Abstract
Mercapto-substituted 1,2,4-triazoles are very interesting compounds as they play an important role in chemopreventive and chemotherapeutic effects on cancer. In recent decades, literature has been enriched with sulfur- and nitrogen-containing heterocycles which are used as a basic nucleus of different heterocyclic compounds with various biological applications in medicine and also occupy a huge part of natural products. Therefore, we shed, herein, more light on the synthesis of this interesting class and its application as a biologically active moiety. They might also be suitable as antiviral and anti-infective drugs.
1. Introduction
Taribavirin (I) (Figure 1) is a triazole based clinically used as antiviral drugs (Figure 1). It is an active agent against a number of DNA and RNA viruses. It is indicated for severe respiratory syncytial virus (RSV) infection, hepatitis C infection, and other viral infections like the West Nile virus and dengue fever [1,2,3]. Taribavirin (also known as viramidine) is an antiviral drug in Phase III human trials, but not yet approved for pharmaceutical use [4].
Figure 1.
Structure of anti-HIV active triazole drugs.
AIDS is characterized by an abnormal host defense mechanism that predisposes to infections with opportunistic microorganisms [5]. It was reported [6] that compounds IIIa–d (Figure 1) have been proved as treatment for HIV-1. The viral enzymes, reverse transcriptase (RT), integrase (IN), and protease (PR) are all good drug targets. Two distinct types of RT inhibitors, both of which block the polymerase activity of RT, have been approved to treat HIV-1 infections, nucleoside analogs (NRTIs), and nonnucleosides (NNRTIs), and there are promising leads for compounds that either block the RNase H activity or block the polymerase in other ways. A better understanding of the structure and function(s) of RT and of the mechanism(s) of inhibition can be used to generate better drugs; in particular, drugs that are effective against the current drug-resistant strains of HIV-1.NNRTIs via high throughput screening (HTS) using a cell-based assay for inhibiting HIV-1 replication and promising activities against selected NNRTI-resistant mutants such as Y181L, Y181C, K103N, and L100I were observed.
Sulfanyltriazoles IIIa and IIIc (Figure 1) exhibited EC50 values of 182 and 24 nM, respectively, suggesting the potential of these sulfanyltriazoles to overcome the K103-related NNRTI-resistant mutants. These sulfanyltriazoles could serve as advanced lead structures promising great potential in overcoming these and other NNRTI-resistant mutants [7].
1,2,4-triazoles are a very important class of compounds which attracted the attention of many chemists and biologists in organic synthesis and medicinal and pharmaceutical fields due to their various biological activities such as anticancer [8,9], antimicrobial, anticonvulsant [10], anti-inflammatory [11], antitubercular [12], analgesic [13], antibacterial [14], and anti-HIV [15]. In addition, there are chemotherapeutically known drugs containing 1,2,4-triazole moiety, e.g., fluconazole (1) [16], (2-(2,4-difluorophenyl)-1,3-di(1H-1,2,4-triazol-1-yl)propan-2-ol) and itraconazole (2) [17], (4-(4-(4-(4-(((2S,4R)-2-((1H-1,2,4-triazol-1-yl)methyl)-2-(2,4-dichlorophenyl)-1,3-dioxolan-4-yl)methoxy)phenyl)piperazin-1-yl)-phenyl)-1-((S)-sec-butyl)-1H-1,2,4-triazol-5(4H)-one), which are used as very effective antifungal drugs. In addition, prothioconazole (3) [18] is commercially available for the treatment of plant-pathogenic fungal infections, alprazolam (4) [18], (8-chloro-1-methyl-6-phenyl-4H-benzo[f][1,2,4]triazolo[4,3-a][1,4]diazepine), is used for treating of anxiety disorders, and anastrozole (5) [19] in addition to letrozole (6) is used for chemotherapeutic anticancer drugs [20] (Figure 2).
Figure 2.
Some potent drugs containing triazole and triazolethione moieties.
Incorporating of thione group either in 3- or 5-position (A and B, Figure 3) has been reported in numerous reports, leading to enhancement of biological activities related to triazole moiety [21]. Besides, the triazolethione system is considered as a cyclic analog of very important components like thiosemicarbazides and thiocarbohydrazides, which are widely spread as a reactive building block in many organic reactions leading to different heterocyclic rings and having effective biological applications. Many heterocyclic compounds are the main constituents of natural products; also, mercapto-1,2,4-triazole nucleus is found in many natural products and pharmaceuticals [22]. Mercapto-1,2,4-triazole also may be derived from natural products by applying some reactions to get the desired compounds [23].
Figure 3.
1,2,4-Triazole thiones.
Triazolethione-thiols (Figure 4) have gained considerable importance in medicinal chemistry due to their potential anticancer [24,25], antimicrobial [26], antioxidant, antitumor [27], anti-tuberculosis [28], anticonvulsant [29], fungicidal [30], antiepileptic [31] and anti-inflammatory [32] activities.
Figure 4.
Thione-thiol tautomeric forms.
1,2,4-triazolethiones have been prepared successfully by various methods. The most common classical method is the dehydrative cyclization of different hydrazinecarbothioamides in presence of basic media using various reagents such as sodium hydroxide [2,25,33], potassium hydroxide [34,35], sodium bicarbonate [36] or acidic ionic liquid [37] followed by neutralization either with acid or base for both cases, in addition to different other techniques including donor–acceptor interactions. Various synthetic routes and biological applications of spiro-1,2,4-triazolethiones were also discussed as main heterocyclic targets easily obtained from different hydrazinecarbothioamides [38,39].
Schiff bases of triazolethiones [40] have played vital roles in organic synthesis and they are obtained from triazolethiones using simple procedures; also, sometimes their structures possess biological and pharmaceutical activities other than triazolethione itself such as anti-inflammatory and anti-oxidant [41], anticancer [42], fungicidal activities [43], antibacterial [44], antiparasitic [45], antidepressant and antimicrobial [46]. Furthermore, many transition metal complexes of 1,2,4-triazolethione Schiff bases and their bioactivities were reported [47,48,49] along with nickel complexes of triazolethiones [50] showing high catalytic activity towards the synthesis of tetrahydrobenzo[b]pyrans [47].
Various reactions of mercapto-triazolethiones [25] were discussed depending on S and N nucleophilic sites and in presence of different reagents and conditions to afford other heterocyclic compounds, e.g., triazolothiadiazines [51,52], imidazothiadiazoles [51,53], bistriazolethione-1,4-dihydropyridines [54] and fused triazolethione pyrimidines [55].
2. Synthesis of 1,2,4-Triazole-3-thiones
Hydrazinolysis of ethyl-substituted benzoates 7a–c yielded the carbonylhydrazides 8a–c. Nucleophilic addition of carbon disulfide (CS2) to 8a–c in basic media [22] gave the hydrazide oxadiazole-2-thiones 9a–c. The reaction of oxadiazoles 9a–c with hydrazine hydrate in ethanol afforded 4-amino-5-aryl-1,2,4-triazole-3-thiones 10a–c (Scheme 1) [22].
Scheme 1.
Synthesis of triazolethiones 10a–c.
Alkaline cyclization of different substituted acylthiocarbohydrazides 12a–f, obtained from the reactions of acylhydrazides 11a–f with various isothiocyanates, gave the corresponding 4-alkyl-5-substituted-1,2,4-triazole-3-thiones 13a–f in 70–86% yields (Scheme 2) [23]. Screening of the anticonvulsant activity of the obtained compounds revealed that they are used as useful anticonvulsant drug candidates whose mode of action depends on voltage-gated sodium channels inhibition (VGSC) (Scheme 2) [23].
Scheme 2.
Synthesis of triazolethiones 13a–f.
A series of 1,2,4-triazole-3-thiones 19a–d were successfully prepared through stepwise reaction starting from esterification of N-(4-hydroxyphenyl)acetamide (14) with ethyl bromoacetate (15) to give ethyl 2-(4-acetamido-phenoxy)acetate (16) [24]. The acetohydrazide 17 was then obtained through hydrazinolysis of compound 16 with hydrazine hydrate. The corresponding thiosemicarbazides 18a–d were synthesized by the reaction of 17 with different isothiocyanates in dry ethanol. Finally, thiosemicarbazide derivatives 18a–d were efficiently cyclized in basic media to give the desired 1,2,4-triazole-3-thiones 19a–d in 52–88% yields [24] (Scheme 3).
Scheme 3.
Synthesis of triazolethiones 19a–d.
Reactions of thiosemicarbazide (20) with arylidene malononitrile afforded 5-(4-chlorophenyl)-1,2,4-triazolidine-3-thione 22a via the intermediate 21, whereas the reaction of 4-substituted thiosemicarbazides 23a,b with 4-chlorobenzaldehyde gave the corresponding 5-(4-chlorophenyl)-4-substituted-1,2,4-triazolidine-3-thiones 24a,b in 89% and 91% yield, respectively (Scheme 4) [50].
Scheme 4.
Synthesis of triazolethiones 24a,b.
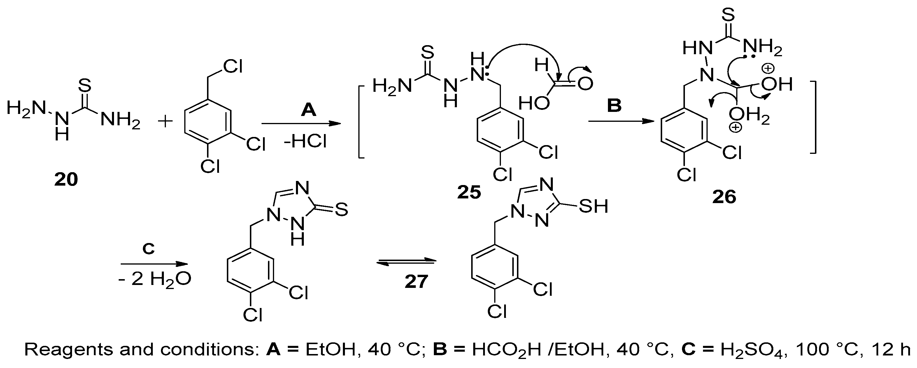
Thiosemicarbazide (20) reacted with 3,4-dichlorobenzyl chloride to give 2-(3,4-dichlorobenzyl)hydrazinecarbothioamide (25) which reacted with formic acid to form 1-(3,4-dichlorobenzyl)-1H-1,2,4-triazole-3-thiol (27) in 82% yield through the formation of intermediate 26 (Scheme 5) [51].
Scheme 5.
Synthesis of triazolethiones 27.
The synthesis of 5-substituted phenyl-1,2,4-triazole-3-thiones 30a–c was done in high yields from the refluxing of arylidene derivatives and trimethylsilyl isothiocyanate using sulfamic acid as a catalyst via the intermediates 28a–c and 29a–c (Scheme 6) [52].
Scheme 6.
Synthesis of triazolethiones 30a–c.
Substituted aryl hydrazides 12b–f reacted with CS2 in alcoholic potassium hydroxides and yielded potassium hydrazinecarbodithioate salts 31b–f. Refluxing of 31a–e with a dilute solution of hydrazine hydrate afforded the expected 4-amino-5-substituted-1,2,4-triazole-3-thiones 32a–e (Scheme 7) [29].
Scheme 7.
Synthesis of triazolethiones 32a–c.
The reaction of diethyl 1-substituted-1H-1,2,3-triazole-4,5-dicarboxylates 33a–d with hydrazine hydrate yielded diacid hydrazides 34a–d. Hydrazinecarbothioamides 35a–d were obtained via refluxing of 34a–d with phenyl isothiocyanate. Dehydrative ring closure of compounds 35a–d under basic condition furnished the formation of bis-1,2,4-triazole-3-thiones 36a–d in 80–85% yields. Besides, the reaction of diacid hydrazides 34a–d with CS2 in basic solution followed by refluxing with hydrazine hydrate gave bis-4-amino-1,2,4-triazole-3-thiones 37a–d in 80–85% yields (Scheme 8) [28]. The resulting compounds were screened for their antimicrobial activities based on standard antimicrobial agents; compound 37d exhibited comparable antibacterial and antifungal activities against all the tested organisms [28].
Scheme 8.
Synthesis of bis-4-amino-triazolethiones 35a–d, 36a–d and 37a–d.
Thiocarbohydrazide (38) was heated with 2-(thiophen-2-yl)acetic acid to get 4-amino-1,2,4-triazole-3-thione (39). The reaction of 39 with different aryl aldehydes yielded the corresponding Schiff bases 40a–f in 52–61% yields (Scheme 9) [53]. All the synthesized compounds were screened against Mycobacterium tuberculosis H37Rv, and they proved to be less active than rifampicin (98%), used as reference drug. Compound 40f showed the highest inhibition (87%), and therefore, it was suggested to be as potentially active antituberculosis agent [53].
Scheme 9.
Synthesis of triazolethiones 40a–f.
4-Methyl benzoylisothiocyanate was reacted with phenylhydrazine hydrate afforded 1-phenyl-5-(p-tolyl)-1H-1,2,4-triazole-3(2H)-thione (41). Schiff bases of triazolethione 42a–j were obtained via reaction of triazolethione 41 with formaldehyde and various aromatic amines (Scheme 10) [54]. Screening of the synthesized compounds 42a–j against different microorganisms showed that they have good antifungal activity rather than antibacterial activity [56].
Scheme 10.
Synthesis of triazolethiones 42a–j.
Diflunisal (2′,4′-difluoro-4-hydroxybiphenyl-3-carboxylic acid) (43) was converted to its corresponding diflunisal ester 44. The desired diflunisal hydrazide 45 was obtained using hydrazine hydrate. The reaction of hydrazide 45 with various aryl isothiocyanates afforded substituted hydrazinecarbothioamides 46a–f. Cyclization of compounds 46a–f to the corresponding triazole-3-thiones 47a–f occurred in basic media (Scheme 11) [57]. The screening of compounds 47a–f against cancer cells revealed that compound 47f was found to be active against the colon carcinoma HCT-116 cancer cell line with a 6.2 μM IC50 value. In addition, compounds 47e and 47f were found active against the human breast cancer T47D cancer cell line with IC50 values of 43.4 and 27.3 μM, respectively [57].
Scheme 11.
Synthesis of triazolethiones 47a–f.
Pyridine-2,5-dicarbohydrazide (49) was synthesized from the reaction of dimethylpyridine-2,5-dicarboxylic acid (48) with hydrazine hydrate, which reacted with different alkyl/aryl isothiocyanates to afford 2,2′-(pyridine-2,5-dicarbonyl)bis-(N-substituted hydrazinecarbothioamides) 50a–e. Ring closure of these hydrazine-carbothioamides 50a–e occurred in basic media to give bis-1,2,4-triazole-3-thiones 51a–e in 85–95% yields (Scheme 12) [58]. Biological activities of the synthesized compounds 51a–e were evaluated, and they showed high antioxidant activity. Moreover, all of the synthesized compounds efficiently inhibited some metabolic enzymes such as AChE (acetylcholinesterase I and II) and could be used as excellent candidate drugs in the treatment of some diseases such as mountain sickness, glaucoma, gastric and duodenal ulcers, epilepsy, osteoporosis, and neurological disorders [58].
