Supramolecular Interactions in Hybrid Polylactide Blends—The Structures, Mechanisms and Properties
Abstract
1. Introduction
2. Organic Nucleators
2.1. Arylamide Nucleators
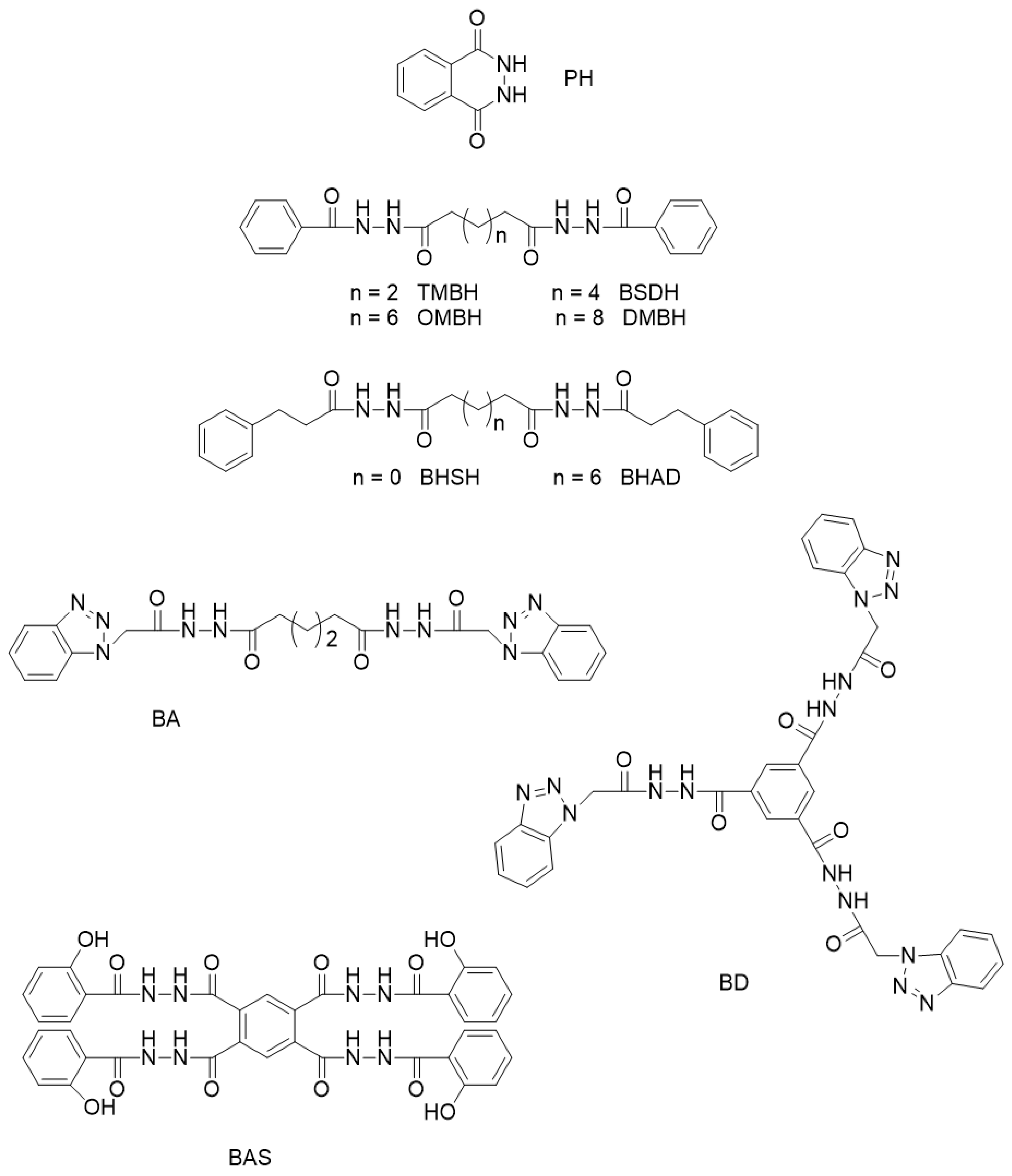
2.2. Hydrazide Nucleators
2.3. PLA/Orotic Acid Blends
2.4. PLA/Sorbitol Blends
2.5. PLA/Humic Substances
3. PLA/Nanocellulose Composites
4. PLA Composites with Cyclodextrins
4.1. PLA/α-Cyclodextrins
4.2. PLA/β-Cyclodextrins
4.3. PLA/γ-Cyclodextrins
5. Conclusions
Author Contributions
Funding
Conflicts of Interest
References
- Gross, R.A.; Kalra, B. Biodegradable polymers for the environment. Science 2002, 297, 803–807. [Google Scholar] [CrossRef] [PubMed]
- Nair, L.S.; Laurencin, C.T. Biodegradable polymers as biomaterials. Progr. Polym. Sci. 2007, 32, 762–798. [Google Scholar] [CrossRef]
- Lasprilla, A.J.R.; Martinez, G.A.R.; Lunelli, B.H.; Jardini, A.L.; Maciel Filho, R. Poly-lactic acid synthesis for application in biomedical devices—A review. Biotechn. Adv. 2012, 30, 321–328. [Google Scholar] [CrossRef] [PubMed]
- Tyler, B.; Gullotti, D.; Mangraviti, A.; Utsuki, T.; Brem, H. Polylactic acid (PLA) controlled delivery carriers for biomedical applications. Adv. Drug Deliv. Rev. 2016, 107, 163–175. [Google Scholar] [CrossRef] [PubMed]
- Poh, P.S.P.; Chhaya, M.P.; Wunner, F.M.; De-Juan-Pardo, E.M.; Schilling, A.F.; Schantz, J.-T.; van Griensven, M.; Hutmacher, D.W. Polylactides in additive biomanufacturing. Adv. Dru Deliv. Rev. 2016, 107, 228–246. [Google Scholar] [CrossRef] [PubMed]
- Saeidlou, S.; Huneault, M.A.; Li, H.; Park, C.B. Poly(lactic acid) crystallization. Progr. Polym. Sci. 2012, 37, 1657–1677. [Google Scholar] [CrossRef]
- Liu, G.; Zhang, X.; Wang, D. Tailoring crystallization: Towards high-performance poly(lactic acid). Adv. Mater. 2014, 26, 6905–6911. [Google Scholar] [CrossRef]
- Lan, Q.; Li, Y. Mesophase-Mediated Crystallization of Poly(l-lactide): Deterministic pathways to nanostructured morphology and superstructure control. Macromolecules 2016, 49, 7387–7399. [Google Scholar] [CrossRef]
- Paspali, A.; Bao, Y.; Gawne, D.T.; Piestert, F.; Reinelt, S. The influence of nanostructure on the mechanical properties of 3D printed polylactide/nanoclay composites. Compos. B Eng. 2018, 152, 160–168. [Google Scholar] [CrossRef]
- Mihai, M.; Ton-That, M.-T. Novel bio-nanocomposite hybrids made from polylactide/nanoclay nanocomposites and short flax fibers. J. Compos. Mater. 2019, 32, 3–28. [Google Scholar] [CrossRef]
- Rojas-Lema, S.; Quiles-Carrillo, L.; Garcia-Garcia, D.; Melendez-Rodriguez, B.; Balart, R.; Torres-Giner, S. Tailoring the properties of thermo-compressed polylactide films for food packaging applications by individual and combined additions of lactic acid oligomer and halloysite nanotubes. Molecules 2020, 25, 1976. [Google Scholar] [CrossRef]
- Odent, J.; Raquez, J.-M.; Thomassin, J.-M.; Gloaguen, J.-M.; Lauro, F.; Jérôme, C.; Lefebvre, J.-M.; Dubois, P. Mechanistic insights on nanosilica self-networking inducing ultra-toughness of rubber-modified polylactide-based materials. Nanocomposites 2015, 1, 113–125. [Google Scholar] [CrossRef]
- Hao, X.; Kaschta, J.; Schubert, D.W. Viscous and elastic properties of polylactide melts filled with silica particles: Effect of particle size and concentration. Composites B Eng 2016, 89, 44–53. [Google Scholar] [CrossRef]
- Lee, J.H.; Park, S.H.; Kim, S.H.; Ito, H. Replication and surface properties of micro injection molded PLA/MWCNT nanocomposites. Polym. Test. 2020, 83, 106321. [Google Scholar] [CrossRef]
- He, S.; Bai, H.; Bai, D.; Ju, Y.; Zhang, Q.; Fu, Q. A promising strategy for fabricating high-performance stereocomplex-type polylactide products via carbon nanotubes-assisted low-temperature sintering. Polymer 2019, 162, 50–57. [Google Scholar] [CrossRef]
