Marrubium vulgare L.: A Phytochemical and Pharmacological Overview
Abstract
1. Introduction
2. Botanical and Agronomical Features
3. Phytochemical Composition
4. Optimization Purification Process
5. Applications in Medicine and as Pesticides
5.1. Antioxidant Activity
5.2. Hepatoprotective Properties
5.3. Antiproliferative Activity
5.4. Anti-Inflammatory Activity
5.5. Immunomodulatory Activity
5.6. Sedative Activity
5.7. Antidiabetic Activity
5.8. Antihypertensive Activity
5.9. Hypolipemic Activity
5.10. Gastroprotective Activity
5.11. Antimicrobial Activity
5.12. Wound Healing (Hemostatic)
5.13. Antiviral Activity
5.14. Antiparasitic Activity
5.15. Antiprotozoal Activity
5.16. Antiplasmodial Activity
5.17. Veterinary Medicine
5.18. Use as Natural Pesticides
6. Conclusions
Author Contributions
Funding
Conflicts of Interest
References
- Knoss, W. Marrubium vulgare (White Horehound): In vitro culture, and the production of diterpene marrubiin and other secondary metabolites. In Medicinal and Aromatic Plants XI; Biotechnology in Agriculture and Forestry, Bajaj, Y.P.S., Eds.; Springer: Berlin/Heidelberg, Germany, 1999; Volume 43, pp. 274–289. [Google Scholar] [CrossRef]
- EMA—European Medicines Agency, Committee on Herbal Medicinal Products (HMPC). Community Herbal Monograph on Marrubium vulgare L., herba; HMPC: London, UK, 2013; EMA/HMPC/604271/2012. [Google Scholar]
- Lodhi, S.; Vadnere, G.P.; Sharma, V.K.; Usman, M.R. Marrubium vulgare L.: A review on phytochemical and pharmacological aspects. J. Intercult. Ethnopharmacol. 2017, 6, 429–452. [Google Scholar] [CrossRef]
- Ahvazi, M.; Balali, G.R.; Jamzad, Z.; Saeidi, H. A taxonomical, morphological and pharmacological review of Marrubium vulgare L., an old medicinal plant in Iran. J. Med. Plants 2018, 17, 7–24. [Google Scholar]
- Yabrir, B. Essential oil of Marrubium vulgare: Chemical composition and biological activities. A review. Nat. Prod. Sci. 2019, 25, 81–91. [Google Scholar] [CrossRef]
- Dmitruk, M.; Haratym, W. Morphological differentiation of non-glandular and glandular trichomes on Marrubium vulgare L. Mod. Phytomorphol. 2014, 6, 85. [Google Scholar] [CrossRef]
- Zawislak, G. Cropping evaluation of white horehound (Marrubium vulgare L.), grown from sowing and seedling. Herba Pol. 2009, 55, 63–68. [Google Scholar]
- El-Leithy, A.S.; El-Hanafy, S.H.; Omer, E.A.; El-Sayed, A.A.A. Effect of nitrogen and potassium biofertilization on growth, yield and essential oil production of white horehound, Marrubium vulgare L. Plant. J. Hortic. Sci. Ornam. Plants 2013, 5, 46–59. [Google Scholar] [CrossRef]
- Bergeron, C.; Charbonneau, J.; Desroches, B.; Gosselin, A. Influence of supplemental lighting and irrigation on mineral composition, growth and premarrubin content of horehound, Marrubium vulgare L. J. Herbs Species Med. Plants 1995, 3, 3–15. [Google Scholar] [CrossRef]
- Weiss, J.; Ainsworth, N.; Faithfull, I. Horehound, Marrubium vulgare. Best Practice Management Guide for Environmental Weeds; CRC for Weed Management Systems: Orange, Australia, 2008.