Scheme 12.
Synthesis of bis-triazolethiones 51a–e.
Ethyl (2-aroylaryloxy)acetates 53a–d were synthesized from hydroxyl-benzophenones 52a–d with ethyl chloroacetate. The reaction of 53a–d with hydrazine hydrate gave the corresponding acylhydrazides 54a–d. Intramolecular cyclization of 54a–d with CS2 in alkaline media resulted in oxadiazole-2-(3H)thiones 55a–d. 1,2,4-Triazolo-3-thiones 56a–d were synthesized from the reaction of compounds 55a–d with hydrazine hydrate. In addition, triazolothiadiazines 57a–d were synthesized from the reaction of 56a–d with phenacyl bromide [50]. The screening of compounds 55a–d and 57a–d revealed that they possess a higher antibacterial activity than antifungal activity; also, the halo-substituted compounds showed an increased growth inhibition activity higher than that of the reference drugs such as fluconazole and chloramphenicol (Scheme 13) [50].
Scheme 13.
Synthesis of triazolethiones 57a–d.
Chlorosulfonation of ethyl 2-(3,4-dimethoxyphenyl)acetate (58) gave ethyl 2-(2-(chlorosulfonyl)-4,5-dimethoxyphenyl)acetate (59) (Scheme 14). Sulfonamides 60a–e were readily obtained via reaction of 59 with secondary amines. The desired acid hydrazides 61a–e, which were obtained by reaction of 60a–e with hydrazine hydrate, were condensed with various isothiocyanates to yield the corresponding hydrazinecarbothioamides 62a–e. Further, 1,2,4-Triazole-3-thiones 63a–e were synthesized in 44–75% yields from the cyclization 62a–e in basic media (Scheme 14) [47]. Screening of compounds 63a–e for in vitro antifungal and antibacterial activity revealed that they have the best antifungal activity compared with the reference bifonazole in addition to the same bactericidal activity as streptomycin, except for Enterobacter cloacae and Salmonella species [47].
Scheme 14.
Synthesis of 1,2,4-triazole-3-thiones 63a–e.
Refluxing of thiocarbohydrazide (38) with acetic acid or trifluoroacetic acid gave 4-amino-5-substituted-4H-1,2,4-triazole-3-thiones 11d,e (Scheme 15) [42].
Scheme 15.
Synthesis of 4-N-amino-triazolethiones 11d,e.
Various thiosemicarbazide derivatives 65a–c were then synthesized from the reaction of acid hydrazides 64a–c with 3-fluorophenyl isothiocyanates. Further, 1,2,4-triazole-3-thiones 66a–c were obtained from alkaline cyclization of compounds 65a–c with 8% NaOH solution (Scheme 16) [40].
Scheme 16.
Synthesis of triazolethiones 66a–c.
Treatment of oxadiazole thione 10a with hydrazine hydrate gave 4-amino-triazolethione (11a) which on reacting with various aldehydes gave the Schiff bases of triazolethiones 67a–d. The synthesis of 1,3,4-trisubstituted triazolethiones 69a–d was carried out from the reaction of triazolethiones 67a–d with (2-(acetoxymethyl)-6-bromotetrahydro-2H-pyran-3,4,5-triyl triacetate (68) in good yields (Scheme 17) [30]. The synthesized compounds were screened for their cytotoxic activity against human malignant cell lines (MCF-7 and Bel-7402). Interestingly, 69c showed more potent cytotoxic activity against MCF-7 cells compared with compound 67c. Compound 69b also was more active than compound 67b against MCF-7 and Bel-7402 cells [30].
Scheme 17.
Synthesis of glycosides of triazolethiones 69a–d.
A series of Pd complexes containing 1,2,4-triazole-3-thiones 71a–d [59] were synthesized from the reaction of different thiosemicarbazones 70a–d with diphenylphosphinopropane and K2[PdCl4] (Scheme 18). The reaction produced, as a minor product, compound 72 (Scheme 18) [59]. The in vitro cytotoxicity of 71a–d was evaluated against the MCF-7 cell line, with cisplatin as a reference. The complexes 71b and 71c showed significant cytotoxicity against the MCF-7 (human breast cancer) cell line compared with cisplatin [59].
Scheme 18.
Synthesis of Pd complexes of triazolethiones 71a–d.
Refluxing of 5-benzofuran-2-yl-1-phenyl-1H-pyrazole-3-carbohydrazides 73a–h with different aromatic isothiocyanates afforded the desired hydrazinecarbothioamides 74a–h. Ring closure of these compounds 74a–h occurred through refluxing with aqueous sodium hydroxide to give the target 1,2,4-triazole-3-thiones 75a–h in 78–88% yields. On the other side, when 2-bromoacetophenone was reacted with 75a–h, the reaction gave the corresponding benzothioates 76a–h in 74–86% yields (Scheme 19) [36]. Biological activity of compounds 74a–h and 76a–h showed that benzothioate 76a has a good antibacterial activity against all pathogenic bacteria compared with the standard chloramphenicol [36].
Scheme 19.
Synthesis of S-alkylated triazolethiones 76a–h.
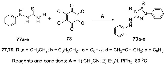
It was reported that the Eschenmoser coupling reaction was used as an efficient method to get 82–88% of diazenyl-1,2,4-triazole-5-thiones 79a–e via nucleophilic attack of disubstituted hydrazinecarbothioamides 77a–e on 2,3,5,6-tetrachloro-1,4-benzoquinone (78, p-CHL) which acted as a mediator [33] (Scheme 20).
Scheme 20.
Synthesis of triazolethiones 79a–e.
The suggested mechanism based on initial CT-complexation formation of 80a–e, which losses chlorine molecule accompanies with the addition of another molecule of 77 would give the intermediate 81 (Scheme 21). Elimination of an arylamine equivalent from 81 would give the intermediate 82, which undergoes rearrangement to give 83. The addition of a Ph3P molecule to 83 would give 84. The action of Ph3P and Et3N is to initiate the formation of triazolethione 85 via elimination of Ph3P=S and triethylammonium. Dehydrogenation of 85 by a second molecule of 78 would give the expected final product 79 together with dichlorodihydroxybenzene (86) [33] (Scheme 21).
Scheme 21.
Mechanism describes formation of triazolethiones 79a–e.
4-Amino-3-(4-methoxybenzyl)-1H-1,2,4-triazole-5(4H)-thione (88) was synthesized in 75% yield by refluxing of potassium 2-(2-(4-methoxyphenyl)acetyl)-hydrazinecarbodithioate (87) with hydrazine hydrate. Condensation of triazolethione 88 with different substituted aldehydes gave Schiff base derivatives 89a–c in 85–86% yields (Scheme 22) [43]. Screening of different Schiff bases 89a–c for anti-inflammatory and antioxidant activities showed that 89a and 89c were used as potent anti-inflammatory drugs. In addition, compound 89a was the most active antioxidant drug showing an IC50 value of 7.2 ± 2.7 μg/mL compared with that of the reference ascorbic acid (2.61 ± 0.29 g/mL) [43].
Scheme 22.
Synthesis of triazolethiones 89a–c.
(S)-2-(1-Benzylpyrrolidine-2-carbonyl)-N-butylhydrazinecarbothioamide (91) was prepared from the refluxing of (S)-1-benzylpyrrolidine-2-carbohydrazide (90) with butyl isothiocyanate. In addition, it is used as a building block for heterocyclization and synthesis of the desired (S)-3-(1-benzylpyrrolidin-2-yl)-4-butyl-1H-1,2,4-triazole-5(4H)-thione (92a) in 56% yield (Scheme 23) [36].
Scheme 23.
Synthesis of triazolethione 92a.
Moreover, 4-amino-triazole-5-thiol 94 was obtained from two routes, i.e., from the fusion of substituted propanoic acid (93) with 38 or cyclization of potassium hydrazinecarbodithioate derivative 95 with hydrazine hydrate (Scheme 24) [60].
Scheme 24.
Synthesis of triazolethiones 97a–f.
The reaction of triazolethione 94 with different aldehydes in acidic media afforded (E)-4-(substituted amino)-3-(1-(4-isobutylphenyl)ethyl)-4H-1,2,4-triazole-5-thiones 96a–f in 44–85% yields [61]. One-pot multicomponent reaction of 96a–f, formaldehyde and secondary amines afforded 2,4,5-trisubstituted triazolethiones 97a–f. Screening of the anti-inflammatory activity of the synthesized compounds revealed that Mannich bases (97b and 97e) exhibited the highest anti-inflammatory activity. Besides, the most potent anti-inflammatory molecules 97b,d–f were further examined for their analgesic activity in mice showing better analgesic activity compared to diclofenac [61].
Thiocarbohyrazide (38) was used efficiently as precursor of 4-amino-3-(1,2,3,4,5,6-hexahydroxyhexyl)-1H-1,2,4-triazole-5(4H)-thione (99) through refluxing with D-glucoheptonic acid-1,4-lactone (98) [62]. Besides, the triazole-thione 99 was reacted with different substituted benzaldehydes to afford (E)-4-amino-3-(1,2,3,4,5,6-hexahydroxyhexyl)-1H-1,2,4-triazole-5(4H)-thiones 100a–f in good to moderate yields (50–70%). Introducing a glycosyl unit into triazolethiones Schiff bases 100a–f led to good water-solubility of these compounds and also improved their biological activities (Scheme 25) [62].
Scheme 25.
Synthesis of triazolethiones 100a–f.
4-(Hydrazinylcarbonyl)-5-methyl-4,5-dihydro-1H-imidazole-3-oxides 101a–i reacted with different isothiocyanates (phenyl, t-butyl, and methyl) to give the corresponding hydrazinecarbothioamides 102a–i. Triazole-5-thiones 103a–i were obtained in 50–82% yields from the cyclization of substituted imidazole (carbonyl)hydrazinecarbothioamides 102a–i in basic media (Scheme 26) [63].
Scheme 26.
Synthesis of imidazolyl-N-oxide-triazolethiones 103a–i.
The reaction of different carboxylic acids with thiocarbohydrazide 38 gave aminotriazolethiones 11d,f–j in 51–57% yields. In a different manner, the reaction of 38 with ethyl esters of γ-keto acids did not give the expected triazolethiones 104a,b but it gave 6-substituted phenyl-7,8-dihydro-[1,2,4]triazolo[4,3-b]pyridazine-3(2H)-thiones 105a,b in 35% and 39% yields. The reaction occurred via ring closure of triazole and intramolecular imine condensation of 104a,b (Scheme 27) [64]. The prepared compounds were tested for their inhibitory activities against Mycobacterium bovis BCG; compound 11d proved to be the most potent one against it, with MIC value of 31.25 μg/mL [64].
Scheme 27.
Synthesis of pyridazino-triazolethiones 105a,b.
Natural products are used as staring materials for the synthesis of different mercapto triazoles. Hydrolysis by aqueous KOH of ((2E,4E)-5-(benzo[d][1,3]dioxol-5-yl)-1-(piperidin-1-yl)penta-2,4-dien-1-one) (106) gave 5-(benzo[d][1,3]dioxol-5-yl)penta-2,4-dienoic acid (107). (5-(Benzo[d][1,3]dioxol-5-yl)penta-2,4-dienehydrazide (108) was obtained after reacting the acid (107) with oxalyl chloride followed by hydrazine hydrate. Compounds 109a–n were prepared from reaction of the acid hydrazide 108 using different isothiocyanates. Basic hydrolysis of 109a–n efficiently gave the desired 3-((1E,3E)-4-(benzo[d][1,3]dioxol-5-yl)buta-1,3-dien-1-yl)-4-substituted-1H-1,2,4-triazole-5(4H)- thiones 110a–n in 32–51% yields (Scheme 28) [18]. The best trypanocidal activity was noted in case of 110g on proliferative forms of Trypanosoma cruzi [18].
Scheme 28.
Synthesis of triazolethiones 110a–n.
Reaction of 2-(coumarin-4-yl)acetic acid with thiocarbohydrazide (38) in refluxing phosphoryl chloride yielded the target 4-((4-amino-5-thioxo-4,5-dihydro-1H-1,2,4-triazole-3-yl)methyl)-2H-chromen-2-one (111) in 80% yield. Condensation of 111 with various aromatic aldehydes yielded (E)-4-((4-(benzylideneamino)-5-thioxo-4,5-dihydro-1H-1,2,4-triazole-3-yl)methyl)-2H-chromen-2-ones 112a–c (Scheme 29) [37]. The synthesized compounds were evaluated in vitro as anticancer agents in the human colon cancer (HCT 116) cell line. Compound 112c showed high anticancer activity (relative potency >50%) with IC50 value of 4.363 μM compared to the potent anticancer drug doxorubicin, whereas compound 112a displayed moderate anticancer activity with IC50 values 18.76 μM. The molecular docking studies of the active compounds revealed that these compounds might act via inhibition of tyrosine kinases (CDK2) [37].
Scheme 29.
Synthesis of chromen-2-ones derived by triazolethiones 112a–c.
Compound 2-(ethylthio)benzohydrazide (114) was obtained by refluxing ethyl 2-(ethylthio)benzoate (113) with hydrazine hydrate. Then, subjecting 114 with various aryl isothiocyanates yielded the thiosemicarbazides 115a–e. Compounds 115a–e were then cyclized to N-substituted triazolethiones 116a–e in 69–75% yields (Scheme 30) [65]. Compounds 115a,b and 116a, were effectively used as antioxidant agents with IC50 values of 1.08, 0.74, and 0.22 μg/mL, respectively, compared to gallic acid (IC50 = 1.2 μg/mL) [65].
Scheme 30.
Synthesis of triazolethiones 116a–e.
Phosphorylated triazolethione 119 was formed in 90% yield from the cyclization process of N-allyl-2-(2-(diphenylphosphoryl)acetyl)hydrazinecarbothioamide 118 (obtained from 2-(diphenylphosphoryl)acetohydrazide (117) with allyl isothiocyanate) in basic media (5%) NaOH [42]. Moreover, ethyl 2-((4-allyl-5-((diphenylphosphoryl)-methyl)-4H-1,2,4-triazole-3-yl)thio)acetate (120) was synthesized in 68% yield by reacting 119 with ethyl bromoacetate. Hydrazinolysis of compound 120 gave 2-((4-allyl-5-((diphenylphosphoryl)methyl)-4H-1,2,4-triazole-3-yl)thio)acetohydrazide (121) in 43% yield (Scheme 31) [42].
Scheme 31.
Synthesis of triazolethione 121.