- Prasitnok, K.; In-noi, O. Functionalized graphenes as nanofillers for polylactide: Molecular dynamics simulation study. Polym. Composites 2020, 41, 294–305. [Google Scholar] [CrossRef]
- Tsui, H. Poly(lactide) stereocomplexes: Formation, structure, properties, degradation, and applications. Macromol. Biosci. 2005, 5, 569–597. [Google Scholar]
- Tsuji, H. Poly(lactic acid) stereocomplexes: A decade of progress. Adv. Drug Deliv. Rev. 2016, 107, 97–135. [Google Scholar] [CrossRef]
- Jiang, L.; Shen, T.; Xu, P.; Zhao, X.; Li, X.; Dong, W.; Ma, P.; Chen, M. Crystallization modification of poly(lactide) by using nucleating agents and stereocomplexation. e-Polymers 2016, 16, 1–13. [Google Scholar] [CrossRef]
- Michalski, A.; Makowski, T.; Biedroń, T.; Brzeziński, M.; Biela, T. Controlling polylactide stereocomplex (sc-PLA) self-assembly: From microspheres to nanoparticles. Polymer 2016, 90, 242–248. [Google Scholar] [CrossRef]
- Yang, C.-F.; Huang, Y.-F.; Ruan, J.; Su, A.-C. Extensive development of precursory helical pairs prior to formation of stereocomplex crystals in racemic polylactide melt mixture. Macromolecules 2012, 45, 872–878. [Google Scholar] [CrossRef]
- Carbone, M.J.; Vanhalle, M.; Goderis, B.; Van Puyvelde, P. Amino acids and poly(amino acids) as nucleating agents for poly(lactic acid). J. Polym. Eng. 2015, 35, 169–180. [Google Scholar] [CrossRef]
- Zhou, Y.; Lei, L.; Yang, B.; Li, J.; Ren, J. Preparation and characterization of polylactic acid (PLA) carbon nanotube nanocomposites. Polym. Test. 2018, 68, 34–38. [Google Scholar] [CrossRef]
- He, D.; Wang, Y.; Shao, C.; Zheng, G.; Li, Q.; Shen, C. Effect of phthalimide as an efficient nucleating agent on the crystallization kinetics of poly(lactic acid). Polym. Test. 2013, 32, 1088–1093. [Google Scholar] [CrossRef]
- Xu, Y.; Wu, L. Synthesis of organic bisurea compounds and their roles as crystallization nucleating agents of poly(L-lactic acid). Eur. Polym. J. 2013, 49, 865–872. [Google Scholar] [CrossRef]
- Zheng, X.; Luo, H.; Chen, S.; Zhang, B.; Sun, B.; Zhu, M.-F.; Zhang, B.; Ren, X.-K.; Song, J. Conformation variation induced crystallization enhancement of poly(l-lactic acid) by gluconic derivatives. Cryst. Growth Des. 2020, 20, 653–660. [Google Scholar] [CrossRef]
- Herc, A.S.; Lewiński, P.; Kaźmierski, S.; Bojda, J.; Kowalewska, A. Hybrid SC-polylactide/poly(silsesquioxane) blends of improved thermal stability. Thermochim. Acta 2020, 687, 178592. [Google Scholar] [CrossRef]
- Herc, A.S.; Bojda, J.; Nowacka, M.; Lewiński, P.; Maniukiewicz, W.; Piórkowska, E.; Kowalewska, A. Crystallization, structure and properties of polylactide/ladder poly(silsesquioxane) blends. Polymer 2020, 201, 122563. [Google Scholar] [CrossRef]
- Kowalewska, A.; Herc, A.S.; Bojda, J.; Palusiak, M.; Markiewicz, E.; Ławniczak, P.; Nowacka, M.; Sołtysiak, J.; Różański, A.; Piórkowska, E. Supramolecular interactions involving fluoroaryl groups in hybrid blends of laddder polysilsesquioxanes and polylactide. Polymer Testing. (under review).
- Herc, A.S.; Włodarska, M.; Nowacka, M.; Bojda, J.; Szymański, W.; Kowalewska, A. Supramolecular interactions between polylactide and model cyclosiloxanes with hydrogen bonding-capable functional groups. eXPRESS Polym. Lett. 2020, 14, 134–153. [Google Scholar] [CrossRef]
- Nam, J.Y.; Okamoto, M.; Okamoto, H.; Nakano, M.; Usuki, A.; Matsuda, M. Morphology and crystallization kinetics in a mixture of low-molecular weight aliphatic amide and polylactide. Polymer 2006, 47, 1340. [Google Scholar] [CrossRef]
- Li, J.; Chen, D.; Gui, B.; Gu, M.; Ren, J. Crystallization morphology and crystallization kinetics of poly(lactic acid): Effect of N-aminophthalimide as nucleating agent. Polym. Bull. 2011, 67, 775. [Google Scholar] [CrossRef]
