Structure and Properties of Polylactic Acid Biocomposite Films Reinforced with Cellulose Nanofibrils
Abstract
1. Introduction
2. Results and Discussion
2.1. Properties of Isolated CNF
2.2. Optical Transmittance of CNF Filled PLA Biocomposite Films
2.3. FTIR and XRD Analysis of CNF Filled PLA Biocomposite Films
2.4. TGA Analysis of CNF Filled PLA Biocomposite Films
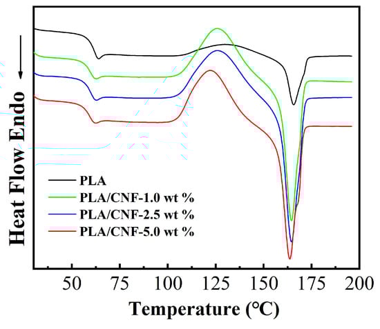
2.5. DSC Analysis of CNF Filled PLA Biocomposite Films
2.6. Tensile Analysis of CNF Filled PLA Biocomposite Film
3. Materials and Methods
3.1. Materials
3.2. CNF Isolation by Enzymatic Pretreatment and High-Pressure Homoginaztion
3.3. Fabrication of PLA/CNF Biocomposite Films by Solution Cating and Melt Compression
3.4. CNF and PLA/CNF Biocomposite Film Characterization
3.4.1. Scanning Electron Microscopy (SEM)
3.4.2. UV-Vis Transmittance
3.4.3. Fourier Transform Infrared Apectroscopy (FTIR)
3.4.4. X-ray Diffraction (XRD)
3.4.5. Tensile test
3.4.6. Thermogravimetric Analysis (TGA)
3.4.7. Differential Scanning Calorimetry (DSC)
4. Conclusions
Author Contributions
Funding
Conflicts of Interest
References
- Zhu, Q.; Yao, Q.; Sun, J.; Chen, H.; Xu, W.; Liu, J.; Wang, Q. Stimuli Induced Cellulose Nanomaterials Alignment and Its Emerging Applications: A Review. Carbohydr. Polym. 2020, 230, 115609. [Google Scholar] [CrossRef] [PubMed]
- Wang, Q.; Yao, Q.; Liu, J.; Sun, J.; Zhu, Q.; Chen, H. Processing Nanocellulose to Bulk Materials: A Review. Cellulose 2019, 26, 7585–7617. [Google Scholar] [CrossRef]
- Zhu, Q.; Liu, S.; Sun, J.; Liu, J.; Kirubaharan, C.J.; Chen, H.; Xu, W.; Wang, Q. Stimuli-Responsive Cellulose Nanomaterials for Smart Applications. Carbohydr. Polym. 2020, 235, 115933. [Google Scholar] [CrossRef]
- Wang, Q.; Sun, J.; Yao, Q.; Ji, C.; Liu, J.; Zhu, Q. 3d Printing with Cellulose Materials. Cellulose 2018, 25, 4275–4301. [Google Scholar] [CrossRef]
- Wang, Q.; Zhu, J.Y. Effects of Mechanical Fibrillation Time by Disk Grinding on the Properties of Cellulose Nanofibrils. TAPPI J. 2016, 15, 419–423. [Google Scholar] [CrossRef]
- Miller, J. Nanocellulose: Producers, Products, and Applications: A Guide for End Users; TAPPI Press: Atlanta, GA, USA, 2017; (2018 Updated). [Google Scholar]
- Nair, S.S.; Chen, H.; Peng, Y.; Huang, Y.; Yan, N. Polylactic Acid Biocomposites Reinforced with Nanocellulose Fibrils with High Lignin Content for Improved Mechanical, Thermal, and Barrier Properties. ACS Sustain. Chem. Eng. 2018, 6, 10058–10068. [Google Scholar] [CrossRef]
- Zhou, Q.; Berglund, L.A. Berglund. Pla-Nanocellulose Biocomposites. In Poly(Lactic Acid) Science and Technology; Royal Society of Chemistry: Cambridge, UK, 2014; pp. 225–242. [Google Scholar]
- Lee, K.Y.; Aitomäki, Y.; Berglund, L.A.; Oksman, K.; Bismarck, A. On the Use of Nanocellulose as Reinforcement in Polymer Matrix Composites. Compos. Sci. Technol. 2014, 105, 15–27. [Google Scholar] [CrossRef]
