13 | 25,652.94 | 49,761.76 | ||||||||||
| R2 | 0.9880 | 0.9754 | 0.9655 | 0.9864 | 0.9768 | ||||||||||
| adjusted R2 | 0.9725 | 0.9438 | 0.9211 | 0.9688 | 0.9470 | ||||||||||
| predicted R2 | 0.8841 | 0.9003 | 0.6098 | 0.8163 | 0.6968 | ||||||||||
| adequate precision | 22.75 | 20.41 | 15.84 | 21.06 | 18.13 | ||||||||||
| C.V. % | 4.71 | 6.45 | 3.63 | 2.57 | 3.40 | ||||||||||
| Time (min) | K | Ea (kJ/mol) | |||
|---|---|---|---|---|---|
| 40 °C | 60 °C | 80 °C | 100 °C | ||
| 20 | 2.39 × 10−5 ± 3.73 × 10−5f | 11.92 × 10−5 ± 6.32 × 10−5d | 9.00 × 10−5 ± 0.94 × 10−5de | 49.96 × 10−5 ± 5.52 × 10−5a | 49.23 ± 16.46a |
| 40 | 2.58 × 10−5 ± 1.20 × 10−5f | 6.48 × 10−5 ± 0.39 × 10−5ef | 5.05 × 10−5 ± 4.63 × 10−5ef | 33.82 × 10−5 ± 0.65 × 10−5c | 41.72 ± 7.16a |
| 60 | 3.42 × 10−5 ± 0.78 × 10−5f | 5.05 × 10−5 ± 0.70 × 10−5ef | 6.20 × 10−5 ± 1.48 × 10−5ef | 33.68 × 10−5 ± 4.40 × 10−5c | 37.07 ± 2.11a |
| 80 | 3.39 × 10−5 ± 0.72 × 10−5f | 4.63 × 10−5 ± 2.21 × 10−5ef | 7.14 × 10−5 ± 1.01 × 10−5def | 32.79 × 10−5 ± 2.31 × 10−5c | 36.78 ± 2.35a |
| 100 | 3.12 × 10−5 ± 0.78 × 10−5f | 6.67 × 10−5 ± 1.27 × 10−5ef | 7.56 × 10−5 ± 1.45 × 10−5def | 41.66 × 10−5 ± 2.88 × 10−5b | 41.97 ± 4.60a |
| Temperature (°C) | 3 Days | 6 Days | 9 Days | 12 Days | 15 Days | 18 Days | ||||||
|---|---|---|---|---|---|---|---|---|---|---|---|---|
| k | t1/2 | k | t1/2 | k | t1/2 | k | t1/2 | K | t1/2 | k | t1/2 | |
| 20 | 4.34 × 10−7 ± 5.34 × 10−8a | 1.61 × 106 ± 1.92 × 105b | 7.41 × 10−7 ± 3.29 × 10−8a | 0.94 × 106 ± 0.43 × 105c | 4.59 × 10−7 ± 1.55 × 10−8a | 1.51 × 106 ± 0.50 × 105b | 4.34 × 10−7 ± 1.22 × 10−8a | 1.60 × 106 ± 0.45 × 105c | 3.95 × 10−7 ± 3.01 × 10−9a | 1.87 × 106 ± 1.75 × 105b | 2.73 × 10−7 ± 1.72 × 10−8a | 2.31 × 106 ± 2.54 × 105b |
| 4 | 2.63 × 10−7 ± 0.96 × 10−8b | 2.63 × 106 ± 0.98 × 105a | 3.31 × 10−7 ± 2.82 × 10−8b | 1.11 × 106 ± 1.85 × 105b | 1.51 × 10−7 ± 2.82 × 10−8b | 4.65 × 106 ± 5.34 × 105a | 2.00 × 10−7 ± 7.31 × 10−9b | 3.47 × 106 ± 1.28 × 105b | 1.65 × 10−7 ± 2.14 × 10−8b | 4.25 × 106 ± 5.72 × 105a | 1.47 × 10−7 ± 2.34 × 10−8b | 4.49 × 106 ± 8.12 × 105a |
| −20 | 2.52 × 10−7 ± 3.33 × 10−8b | 2.78 × 106 ± 3.69 × 105a | 2.38 × 10−7 ± 3.52 × 10−8c | 2.96 × 106 ± 4.43 × 105a | 1.29 × 10−7 ± 1.15 × 10−8b | 5.39 × 106 ± 0.81 × 105a | 1.41 × 10−7 ± 2.72 × 10−8c | 5.05 × 106 ± 10.91 × 105a | 1.57 × 10−7 ± 1.01 × 10−8b | 4.42 × 106 ± 2.92 × 105a | 1.38 × 10−7 ± 1.01 × 10−8b | 5.06 × 106 ± 3.55 × 105a |
| Coded Values | Actual Values | ||
|---|---|---|---|
| X1 | X2 | X3 | |
| −1 | 1:1 | 0 | 10 |
| 0 | 1:2.5 | 30 | 25 |
| +1 | 1:4 | 60 | 40 |
© 2020 by the authors. Licensee MDPI, Basel, Switzerland. This article is an open access article distributed under the terms and conditions of the Creative Commons Attribution (CC BY) license (http://creativecommons.org/licenses/by/4.0/).
Share and Cite
Zannou, O.; Koca, I.; Aldawoud, T.M.S.; Galanakis, C.M. Recovery and Stabilization of Anthocyanins and Phenolic Antioxidants of Roselle (Hibiscus sabdariffa L.) with Hydrophilic Deep Eutectic Solvents. Molecules 2020, 25, 3715. https://doi.org/10.3390/molecules25163715
Zannou O, Koca I, Aldawoud TMS, Galanakis CM. Recovery and Stabilization of Anthocyanins and Phenolic Antioxidants of Roselle (Hibiscus sabdariffa L.) with Hydrophilic Deep Eutectic Solvents. Molecules. 2020; 25(16):3715. https://doi.org/10.3390/molecules25163715
Chicago/Turabian StyleZannou, Oscar, Ilkay Koca, Turki M. S. Aldawoud, and Charis M. Galanakis. 2020. "Recovery and Stabilization of Anthocyanins and Phenolic Antioxidants of Roselle (Hibiscus sabdariffa L.) with Hydrophilic Deep Eutectic Solvents" Molecules 25, no. 16: 3715. https://doi.org/10.3390/molecules25163715
APA StyleZannou, O., Koca, I., Aldawoud, T. M. S., & Galanakis, C. M. (2020). Recovery and Stabilization of Anthocyanins and Phenolic Antioxidants of Roselle (Hibiscus sabdariffa L.) with Hydrophilic Deep Eutectic Solvents. Molecules, 25(16), 3715. https://doi.org/10.3390/molecules25163715