- Kawamoto, N.; Sakai, A.; Horikoshi, T.; Urushihara, T.; Tobita, E. Nucleating agent for poly(Llactide)—An optimization of chemical structure of hydrazide compound for advanced nucleation ability. J. Appl. Polym. Sci. 2007, 103, 198. [Google Scholar] [CrossRef]
- Nakajima, H.; Takahashi, M.; Kimura, Y. Induced Crystallization of PLLA in the presence of 1,3,5-benzenetricarboxylamide derivatives as nucleators: Preparation of haze-free crystalline PLLA materials. Macromol. Mater. Eng. 2010, 295, 460. [Google Scholar] [CrossRef]
- Song, P.; Wei, Z.; Liang, J.; Chen, G.; Zhang, W. Crystallization behavior and nucleation analysis of poly(L-lactic acid) with a multiamide nucleating agent. Polym. Eng. Sci. 2012, 52, 1058–1068. [Google Scholar] [CrossRef]
- Xu, T.; Wang, Y.; Han, Q.; He, D.; Li, D.; Shen, C. Nonisothermal Crystallization Kinetics of Poly(lactic acid) Nucleated with a Multiamide Nucleating Agent. J. Macromol. Sci. B 2014, 53, 1680–1694. [Google Scholar] [CrossRef]
- Bai, H.; Zhang, W.; Deng, H.; Zhang, Q.; Fu, Q. Control of crystal morphology in poly(L-lactide) by adding nucleating agent. Macromolecules 2011, 44, 1233–1237. [Google Scholar] [CrossRef]
- Zhang, H.; Wang, S.; Zhang, S.; Ma, R.; Wang, Y.; Cao, W.; Liu, C.; Shena, C. Crystallization behavior of poly(lactic acid) with a self-assembly aryl amide nucleating agent probed by real-time infrared spectroscopy and X-ray diffraction. Polym. Test. 2017, 64, 12–19. [Google Scholar] [CrossRef]
- Kong, W.; Zhu, B.; Su, F.; Wang, Z.; Shao, C.; Wang, Y.; Liu, C.; Shen, C. Melting temperature, concentration and cooling rate-dependent nucleating ability of a self-assembly aryl amide nucleator on poly(lactic acid) crystallization. Polymer 2019, 168, 77–85. [Google Scholar] [CrossRef]
- Kong, W.; Tong, B.; Ye, A.; Ma, R.; Gou, J.; Wang, Y.; Liu, C.; Shen, C. Crystallization behavior and mechanical properties of poly(lactic acid)/poly(ethylene oxide) blends nucleated by a self-assembly nucleator. J. Therm. Anal. Calorim. 2019, 135, 3107–3114. [Google Scholar] [CrossRef]
- Leoneé, N.; Roy, M.; Saidi, S.; de Kort, G.; Hermida-Merino, D.; Wilsens, C.H.R. Improving processing, crystallization, and performance of poly-L-lactide with an amide-based organic compound as both plasticizer and nucleating agent. ACS Omega 2019, 4, 10376–10387. [Google Scholar]
- Wang, Y.; He, D.; Wang, X.; Cao, W.; Li, Q.; Shen, C. Crystallization of poly(lactic acid) enhanced by phthalhydrazide as nucleating agent. Polym. Bull. 2013, 70, 2911–2922. [Google Scholar] [CrossRef]
- Xu, T.; Zhang, A.; Zhao, Y.; Han, Z.; Xue, L. Crystallization kinetics and morphology of biodegradable poly(lactic acid) with a hydrazide nucleating agent. Polym. Test. 2015, 45, 101–106. [Google Scholar] [CrossRef]
- Cai, Y.; Yan, S.; Yin, J.; Fan, Y.; Chen, X. Crystallization behavior of biodegradable poly(L-lactic acid) filled with a powerful nucleating agent: N,N’-bis(benzoyl) suberic acid dihydrazide. J. Appl. Polym. Sci. 2011, 121, 1408–1416. [Google Scholar] [CrossRef]
- Zhen, Z.; Xing, Q.; Li, R.; Dong, X. Crystallization behavior of polylactide nucleated by octamethylenedicarboxylic di(2-hydroxybenzohydrazide): Solubility influence. Acta 2020, 683, 178447. [Google Scholar] [CrossRef]
- Li, C.; Luo, S.; Wang, J.; Wu, H.; Guo, S.; Zhang, X. Conformational regulation and crystalline manipulation of PLLA through a self-assembly nucleator. Biomacromolecules 2017, 18, 1440–1448. [Google Scholar] [CrossRef]
- Zhao, L.-S.; Cai, Y.-H. Investigating the physical properties of poly(L-lactic acid) modified using an aromatics succinic dihydrazide derivative. Polym. Sci. Ser. A 2018, 60, 777–787. [Google Scholar] [CrossRef]