- Kian, L.K.; Saba, N.; Jawaid, M.; Sultan, M.T.H. A Review on Processing Techniques of Bast Fibers Nanocellulose and Its Polylactic Acid (Pla) Nanocomposites. Int. J. Biol. Macromol. 2019, 121, 1314–1328. [Google Scholar] [CrossRef]
- Robles, E.; Urruzola, I.; Labidi, J.; Serrano, L. Surface-Modified Nano-Cellulose as Reinforcement in Poly (Lactic Acid) to Conform New Composites. Ind. Crop. Prod. 2015, 71, 44–53. [Google Scholar] [CrossRef]
- Kargarzadeh, H.; Huang, J.; Lin, N.; Ahmad, I.; Mariano, M.; Dufresne, A.; Thomas, S.; Gałęski, A. Recent Developments in Nanocellulose-Based Biodegradable Polymers, Thermoplastic Polymers, and Porous Nanocomposites. Prog. Polym. Sci. 2018, 87, 197–227. [Google Scholar] [CrossRef]
- Lu, J.; Sun, C.; Yang, K.; Wang, K.; Jiang, Y.; Tusiime, R.; Yang, Y.; Fan, F.; Sun, Z.; Liu, Y.; et al. Properties of Polylactic Acid Reinforced by Hydroxyapatite Modified Nanocellulose. Polymers 2019, 11, 1009. [Google Scholar] [CrossRef] [PubMed]
- Jonoobi, M.; Mathew, A.P.; Abdi, M.M.; Makinejad, M.D.; Oksman, K. A Comparison of Modified and Unmodified Cellulose Nanofiber Reinforced Polylactic Acid (Pla) Prepared by Twin Screw Extrusion. J. Polym. Environ. 2012, 20, 991–997. [Google Scholar] [CrossRef]
- Suryanegara, L.; Nakagaito, A.N.; Yano, H. The Effect of Crystallization of Pla on the Thermal and Mechanical Properties of Microfibrillated Cellulose-Reinforced Pla Composites. Compos. Sci. Technol. 2009, 69, 1187–1192. [Google Scholar] [CrossRef]
- Cailloux, J.; Raquez, J.M.; Re, G.L.; Santana, O.; Bonnaud, L.; Dubois, P.; Maspoch, M.L. Melt-Processing of Cellulose Nanofibril/Polylactide Bionanocomposites Via a Sustainable Polyethylene Glycol-Based Carrier System. Carbohydr. Polym. 2019, 224, 115188. [Google Scholar] [CrossRef] [PubMed]
- Kiziltas, A.; Nazari, B.; Kiziltas, E.E.; Gardner, D.J.; Han, Y.; Rushing, T.S. Method to Reinforce Polylactic Acid with Cellulose Nanofibers Via a Polyhydroxybutyrate Carrier System. Carbohydr. Polym. 2016, 140, 393–399. [Google Scholar] [CrossRef] [PubMed]
- Scaffaro, R.; Botta, L.; Lopresti, F.; Maio, A.; Sutera, F. Polysaccharide Nanocrystals as Fillers for Pla Based Nanocomposites. Cellulose 2016, 24, 447–478. [Google Scholar] [CrossRef]
- Petersson, L.; Oksman, K. Biopolymer Based Nanocomposites: Comparing Layered Silicates and Microcrystalline Cellulose as Nanoreinforcement. Compos. Sci. Technol. 2006, 66, 2187–2196. [Google Scholar] [CrossRef]
- Arjmandi, R.; Hassan, A.; Haafiz, M.M.; Zakaria, Z. Partial Replacement Effect of Montmorillonite with Cellulose Nanowhiskers on Polylactic Acid Nanocomposites. Int. J. Biol. Macromol. 2015, 81, 91–99. [Google Scholar] [CrossRef]
- Khoo, R.Z.; Ismail, H.; Chow, W.S. Thermal and Morphological Properties of Poly (Lactic Acid)/Nanocellulose Nanocomposites. Procedia Chem. 2016, 19, 788–794. [Google Scholar] [CrossRef]
