Caution: Chemical Instability of Natural Biomolecules During Routine Analysis
Abstract
1. Introduction
2. Results and Discussion
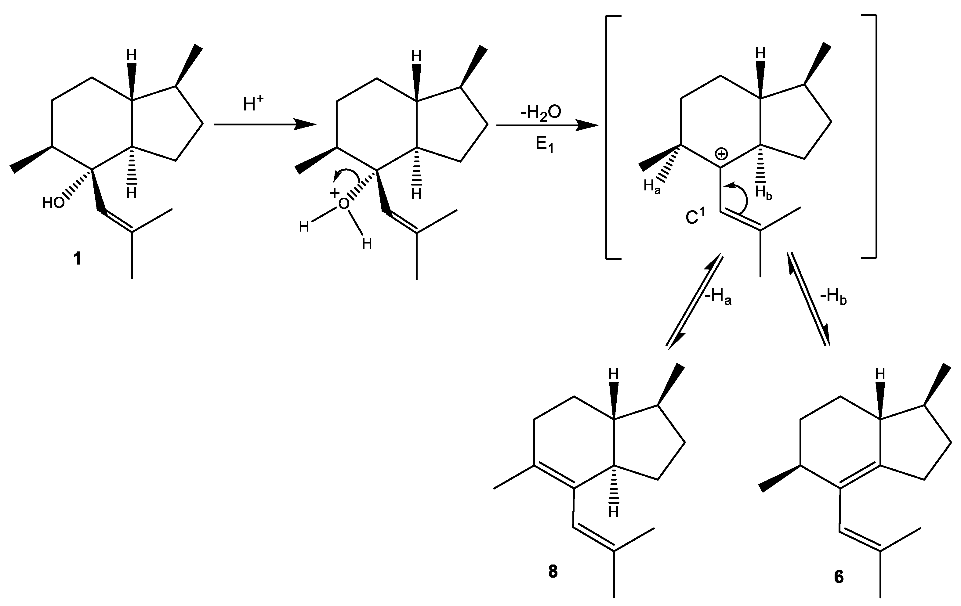
2.1. Tamariscol Investigation
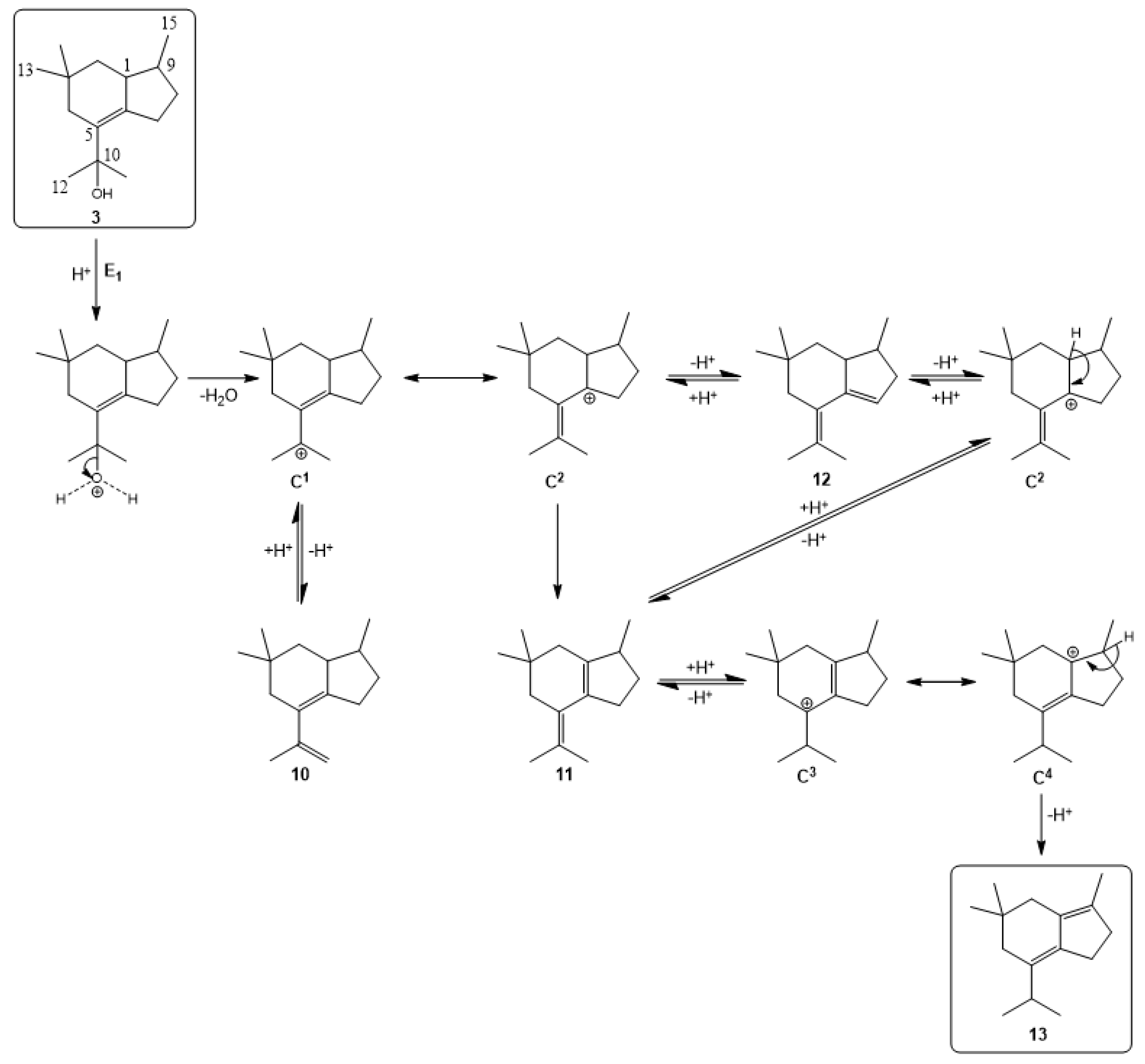
2.2. Conocephalenol Investigation
3. Materials and Methods
3.1. Chemicals
3.2. Nuclear Magnetic Resonance
3.3. Plant Material, Essential Oil Isolation and Fractionation
3.4. Computational Chemistry
4. Conclusions
Supplementary Materials
Author Contributions
Funding
Acknowledgments
Conflicts of Interest
References
- Hanson, J.R. Pseudo-Natural Products, Some Artefacts Formed during the Isolation of Terpenoids. J. Chem. Res. 2017, 41, 497–503. [Google Scholar] [CrossRef]
- Weston, R.J. Composition of essential oil from leaves of Eucalyptus delegatensis. Phytochemistry 1984, 23, 1943–1945. [Google Scholar] [CrossRef]
- De Kraker, J.-W.; Franssen, M.C.R.; De Groot, A.; Shibata, T.; Bouwmeester, H.J. Germacrenes from fresh costus roots. Phytochemistry 2001, 58, 481–487. [Google Scholar] [CrossRef]
- Toyota, M.; Koyama, H.; Mizutani, M.; Asakawa, Y. (−)-ent-spathulenol isolated from liverworts is an artefact. Phytochemistry 1996, 41, 1347–1350. [Google Scholar] [CrossRef]
- Maltese, F.; Van Der Kooy, F.; Verpoorte, R. Solvent derived artifacts in natural products chemistry. Nat. Prod. Commun. 2009, 4. [Google Scholar] [CrossRef]
- Bijauliya, R.K.; Alok, S.; Kumar, M. A Comprehensive Review on Standardization of Herbal Drugs. Int. J. Pharm. Sci. Rev. Res. 2017, 8, 3663–3677. [Google Scholar]
- Ruberto, G.; Biondi, D.; Renda, A. The composition of the volatile oil of Ferulago nodosa obtained by steam distillation and supercritical carbon dioxide extraction. Phytochem. Anal. 1999, 10, 241–246. [Google Scholar] [CrossRef]