- Zhao, L.-S.; Cai, Y.-H.; Liu, H.-L. N,N′-sebacic bis(hydrocinnamic acid) dihydrazide: A crystallization accelerator for poly(L-lactic acid). e-Polymers 2019, 19, 141–153. [Google Scholar] [CrossRef]
- Cai, Y.-H.; Zhang, Y.-H.; Zhao, L.-S. Role of N,N’-bis(1H-benzotriazole) adipic acid acethydrazide in crystallization nucleating effect and melting behavior of poly(L-lactic acid). J. Polym. Res. 2015, 22, 246. [Google Scholar] [CrossRef]
- Cai, Y.-H.; Tang, Y.; Zhao, L.-S. Poly(L-lactic acid) with the organic nucleating agent N,N,N’-tris(1H-benzotriazole) trimesinic acid acethydrazide: Crystallization and melting behaviour. J. Appl. Polym. Sci. 2015, 132, 42402. [Google Scholar] [CrossRef]
- Zhao, L.-S.; Cai, Y.-H.; Liu, H.-L. Physical properties of Poly(L-lactic acid) fabricated using salicylic hydrazide derivative with tetraamide structure. Polym.-Plast. Technol. Mater. 2020, 59, 117–129. [Google Scholar] [CrossRef]
- Liu, J.-H.; Cai, J.-H.; Tang, X.-H.; Weng, Y.-X.; Wang, M. Achieving highly crystalline rate and crystallinity in Poly(L-lactide) via in-situ melting reaction with diisocyanate and benzohydrazine to form nucleating agents. Polym. Test. 2020, 81, 106216. [Google Scholar] [CrossRef]
- Brown, D.J. Chapter 2.13; Pyrimidines and their Benzo Derivatives. In Comprehensive Heterocyclic Chemistry; Katritzky, A.R., Rees, C.W., Eds.; Elsevier Science Ltd.: Oxford, UK, 1984; Volume 3, pp. 57–155. [Google Scholar]
- West, T.P.; Chunduru, J.; Murahari, E.C. Orotic acid: Why it is important to understand its role in metabolism. Biochem. Physiol. 2017, 6, 1000e157. [Google Scholar] [CrossRef]
- Qiu, Z.; Li, Z. Effect of orotic acid on the crystallization kinetics and morphology of biodegradable poly(L-lactide) as an efficient nucleating agent. Ind. Eng. Chem. Res. 2011, 50, 12299–12303. [Google Scholar] [CrossRef]
- Song, P.; Sang, L.; Zheng, L.; Wang, C.; Liu, K.; Wei, Z. Insight into the role of bound water of a nucleating agent in polymer nucleation: A comparative study of anhydrous and monohydrated orotic acid on crystallization of poly(L-lactic acid). RSC Adv. 2017, 7, 27150–27161. [Google Scholar] [CrossRef]
- Salač, J.; Šerá, J.; Jurča, M.; Verney, V.; Marek, A.A.; Koutný, M. Photodegradation and biodegradation of poly(lactic) acid containing orotic acid as a nucleation agent. Materials 2019, 12, 481. [Google Scholar] [CrossRef]
- Okesola, B.; Vieira, V.M.P.; Cornwell, D.J.; Whitelaw, N.K.; Smith, D.K. 1,3:2,4-Dibenzylidene-D-sorbitol (DBS) and its derivatives—Efficient, versatile and industrially relevant low-molecular-weight gelators with over 100 years of history and a bright future. Soft Matter 2015, 11, 4768–4787. [Google Scholar] [CrossRef]
- Lai, W.-C. Thermal behavior and crystal structure of poly(L-lactic acid) with 1,3:2,4-dibenzylidene-D-sorbitol. J. Phys. Chem. B 2011, 115, 11029–11037. [Google Scholar] [CrossRef]
- Lai, W.-C.; Liao, J.-P. Nucleation and crystal growth kinetics of poly(L-lactic acid) with self-assembled DBS nanofibrils. Mater. Chem. Phys. 2013, 139, 161–168. [Google Scholar] [CrossRef]
- Lai, W.-C.; Lee, Y.-C. Effects of self-assembled sorbitol-derived compounds on the structures and properties of biodegradable poly(L-lactic acid) prepared by melt blending. J. Polym. Res. 2019, 26, 10. [Google Scholar] [CrossRef]
- You, J.; Yu, W.; Zhou, C. Accelerated crystallization of poly(lactic acid): Synergistic effect of poly(ethylene glycol), dibenzylidene sorbitol, and long-chain branching. Ind. Eng. Chem. Res. 2014, 53, 1097–1107. [Google Scholar] [CrossRef]
- Petchwattana, N.; Naknaen, P.; Sanetuntikul, J.; Narupai, B. Crystallisation behaviour and transparency of poly(lactic acid) nucleated with dimethylbenzylidene sorbitol. Plast. Rubber Compos. 2018, 47, 147–155. [Google Scholar] [CrossRef]