Incorporating of triazolethiones into thiazole ring was the optimum pharmacophore model for anticonvulsant activities, thus condensation of ethyl thiazol-2-ylcarbamates 122a–d with 4-substituted thiosemicarbazides 23c–f afforded the corresponding hydrazinecarbothioamides 123a–d. Cyclization of the latter with aqueous sodium hydroxide gave 4-substituted phenyl-3-((4-aryl-4,5-dihydrothiazol-2-yl)amino)-1H-1,2,4-triazole-5(4H)-thiones 124a–d in 62–84% yields [66] (Scheme 32). The obtained compounds were screened for their anticonvulsant activity and showed that compounds 124d and 124e had a significant anticonvulsant activity compared with the standard drugs [66].
Scheme 32.
Synthesis of 2,4-triazole-5(4H)-thiones 124a–d.
The condensation of (E)-1-(phenoxathiin-2-yl)-3-phenylprop-2-en-1-one (125) with malononitrile afforded 2-amino-6-(phenoxathiin-2-yl)-4-phenylnicotinonitrile (126). In addition, compound 126 reacted with triethyl orthoformate in acetic anhydride to give formimide 127, which upon hydrazinolysis with phenyl hydrazine yielded 4-imino-7-(phenoxathiin-2-yl)-5-phenylpyrido[2-d]pyrimidin-3(4H)-amine (128). The reaction of the latter with CS2 gave 16-phenyl-[1,2,4]triazolo-pyrimido[4-b]benzo[5,6][1,4]oxathiino[3,2-g]quinoline-2(3H)-thiones 129 (Scheme 33) [50].
Scheme 33.
Synthesis of [1,2,4]triazolo-pyrimido[4-b]benzo[5,6][1,4]oxathiino[3,2-g]quinoline-2(3H)-thiones 129.
2-(Adamantanyl-1-carbonyl)-N-phenylhydrazinecarbothioamide (130) was synthesized from the reaction of adamantane-1-carbohydrazide (9d) with phenyl isothiocyanate. Thereafter, 3-(adamantan-1-yl)-4-phenyl-1H-1,2,4-triazole-5(4H)-thione 131a was synthesized via basic hydrolysis of 130a with NaOH. Then, 3-(adamantan-1-yl)-1-((piperidin-4-yl)methyl)-4-phenyl-1H-1,2,4-triazole-5(4H)-thiones 132a–f were obtained from the reaction of compound 131a with 1-substituted piperazine and formaldehyde solution [34] (Scheme 34). The synthesized N-Mannich bases of triazolethiones 132b–f screened against Gram-positive and -negative bacteria in addition to some pathogenic fungus (Candida albicans) revealed that they had potent antibacterial activity [34].
Scheme 34.
Synthesis of 1,2,4-triazole-5(4H)-thiones 132a–f.
Hydrolysis of disubstituted hydrazinecarbothioamides 130b–d with aqueous sodium hydroxide gave 1,2,4-triazole-5-thiones 92b–d. Mannich reaction of 1,2,4-triazole-5-thiones 92b–d, 1-[(1R,2S)-2-fluorocyclopropyl]CPFX (133) and formaldehyde afforded 1-[(1R,2S)-2-fluorocyclopropyl]CPFX-1,2,4-triazole-5-thiones 134a–c in 52–57% yields (Scheme 35) [67].
Scheme 35.
Synthesis of 1,2,4-triazole-thiones of 1-[(1R,2S)-2-fluorocyclopropyl]-CPFX 134a–c.
Antibacterial activity against different pathogens showed that all of the CPFX-1,2,4-triazole-5-thiones 134a–c were more potent than the parent 1-[(1R,2S)-2-fluorocyclopropyl]-CPFX 133 and comparable to ciprofloxacin and levofloxacin against the majority of the tested pathogens. Moreover, the anti-Gram negative bacterial activity of 134a–c was far more potent than the reference named Vancomycin (VAN) [67].
The reaction of acid hydrazide 9e–g and 2-(4-isothiocyanatophenyl)-1H-benzo[d]imidazole gave N-(4-(1H-benzimidazol-2-yl)phenyl)-2-benzoylhydrazine-carbothioamides 135. Ring closure of compound 135 in acidic media afforded 1,2,4-triazole-5-thiones 136 [28] in 55–64% yields (Scheme 36). Screening of the obtained compounds for antibacterial and antifungal activities showed that some of these compounds exhibited good antibacterial and antifungal activities [28].
Scheme 36.
Synthesis of 1,2,4-triazole-thiones 136.
Condensation of 4-amino-3-methyl-1-phenyl-1H-thieno[2,3-c]pyrazole-5-carbonitrile (137) with triethyl orthoformate in the presence of acetic anhydride as catalyst gave (Z)-ethyl N-(5-cyano-3-methyl-1-phenyl-1H-thieno[2,3-c]pyrazol-4-yl)formimidate (138). Hydrazinolysis of 138 with hydrazine hydrate yielded 7-imino-3-methyl-1-phenyl-1H-pyrazolothieno[3,2-d]pyrimidin-6(7H)-amine (139), whereas cyclization of pyrazolothienopyrimidines 139 with CS2 afforded 7-methyl-9-phenyl-3,9-dihydro-2H-pyrazolothieno[2,3-e][1,2,4]triazolo[1,5-c]pyrimidine-2-thione (140) in 35% yield (Scheme 37) [54].
Scheme 37.
Synthesis of 1,2,4-pyrazolothieno[2,3-e][1,2,4]triazolo[1,5-c]pyrimidine-2-thione 140.
The cyclization reaction of longer alkenyl/hydroxyl alkenyl acid hydrazides 9h–k CS2/KOH followed by treatment with hydrazine hydrate yielded the corresponding 4-amino-3-substituted-1H-1,2,4-triazole-5(4H)-thiones 11k–n. 1,2,4-Triazolothiadiazines 141a–d were directly obtained from the reaction of amino triazolethiones 11k–n with phenacyl bromide in 62–90% yields (Scheme 38). In vitro screening of anticancer activity against three different cell lines, i.e., human hepatocellular carcinoma (Hep3B), human breast adenocarcinoma (MCF7), and human cervical carcinoma (HeLa), towards triazolethione and triazolothiadiazines showed that the nature of the long-chain on third position affected the potency of these drugs. Besides, fused triazolothiadiazines 141a–d were found to be potential anticancer agents [68].
Scheme 38.
Synthesis of fused triazolothiadiazines 141a–d.
Similarly, the reaction of acid hydrazides 142a–i with isothiocyanates afforded the acylhydrazides 143a–i (Scheme 39). The triazolethiones 144a–i were then obtained in 62–90% yields from the reaction of thiosemicarbazides 143a–i in NaHCO3 in ethanol (Scheme 39) [69]. The 1,2,4-triazolethione 144g was found to be the best anti-inflammatory nucleus via inhibiting both COX-2 (IC50 = 2.1 μM) and 5-LOX (IC50 = 2.6 μM) enzymes, and this was supported via enzyme-ligand molecular modeling (docking studies), which gave favorable binding interactions in both COX-2 and 5-LOX active sites. It also has a superior gastrointestinal safety profile (ulcer index = 0.25) compared to the reference drug [69].
Scheme 39.
Synthesis of triazolethiones 144a–i.
Interestingly, esterification of 1H-benzimidazoles 145a–e with ethyl chloroacetate gave ethyl 2-(2-phenyl-1H-benzo[d]imidazol-1-yl)acetates 146a–e, which upon reacting with hydrazine hydrate gave the acid hydrazide 147a–e. Also, N-methyl-2-(2-(2-phenyl-1H-benzo[d]imidazol-1-yl)acetyl)hydrazinecarbothioamides 148a–e were formed by the reaction 147a–e with methyl isothiocyanate. Ring closure of hydrazine-carbothioamides 148a–e with aqueous NaOH afforded the biologically active triazolethiones 149a–e in 51–64% yields, with significant antioxidant properties (Scheme 40) [70].
Scheme 40.
Synthesis of triazolethiones 149a–e.
Reaction of 2-((3,5,6-trichloropyridin-2-yl)oxy)acetic acid (150) with thionyl chloride gave compound 151. Additionally, the treatment of compound 151 with hydrazine hydrate gave (3,5,6-trichloropyridin-2-yl)hydrazine-carboxylate (152). When the acid hydrazide 152 was then subjected to aqueous potassium thiocyanate, 2-(2-((3,5,6-trichloropyridin-2-yl)oxy)acetyl)hydrazine-carbothioamide (153) was obtained. Cyclization of 153 in basic media afforded 1H-1,2,4-triazole-5(4H)-thione 154) [71]. On the other side, various S-alkylated products 155a–e were obtained via reacting substituted benzyl chlorides with triazolethiones 154. However, the reaction of morpholine, formaldehyde, and compound 155a–e gave the N-alkylated morpholino-triazolethiones 156a–e, which on oxidation with H2O2 in acidic media gave 3,4,5-trisubstituted-1,2,4-triazoles 157a–e in 54–69% yields [71]. The synthesized compounds 157a–e screened for their antimicrobial activity revealed that 157c exhibited better antibacterial and antifungal activities than the other compounds (Scheme 41) [71].
Scheme 41.
Synthesis of 3,4,5-trisubstituted-1,2,4-triazoles 157a–e.
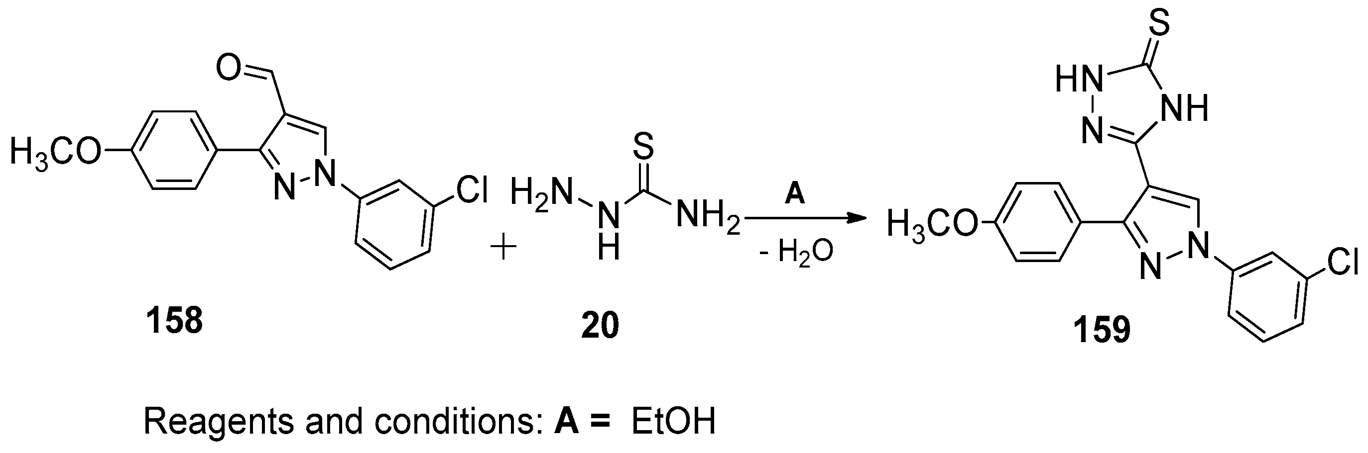
On refluxing of 1-(3-chlorophenyl)-3-(4-methoxyphenyl)-1H-pyrazole-4-carbaldehyde (158) with thiosemicarbazide (20), the reaction proceeded to give the corresponding 3-(1-(3-chlorophenyl)-3-(4-methoxyphenyl)-1H-pyrazol-4-yl)-1H-1,2,4-triazole-5(4H)-thione (159) (Scheme 42). The bioassay of triazolethione 159 showed that it has significant anti-inflammatory activity [72].
Scheme 42.
Synthesis of triazolethione 159.
Fusion of thiocarbohydrazide (38) with 2-(1,3-dioxoisoindolin-2-yl)acetic acid (160) gave the 2-((4-amino-5-thioxo-4,5-dihydro-1H-1,2,4-triazole-3-yl)methyl)-isoindoline-1,3-dione (161) in 69% yield. The synthesis of triazolethione Schiff bases 162a–i was achieved, in 35–66% yield, by refluxing of 161 with different aromatic aldehydes. Besides, Mannich bases 163a–h were easily obtained from the reaction of Schiff bases 162a–i with formaldehyde and morpholine in 39–82% yields (Scheme 43) [73]. The antimicrobial bioassay of these compounds 163a–h showed that antimicrobial activity was increased by introducing azomethine group and also by the addition of morpholine group leading to prospective antimicrobial agents with 163a–b, 163e–f, and 163h [73].
Scheme 43.
Synthesis of triazolethiones 163a–h.
Synthesis of Spiro-1,2,4-triazolethiones
Spiro-triazolethiones 165a–c were also obtained from donor–acceptor interactions in such as in case of reacting hydrazinecarbothioamides 23a,g–h with trinitrofluorenone (DTF) 164 in addition to 1,4-disubstituted hydrazine-carbothioamides 166a–c in 23–25% yields, respectively (Scheme 44) [74].
Scheme 44.
Synthesis of spiro-triazolethiones 165a–c.
It was reported that thiosemicarbazide (20) reacted with dihydropyridazin-1(4H)-yl)acetate to get ethyl 2-(substituted phenyl)-3-thioxo-1,2,4,6,7-pentaazaspiroacetate (168) [75] (Scheme 45).
Scheme 45.
Synthesis of ethyl 2-(substituted phenyl)-3-thioxo-1,2,4,6,7-pentaazaspiroacetate (168).
Patil et al. [32] reported the synthesis of a series of spiro-1,2,4-triazole-3-thiones 169a–g varied from good to excellent yields (55–95%) from thiosemicarbazide (20) and different cyclic ketones using different catalysts, the most effective catalyst was 1,1′-sulfinyldipyridinium bis(hydrogen sulfate) ionic liquid which gave high yield and short reaction time in alcohol at room temperature (Scheme 46).
Scheme 46.
A series of spiro-1,2,4-triazole-3-thiones 169a–g.
The synthesis of 1-acetyl-5′-thioxospiro[indoline-3,3′-[1,2,4]triazolidin]-2-one (170), in 87% yield, was achieved by the reaction of 1-acetylindoline-2,3-dione with thiosemicarbazide 20 catalyzed by acidic ionic liquid (Scheme 47). Compound 170 showed good antibacterial activity [30].
Scheme 47.
Synthesis of 1-acetyl-5′-thioxospiro[indoline-3,3′-[1,2,4]triazolidin]-2-one (170).
Reactions of thiosemicarbazides 171a–j with various π-acceptors such as benzo- or naphthoquinones 78a,b led to different fused heterocyclic rings [76]. However, spiro-1,2,4-triazole-3-thiones 174a–j were obtained from the reaction of cycloalkanone-thiosemicarbazides 171a–j with benzo- or naphthoquinones 78a,b in 80–85% yields (Scheme 48) [76].
Scheme 48.
Synthesis of spiro-1,2,4-triazole-3-thiones 174a–j.
Substituted thiosemicarbazone 176 was cyclized to the corresponding spirotriazolethione 179 in 70–82% yields through the intermediates 177 and 178 (Scheme 49) [77].
Scheme 49.
Synthesis of spirotriazolethione 179.