- Marongiu, B.; Piras, A.; Porcedda, S. Comparative analysis of the oil and supercritical CO2 extract of Artemisia arborescens L. and Helichrysum splendidum (Thunb.) Less. Nat. Prod. Res. 2006, 20, 421–428. [Google Scholar] [CrossRef]
- Ohno, A.; Kizu, H.; Tomimori, T. Studies on Nepalese Crude Drugs. XXI. On the Diterpenoid Constituents of the Aerial Part of Scutellaria discolor COLEBR. Chem. Pharm. Bull. 1996, 44, 1540–1545. [Google Scholar] [CrossRef]
- Wang, B.; Wang, X.-L.; Wang, S.-Q.; Shen, T.; Liu, Y.-Q.; Yuan, H.; Lou, H.-X.; Wang, X.-N. Cytotoxic Clerodane Diterpenoids from the Leaves and Twigs of Casearia balansae. J. Nat. Prod. 2013, 76, 1573–1579. [Google Scholar] [CrossRef]
- Shen, L.; Ji, H.-F. The pharmacology of curcumin: Is it the degradation products? Trends Mol. Med. 2012, 18, 138–144. [Google Scholar] [CrossRef]
- Stanic, Z. Curcumin, a Compound from Natural Sources, a True Scientific Challenge—A Review. Plant Foods Hum. Nutr. 2016, 72, 1–12. [Google Scholar] [CrossRef] [PubMed]
- Connolly, J.D.; Harrison, L.J.; Rycroft, D.S. The structure of tamariscol, a new pacifigorgiane sesquiterpenoid alcohol from the liverwort frullania tamarisci. Tetrahedron Lett. 1984, 25, 1401–1402. [Google Scholar] [CrossRef]
- Connolly, J.D. Monoterpenoids and Sesquiterpenoids from the Hepaticae. In Bryophytes, Their Chemistry and Chemical Taxonomy; Clarendon Press; Oxford University Press: Oxford, NY, USA, 1990. [Google Scholar]
- Asakawa, Y.; Sono, M.; Wakamatsu, M.; Kondo, K.; Hattori, S.; Mizutani, M. Geographical distribution of tamariscol, a mossy odorous sesquiterpene alcohol, in the liverwort Frullania tamarisci and related species. Phytochemistry 1991, 30, 2295–2300. [Google Scholar] [CrossRef]