- Sun, C.; Li, C.; Tan, H.; Zhang, Y. Enhancing the durability of poly(lactic acid) composites by nucleated modification. Polym. Int. 2019, 68, 1450–1459. [Google Scholar] [CrossRef]
- De Melo, B.A.G.; Motta, F.L.; Santana, M.H.A. Humic acids: Structural properties and multiple functionalities for novel technological developments. Mat. Sci. Eng. 2016, C62, 967–974. [Google Scholar] [CrossRef]
- Bishai, M.; De, S.; Adhikari, B.; Banerjee, R. A comprehensive study on enhanced characteristics of modified polylactic acid based versatile biopolymer. Eur. Polym. J. 2014, 54, 52–61. [Google Scholar] [CrossRef]
- Xu, X.; Zhen, W.; Bian, S. Structure, performance and crystallization behavior of poly (lactic acid)/humic acid amide composites. Polym.-Plast. Technol. Eng. 2018, 57, 1858–1872. [Google Scholar] [CrossRef]
- Xu, X.; Zhen, W. Preparation, performance and non-isothermal crystallization kinetics of poly(lactic acid)/amidated humic acid composites. Polym. Bull. 2018, 75, 3753–3780. [Google Scholar] [CrossRef]
- Liu, P.; Zhen, W. Structure-property relationship, rheological behavior, and thermal degradability of poly(lactic acid)/fulvic acid amide composites. Polym. Adv. Technol. 2018, 29, 2192–2203. [Google Scholar] [CrossRef]
- Liu, P.; Zhen, W.; Bian, S.; Wang, X. Preparation and performance of poly(lactic acid)/fulvic acid benzhydrazide composites. Adv. Polym. Technol. 2018, 37, 2788–2798. [Google Scholar] [CrossRef]
- Zhang, H.; Zhen, W. Performance, rheological behavior and enzymatic degradation of poly (lactic acid)/modified fulvic acid composites. Int. J. Biol. Macromol. 2019, 139, 181–190. [Google Scholar] [CrossRef]
- Duan, K.; Zhen, W. The synthesis of poly (lactic acid)-fulvic acid graft polymer and its effect on the crystallization and performance of poly (lactic acid). Polym.-Plast. Technol. Mater 2019, 58, 1875–1888. [Google Scholar] [CrossRef]
- Abitbol, T.; Rivkin, A.; Cao, Y.; Nevo, Y.; Abraham, E.; Ben-Shalom, T.; Lapidot, S.; Shoseyov, O. Nanocellulose, a tiny fiber with huge applications. Curr. Opin. Biotechnol. 2016, 39, 76–88. [Google Scholar] [CrossRef] [PubMed]
- Mokhena, T.C.; Sefadi, J.S.; Sadiku, E.R.; John, M.J.; Mochane, M.J.; Mtibe, A. Thermoplastic processing of PLA/cellulose nanomaterials composites. Polymers 2018, 10, 1363. [Google Scholar] [CrossRef] [PubMed]
- Kian, L.K.; Saba, N.; Jawaid, M.; Sultan, M.T.H. A review on processing techniques of bast fibers nanocellulose and its polylactic acid (PLA) nanocomposites. Int. J. Biol. Macromol. 2019, 121, 1314–1328. [Google Scholar] [CrossRef]
- Vatansever, E.; Arslan, D.; Nofar, M. Polylactide cellulose-based nanocomposites. Int. J. Biol. Macromol. 2019, 137, 912–938. [Google Scholar] [CrossRef]
- Scaffaro, R.; Botta, L.; Lopresti, F.; Maio, A.; Sutera, F. Polysaccharide nanocrystals as fillers for PLA based nanocomposites. Cellulose 2017, 24, 447–478. [Google Scholar] [CrossRef]
- Ren, Z.; Guo, R.; Bi, H.; Jia, X.; Xu, M.; Cai, L. Interfacial adhesion of polylactic acid on cellulose surface: A molecular dynamics study. ACS Appl. Mater. Interfaces 2020, 12, 3236–3244. [Google Scholar] [CrossRef]
- Geng, S.; Wloch, D.; Herrera, N.; Oksman, K. Large-scale manufacturing of ultra-strong, strain-responsive poly(lactic acid)-based nanocomposites reinforced with cellulose nanocrystals. Compos. Sci. Technol. 2020, 194, 108144. [Google Scholar] [CrossRef]
- Qian, S.; Sheng, K.; Yu, K.; Xu, L.; Lopez, C.A.F. Improved properties of PLA biocomposites toughened with bamboo cellulose nanowhiskers through silane modification. J. Mater. Sci. 2018, 53, 10920–10932. [Google Scholar] [CrossRef]