- Trifol, J.; Plackett, D.; Sillard, C.; Szabo, P.; Bras, J.; Daugaard, A.E. Hybrid Poly (Lactic Acid)/Nanocellulose/Nanoclay Composites with Synergistically Enhanced Barrier Properties and Improved Thermomechanical Resistance. Polym. Int. 2016, 65, 988–995. [Google Scholar] [CrossRef]
- Müller, G.; Várnai, A.; Johansen, K.S.; Eijsink, V.G.; Horn, S.J. Harnessing the Potential of Lpmo-Containing Cellulase Cocktails Poses New Demands on Processing Conditions. Biotechnol. Biofuels 2015, 8, 187. [Google Scholar] [CrossRef] [PubMed]
- Zhu, Q.; Wang, J.; Sun, J.; Wang, Q. Preparation, Characterization, and Oxygen Barrier Properties of Regenerated Cellulose/Polyvinyl Alcohol Blend Films. BioResources 2020, 15, 2735–2746. [Google Scholar]
- Segal, L.G.J.M.A.; Creely, J.J.; Martin, A.E.; Conrad, C.M. An Empirical Method for Estimating the Degree of Crystallinity of Native Cellulose Using the X-Ray Diffractometer. Text. Res. J. 1959, 29, 786–794. [Google Scholar] [CrossRef]
- Jonoobi, M.; Harun, J.; Mathew, A.P.; Oksman, K. Mechanical Properties of Cellulose Nanofiber (Cnf) Reinforced Polylactic Acid (Pla) Prepared by Twin Screw Extrusion. Compos. Sci. Technol. 2010, 70, 1742–1747. [Google Scholar] [CrossRef]
- Ambone, T.; Joseph, S.; Deenadayalan, E.; Mishra, S.; Jaisankar, S.; Saravanan, P. Polylactic Acid (Pla) Biocomposites Filled with Waste Leather Buff (Wlb). J. Polym. Environ. 2016, 25, 1099–1109. [Google Scholar] [CrossRef]
- Popa, E.E.; Rapa, M.; Popa, O.; Mustatea, G.; Popa, V.I.; Mitelut, A.C.; Popa, M.E. Polylactic Acid/Cellulose Fibres Based Composites for Food Packaging Applications. Mater. Plast 2017, 54, 673–677. [Google Scholar] [CrossRef]
- Armentano, I.; Fortunati, E.; Burgos, N.; Dominici, F.; Luzi, F.; Fiori, S.; Jiménez, A.; Yoon, K.; Ahn, J.; Kang, S.; et al. Processing and Characterization of Plasticized Pla/Phb Blends for Biodegradable Multiphase Systems. Express Polym. Lett. 2015, 9, 583–596. [Google Scholar] [CrossRef]
- Lu, F.; Yu, H.; Yan, C.; Yao, J. Polylactic Acid Nanocomposite Films with Spherical Nanocelluloses as Efficient Nucleation Agents: Effects on Crystallization, Mechanical and Thermal Properties. RSC Adv. 2016, 6, 46008–46018. [Google Scholar] [CrossRef]
- Fortunati, E.; Luzi, F.; Puglia, D.; Petrucci, R.; Kenny, J.M.; Torre, L. Processing of Pla Nanocomposites with Cellulose Nanocrystals Extracted from Posidonia Oceanica Waste: Innovative Reuse of Coastal Plant. Ind. Crop. Prod. 2015, 67, 439–447. [Google Scholar] [CrossRef]
- Kowalczyk, M.; Piorkowska, E.; Kulpinski, P.; Pracella, M. Mechanical and Thermal Properties of Pla Composites with Cellulose Nanofibers and Standard Size Fibers. Compos. Part A-Appl. Sci. Manuf. 2011, 42, 1509–1514. [Google Scholar] [CrossRef]
- Sung, S.H.; Chang, Y.; Han, J. Development of Polylactic Acid Nanocomposite Films Reinforced with Cellulose Nanocrystals Derived from Coffee Silverskin. Carbohydr. Polym. 2017, 169, 495–503. [Google Scholar] [CrossRef] [PubMed]