- Tori, M. Studies on the Absolute Configuration of Some Liverwort Sesquiterpenoids. In Bioactive Natural Products; Elsevier BV: Amsterdam, The Netherlands, 1995; Volume 18, pp. 607–647. [Google Scholar]
- Tori, M.; Sono, M.; Asakawa, Y. Absolute configuration and synthesis of the liverwort sesquiterpene alcohol tamariscol. J. Chem. Soc. Perkin Trans. 1 1990, 1, 2849. [Google Scholar] [CrossRef]
- Tori, M.; Sono, M.; Nishigaki, Y.; Nakashima, K.; Asakawa, Y. Studies on the liverwort sesquiterpene alcohol tamariscol. Synthesis and absolute configuration. J. Chem. Soc. Perkin Trans. 1 1991, 1, 435. [Google Scholar] [CrossRef]
- Izac, R.R.; Poet, S.E.; Fenical, W.; Van Engen, D.; Clardy, J. The structure of pacifigorgiol, an ichthyotoxic sesquiterpenoid from the pacific gorgonian coral pacifigorgia cf. adamsii. Tetrahedron Lett. 1982, 23, 3743–3746. [Google Scholar] [CrossRef]
- Paul, C.; König, W.A.; Muhle, H. Pacifigorgianes and tamariscene as constituents of Frullania tamarisci and Valeriana officinalis. Phytochemistry 2001, 57, 307–313. [Google Scholar] [CrossRef]
- Faulkner, D.J. Marine natural products: Metabolites of marine algae and herbivorous marine molluscs. Nat. Prod. Rep. 1984, 1, 251. [Google Scholar] [CrossRef]
- Iliopoulou, D.; Vagias, C.; Galanakis, D.; Argyropoulos, D.; Roussis, V. Brasilane-type sesquiterpenoids from Laurencia obtusa. Org. Lett. 2002, 4, 3263–3266. [Google Scholar] [CrossRef]
- Melching, S.; A König, W. Sesquiterpenes from the essential oil of the liverwort Conocephalum conicum. Phytochemistry 1999, 51, 517–523. [Google Scholar] [CrossRef]