(1R,2R,4R,5S)-2,4-Disubstituted phenyl-3-azabicyclo[3.3.1]nonan-9-one hydro-chlorides 180a–g reacted with ammonia to give (1R,2R,4R,5S)-2,4-disubstituted phenyl-3-azabicyclo[3.3.1]nonan-9-ones 181a–g (Scheme 50) [31]. Condensation of compounds 181a–g with thiosemicarbazide 20 afforded compounds 182a–g, which upon cyclization in the presence of m-chlorobenzaldehyde efficiently gave spiro-1,2,4-triazoline-3′-thiones 183a–g in 50–70% yields (Scheme 50). Screening of these spiro-triazolethiones 183a–g for antibacterial and antifungal activities showed that compounds 183b–e had excellent antifungal activity against all the tested microorganisms. However, compounds 183d,e showed excellent antibacterial activity against β-H. streptococcus. Besides, compounds 183b–c,e showed varied activities toward the tested Gram-positive and -negative strains [31].
Scheme 50.
Synthesis of spiro-triazolethiones 183a–g.
5-Substituted-5′-thioxospiro[indoline-3,3′-[1,2,4]triazolidin]-2-ones 185a–d (83–89% yields) successfully were obtained from the reaction of different 5-substituted indoline-2,3-diones 184a–d with 20 in water and catalyzed by using glycine nitrate. In the same manner, bis-spirotriazolethione 187 was synthesized from the reaction of 1,1′-(propane-1,3-diyl)bis(5-bromoindoline-2,3-dione) 186 with 20 in 89% yield (Scheme 51) [78].
Scheme 51.
Synthesis of bis-spirotriazolethione 187.
Condensation of gonanone derivatives 188a–c with 20 in acidic media gave the corresponding thiosemicarbazones 189a–c. Oxidative cyclization of thiosemicarbazones 189a–c with hydrogen peroxide yielded the corresponding (5S)-10,13-dimethyl-17-octylhexadecahydrospiro-[cyclopenta[a]phenanthrene-6,3′-1,2,4triazolidine]-5′-thiones 190a–c in 66–78% yields (Scheme 52) [79].
Scheme 52.
Synthesis of spiro-[cyclopenta[a]phenanthrene-6,3′-1,2,4triazolidine]-5′-thiones 190a–c.
Microwave irradiation was used as an efficient method to get good yields with a shorter time than the classical method for the synthesis of 6,6-dimethyl-phenyl-1,2,4,8-tetrazaspiro[4.5]decane-3-thiones 193a–e via formation of thiosemicarbazone intermediates 192a–e, which was obtained from the reaction of 3,3-dimethyl-phenylpiperidin-4-ones 191a–e with 20 (Scheme 53) [80].
Scheme 53.
Synthesis of tetrazaspiro[4.5]decane-3-thiones 193a–e.
Similarly, the reaction of 3-alkyl-2,6-diphenylpyran-4-ones 194a–f with 20 or 4-phenyl hydrazinecarbothioamides 23 gave thiosemicarbazones 195a–f. Oxidative cyclization of 195a–f with hydrogen peroxide led to the expected 7,9-diphenyl-8-oxa-1,2,4-triazaspiro[4.5]decane-3-thiones 196a–f. The synthesized compounds were tested for antimicrobial activity against Staphylococcus aureus, Escherichia coli, Pseudomonas aeruginosa, Salmonella typhi, Aspergillus flavus, Aspergillus niger, Candida albicans, and Rhizopus sp. Compounds 196e and 196f showed potent antibacterial activity against E. coli and S. typhi. However, compounds 196d and 196f were potent against Rhizopus sp., whereas compound 196e gave significant antifungal activity against Aspergillus flavus (Scheme 54) [81].
Scheme 54.
Synthesis of 1,2,4-triazaspiro[4.5]decane-3-thiones 196a–f.
Aly et al. [82] reported that reaction of equal equivalents of both N-substituted hydrazinecarbothioamides 23a,i with 2-(bis(methylthio)methylene)malononitrile (197) in dry ethanol catalyzed by few drops of Et3N for 3 h afforded a colorless precipitate of 5-amino-4-cyano-3-(methylthio)-N-phenyl-1H-pyrazole-1-carbothioamide (198) as the major product in 65% yield together with 3,4-disubstituted amino-1H-1,2,4-triazole-5(4H)-thiones 199a,b and pyrazole carbonitrile 200 as minor products (Scheme 55) [82].
Scheme 55.
Formation of triazolothiones 199a,b.
3. Reactions of 1,2,4-Triazolethiones
3.1. Synthesis of Open-Chain Compounds
The synthesis of mono and bipolar surfactants 201a–d and 202a–d was achieved by the reaction of 3-methyl-1H-1,2,4-triazole-5(4H)-thione (30c) and 3-phenyl-1H-1,2,4-triazole-5(4H)-thione (30d) with various alkyl bromides. However, in the case of n-dodecyl bromide, a mixture of two isomers 203 and 204 was obtained from the reaction of 201a–d and 202a–d with another molecule of alkyl bromide. In addition, bis-1,2,4-triazoles 205a,b were obtained from the reaction of linear dibromoalkanes with 3-methyl-1H-1,2,4-triazole-5(4H)-thione (30c) (Scheme 56) [83].
Scheme 56.
Synthesis of bis-1,2,4-triazoles 205a,b.
Actylation of 3-substituted aminotriazolethione 206 by acetic anhydride afforded 4-substituted-1,2,4-triazole-5-thione 207 in 52% yield (Scheme 57). Additionally, ethyl 2-((4-amino-5-((6-methyl-2,4-dioxo-1,2,3,4-tetrahydropyridin-3-yl)methyl)-4H-1,2,4-triazole-3-yl) thio)acetate (208) can be obtained in 50% yield upon reacting ethyl 2-bromoacetate with compound 206 (Scheme 57) [84].
Scheme 57.
Synthesis of 1,2,4-triazole-3-yl)thio)acetate (208).
Reaction of various 1,2,4-triazolethiones 19a–g with alkyl or aryl isothiocyanates gave 1-substituted-3-(4-((4-substituted-5-thioxo-4,5-dihydro-1H-1,2,4-triazole-3-yl)-methoxy)phenyl)thio-ureas 209a–g (Scheme 58). All the synthesized compounds 209a–g evaluated against antiviral, anti-HIV, and anti-tuberculosis activity showed that compound 209g was the most active one with 79% inhibition against Mycobacterium tuberculosis H37Rv and also gave moderate protection against Coxsackievirus B4 with an MIC value of 16 mg/mL and a selectivity index of 5 [21].
Scheme 58.
Synthesis of 1,2,4-triazolethiones 209a–g.
Condensation of 4-amino-5-(pyridin-3-yl)-1,2,4-triazolidine-3-thione (11o) with 4-chlorobenzaldehyde yielded 4-chlorobenzylideneamino-5-(pyridin-3-yl)-1,2,4-triazolidine-3-thione (210). (E)-4-Chloro-benzylideneamino-5-(methylthio)-3-(pyridin-3-yl)-1,2,4-triazole 211 was synthesized form the reaction of 210 with methyl iodide. Finally, the trisubstituted 1,2,4-triazole 215 was synthesized in presence of iodide anion through the intermediates 212–214 (Scheme 59) [85].
Scheme 59.
Synthesis of trisubstituted 1,2,4-triazole 215.
The reaction of propargyl bromide with 5-(substituted phenyl)-1,2,4-triazolidine-3-thiones 21a,c–j yielded 3-substituted-5-(prop-2-yn-1-ylthio)-4,5-dihydro-1H-1,2,4-triazoles 216a–i in 62–77% yields. Besides, the reaction of compounds 216a–i with iodine afforded (E)-5-((2,3-diiodoallyl)thio)-3-(substituted phenyl)-1,2,4-triazoles 217a–i in 75–92% yields and traces of thiazolotriazoles 218a–i in 44–59% yields (Scheme 60) [86].
Scheme 60.
Synthesis of 3-(substituted phenyl)-1,2,4-triazoles 217a–i.
The synthesis of S- and N-alkylated products of triazolethiones 219 and 220 was achieved by the reaction of 1-(3,4-dichlorobenzyl)-1H-1,2,4-triazole-3-thiol (27) with 1-bromooctane in basic media using tetrabutylammonium bromide (TBAB) as a catalyst in acetone for several minutes. Besides, 3-((2-bromoethyl)thio)-1-(3,4-dichlorobenzyl)-1H-1,2,4-triazole (221) and 2-(2-bromoethyl)-1-(3,4-dichlorobenzyl)-1H-1,2,4-triazole-3(2H)-thione (222) were prepared from the reaction of 27 with 1,2-dibromoethane as mentioned before. On the other hand, reacting 222 with 1,2,4-triazole afforded 2-(2-(1H-1,2,4-triazol-1-yl)ethyl)-1-(3,4-dichlorobenzyl)-1H-1,2,4-triazole-3(2H)-thione (223), whereas reaction of 1,2,4-triazole with 221 gave 3-((2-(1H-1,2,4-triazol-1-yl)ethyl)thio)-1-(3,4-dichlorobenzyl)-1H-1,2,4-triazole (224) [87]. The screening of antibacterial and antifungal activities showed that introducing a triazolium moiety in 223 and 224 would improve antibacterial and antifungal activities [87] (Scheme 61).
Scheme 61.
Synthesis of 1,2,4-triazol-1-yl)ethyl)thio)-1-(3,4-dichlorobenzyl)-1H-1,2,4-triazole (224).
Reaction of 4-phenyl-5-(pyridin-3-yl)-1,2,4-triazole-3-thiol (92b) with ethyl bromoacetate gave 1,2,4-triazolthioacetate 225 which on reacting with hydrazine hydrate afforded the desired acetohydrazide 226. Moreover, the synthesis of various N-substituted-2-(2-((4-phenyl-5-(pyridin-3-yl)-4H-1,2,4-triazole-3-yl)thio)acetyl)hydrazinecarbothioamides 227a–f was achieved by reacting 226 with isothiocyanates (Scheme 62) [88].
Scheme 62.
Synthesis of 1,2,4-triazole-3-yl)thio)acetyl)hydrazinecarbothioamides 227a–f.
Subjecting 4-substituted 3-((diphenylphosphoryl)methyl)-1H-1,2,4-triazole-5(4H)-thiones 119a,b with ethyl acrylate gave ethyl 3-(3-((diphenylphosphoryl)methyl)-4-substituted-5-thioxo-4,5-dihydro-1H-1,2,4-triazol-1-yl)propanoates 228a–c [89] (Scheme 63).
Scheme 63.
Synthesis of triazolethiones 228a–c.
The Schiff bases of 4-amino-3-((phenoxy)methyl)-1H-1,2,4-triazole-5(4H)-thiones 230a–e were synthesized upon reacting 4-aminotriazolethiones 229a–e with different aldehydes. Additionally, reaction of 230a–e with chloroacetic acid and catalyzation by pyridine gave 2-((4-(substituted benzylideneamino)phenoxymethyl-4H-1,2,4-triazole-3-yl)thio)acetic acid derivatives 231a–e in 66–70% yields. The former compounds were screened for antimicrobial activities showing that compounds 231b and 231d have good antifungal activities against Aspergillus niger, Cryptococcus neoformans, and Aspergillus fumigatus at MIC of 0.25 μg/mL compared to the standard drug fluconazole with MIC of 1 μg/mL (Scheme 64) [90].
Scheme 64.
Synthesis of 1,2,4-triazole-3-yl)thio)acetic acid derivatives 231a–e.
The reaction of 11o with compound 68 afforded disubstituted aminotriazolethiones 232 in 57% and 233 in 40%. Deamination of compounds 232 and 233 was achieved using nitrous acid in acidic media to afford 234 and 235 in 75% and 85% yield, respectively. In addition, deacetylation of 234 and 235 with methanolic ammonia gave the free nucleosides 236 and 237 in 70% and 88% yield, respectively [91]. Screening of antibacterial and antifungal activities of these compounds revealed that S-alkylated derivatives 232, 234, and 236 have a higher inhibitory effect against Aspergillus fumigatus, Syncephalastrum racemosum, and Staphylococcus aureus as well as a lower inhibitory effect against Penicillium italicum and Bacillus subtilis compared to N-alkylated derivatives 233, 235, and 237 (Scheme 65) [91].
Scheme 65.
Synthesis of nucleosides 236 and 237.
Refluxing of 3-(adamantan-1-yl)-4-methyl-triazolethione 131b with 2-aminochloride derivatives afforded S-(2-aminomethyl) and N-(2-aminomethyl) derivatives 238 and 132g in 3:1 ratio, respectively [92]. Besides, 3-(adamantyl)-5-((2-methoxyethyl)thio)-4-phenyl-1,2,4-triazole 239 was obtained from the reaction of 1-bromo-2-methoxyethanone with 3-(adamantan-1-yl)-4-phenyl-1H-1,2,4-triazole-5(4H)-thione 131a. However, in the case of ethyl bromo acetate, two products were formed, ethyl 2-((5-(adamantan-1-yl)-4-phenyl-1,2,4-triazole-3-yl)thio)acetate 240 that converted to 2-((5-(adamantan-1-yl)-4-phenyl-4H-1,2,4-triazole-3-yl)thio)acetic acid 241. Moreover, reaction of aryl methyl halides with 3-(adamantan-1-yl)-4-phenyl-1H-1,2,4-triazole-5(4H)-thione 131a afforded 3-(adamantan-1-yl)-5-((substituted benzyl)thio)-4-phenyl-4H-1,2,4-triazoles 242a–e (Scheme 66). The synthesized compounds were tested against anti-inflammatory and antimicrobial activities. Compounds 240 and 241 exhibited good anti-inflammatory activity, whereas compounds 240, 241, and 242c–e proved potent antibacterial activity against the tested microorganisms (Scheme 66) [92].
Scheme 66.
Synthesis of thio-4-phenyl-4H-1,2,4-triazoles 242a–e.
The reaction of aminotriazolethiones 243a–i with different aldehydes afforded various arylidenes 244a–l, which upon reacting with 133 gave substituted triazoles 245a–i (Scheme 67). The bioassay of antibacterial and antifungal activities of 245a–i revealed that they have better antifungal than antibacterial activities; also, compounds 245b,c,f,j,k,l showed excellent antifungal activity against Candida albicans with an MIC of 16 μg/mL [93].
Scheme 67.
Synthesis of substituted triazoles 245a–i.
Mannich reaction of arylidene derivatives of triazolethiols 246 with formaldehyde and benzyl piperazine or 4-substituted pyrimidyl/phenyl/pyridylpiperazine in ethanol at room temperature led to new Mannich bases 247a–c and 248a–c in 67–74% and 72–83% yields, respectively [94] (Scheme 68). The bioassay of the synthesized compounds revealed that these compounds could be used as new fungicides, whereas compounds 247a–c exhibited higher and wider fungicidal activities comparable with that of control triadimefon (Scheme 68) [94].