- Ma, Y.; Qian, S.; Hu, L.; Qian, J.; Lopez, C.A.F.; Xu, L. Mechanical, thermal, and morphological properties of pla biocomposites toughened with silylated bamboo cellulose nanowhiskers. Poly. Compos. 2019, 40, 3012–3019. [Google Scholar] [CrossRef]
- Qu, P.; Zhou, Y.; Zhang, X.; Yao, S.; Zhang, L. Surface modification of cellulose nanofibrils for poly(lactic acid) composite application. J. Appl. Poly. Sci. 2012, 125, 3084–3091. [Google Scholar] [CrossRef]
- He, L.; Song, F.; Li, D.-F.; Zhao, X.; Wang, X.-L.; Wang, Y.-Z. Strong and Tough Polylactic Acid Based Composites Enabled by Simultaneous Reinforcement and Interfacial Compatibilization of Microfibrillated Cellulose. ACS Sustain. Chem. Eng 2020, 8, 1573–1582. [Google Scholar] [CrossRef]
- Cui, X.; Ozaki, A.; Asoh, T.-A.; Uyama, H. Cellulose modified by citric acid reinforced Poly(lactic acid) resin as fillers. Polym. Degr. Stab. 2020, 175, 109118. [Google Scholar] [CrossRef]
- Wang, F.Y.; Dai, L.; Ge, T.T.; Yue, C.B.; Song, Y.M. α-methylstyrene-assisted maleic anhydride grafted poly(lactic acid) as an effective compatibilizer affecting properties of microcrystalline cellulose/poly(lactic acid) composites. Express Polym. Lett. 2020, 14, 530–541. [Google Scholar] [CrossRef]
- Rigotti, D.; Pegoretti, A.; Miotello, A.; Checchetto, R. Interfaces in biopolymer nanocomposites: Their role in the gas barrier properties and kinetics of residual solvent desorption. Appl. Surf. Sci. 2020, 507, 145066. [Google Scholar] [CrossRef]
- Chen, J.; Zhang, T.; Hua, W.; Li, P.; Wang, X. 3D Porous poly(lactic acid)/regenerated cellulose composite scaffolds based on electrospun nanofibers for biomineralization. Coll. Surf. A 2020, 585, 124048. [Google Scholar] [CrossRef]
- Sartore, L.; Pandini, S.; Day, K.; Bignotti, F.; Chiellini, F. A versatile cell-friendly approach to produce PLA-based 3D micro-macro-porous blends for tissue engineering scaffolds. Materialia 2020, 9, 100615. [Google Scholar] [CrossRef]
- Zhang, L.-Q.; Yang, S.-G.; Li, Y.; Huang, H.-D.; Xu, L.; Xu, J.-Z.; Zhong, G.-J.; Li, Z.-M. Polylactide porous biocomposites with high heat resistance by utilizing cellulose template-directed construction. Cellulose 2020, 27, 3805–3819. [Google Scholar] [CrossRef]
- Cisneros-López, E.O.; Pal, A.K.; Rodriguez, A.U.; Wu, F.; Misra, M.; Mielewski, D.F.; Kiziltas, A.; Mohanty, A.K. Recycled poly(lactic acid)ebased 3D printed sustainable biocomposites: A comparative study with injection molding. Mater. Today Sust. 2020, 7–8, 100027. [Google Scholar]
- Wang, Q.; Ji, C.; Sun, J.; Yao, Q.; Liu, J.; Saeed, R.M.Y.; Zhu, Q. Kinetic thermal behavior of nanocellulose filled polylactic acid filament for fused filament fabrication 3D printing. J. Appl. Polym. Sci. 2020, 137, 48374. [Google Scholar] [CrossRef]
- Zuo, M.; Pan, N.; Liu, Q.; Ren, X.; Liu, Y.; Huang, T.-S. Three-dimensionally printed polylactic acid/cellulose acetate scaffolds with antimicrobial effect. RSC Adv. 2020, 10, 2952–2958. [Google Scholar] [CrossRef]
- Bender, M.L.; Komiyama, M. Cyclodextrin Chemistry; Springer: Berlin, Germany, 1978. [Google Scholar]
- Sabadini, E.; Cosgrovea, T.; do Carmo Egídio, F. Solubility of cyclomaltooligosaccharides (cyclodextrins) in H2O and D2O: A comparative study. Carbohydr. Res. 2006, 341, 270–274. [Google Scholar] [CrossRef] [PubMed]
- Wenz, G. Cyclodextrins as Building Blocks for Supramolecular Structures and Functional Units. Angew. Chem. Int. Ed. Engl. 1994, 33, 803–822. [Google Scholar] [CrossRef]
- Bruns, C.J. Exploring and Exploiting the Symmetry-Breaking Effect of Cyclodextrins in Mechanomolecules. Symmetry 2019, 11, 1249. [Google Scholar] [CrossRef]
- Yao, X.; Huang, P.; Nie, Z. Cyclodextrin-based polymer materials: From controlled synthesis to applications. Progr. Polym. Sci. 2019, 93, 1–35. [Google Scholar] [CrossRef]