- Fulmer, G.R.; Miller, A.J.M.; Sherden, N.H.; Gottlieb, H.E.; Nudelman, A.; Stoltz, B.M.; Bercaw, J.E.; Goldberg, K.I. NMR Chemical Shifts of Trace Impurities: Common Laboratory Solvents, Organics, and Gases in Deuterated Solvents Relevant to the Organometallic Chemist. Organometallics 2010, 29, 2176–2179. [Google Scholar] [CrossRef]
- Shamma, M.; Rahimizadeh, M. The Identity of Chileninone with Berberrubine. The Problem of True Natural Products vs. Artifacts of Isolation. J. Nat. Prod. 1986, 49, 398–405. [Google Scholar] [CrossRef]
- Pannequin, A.; Tintaru, A.; Desjobert, J.-M.; Costa, J.; Muselli, A. New advances in the volatile metabolites of Frullania tamarisci. Flavour Fragr. J. 2017, 32, 409–418. [Google Scholar] [CrossRef]
- Clayden, J.; Greeves, N.; Warren, S.G. Organic chemistry, 2nd ed.; Oxford University Press: Oxford, NY, USA, 2012; p. xxv. [Google Scholar]
- Tori, M.; Nakashima, K.; Asakawa, Y.; Connolly, J.D.; Harrison, L.J.; Rycroft, D.S.; Singh, J.; Woods, N. Structure of conocephalenol, a sesquiterpenoid alcohol from the European liverwort Conocephalum conicum: Determination of the absolute configuration by total synthesis. J. Chem. Soc. Perkin Trans. 1 1995, 1, 593. [Google Scholar] [CrossRef]
- Berger, S.; Braun, S. 200 and more NMR experiments: A practical course, 3rd rev. and expanded ed.; Wiley-VCH: Weinheim, Germany, 2004; p. xv. [Google Scholar]
- Smith, A.J.E.; Smith, R. The Moss Flora of Britain and Ireland; Cambridge University Press (CUP): Cambridge, UK, 2004. [Google Scholar] [CrossRef]
- Matesanz, R. The Council of Europe and organ transplantation. Transplant. Proc. 1997, 29, 3205–3207. [Google Scholar] [CrossRef]
- Pannequin, A. Caractérisation Chimique des Bryophytes de Corse et Propriétés Biologiques. Ph.D. Thesis, Université de Corse, Corsica, France.