Scheme 68.
Synthesis of substituted triazoles 248a–c.
Reacting 4,5-disubstituted triazolethiones 249 with pipemidic acid 250 afforded 8-ethyl-2-(4-((3,4-disubstituted-5-thioxo-4,5-dihydro-1H-1,2,4-triazol-1-yl)methyl)piperazin-1-yl)-5-oxo-5,8-dihydropyrido[2,3-d]pyrimidine-6-carboxylic acid derivatives 251, which exhibited significant antimicrobial activities [95] (Scheme 69).
Scheme 69.
Reaction of triazolethione 249 with pipemidic acid 250.
Schiff bases of triazolethiones 67a–c were obtained from the reaction of 4-substituted benzaldehyde with 4-amino-3-substituted-1,2,4-triazole-5-thiones 11a–c. Besides, the reaction of compounds 67a–c, formaldehyde, and 4-substituted piperazine gave the corresponding Mannich base 252a–c. In addition, bis-Mannich base derivatives 253a–c were synthesized in case of reaction of 67a–c with piperazine (Scheme 70) [52].
Scheme 70.
Synthesis of triazolethiones 252- and 253a–c.
Reaction of 3,4-disubstituted triazolethioles 66a–c with 2-bromoacetophenones gave ((3,4-disubstituted-1,2,4-triazole-3-yl)thio)-1-phenyl-ethanones 254a–c in 70–82% yields and ((3,4-disubstituted-1,2,4-triazole-3-yl)thio)-1-(4-fluorophenyl)ethanones 255a–c in 72–85% yields [96]. The screening of the antioxidant activity using the 2,2-diphenyl-1-picrylhydrazyl (DPPH) method revealed that the corresponding hydrazinecarbothioamides showed excellent antioxidant activity, while 1,2,4-triazole-3-thiones showed good antioxidant activity (Scheme 71) [96].
Scheme 71.
Synthesis S-alkylated triazoles 254a–c and 255a–c.
The reaction of 4-amino-5-((4-(bis(4-fluorophenyl)methyl)piperazin-1-yl)methyl)-4H-1,2,4-triazole-3-thiol (256) with benzyl bromide gave 3-(benzylthio)-5-((4-(bis(4-fluorophenyl)-methyl)piperazin-1-yl)methyl)-4H-1,2,4-triazole-4-amine (257) in 72% yield (Scheme 72) [97].
Scheme 72.
Synthesis of triazolebenzylthiol 257.
3.2. Synthesis of Substituted Triazolethiones
Synthesis of Pyrazolo-1,2,4-triazoles
Compounds 4-Amino-5-(3-substituted pyrazolyl)triazolethiols 259a–d, 260a,b, and 261a–c in 61–78% yields were synthesized via reacting 4-aminotriazole-3-thiol (258), dimethoxy-N,N-dimethylmethanamine, and carbonyl compounds using acidic media (orthophosphoric acid) as catalyst [98] (Scheme 73). The mechanism describing the role of orthophosphoric acid is presented in Scheme 74.
Scheme 73.
Synthesis of triazolethiols 259–261a–c.
Scheme 74.
Mechanism describes formation of triazolethiols 259a–c.
Condensation of 5-chloro-1-phenyl-3-(substituted)-1H-pyrazole-4-carbaldehyde with amino-triazolethiones 11d,e furnished the corresponding Schiff bases 246a,b. Bis-aminotriazolethiones 262a,b can be obtained effectively in high yields (83–89% yields upon reaction of 246a,b with piperazine and formaldehyde in ethanol at room temperature) (Scheme 75) [61].
Scheme 75.
Synthesis of triazolethiones 262a,b.
3.3. Synthesis of Fused Triazoles
3.3.1. Synthesis of Fused Pyrazolotriazoles
The synthesis of pyrazolotriazoles 265a–d was easily established in 75–80% yields from the reaction of 4-amino-5-(substituted indole)-1,2,4-triazole-3-thiols 263a–d with N-arylhydrazonoacetates using basic media of triethylamine via the intermediate 264a–d. Desulfurization and ring contraction of compounds 264a–d gave the target compound 265a–d (Scheme 76) [99].
Scheme 76.
Synthesis of pyrazolotriazoles 265a–d.
3.3.2. Synthesis of Thiazolotriazoles
The condensation reaction of 3-substituted-1,2,4-triazole 266a–c with chloroacetic acid in acidic media afforded thiazolotriazoles 267a–c in 65–69% yields. Interestingly, the synthesized compounds were screened for their antioxidant and antimicrobial activities [100] (Scheme 77). Compound 267a exhibited effective antimicrobial activity towards all the tested organisms.
Scheme 77.
Synthesis of thiazolotriazoles 267a–c.
However, in case of refluxing of 4H-1,2,4-triazole-3-thiol (268) with chloroacetic acid and different aldehydes or isatin derivatives in acidic media, various 5-substituted arylidene-thiazolotriazoles 269a–e in 49–68% yields or (Z)-5-(1-acetyl-2-oxo-1H-indol-3(2H,3aH,7aH)-ylidene)thiazolo[3,2-b]-1,2,4-triazol-6(5H)-ones 270 were efficiently synthesized in 40% yield (Scheme 78) [101]. Screening of the obtained compounds for anticancer activity revealed that 5-arylidene-[1,3]thiazolo[3,2-b][1,2,4]triazol-6-ones 269a–e exhibited more potent anticancer activity than respective amides [101].
Scheme 78.
Synthesis of triazolo[1,3,4]-thiadiazoles 269a–e and 270.
The reaction of different bromomalononitrile derivatives with 3-substituted triazolethiones 30a–e produced the corresponding thiazolo-1,2,4-triazole carbonitriles 271a–e [102] (Scheme 79).
Scheme 79.
Synthesis of thiazolo-1,2,4-triazole carbonitriles 271a–e.
The synthesis of N-aryl-2-(6-oxo-5,6-dihydrothiazolo[3,2-b][1,2,4]triazol-5-yl)acetamides 272 was achieved in 60–87% yields from the reaction of 268 with N-arylmaleimides in acidic media. It was established from the structure–activity relationship of these compounds that halo-substituted derivatives have a considerable increase in anticancer activities [103] (Scheme 80).
Scheme 80.
Synthesis of dihydrothiazolo[3,2-b][1,2,4]triazol-5-yl)acetamides 272a–e.
Shah et al. [104]. have reported the synthesis of thiazolotriazoles 275 in 77–85% yields via refluxing of 5-phenyl-1,2,4-triazole-3-thiol (30d) with dibenzoylacetylene (273) through the intermediate 270 (Scheme 81).
Scheme 81.
Synthesis of thiazolotriazole 275.
3.3.3. Synthesis of Triazolothiadiazoles
Triazolo[3,4-b][1,3,4]thiadiazoles 276a–g and 277a–e were obtained from refluxing of different aromatic carboxylic acids with 11o in the presence of phosphorous oxychloride [105]. Screening of the synthesized compounds against lung carcinoma (H157) and kidney fibroblast cell lines (BHK-21) showed that compound 277d has the highest inhibition activity of 74.0% for BHK-21 cells which is the same as that of standard drug vincristine (74.5%). Compound 276c,d,g showed less inhibition values, and triazolothidiazole 276a was the most potent compound with inhibition value of 85.5%, whereas compounds 276b,f and 277a exhibited less inhibition values (Scheme 82) [105].
Scheme 82.
Synthesis of triazolo[1,3,4]-thiadiazoles 276 and 277.
The synthesis of fused heterocyclic[1,2,4]triazolo[3,4-b]-1,3,4-thiadiazoles 278a–c and 281a–c was done by the reaction of 4-amino-5-(4-((4-X-phenyl)sulfonyl)phenyl)-4H-1,2,4-triazole-3-thiol (11p,q) with aryl isothiocyanates or with various aromatic acids. Antimicrobial screening of the synthesized compounds showed that they had good antimicrobial activity (Scheme 83) [106].
Scheme 83.
Synthesis of triazolo[1,3,4]-thiadiazoles 278–281a–c.
When 3-substituted methylaminotriazolethione 11r was condensed with different aldehydes, arylidene derivatives of triazolethiones 282a–c were obtained in 54–66% yield, whereas triazolothiadiazoles 283a–c, in 48–74% yields, were synthesized from the reaction of compound 282a–c with iodine. In addition, 6-mercapto-1,2,4-triazolothiadiazoles 284 were synthesized upon reaction of 11r with CS2 in pyridine. The synthesis of 4-((6-(ethylthio)-[1,2,4]triazolo[3,4-b][1,3,4]-thiadiazol-3-yl)methyl)-2H-chromen-2-one 285 was occurred from reaction of 11r with methyl iodide in basic media in 55–75% yields. Moreover, 6-methylthio derivative 285 reacted with different aromatic amines to give triazolothiadiazoles 286a–c (in 55–75% yields). The obtained compounds were evaluated in vitro as anticancer agents in the human colon cancer (HCT 116) cell line where the aminosulfanyl derivative 286c exhibited high anticancer activity (Scheme 84) [37].
Scheme 84.
Synthesis of chromone derived by triazolethiadiazines 283a–c and triazolo[3,4-b][1,3,4]thiadiazoles 286a–c.
3.3.4. Synthesis of 1,2,4-Triazolothiazines
The synthesis of triazolothiazines 287a–i (in 48–72% yields) was done from the reaction of compound 217a–i with CuI and tetramethylethylenediamine (TMEDA) using basic media (Scheme 85) [107].
Scheme 85.
Synthesis of triazolothiadiazines 287a–i.
UV irradiation of disubstituted triazole-5(4H)-thione 288a–e under basic conditions gave a mixture of 3-substituted triazolothiazines 289a–e and 3,4-disubstituted-1,2,4-triazoles 290a–e according to the concentration of the base used. However, irradiation of 288a–e in presence of acetophenone and only compounds 290a–e was observed [108,109] (Scheme 86).
Scheme 86.
Synthesis of triazoles 290a–e.
Reaction of 92c with 2-chlorobenzoylketene 292 afforded 3-methyl-7-oxo-2,6-diphenyl-3,7-dihydro-[1,2,4]triazolo-[5,1-b][1,3]thiazin-8-ium-5-olate 293 in 66% yield [110] (Scheme 87).
Scheme 87.
Synthesis of triazolothiadiazines 293.
3.3.5. Synthesis of 1,2,4-Triazolothiadiazines
Cyclocondensation of 4-amino-3-(4-(methylsulfonyl)benzyl)-1H-1,2,4-triazole-5(4H)-thione (294) with different substituted phenacyl bromide derivatives in ethanol afforded 6-substituted-3-(4-(methylsulfonyl)benzyl)-7H-[1,2,4]triazolo[3,4-b][1,3,4]-thiadiazines 295a–i (Scheme 88). The antimicrobial activity of the synthesized compounds showed that triazolothiadiazines 295b,e,f,h have significant antibacterial and antifungal activities against all the tested microorganisms [111].
Scheme 88.
Synthesis of triazolothiadiazines 295a–j.
Refluxing of different carboxylic acids with thiocarbohydrazides 38 led to 4-amino-3-substituted-1,2,4-triazole-5-thiones 11s–v. Treatment of 11s–v with phenacyl bromide or chloride derivatives yielded triazolothiadiazines 296–299 [112] (Scheme 89). Interestingly, compounds 297b, 299b, and 299c, having either a chloride or fluoro substituent on the phenyl ring, gave better analgesic and anti-inflammatory activities and less ulcerogenic risk, along with minimum lipid peroxidation [112].
Scheme 89.
Synthesis of triazolothiadiazines 296–299.
Various electrophilic reagents reacted with 206 to give different triazolothiadiazines 300, 302, and 304. Ethyl 2-((4-amino-5-((4-methyl-2,6-dioxo-2,3-dihydropyrimidin-1(6H)-yl)methyl)-4H-1,2,4-triazole-3-yl)thio)acetate 301 was obtained from the reaction of 206 with ethyl bromoacetate which cyclized using sodium methoxide to give triazolothiadiazine 302. However, reacting 206 with ethyl 2-bromoacetate and ethyl-2-chloroacetoacetate gave substituted triazolothiadiazine 300 and ethyl-substituted triazolo-[3,4-b][1,3,4]thiadiazine-7-carboxylate 304, respectively (Scheme 90) [113].
Scheme 90.
Synthesis of triazolothiadiazine 304.
In a similar reaction, the reaction of (3-methylbenzofuran-2-yl)triazolethione 305 with either 2-bromoacetophenone or hydrazonyl halides produced the corresponding 3-(3-methylbenzofuran-2-yl)-triazolothiadiazine 306 and (2-arylhydrazono)triazolothiadiazine derivative 307, respectively [114] (Scheme 91).
Scheme 91.
Synthesis of triazolothiadiazines 307.
It was reported that 1,2,4-triazole-3-thiol 11o reacted with various bromoacetophenone to yield the corresponding 3,6-disubstituted triazolothiadiazine 308a–h. The anticancer activity of these compounds was studied against H157 and BHK-21M cell lines showing that compound 308c was a potent inhibitor of H157 cells having 78.6% inhibition and compounds 308a and 308d were potent inhibitors in cancer therapy against BHK-21 cells with 73.3% and 72.6% inhibition, respectively [115] (Scheme 92).
Scheme 92.
Synthesis of triazolothiadiazines 308a–h.
4-Amino-5-(2-methyl-1H-indol-3-yl)-4H-1,2,4-triazole-3-thiol (263) was successfully cyclized to give triazolo[3,4-b][1,3,4]thiadiazine (310) via reacting with 3-chloropentane-2,4-dione through the intermediate 309. Furthermore, diazotization occurred to compound 310 and chlorophenyldiazene to give 311 (Scheme 93) [116].
Scheme 93.
Synthesis of triazolothiadiazine 311.
On reaction of 11a with N′-arylacetohydrazonoyl halides 312 in the presence of sodium ethoxide, the reaction gave the corresponding 1,2,4-triazole-3-yl-2-(naphthalen-2-yl)-N′-arylethanehydrazonothioates 313. Cyclization of 313 in acidic media gave the target compound triazolothiadiazine 314 [117] (Scheme 94).
Scheme 94.
Synthesis of triazolothiadiazines 314.
Refluxing of 11e with N-aryl-2-oxopropanehydrazonoylchloride 315a–e afforded (Z)-6-methyl-7-(2-aryllhydrazono)-3-(trifluoromethyl)-7H-[1,2,4]triazolo[3,4-b]-[1,3,4]thiadiazine (317) via the formation of intermediate 316 [118]. Screening of the anticancer activities revealed that compounds 316a,e were the most active inhibitors against HEPG-2 cell line, whereas compound 316a was active against HCT cell line [118] (Scheme 95).
Scheme 95.
Synthesis of [1,2,4]triazolo[3,4-b]-[1,3,4]thiadiazines 317a–e.