- Mostovaya, O.A.; Gorbachuk, V.V.; Padnya, P.L.; Vavilova, A.A.; Evtugyn, G.A.; Stoikov, I.I. Modification of Oligo- and Polylactides with Macrocyclic Fragments: Synthesis and Properties. Front. Chem. 2019, 7, 554. [Google Scholar] [CrossRef] [PubMed]
- Aytac, Z.; Uyar, T. Core-shell nanofibers of curcumin/cyclodextrin inclusion complex and polylactic acid: Enhanced water solubility and slow release of curcumin. Int. J. Pharm. 2017, 1–2, 177–184. [Google Scholar] [CrossRef]
- Li, W.; Fan, X.; Wang, X.; Shang, X.; Wang, Q.; Lin, J.; Hu, Z.; Li, Z. Stereocomplexed micelle formation through enantiomeric PLA-based Y-shaped copolymer for targeted drug delivery. Mat. Sci. Eng. 2018, 91, 688–695. [Google Scholar] [CrossRef]
- Ordanini, S.; Cellesi, F. Complex Polymeric Architectures Self-Assembling in Unimolecular Micelles: Preparation, Characterization and Drug Nanoencapsulation. Pharmaceutics 2018, 10, 209. [Google Scholar] [CrossRef]
- Nittayacharn, P.; Nasongkla, N. Development of self-forming doxorubicin-loaded polymeric depots as an injectable drug delivery system for liver cancer chemotherapy. J. Mater. Sci. Mater. Med. 2017, 28, 101. [Google Scholar] [CrossRef]
- Hu, Y.; Wu, X.; JinRui, X. Self-assembled supramolecular hydrogels formed by biodegradable PLA/CS diblock copolymers and β-cyclodextrin for controlled dual drug delivery. Int. J. Biol. Macromol. 2018, 108, 18–23. [Google Scholar] [CrossRef] [PubMed]
- Kost, B.; Brzeziński, M.; Cieślak, M.; Królewska-Golińska, K.; Makowski, T.; Socka, M.; Biela, T. Stereocomplexed micelles based on polylactides with β-cyclodextrin core as anti-cancer drug carriers. Eur. Polym. J. 2019, 120, 109271. [Google Scholar] [CrossRef]
- Vermet, G.; Degoutin, S.; Chai, F.; Maton, M.; Flores, C.; Neut, C.; Danjou, P.E.; Martel, B.; Blanchemain, N. Cyclodextrin modified PLLA parietal reinforcement implant with prolonged antibacterial activity. Acta Biomater. 2017, 53, 222–232. [Google Scholar] [CrossRef] [PubMed]
- Liu, Y.; Liang, X.; Zhang, R.; Lan, W.; Qin, W. Fabrication of Electrospun Polylactic Acid/Cinnamaldehyde/_-Cyclodextrin Fibers as an Antimicrobial Wound Dressing. Polymers 2017, 9, 464. [Google Scholar] [CrossRef] [PubMed]
- Yi, W.-J.; Li, L.-J.; He, H.; Hao, Z.; Liu, B.; Chao, Z.-S.; Shen, Y. Synthesis of poly(l-lactide)/β-cyclodextrin/citrate network modified hydroxyapatite and its biomedical properties. New J. Chem. 2018, 42, 14729–14732. [Google Scholar] [CrossRef]
- Kost, B.; Svyntkivska, M.; Brzeziński, M.; Makowski, T.; Piorkowska, E.; Rajkowska, K.; Kunicka-Styczyńska, A.; Biela, T. PLA/β-CD-based fibres loaded with quercetin as potential antibacterial dressing materials. Coll. Surf. B Biointerf 2020, 190, 110949. [Google Scholar] [CrossRef] [PubMed]
- Rusa, C.C.; Tonelli, A.E. Polymer/Polymer Inclusion Compounds as a Novel Approach to Obtaining a PLLA/PCL Intimately Compatible Blend. Macromolecules 2000, 33, 5321–5324. [Google Scholar] [CrossRef]
- Choi, H.; Ooya, T.; Sasaki, S.; Yui, N.; Ohya, Y.; Nakai, T.; Ouchi, T. Preparation and Characterization of Polypseudorotaxanes Based on Biodegradable Poly(L-lactide)/Poly(ethylene glycol) Triblock Copolymers. Macromolecules 2003, 36, 9313–9318. [Google Scholar] [CrossRef]
- Zhang, R.; Wang, Y.; Wang, K.; Zheng, G.; Li, Q.; Shen, C. Crystallization of poly(lactic acid) accelerated by cyclodextrin complex as nucleating agent. Polym. Bull 2013, 70, 195–206. [Google Scholar] [CrossRef]
- Viciosa, M.T.; Alves, N.M.; Oliveira, T.; Dionísio, M.; Mano, J.F. Confinement Effects on the Dynamic Behavior of Poly(d,l-lactic Acid) upon Incorporation in α-Cyclodextrin. J. Phys. Chem. B 2014, 118, 6972–6981. [Google Scholar] [CrossRef]