- Frisch, M.J.; Trucks, G.W.; Schlegel, H.B.; Scuseria, G.E.; Robb, M.A.; Cheeseman, J.R.; Scalmani, G.; Barone, V.; Petersson, G.A.; Nakatsuji, H.; et al. Gaussian 16 Rev. C.01; Gaussian, Inc.: Wallingford, CT, USA, 2016. [Google Scholar]
- Cossi, M.; Scalmani, G.; Rega, N.; Barone, V. New developments in the polarizable continuum model for quantum mechanical and classical calculations on molecules in solution. J. Chem. Phys. 2002, 117, 43–54. [Google Scholar] [CrossRef]
- Dewar, M.J.S.; Healy, E.F.; Stewart, J.J.P. Location of transition states in reaction mechanisms. J. Chem. Soc., Faraday Trans. 2 1984, 80, 227. [Google Scholar] [CrossRef]
Sample Availability: Samples of the natural oils studied in this work are available from the authors. |







| Etot | H | S | G | ||
|---|---|---|---|---|---|
| 1 | –662.12429 | 11.323 | 137.046 | –29.517 | ![]() |
| 6 | –662.12187 | 11.636 | 138.686 | –29.713 | ![]() |
| 8 | –662.12234 | 11.297 | 138.530 | –30.006 | ![]() |
| C1 | –662.11873 | 12.701 | 135.647 | –27.742 | ![]() |
| Atom Number | δ(13C) ppm | Carbone Type a | (1H) ppm | Multiplicity/J c (Hz) | HMBC b | |
![]() | 1 | 134.74 | C= | - | - | H2, H8, H13,14, H15 |
| 2 | 37.07 | CH2 | 1.97 | m | H4, H13,14 | |
| 3 | 30.23 | Cq | - | - | H2, H4, H13,14 | |
| 4 | 37.57 | CH2 | 1.80 | m | H2, H10, H13,14 | |
| 5 | 127.91 | C= | - | - | H4, H7, H10, H11,12 | |
| 6 | 137.59 | C= | - | - | H2, H4, H7, H8, H10 | |
![]() | 7 | 24.93 | CH2 | 2.46 | m | H8 |
| 8 | 36.05 | CH2 | 2.41 | m | H7, H15 | |
| 9 | 136.07 | C= | - | - | H2, H7, H15 | |
| 10 | 30.75 | CH | 2.62 | hept, 6.88 | H4, H11,12 | |
| 11, 12 | 20.13 | CH3 | 0.98 | d, 6.88 | H10, H11,12 | |
| 13, 14 | 28.62 | CH3 | 0.90 | s | H2, H4, H13,14 | |
| 15 | 14.27 | CH3 | 1.75 | s | H8 |
| Etot | H | S | G | ||
|---|---|---|---|---|---|
| 3 | −585.52766 | 10.547 | 122.947 | −26.091 | ![]() |
| 10 | −585.52770 | 10.726 | 123.621 | −26.113 | ![]() |
| 11 | −585.52846 | 10.698 | 125.134 | −26.592 | ![]() |
| 12 | −585.52810 | 10.641 | 124.185 | −26.366 | ![]() |
| 13 | −585.53034 | 11.232 | 130.883 | −27.771 | ![]() |
| C1 | −585.52729 | 10.510 | 122.042 | −25.858 | ![]() |
| C2 | –585.52731 | 10.513 | 122.050 | –25.858 | ![]() |
| C3 | –585.52713 | 10.495 | 121.642 | –25.754 | ![]() |
| C4 | –585.52711 | 10.491 | 121.627 | –25.754 | ![]() |
© 2020 by the authors. Licensee MDPI, Basel, Switzerland. This article is an open access article distributed under the terms and conditions of the Creative Commons Attribution (CC BY) license (http://creativecommons.org/licenses/by/4.0/).
Share and Cite
Pannequin, A.; Laurini, E.; Giordano, L.; Muselli, A.; Pricl, S.; Tintaru, A. Caution: Chemical Instability of Natural Biomolecules During Routine Analysis. Molecules 2020, 25, 3292. https://doi.org/10.3390/molecules25143292
Pannequin A, Laurini E, Giordano L, Muselli A, Pricl S, Tintaru A. Caution: Chemical Instability of Natural Biomolecules During Routine Analysis. Molecules. 2020; 25(14):3292. https://doi.org/10.3390/molecules25143292
Chicago/Turabian StylePannequin, Anaïs, Erik Laurini, Laurent Giordano, Alain Muselli, Sabrina Pricl, and Aura Tintaru. 2020. "Caution: Chemical Instability of Natural Biomolecules During Routine Analysis" Molecules 25, no. 14: 3292. https://doi.org/10.3390/molecules25143292
APA StylePannequin, A., Laurini, E., Giordano, L., Muselli, A., Pricl, S., & Tintaru, A. (2020). Caution: Chemical Instability of Natural Biomolecules During Routine Analysis. Molecules, 25(14), 3292. https://doi.org/10.3390/molecules25143292
