4. Conclusions
In this review, we are trying to focus attention on the routes of triazole-thione synthesis. Since, triazolethione-thiols have gained considerable importance in medicinal chemistry, due to their broad spectrum as antiviral, antibacterial, anticancer, etc. agents, their synthesis has become of great interest. We also give spots on the biology of the target molecule as prospective antiviral drugs.
Author Contributions
Writing, editing, and submitting, A.A.A.; supervision, A.A.H.; draft writing, M.M.M.; writing and editing, S.B. All authors have read and agreed to the published version of the manuscript.
Funding
This research received no external funding.
Acknowledgments
Authors acknowledge support by the KIT-Publication Fund of the Karlsruhe Institute of Technology.
Conflicts of Interest
The authors declare no conflict of interest.
References
- Vijesh, A.M.; Isloor, A.M.; Shetty, P.; Sundershan, S.; Fun, H.K. New pyrazole derivatives containing 1,2,4-triazoles and benzoxazoles as potent antimicrobial and analgesic agents. Eur. J. Med. Chem. 2013, 62, 410–415. [Google Scholar] [CrossRef] [PubMed]
- Plech, T.; Kaproń, B.; Łuszczki, J.J.; Paneth, A.; Siwek, A.; Kołaczkowski, M.; Żołnierek, M.; Nowak, G. Studies on the anticonvulsant activity of 4-alkyl-1,2,4-triazole-3-thiones and their effect on GABAergic system. Eur. J. Med. Chem. 2014, 86, 690–699. [Google Scholar] [CrossRef] [PubMed]
- Abuo-Rahma, G.E.-D.A.; Abdel-Aziz, M.; Beshr, E.A.; Ali, T.F. 1,2,4-Triazole/oxime hybrids as new strategy for nitric oxide donors: Synthesis, anti-inflammatory, ulceroginicity and antiproliferative activities. Eur. J. Med. Chem. 2014, 71, 185–198. [Google Scholar] [CrossRef] [PubMed]
- Krishna, K.M.; Inturi, B.; Pujar, G.V.; Purohit, M.N.; Vijaykumar, G. Design, synthesis and 3D-QSAR studies of new diphenylamine containing 1,2,4-triazoles as potential antitubercular agents. Eur. J. Med. Chem. 2014, 84, 516–529. [Google Scholar] [CrossRef]
- Tozkoparan, B.; Küpeli, E.; Yeşilada, E.; Ertan, M. Preparation of 5-aryl-3-alkylthio-l,2,4-triazoles and corresponding sulfones with antiinflammatory—Analgesic activity. Biorg. Med. Chem. 2007, 15, 1808–1814. [Google Scholar] [CrossRef]
- Sarafianos, S.G.; Marchand, B.; Das, K.; Himmel, D.M.; Parniak, M.A.; Hughes, S.H.; Arnold, E. Structure and Function of HIV-1 Reverse Transcriptase: Molecular Mechanisms of Polymerization and Inhibition. J. Mol. Biol. 2008, 385, 693–713. [Google Scholar] [CrossRef]
- Mishra, C.B.; Mongre, R.K.; Kumari, S.; Jeong, D.K.; Tiwari, M. Novel Triazole-Piperazine Hybrid Molecules Induce Apoptosis via Activation of the Mitochondrial Pathway and Exhibit Antitumor Efficacy in Osteosarcoma Xenograft Nude Mice Model. ACS Chem. Biol. 2017, 17, 753–768. [Google Scholar] [CrossRef]
- Colanceska-Ragenovic, K.; Dimova, V.; Kakurinov, V.; Molnar, D.; Buzarovska, A. Synthesis, Antibacterial and Antifungal Activity of 4-Substituted-5-Aryl-1,2,4-Triazoles. Molecules 2001, 6, 815–824. [Google Scholar] [CrossRef]
- Xu, Z.; Zhao, S.-J.; Liu, Y. 1,2,3-Triazole-containing hybrids as potential anticancer agents: Current developments, action mechanisms and structure-activity relationships. Eur. J. Med. Chem. 2019, 183, 111700–111713. [Google Scholar] [CrossRef]
- Cai, S.; Li, Q.-S.; Borchardt, R.T.; Kuczera, K.; Schowen, R.L. The antiviral drug ribavirin is a selective inhibitor of S-adenosyl-l-homocysteine hydrolase from Trypanosoma cruzi. Biorg. Med. Chem. 2007, 15, 7281–7287. [Google Scholar] [CrossRef]
- Groll, A.H.; Walsh, T.J. Antifungal chemotherapy: Advances and perspectives. Swiss Med. Wkl. 2002, 132, 303–311. [Google Scholar]
- Ghannoum, M.A.; Rice, L.B. Antifungal Agents: Mode of Action, Mechanisms of Resistance, and Correlation of These Mechanisms with Bacterial Resistance. Clin. Microbiol. Rev. 1999, 12, 501–517. [Google Scholar] [CrossRef] [PubMed]
- Buzdar, A.U.; Robertson, J.F.; Eiermann, W.; Nabholtz, J.M. An Overview of the Pharmacology and Pharmacokinetics of the Newer Generation Aromatase Inhibitors Anastrozole, Letrozole, and Exemestane. Cancer Interdiscip. Int. J. Am. Cancer Soc. 2002, 95, 2006–2014. [Google Scholar] [CrossRef] [PubMed]
- Geisler, J.; Helle, H.; Ekse, D.; Duong, N.K.; Evans, D.B.; Nordbø, Y.; Aas, T.; Lønning, P.E. Letrozoleis Superior to Anastrozolein Suppressing Breast Cancer Tissue and Plasma Estrogen Level. Clin. Cancer Res. 2008, 14, 6330–6336. [Google Scholar] [CrossRef]
- Küçükgüzel, Ş.G.; Çıkla-Süzgün, P. Recent advances bioactive 1,2,4-triazole-3-thiones. Eur. J. Med. Chem. 2015, 97, 830–870. [Google Scholar] [CrossRef]
- Küçükgüzel, İ.; Rollas, S.; Çevikbaş, A. Synthesis and characterization of certain thiourea derivatives starting from 1,2,4-triazoline-3-thiones as potential antibacterial and antifungal agents. Drug Metabol. Drug Interact. 1995, 12, 151–160. [Google Scholar] [CrossRef]
- Franklim, T.N.; Freire-de-Lima, L.; de Nazareth Sá Diniz, J.; Previato, J.; Castro, R.; Mendonça-Previato, L.; de Lima, M. Design, Synthesis and Trypanocidal Evaluation of Novel 1,2,4-Triazoles-3-thiones Derived from Natural Piperine. Molecules 2013, 18, 6366–6382. [Google Scholar] [CrossRef]
- Hassan, G.S.; El-Messery, S.M.; Al-Omary, F.A.; Al-Rashood, S.T.; Shabayek, M.I.; Abulfadl, Y.S.; Habib, E.-S.E.; El-Hallouty, S.M.; Fayad, W.; Mohamed, K.M. Nonclassical antifolates, part 4. 5-(2-Aminothiazol-4-yl)-4-phenyl-4H-1,2,4-triazole-3-thiols as a new class of DHFR inhibitors: Synthesis, biological evaluation and molecular modeling study. Eur. J. Med. Chem. 2013, 66, 135–145. [Google Scholar] [CrossRef]
- Boraei, A.T.; Gomaa, M.S.; El Sayed, H.; Duerkop, A. Design, selective alkylation and X-ray crystal structure determination of dihydro-indolyl-1,2,4-triazole-3-thione and its 3-benzylsulfanyl analogue as potent anticancer agents. Eur. J. Med. Chem. 2017, 125, 360–371. [Google Scholar] [CrossRef]
- Aouad, M.R.; Mayaba, M.M.; Naqvi, A.; Bardaweel, S.K.; Al-blewi, F.F.; Messali, M.; Rezki, N. Design, synthesis, in silico and in vitro antimicrobial screenings of novel 1,2,4-triazoles carrying 1,2,3-triazole scaffold with lipophilic side chain tether. Chem. Cent. J. 2017, 11, 117–123. [Google Scholar] [CrossRef]
- Timur, İ.; Kocyigit, Ü.M.; Dastan, T.; Sandal, S.; Ceribası, A.O.; Taslimi, P.; Gulcin, İ.; Koparir, M.; Karatepe, M.; Çiftçi, M.J. In vitro cytotoxic and in vivo antitumoral activities of some aminomethyl derivatives of 2,4-dihydro-3H-1,2,4-triazole-3-thiones—Evaluation of their acetylcholinesterase and carbonic anhydrase enzymes inhibition profiles. Biochem. Mol. Toxicol. 2019, 33, 22239–22250. [Google Scholar] [CrossRef] [PubMed]
- Kaproń, B.; Łuszczki, J.J.; Płazińska, A.; Siwek, A.; Karcz, T.; Gryboś, A.; Nowak, G.; Makuch-Kocka, A.; Walczak, K.; Langner, E. Development of the 1,2,4-triazole-based anticonvulsant drug candidates acting on the voltage-gated sodium channels. Insights from in-vivo, in-vitro, and in-silico studies. Eur. J. Pharm. Sci. 2019, 129, 42–57. [Google Scholar] [CrossRef] [PubMed]
- Küçükgüzel, I.; Tatar, E.; Küçükgüzel, Ş.G.; Rollas, S.; De Clercq, E. Synthesis of some novel thiourea derivatives obtained from 5-[(4-aminophenoxy)methyl]-4-alkyl/aryl-2,4-dihydro-3H-1,2,4-triazole-3-thiones and evaluation as antiviral/anti-HIV and anti-tuberculosis agents. Eur. J. Med. Chem. 2008, 43, 381–392. [Google Scholar] [CrossRef]
- Sun, X.H.; Tao, Y.; Liu, Y.F.; Chen, B.; Jia, Y.Q.; Yang, J.W. Synthesis and Biological Activities of Alkyl Substituted Triazolethione Schiff Base. Chin. J. Chem. 2008, 26, 1133–1136. [Google Scholar] [CrossRef]
- Luszczki, J.J.; Plech, T.; Wujec, M. Effect of 4-(4-bromophenyl)-5-(3-chlorophenyl)-2,4-dihydro-3H-1,2,4-triazole-3-thione on the anticonvulsant action of different classical antiepileptic drugs in the mouse maximal electroshock-induced seizure model. Eur. J. Pharmacol. 2012, 690, 99–106. [Google Scholar] [CrossRef]
- Tozkoparan, B.; Kuepeli, E.; Yesilada, E.; Isik, S.; Oezalp, M.; Ertan, M. Synthesis and Evaluation of Analgesic/Anti-inflammatory and Antimicrobial Activities of 3-Substituted-1,2,4-triazole-5-thiones. Arzneimittelforschung 2005, 55, 533–540. [Google Scholar] [CrossRef] [PubMed]
- Idrees, M.N., R. D.; Siddiqui, N.J. Synthesis of S-Phenacylated Trisubstituted 1,2,4-Triazole Incorporated with 5-(Benzofuran-2-yl)-1-Phenyl-1H-Pyrazol-3-yl Moiety and their Antibacterial Screening. Der Chemica Sinica 2016, 7, 28–35. [Google Scholar]
- Hanif, M.; Saleem, M.; Hussain, M.T.; Rama, N.H.; Zaib, S.; Aslam, M.A.M.; Jones, P.G.; Iqbal, J. Synthesis, Urease Inhibition, Antioxidant and Antibacterial Studies of Some 4-Amino-5-aryl-3H-1,2,4-triazole-3-thiones and their 3,6-Disubstituted 1,2,4-Triazolo[3,4-b]1,3,4-thiadiazole Derivatives. J. Braz. Chem. Soc. 2012, 23, 854–860. [Google Scholar] [CrossRef]
- Li, Z.; Gu, Z.; Yin, K.; Zhang, R.; Deng, Q.; Xiang, J. Synthesis of substituted-phenyl-1,2,4-triazol-3-thione Analogues with Modified D-glucopyranosyl Residues and Their Antiproliferative Activities. Eur. J. Med. Chem. 2009, 44, 4716–4720. [Google Scholar] [CrossRef]
- Özadalı, K.; Özkanlı, F.; Jain, S.; Rao, P.P.N.; Velázquez-Martínez, C.A. Synthesis and biological evaluation of isoxazolo[4,5-d]pyridazin-4-(5H)-one analogues as potent anti-inflammatory agents. Biorg. Med. Chem. 2012, 20, 2912–2922. [Google Scholar] [CrossRef]
- Kanagarajan, V.; Thanusu, J.; Gopalakrishnan, M. Synthesis and in vitro microbiological evaluation of novel 2,4-diaryl-3-azabicyclo[3.3.1]nonan-9,5′-spiro-1′,2′,4′-triazolidine-3′-thiones. Med. Chem. Res. 2012, 21, 3965–3977. [Google Scholar] [CrossRef]
- Patil, P.B.; Patil, J.D.; Korade, S.N.; Kshirsagar, S.D.; Govindwar, S.P.; Pore, D.M. An efficient synthesis of anti-microbial 1,2,4-triazole-3-thiones promoted by acidic ionic liquid. Res. Chem. Intermed. 2016, 42, 4171–4180. [Google Scholar] [CrossRef]
- Hassan, A.A.; Mohamed, N.K.; Aly, A.A.; Tawfeek, H.N.; Bräse, S.; Nieger, M. Eschenmoser-Coupling Reaction Furnishes Diazenyl-1,2,4-triazole-5(4H)-thione Derivatives. ChemisyrySelect 2019, 4, 465–468. [Google Scholar] [CrossRef]
- Sun, X.H.; Tao, Y.; Liu, Y.F.; Chen, B. Synthesis and Biological Activities of Substituted Triazolethione Schiff Base. Chin. J. Chem. 2007, 25, 1573–1576. [Google Scholar] [CrossRef]
- Hanif, M.; Hassan, M.; Rafiq, M.; Abbas, Q.; Ishaq, A.; Shahzadi, S.; Seo, S.-Y.; Saleem, M. Microwave-Assisted Synthesis, In Vivo Anti-Inflammatory and In Vitro Anti-Oxidant Activities, and Molecular Docking Study of New Substituted Schiff Base Derivatives. Pharm. Chem. J. 2018, 52, 424–437. [Google Scholar] [CrossRef]
- Al-Wahaibi, L.H.; Abu-Melha, H.M.; Ibrahim, D.A. Synthesis and Biochemical Evaluation of Novel Coumarin Derivatives as Anticancer and Anti-HIV Inhibitors Targeting CDK2. J. Chem. 2018, 2018-2023–2023. [Google Scholar]