- Kano, K. Mechanisms for chiral recognition by cyclodextrins. J. Phys. Org. Chem. 1997, 10, 286–291. [Google Scholar] [CrossRef]
- Gingter, S.; Bezdushna, E.; Ritter, H. Chiral recognition of macromolecules with cyclodextrins: PH- and thermosensitive copolymers from N-isopropylacrylamide and N-acryloyl-D/L-phenylalanine and their inclusion complexes with cyclodextrins. Beilstein J. Org. Chem. 2011, 7, 204–209. [Google Scholar] [CrossRef]
- Wang, S.-Y.; Li, L.; Xiao, Y.; Wang, Y. Recent advances in cyclodextrins-based chiral-recognizing platforms. Trends Anal. Chem. 2019, 121, 115691. [Google Scholar] [CrossRef]
- Ohya, Y.; Takamido, S.; Nagahama, K.; Ouchi, T.; Ooya, T.; Katoono, R.; Yui, N. Molecular “Screw and Nut”: α-Cyclodextrin Recognizes Polylactide Chirality. Macromolecules 2007, 40, 6441–6444. [Google Scholar] [CrossRef]
- Saga, A.; Sasaki, T.; Sakurai, K. Influence of α-cyclodextrin and casting rate on the crystallization of poly(l-lactide) from a PLLA solution. e-Polymers 2014, 14, 151–157. [Google Scholar]
- Xie, D.M.; Yang, K.S.; Sun, W.X. Formation and characterization of polylactide and β-cyclodextrin inclusion complex. Curr. Appl. Phys. 2007, 7S1, e15–e18. [Google Scholar] [CrossRef]
- Lizundia, E.; Gómez-Galván, F.; Pérez-Álvarez, L.; Leóna, L.M.; Vilas, J.L. Poly(L-lactide)/branched β-cyclodextrin blends: Thermal, morphological and mechanical properties. Carbohydr. Polym. 2016, 144, 25–32. [Google Scholar] [CrossRef]
- Suzuki, T.; Ei, A.; Takada, Y.; Uehara, H.; Yamanobe, T.; Takahashi, K. Modification of physical properties of poly(L-lactic acid) by addition of methyl-β-cyclodextrin. Beilstein J. Org. Chem. 2014, 10, 2997–3006. [Google Scholar] [CrossRef]
- Byun, Y.; Rodriguez, K.; Han, J.H.; Kim, Y.T. Improved thermal stability of polylactic acid (PLA) composite film via PLA-β-cyclodextrin-inclusion complex systems. Int. J. Biol. Macromol. 2015, 81, 591–598. [Google Scholar] [CrossRef]
- Zhou, Y.F.; Song, Y.N.; Zhen, W.J.; Wang, W.T. The Effects of Structure of Inclusion Complex between β-Cyclodextrin and Poly(L-lactic acid) on Its Performance. Macromol. Res. 2015, 23, 1103–1111. [Google Scholar] [CrossRef]
- Li, Y.; Zhen, W. Preparation and characterization of benzoylhydrazide-derivatized poly(lactic acid) and γ-cyclodextrin inclusion complex and its effect on the performance of poly(lactic acid). Polym. Adv. Technol. 2017, 28, 1617–1628. [Google Scholar] [CrossRef]
- Li, Y.; Zhen, W. Preparation, Structure and Performance of Poly(lactic acid)/Poly(lactic acid)-γ-Cyclodextrin Inclusion Complex-Poly(glycidyl methacrylate) Composites. Macromol. Res. 2018, 26, 215–225. [Google Scholar] [CrossRef]





































© 2020 by the authors. Licensee MDPI, Basel, Switzerland. This article is an open access article distributed under the terms and conditions of the Creative Commons Attribution (CC BY) license (http://creativecommons.org/licenses/by/4.0/).
Share and Cite
Kowalewska, A.; Nowacka, M. Supramolecular Interactions in Hybrid Polylactide Blends—The Structures, Mechanisms and Properties. Molecules 2020, 25, 3351. https://doi.org/10.3390/molecules25153351
Kowalewska A, Nowacka M. Supramolecular Interactions in Hybrid Polylactide Blends—The Structures, Mechanisms and Properties. Molecules. 2020; 25(15):3351. https://doi.org/10.3390/molecules25153351
Chicago/Turabian StyleKowalewska, Anna, and Maria Nowacka. 2020. "Supramolecular Interactions in Hybrid Polylactide Blends—The Structures, Mechanisms and Properties" Molecules 25, no. 15: 3351. https://doi.org/10.3390/molecules25153351
APA StyleKowalewska, A., & Nowacka, M. (2020). Supramolecular Interactions in Hybrid Polylactide Blends—The Structures, Mechanisms and Properties. Molecules, 25(15), 3351. https://doi.org/10.3390/molecules25153351