- Wang, Q.; Ji, C.; Sun, J.; Yao, Q.; Liu, J.; Saeed, R.M.Y.; Zhu, Q. Kinetic Thermal Behavior of Nanocellulose Filled Polylactic Acid Filament for Fused Filament Fabrication 3d Printing. J. Appl. Polym. Sci. 2019, 137, 48374. [Google Scholar] [CrossRef]
- Jardin, J.M.; Zhang, Z.; Hu, G.; Tam, K.C.; Mekonnen, T.H. Reinforcement of Rubber Nanocomposite Thin Sheets by Percolation of Pristine Cellulose Nanocrystals. Int. J. Biol. Macromol. 2020, 152, 428–436. [Google Scholar] [CrossRef] [PubMed]
- Wang, T.; Drzal, L.T. Cellulose-Nanofiber-Reinforced Poly(Lactic Acid) Composites Prepared by a Water-Based Approach. ACS Appl. Mater. Interfaces 2012, 4, 5079–5085. [Google Scholar] [CrossRef] [PubMed]
- Wang, Q.; Ji, C.; Sun, L.; Sun, J.; Liu, J. Cellulose Nanofibrils Filled Poly(Lactic Acid) Biocomposite Filament for Fdm 3d Printing. Molecules 2020, 25, 2319. [Google Scholar] [CrossRef] [PubMed]
- Wang, Q.; Wei, W.; Chang, F.; Sun, J.; Xie, S.; Zhu, Q. Controlling the Size and Film Strength of Individualized Cellulose Nanofibrils Prepared by Combined Enzymatic Pretreatment and High Pressure Microfluidization. BioResources 2016, 11, 2536–2547. [Google Scholar] [CrossRef]
Sample Availability: Samples of materials are available from the authors. |










| Sample | Tonset (°C) | T10% (°C) | T50% (°C) | Tmax (°C) |
|---|---|---|---|---|
| PLA | 311 | 316 | 340 | 346 |
| PLA/CNF-1.0 wt % | 304 | 302 | 332 | 343 |
| PLA/CNF-2.5 wt % | 320 | 319 | 343 | 348 |
| PLA/CNF-5.0 wt % | 331 | 328 | 351 | 356 |
| Sample | Tg (°C) | Tcc (°C) | Tm (°C) | ΔHcc (J/g) | ΔHm (J/g) |
|---|---|---|---|---|---|
| PLA | 60.6 | 128.9 | 165.0 | 9.1 | 10.8 |
| PLA/CNF-1.0 wt % | 59.6 | 125.8 | 164.4 | 36.9 | 37.4 |
| PLA/CNF-2.5 wt % | 59.2 | 125.6 | 164.6 | 40.3 | 41.2 |
| PLA/CNF-5.0 wt % | 59.4 | 122.3 | 164.7 | 38.1 | 38.9 |
© 2020 by the authors. Licensee MDPI, Basel, Switzerland. This article is an open access article distributed under the terms and conditions of the Creative Commons Attribution (CC BY) license (http://creativecommons.org/licenses/by/4.0/).
Share and Cite
Wang, Q.; Ji, C.; Sun, J.; Zhu, Q.; Liu, J. Structure and Properties of Polylactic Acid Biocomposite Films Reinforced with Cellulose Nanofibrils. Molecules 2020, 25, 3306. https://doi.org/10.3390/molecules25143306
Wang Q, Ji C, Sun J, Zhu Q, Liu J. Structure and Properties of Polylactic Acid Biocomposite Films Reinforced with Cellulose Nanofibrils. Molecules. 2020; 25(14):3306. https://doi.org/10.3390/molecules25143306
Chicago/Turabian StyleWang, Qianqian, Chencheng Ji, Jianzhong Sun, Qianqian Zhu, and Jun Liu. 2020. "Structure and Properties of Polylactic Acid Biocomposite Films Reinforced with Cellulose Nanofibrils" Molecules 25, no. 14: 3306. https://doi.org/10.3390/molecules25143306
APA StyleWang, Q., Ji, C., Sun, J., Zhu, Q., & Liu, J. (2020). Structure and Properties of Polylactic Acid Biocomposite Films Reinforced with Cellulose Nanofibrils. Molecules, 25(14), 3306. https://doi.org/10.3390/molecules25143306