- Wang, B.L.; Liu, X.H.; Zhang, X.L.; Zhang, J.F.; Song, H.B.; Li, Z.M. Synthesis, Structure and Biological Activity of Novel 1,2,4-Triazole Mannich Bases Containing a Substituted Benzylpiperazine Moiety. Chem. Boil. Drug Des. 2011, 78, 42–56. [Google Scholar] [CrossRef]
- Sumangala, V.; Poojary, B.; Chidananda, N.; Arulmoli, T.; Shenoy, S. Synthesis and biological evaluation of some Schiff bases of 4-amino-5-(4-methylsulfonyl)benzyl-2,4-dihydro-3H-[1,2,4]-triazole-3-thione. Med. Chem. Res. 2013, 22, 2921–2928. [Google Scholar] [CrossRef]
- Süleymanoğlu, N.; Ustabaş, R.; Direkel, Ş.; Alpaslan, Y.B.; Ünver, Y.J. 1,2,4-triazole derivative with Schiff base; thiol-thione tautomerism, DFT study and antileishmanial activity. J. Mol. Struct. 2017, 1150, 82–87. [Google Scholar] [CrossRef]
- Bekircan, O.; Bektas, H. Synthesis of New Bis-1,2,4-Triazole Derivatives. Molecules 2006, 11, 469–477. [Google Scholar] [CrossRef] [PubMed]
- Raouf, H.; Beyramabadi, S.A.; Allameh, S.; Morsali, A. Synthesis, experimental and theoretical characterizations of a 1,2,4-triazole Schiff base and its nickel(II) complex. J. Mol. Struct. 2019, 1179, 779–786. [Google Scholar] [CrossRef]
- Jha, A.; Murthy, Y.; Durga, G. Synthesis, characterization and bioactivity of transition metal complexes of new 3-methyl-5-mercapto-4-triazole Schiff bases. Res. J. Pharm. Biol. Chem. Sci. 2015, 6, 1306–1315. [Google Scholar]
- Haddad, R.; Yousif, E.; Ahmed, A. Synthesis and characterization of transition metal complexes of 4-Amino-5-pyridyl-4H-1,2,4-triazole-3-thiol. SpringerPlus 2013, 2, 510–519. [Google Scholar] [CrossRef]
- Kikuta, E.; Aoki, S.; Kimura, E.J. New potent agents binding to a poly(dT) sequence in double-stranded DNA: Bis(Zn2+-cyclen) and tris(Zn2+-cyclen) complexes. Bio. Inorg. Chem. 2002, 7, 473–482. [Google Scholar] [CrossRef] [PubMed]
- Karegoudar, P.; Prasad, D.J.; Ashok, M.; Mahalinga, M.; Poojary, B.; Holla, B.S. Synthesis, antimicrobial and anti-inflammatory activities of some 1,2,4-triazolo[3,4-b][1,3,4]thiadiazoles and 1,2,4-triazolo[3,4-b][1,3,4]thiadiazines bearing trichlorophenyl moiety. Eur. J. Med. Chem. 2008, 43, 808–815. [Google Scholar] [CrossRef] [PubMed]
- Khanum, S.A.; Shashikanth, S.; Umesha, S.; Kavitha, R. Synthesis and antimicrobial study of novel heterocyclic compounds from hydroxybenzophenones. Eur. J. Med. Chem. 2005, 40, 1156–1162. [Google Scholar] [CrossRef]
- Amir, M.; Kumar, H.; Javed, S. Condensed bridgehead nitrogen heterocyclic system: Synthesis and pharmacological activities of 1,2,4-triazolo-[3,4-b]-1,3,4-thiadiazole derivatives of ibuprofen and biphenyl-4-yloxy acetic acid. Eur. J. Med. Chem. 2008, 43, 2056–2066. [Google Scholar] [CrossRef]
- Ziaie, M.; Akbaridilmaghani, K.; Tukmechi, A. Synthesis and Biological Evaluation of 1,2,4-Triazoles and 1,3,4-Oxadiazoles Derivatives Linked to 1,4-Dihydropyridines Scaffold. Acta Chim. Slov. 2017, 64, 895–901. [Google Scholar] [CrossRef]
- Behalo, M.S.; Amine, A.M.; Fouda, I.M. Regioselective synthesis, antitumor and antioxidant activities of some 1,2,4-triazole derivatives based on 4-phenyl-5-(quinolin-8-yloxy)methyl-4H-1,2,4-triazole-3-thiol. Phosphorus Sulfur Silicon Relat. Elem. 2017, 192, 410–417. [Google Scholar] [CrossRef]
- Arrowsmith, R.L.; Waghorn, P.A.; Jones, M.W.; Bauman, A.; Brayshaw, S.K.; Hu, Z.; Kociok-Köhn, G.; Mindt, T.L.; Tyrrell, R.M.; Botchway, S.W. Fluorescent gallium and indium bis(thiosemicarbazonates) and their radiolabelled analogues: Synthesis, structures and cellular confocal fluorescence imaging investigations. Dalton Trans. 2011, 40, 6238–6252. [Google Scholar] [CrossRef]
- Wang, B.-L.; Zhang, L.-Y.; Liu, X.-H.; Ma, Y.; Zhang, Y.; Li, Z.-M.; Zhang, X. Synthesis, biological activities and SAR studies of new 3-substitutedphenyl-4-substitutedbenzylideneamino-1,2,4-triazole Mannich bases and bis-Mannich bases as ketol-acid reductoisomerase inhibitors. Bioorg. Med. Chem. Lett. 2017, 27, 5457–5462. [Google Scholar] [CrossRef] [PubMed]
- Ramesh, R.; Lalitha, A. Facile and Green Chemistry Access to 5-aryl-1,2,4-Triazolidine-3-thiones in Aqueous Medium. Chem. Select 2016, 1, 2085–2094. [Google Scholar] [CrossRef]
- Wang, Q.P.; Zhang, J.Q.; Damu, G.L.V.; Wan, K.; Zhang, H.Z.; Zhou, C.H. Synthesis and biological activities of thio-triazole derivatives as novel potential antibacterial and antifungal agents. Sci. China Chem. 2012, 55, 2134–2153. [Google Scholar] [CrossRef]
- Mane, M.; Pore, D. A novel one pot multi-component strategy for facile synthesis of 5-aryl-[1,2,4]triazolidine-3-thiones. Tetrahedron Lett. 2014, 55, 6601–6604. [Google Scholar] [CrossRef]
- Özdemir, A.; Turan-Zitouni, G.; Asim Kaplancikli, Z.; Chevallet, P.J. Synthesis of some 4-arylidenamino-4H-1,2,4-triazole-3-thiols and their antituberculosis activity. J. Enzym. Inhib. Med. Chem. 2007, 22, 511–523. [Google Scholar] [CrossRef]
- Godhani, D.R.; Sanja, D.B.; Sanghani, A.M. Synthesis and antimicrobial elucidation of [1,2,4]-triazole-3-thione derivatives. J. Chem. Pharm. Res. 2013, 5, 240–243. [Google Scholar]
- Coşkun, G.P.; Djikic, T.; Hayal, T.B.; Türkel, N.; Yelekçi, K.; Şahin, F.; Küçükgüzel, Ş.G. Synthesis, Molecular Docking and Anticancer Activity of Diflunisal Derivatives as Cyclooxygenase Enzyme Inhibitors. Molecules 2018, 23, 1969. [Google Scholar] [CrossRef]
- Bulut, N.; Kocyigit, U.M.; Gecibesler, I.H.; Dastan, T.; Karci, H.; Taslimi, P.; Durna Dastan, S.; Gulcin, I.; Cetin, A.J. Synthesis of some novel pyridine compounds containing bis-1,2,4-triazole/thiosemicarbazide moiety and investigation of their antioxidant properties, carbonic anhydrase, and acetylcholinesterase enzymes inhibition profiles. Biochem. Mol. Toxicol. 2018, 32, 22006–220016. [Google Scholar] [CrossRef]
- Shanmugapriya, A.; Dallemer, F.; Prabhakaran, R. Synthesis, characterisation, crystal structures and biological studies of palladium(II) complexes containing 5-(2-hydroxy-3-methoxy-phenyl)-2,4-dihydro[1,2,4]triazole-3-thione derivatives. New J. Chem. 2018, 42, 18850–18864. [Google Scholar] [CrossRef]
- Wang, B.-L.; Zhang, L.-Y.; Zhan, Y.-Z.; Zhang, Y.; Zhang, X.; Wang, L.-Z.; Li, Z.-M. Synthesis and biological activities of novel 1,2,4-triazole thiones and bis(1,2,4-triazole thiones) containing phenylpyrazole and piperazine moieties. J. Fluorine Chem. 2016, 184, 36–44. [Google Scholar] [CrossRef]
- Barbuceanu, S.F.; Olaru, O.T.; Nitulescu, G.M.; Draghici, C.; Socea, L.I.; Barbuceanu, F.; Enache, C.; Saramet, G. New Heterocyclic Compounds from 1,2,4-triazoles Class with Potential Cytotoxic Activity. Rev. Chim. 2018, 69, 2346–2356. [Google Scholar] [CrossRef]
- Mlostoń, G.; Pieczonka, A.M.; Wróblewska, A.; Linden, A.; Heimgartner, H. Studies on the synthesis and some reactions of (S)-proline hydrazides. Tetrahedron Asymm. 2012, 23, 795–801. [Google Scholar] [CrossRef]
- Pieczonka, A.M.; Mlostoń, G.; Heimgartner, H. Synthesis of Bis-Heterocyclic 1H-Imidazole 3-Oxides from 3-Oxido-1H-imidazole-4-carbohydrazides. Helv. Chim. Acta 2012, 95, 404–414. [Google Scholar] [CrossRef]
- Ezabadi, I.R.; Camoutsis, C.; Zoumpoulakis, P.; Geronikaki, A.; Soković, M.; Glamočilija, J.; Ćirić, A. Sulfonamide-1,2,4-triazole derivatives as antifungal and antibacterial agents: Synthesis, biological evaluation, lipophilicity, and conformational studies. Biorg. Med. Chem. 2008, 16, 1150–1161. [Google Scholar] [CrossRef] [PubMed]
- Sujith, K.; Rao, J.N.; Shetty, P.; Kalluraya, B. Regioselective reaction: Synthesis and pharmacological study of Mannich bases containing ibuprofen moiety. Eur. J. Med. Chem. 2009, 44, 3697–3702. [Google Scholar] [CrossRef]
- Gouranourimi, A.; Ghassemzadeh, M.; Bahemmat, B. Bernhard Neumüller. New palladium(II) complexes containing 3-mercapto-1,2,4-triazole ligands: Synthesis, characterization, crystal structure, and density functional theory calculations. Monatheft Chem. 2015, 146, 5767–5775. [Google Scholar]
- Gao, Y.; Na, L.X.; Xu, Z.; Zhang, S.; Wang, A.P.; Lü, K.; Guo, H.Y.; Liu, M.L. Design, Synthesis and Antibacterial Evaluation of 1-[(1R,S)-2-Fluorocyclopropyl]ciprofloxacin-1,2,4-triazole-5(4H)-thione Hybrids. Chem. Biodivers. 2018, 15, 1800261–1800270. [Google Scholar] [CrossRef] [PubMed]
- Gavrilova, E.; Krutov, I.; Valieva, A.; Khayarov, K.R.; Samigullina, A.; Gubaidullin, A.; Shatalova, N.; Burangulova, R.; Sinyashin, O. Synthesis of New Phosphorylated 1,2,4-Triazole-3-thiones. N,S-Functionalization Methods. Russ. J. Gen. Chem. 2018, 88, 2269–2275. [Google Scholar] [CrossRef]
- Abdel-Wahab, B.F.; Abdel-Aziz, H.A.; Ahmed, E.M. Synthesis and antimicrobial evaluation of 1-(benzofuran-2-yl)-4-nitro-3-arylbutan-1-ones and 3-(benzofuran-2-yl)-4,5-dihydro-5-aryl-1-[4-(aryl)-1,3-thiazol-2-yl]-1H-pyrazoles. Eur. J. Med. Chem. 2009, 44, 2632–2635. [Google Scholar] [CrossRef]
- Tehrani, K.H.M.E.; Mashayekhi, V.; Azerang, P.; Minaei, S.; Sardari, S.; Kobarfard, F. Synthesis and Antimycobacterial Activity of some Triazole Derivatives-New Route to Functionalized Triazolopyridazines. Iran. J. Pharm. Res. 2015, 14, 59–72. [Google Scholar]
- Siddiqui, N.; Ahsan, W. Triazole incorporated thiazoles as a new class of anticonvulsants: Design, synthesis and in vivo screening. Eur. J. Med. Chem. 2010, 45, 1536–1543. [Google Scholar] [CrossRef] [PubMed]
- Ye, X.-X.; Chen, Z.-F.; Zhang, A.-J.; Zhang, L.-X. Synthesis and Biological Evaluation of Some Novel Schiff’s Bases from 1,2,4-Triazole. Molecules 2007, 12, 1202–1209. [Google Scholar] [CrossRef] [PubMed]
- Al-Abdullah, E.S.; Asiril, H.H.; Lahsasni, S.; Habib, E.E.; Ibrahim, T.M.; El-emam, A.A. Synthesis, antimicrobial, and anti-inflammatory activity, of novel S-substituted and N-substituted 5-(1-adamantyl)-1,2,4-triazole-3-thiols. Drug Des. Dev. Ther. 2014, 8, 505–518. [Google Scholar]
- Hassan, A.A.; Mourad, A.E.; Abou-Zied, A.H. Benzo- and naphthoimidazoxadiazolediene, naphthobisthiazole as well as naphthothiazine derivatives from 1-acylthiosemicarbazides. Arkivoc 2007, 2007, 222–235. [Google Scholar]
- Zaki, R.M.; Kamal El-Dean, A.M.; Radwan, S.M.; Saber, A.F. Efficient synthesis, reactions and spectral characterization of pyrazolo [4′,3′:4,5] thieno [3, 2-d] pyrimidines and related heterocycles. Heterocycl. Commun. 2019, 25, 39–46. [Google Scholar] [CrossRef]
- Hassan, A.A.; Ibrahim, Y.R.; Shawky, A.M.; Döpp, D. Reaction of 4-substituted thiosemicarbazides with (2,4,7-trinitro-9H -fluoren-9-ylidene)propanedinitrile. J. Heterocycl. Chem. 2006, 43, 849. [Google Scholar] [CrossRef]
- Shamsuzzamzn; Siddiqui, N.; Salim, A.; Akram, M. Manganese Dioxide Mediated Stereoselective, One-step Synthesis of Novel Steroidal (6R )-Spiro-1’,2′,4′-triazoline-3′-thiones. Chin. J. Chem. 2009, 27, 1523. [Google Scholar] [CrossRef]
- Pore, D.M.; Hegade, P.G.; Mane, M.M.; Patil, J.D. The unprecedented synthesis of novel spiro-1, 2, 4-triazolidinones. RSC Adv. 2013, 3, 25723–25726. [Google Scholar] [CrossRef]
- Shamsuzzaman; Salim, A.; Aslam, M.; Naqvi, F. Synthesis of Steroidal Spiro-1′,2′,4′-triazolidine-3′-thiones. Synth. Commun. 1997, 27, 2171–2175. [Google Scholar] [CrossRef]
- Gopalakrishnan, M.; Kanagarajan, V.; Thanusu, J. Novel one-pot synthesis of 1,2,4-triazolidin-3-thiones comprising piperidine moiety. Green Chem. Lett. Rev. 2008, 1, 241–248. [Google Scholar] [CrossRef][Green Version]
- Kabilan, S.; Umamatheswari, S. Synthesis, characterisation and antimicrobial activities of novel 7,9-diphenyl-1, 2, 4-triaza-8-oxa-spiro [4.5]-decan-3-thiones. Med. Chem. Res. 2011, 20, 542–545. [Google Scholar] [CrossRef]
- Aly, A.A.; Hassan, A.A.; Mohamed, N.K.; El-Shaieb, K.M.; Makhlouf, M.M.; Bräse, S.; Nieger, M. Reactive intermediates in the reaction of hydrazinecarbothioamides with 2-(bis(methylthio)methylene)malononitrile and ethyl 2-cyano-3,3-bis(methylthio)acrylate. Res. Chem. Intermed. 2019, 45, 613–631. [Google Scholar] [CrossRef]
- Chebabe, D.; Dermaj, A.; El Abidine Ait Chikh, Z.; Hajjaji, N.; Rico-Lattes, I.; Lattes, A. Synthesis of New Surfactants Mono and Bipolar Derived from 1,2,4-Triazole-5-thione. Synth. Commun. 2004, 34, 4189–4198. [Google Scholar] [CrossRef]
- Vainilavicius, P.; Smicius, R.; Jakubkiene, V.; Tumkevicius, S. Synthesis of 5-(6-Methyl-2,4-dioxo-1,2,3,4-tetrahydro-3-pyrimidinyl)-methyl-4-amino-1,2,4-triazole-3-thione and its Reactions with Polyfunctional Electrophiles. Monatsh. Chem. 2001, 132, 825–831. [Google Scholar] [CrossRef]
- Ahmad, A.; Varshney, H.; Rauf, A.; Sherwani, A.; Owais, M. Synthesis and anticancer activity of long chain substituted 1,3,4-oxadiazol-2-thione, 1,2,4-triazol-3-thione and 1,2,4-triazolo[3,4-b]-1,3,4-thiadiazine derivatives. Arab. J. Chem. 2017, 10, 3347–3357. [Google Scholar] [CrossRef]
- Aouad, A.R.; Soliman, M.A.; Alharbi, M.O.; Bardaweel, S.K.; Sahu, P.K.; Ali, A.A.; Messali, M.; Rezki, N.; Al-Soud, Y.A. Design, Synthesis and Anticancer Screening of Novel Benzothiazole-Piperazine-1,2,3-Triazole Hybrids. Molecules 2018, 23, 2788. [Google Scholar] [CrossRef]
- Kuş, C.; Ayhan-Kılcıgil, G.; Özbey, S.; Kaynak, F.B.; Kaya, M.; Çoban, T.; Can-Eke, B. Synthesis and antioxidant properties of novel N-methyl-1,3,4-thiadiazol-2-amine and 4-methyl-2H-1,2,4-triazole-3(4H)-thione derivatives of benzimidazole class. Biorg. Med. Chem. 2008, 16, 4294–4303. [Google Scholar] [CrossRef]
- Rao, D.V.N.; Prasad, A.R.G.; Spoorthy, Y.N.; Rao, D.R.; Ravindranath, L.R.K.R. Synthesis, Characterization and Antimicrobial Evaluation of Substituted 1,2,4-Triazole Thiones Containing Pyrazole Moiety. J. Clin. Anal. Med. 2015, 6, 590–598. [Google Scholar] [CrossRef]
- Fahmy, H.H.; Khalifa, N.M.; Nossier, E.S.; Abdalla, M.M.; Ismail, M.M. Synthesis and anti-inflammatory evaluation of new substituted 1-(3-chlorophenyl)-3-(4-methoxyphenyl)-1H-pyrazole derivatives. Acta Pol. Pharm. 2012, 69, 411–421. [Google Scholar]
- Yunus, U.; Bhatti, M.H.; Rahman, N.; Mussarat, N.; Asghar, S.; Masood, B. Synthesis, Characterization, and Biological Activity of Novel Schiff and Mannich Bases of 4-Amino-3-(N-phthalimidomethyl)-1,2,4-triazole-5-thione. J. Chem. 2013, 2013, 638520–638530. [Google Scholar] [CrossRef]
- Tiwari, J.; Saquib, M.; Singh, S.; Tufail, F.; Singh, J.; Singh, J. Catalyst-free glycerol-mediated green synthesis of 5′-thioxospiro[indoline-3,3′-[1,2,4]triazolidin]-2-ones/spiro[indoline-3,3′-[1,2,4]triazolidine]-2,5′-diones. Synth. Commun. 2017, 47, 1999–2006. [Google Scholar] [CrossRef]
- Shaker, S.; Marzouk, M.I. Utilization of Cyanoacetohydrazide and Oxadiazolyl Acetonitrile in the Synthesis of Some New Cytotoxic Heterocyclic. Molecules 2016, 21, 155. [Google Scholar] [CrossRef] [PubMed]
- Siddiqui, N.; Salim, A.; Akram, M. Manganese Dioxide Mediated Stereoselective, One-step Synthesis of Novel Steroidal (6R)-Spiro-1′,2′,4′-triazoline-3′-thiones. Chin. J. Chem. 2009, 27, 1523–1525. [Google Scholar]
- Gopalakrishnan, M.; Thanusu, J.; Kanagarajan, V.; Govindaraju., J. Design, Synthesis and in Vitro Microbiological Evaluation of 6,6-dimethyl-7,9-diaryl-1,2,4,8-tetraazaspiro[4.5]decan-3-thiones--a New Series of ‘Tailor-Made’ Compounds. J. Enzym. Inhib. Med. Chem. 2009, 24, 406–415. [Google Scholar] [CrossRef] [PubMed]
- Khalil, N.S.A.M. Efficient Synthesis, Structure, and Antimicrobial Activity of Some Novel N- And S-beta-D-glucosides of 5-pyridin-3-yl-1,2,4-triazoles. Carbohydr. Res. 2006, 341, 2187–2199. [Google Scholar] [CrossRef]
- Popiołek, Ł.; Kosikowska, U.; Dobosz, M.; Malm, A. Synthesis and Antimicrobial Properties of New Thiosemicarbazide, 1,2,4-Triazole, and 1,3,4-Thiadiazole Derivatives of Sulfanylacetic Acid. Phosphorous Sulfur Silicon Relat. Elem. 2012, 187, 468–481. [Google Scholar] [CrossRef]
- Hunashal, R.; Satyanarayana, D.; Maddi, V. Synthesis and Antimicrobial Activity of 2-[4-(Substituted Benzylidenamino)-5-(Substituted Phenoxymethyl)-4H-1,2,4-Triazol-3-yl thio] Acetic Acid Derivatives. J. Chem. 2012, 9, 1206–1210. [Google Scholar] [CrossRef][Green Version]
- Ji, D.; Lu, J.; Lu, B.; Xin, C.; Mu, J.; Li, J.; Peng, C.; Bao, X. Efficient Synthesis and Antimicrobial Activity of Some Novel S-β-D-glucosides of 5-aryl-1,2,4-triazole-3-thiones Derivatives. Bioorg. Med. Chem. Lett. 2013, 23, 1997–2000. [Google Scholar] [CrossRef]
- Popiołek, Ł.; Biernasiuk, A.; Paruch, K.; Malm, A.; Wujec, M. Synthesis and in vitro antimicrobial activity screening of new pipemidic acid derivatives. Arch. Pharm. Res. 2018, 41, 633–645. [Google Scholar] [CrossRef]
- Barbuceanu, S.-F.; Ilies, D.C.; Saramet, G.; Uivarosi, V.; Draghici, C.; Radulescu, V. Synthesis and Antioxidant Activity Evaluation of New Compounds from Hydrazinecarbothioamide and 1,2,4-Triazole Class Containing Diarylsulfone and 2,4-Difluorophenyl Moieties. Int. J. Mol. Sci. 2014, 15, 10908–10925. [Google Scholar] [CrossRef]
- Ding, Y.; Zhang, Z.; Zhang, G.; Mo, S.; Li, Q.; Zhao, Z. Green synthesis and evaluation of the antitumor activity of a novel series of 3-[4-bi-(4-fluorophenyl)methylpiperazinyl]-4-amino-5-thione-1,2,4-triazole Schiff bases. Res. Chem. Intermed. 2016, 42, 3105–3116. [Google Scholar] [CrossRef]
- Amer, A.A.; Moustafa, A.H. Synthesis of 3-Pyrazolyl-1,2,4-Triazoles via One-Pot Multicomponent Reaction in Phosphoric Acid. Synlett 2016, 27, 1703–1706. [Google Scholar] [CrossRef]
- Abdallah, M.A.; Riyadh, S.M.; Abbas, I.M.; Gomha, S.M. Synthesis and Biological Activities of 7-Arylazo-7H-pyrazolo[5,1-c][1,2,4]Triazol-6(5H)-Ones and 7-Arylhydrazono-7H-[1,2,4]triazolo[3,4-b] [1,3,4]thiadiazines. J. Chin. Chem. Soc. 2005, 52, 987–994. [Google Scholar] [CrossRef]
- Shah, T.A.; Ahmad, Z.; Mir, N.A.; Muneer, M.; Rath, N.P.; Ahmad, M. One step synthesis of highly functionalized thiazolo[3,2-b][1,2,4]triazole, triazolo[1,5-a]pyrimidine and triazolo[3,4-b][1,3,4]thiadiazine. RSC Adv. 2015, 5, 107931–107937. [Google Scholar] [CrossRef]
- Saundane, A.R.; Manjunatha, Y. Synthesis, antimicrobial and antioxidant activities of 2-oxo-6-phenyl-2-yl-4-(2′-phenyl-5′-substituted 1H-indol-3′-yl)-1,2-dihydro pyridin-3-carbonitriles and their derivatives. Arab. J. Chem. 2016, 9, 501–505. [Google Scholar] [CrossRef]
- Lesyk, R.; Vladzimirska, O.; Holota, S.; Zaprutko, L.; Gzella, A. New 5-substituted thiazolo[3,2-b][1,2,4]triazol-6-ones: Synthesis and anticancer evaluation. Eur. J. Med. Chem. 2007, 42, 641–648. [Google Scholar] [CrossRef]
- Rode, N.D.; Sonawane, A.D.; Garud, D.R.; Joshi, R.R.; Joshi, R.A.; Likhite, A.P. First regioselective iodocyclization reaction of 3-aryl-5-(prop-2-ynylthio)-1H-1,2,4-triazoles. Tetrahedron Lett. 2015, 56, 5140–5144. [Google Scholar] [CrossRef]
- Potts, K.T.; Ehlinger, R.; Kanemasa, S.J. Reactions of (chlorocarbonyl)phenylketene. Formation of ring-fused 4H-1,3-thiazinium betaines from heterocyclic thiones. J. Org. Chem. 1980, 45, 2474–2485. [Google Scholar] [CrossRef]
- Davoodnia, A.; Ameli, S.; Tavakoli-Hoseini, N. Synthesis of Some Functionalized Thiazolo[3,2-b][1,2,4]triazoles. Asian J. Chem. 2011, 23, 3707–3709. [Google Scholar]
- Khan, I.; Zaib, S.; Ibrar, A.; Rama, N.H.; Simpson, J.; Iqbal, J. Synthesis, crystal structure and biological evaluation of some novel 1,2,4-triazolo[3,4-b]-1,3,4-thiadiazoles and 1,2,4-triazolo[3,4-b]-1,3,4-thiadiazines. Eur. J. Med. Chem. 2014, 78, 167–177. [Google Scholar] [CrossRef]
- Almajan, G.L.; Barbuceanu, S.-F.; Bancescu, G.; Saramet, I.; Saramet, G.; Draghici, C. Synthesis and antioxidant activity evaluation of new compounds from hydrazinecarbothioamide and 1,2,4-triazole class containing diarylsulfone and 2,4-difluorophenyl moieties. Eur. J. Med. Chem. 2010, 45, 613–6146. [Google Scholar]
- Senthilvelan, A.; Ramakrishnan, V.T. A new base-mediated photocyclization to 1,2,4-triazolo[3,4-b]-1,3-(4H)-benzothiazines via 1,2,4-triazole-3-thiones. Tetrahedron Lett. 2002, 43, 5119–5123. [Google Scholar] [CrossRef]
- Senthilvelan, A.; Thirumalai, D.; Ramakrishnan, V. Photochemical synthesis of triazolo[3,4-b]-1,3(4H)-benzothiazines: A detailed mechanistic study on photocyclization/photodesulfurisation of triazole-3-thiones. Tetrahedron 2004, 60, 851–860. [Google Scholar] [CrossRef]
- Sumangala, V.; Poojary, B.; Chidananda, N.; Arulmoli, T.; Shenoy, S. Synthesis, crystal structures and electronic properties of isomers of chloro-pyridinylvinyl-1H-indoles. Eur. J. Med. Chem. 2012, 54, 59–64. [Google Scholar] [CrossRef] [PubMed]
- Aytaç, S.P.; Tozkoparan, B.; Kaynak, F.B.; Aktay, G.; Göktaş, Ö.; Ünüvar, S. Synthesis of 3,6-disubstituted 7H-1,2,4-triazolo[3,4-b]-1,3,4-thiadiazines as novel analgesic/anti-inflammatory compounds. Eur. J. Med. Chem. 2009, 44, 4528–4540. [Google Scholar] [CrossRef]
- Dawood, K.M.; Farag, A.M.; Abdel-Aziz, H.A. Synthesis and antimicrobial evaluation of some 1,2,4-triazole, 1,3,4-oxa(thia)diazole, and 1,2,4-triazolo[3,4-b]-1,3,4-thiadiazine derivatives. Heteroatom Chem. 2005, 16, 621–627. [Google Scholar] [CrossRef]
- Shawali, A.S.; Zeid, I.F.; Abdelkader, M.H.; Elsherbini, A.A.; Altalbawy, F.M.A.J. Synthesis, Acidity Constants and Tautomeric Structure of 7-Arylhydrazono[1,2,4]Triazolo[3,4-b][1,3,4]thiadiazines in Ground and Excited States. Chin. Chem. Soc. 2001, 48, 65–75. [Google Scholar] [CrossRef]
- Farghaly, T.A.E.-R.; Abdallah, M.A.; Mahmoud, H.K. Synthesis of novel 1,2,4-triazoles and triazolo-thiadiazines as anticancer agents. Turk. J. Chem. 2015, 39, 955–969. [Google Scholar] [CrossRef]
© 2020 by the authors. Licensee MDPI, Basel, Switzerland. This article is an open access article distributed under the terms and conditions of the Creative Commons Attribution (CC BY) license (http://creativecommons.org/licenses/by/4.0/).


































































