- Amri, B.; Kaab, S.B.; Gouia, H.; Martino, E.; Collina, S.; Kaab, L.B.B. Copper-induced changes in nutrient uptake, enzymatic and non-enzymatic antioxidant systems in horehound (Marrubium vulgare L.). Bot. Sci. 2017, 95, 565–575. [Google Scholar] [CrossRef]
- Rezgui, M.; Majdoub, N.; Ben-Kaab, S.; Marzouk, B.; Gouia, H.; Araujo, M.E.M.; Ben-Kaab, L.B. How salt stress represses the biosynthesis of marrubiin and disturbs the antioxidant activity of Marrubium vulgare L. Pol. J. Environ. Stud. 2017, 26, 267–277. [Google Scholar] [CrossRef]
- Ardic, M.; Sezer, O.; Koyuncu, O.; Yaylaci, K.; Erkara, I.P. Identification of the effects of boron stress on Marrubium vulgare L. (Lamiaceae). Int. J. Environ. Res. Technol. 2018, 1, 17–19. [Google Scholar]
- Mittal, V.; Nanda, A. The pharmacognostical evaluation of the Marrubium vulgare Linn collected from the Pulwama district of Jammu and Kashmir State of India. J. Chem. Pharm. Res. 2016, 8, 7–15. [Google Scholar]
- Amessis-Ouchemoukh, N.; Abu-Reidah, I.M.; Quirantes-Piné, R.; Madani, K.; Segura-Carretero, A. Phytochemical profiling, in vitro evaluation of total phenolic contents and antioxidant properties of Marrubium vulgare (horehound) leaves of plants growing in Algeria. Ind. Crops Prod. 2014, 61, 120–129. [Google Scholar] [CrossRef]
- Ahmed, B.; Masoodi, M.H.; Siddique, A.H.; Khan, S. A new monoterpene acid from Marrubium vulgare with potential antihepatotoxic activity. Nat. Prod. Res. 2010, 24, 1671–1680. [Google Scholar] [CrossRef] [PubMed]
- Verma, A.; Masoodi, M.; Ahmed, B. Lead findings from whole plant of Marrubium vulgare L. with hepatoprotective potentials through in silico methods. Asian Pac. J. Trop. Biomed. 2012, 2, S1308–S1311. [Google Scholar] [CrossRef]
- Neamah, S.I.; Sarhan, I.A.; Al-Shayea, O.N. Extraction and evaluation of the anti-inflammatory activity of six compounds of Marrubium vulgare L. Biosci. Res. 2018, 15, 2393–2400. [Google Scholar]
- Knoss, W.; Zapp, J. Accumulation of furanic labdane diterpenes in Marrubium vulgare and Leonorus cardiaca. Planta Med. 1998, 64, 357–361. [Google Scholar] [CrossRef]
- Shaheen, F.; Rasool, S.; Shah, Z.A.; Soomro, S.; Jabeen, A.; Mesaik, M.A.; Choudhary, M.I. Chemical constituents of Marrubium vulgare as potential inhibitors of nitric oxide and respiratory burst. Nat. Prod. Commun. 2014, 9, 903–906. [Google Scholar] [CrossRef]
- Piozzi, F.; Bruno, M.; Rosselli, S.; Maggio, A. The diterpenoids of the genus Marrubium (Lamiaceae). Nat. Prod. Commun. 2006, 1, 585–592. [Google Scholar] [CrossRef]
- Paunovic, V.; Kostic, M.; Djordjevic, S.; Zugic, A.; Djalinac, N.; Gasic, U.; Trajkovic, V.; Harhaji-Trajkovic, J. Marrubium vulgare ethanolic extract induces proliferation block, apoptosis and cytoprotective autophagy in cancer cells in vitro. Cell. Mol. Biol. 2016, 62, 108–114. [Google Scholar]
- Amri, B.; Martino, E.; Vitulo, F.; Corana, F.; Kaab, L.B.B.; Rui, M.; Rossi, D.; Mori, M.; Rossi, S.; Collina, S. Marrubium vulgare L. leaves extract: Phytochemical composition, antioxidant and wound healing properties. Molecules 2017, 22, 1851. [Google Scholar] [CrossRef]
- Masoodi, M.; Ali, Z.; Liang, S.; Yin, H.; Wang, W.; Khan, I.A. Labdane diterpenoids from Marrubium vulgare. Phytochem. Lett. 2015, 13, 275–279. [Google Scholar] [CrossRef]
- Yousefi, K.; Hamedeyazdan, S.; Torbati, M.; Fathiazad, F. Chromatographic fingerprint analysis of marrubiin in Marrubium vulgare L. via HPTLC technique. Adv. Pharm. Bull. 2016, 6, 131–136. [Google Scholar] [CrossRef] [PubMed]
- Ghedadba, N.; Hambaba, L.; Fercha, N.; Houas, B.; Abdessemed, S.; Mokhtar, S.M.O. Assessment of hemostatic activity of the aqueous extract of leaves of Marrubium vulgare L., a Mediterranean Lamiaceae Algeria. Int. J. Health Sci. 2016, 2, 253–258. [Google Scholar] [CrossRef]
- Boudjelal, A.; Henchiri, C.; Siracusa, L.; Sari, M.; Ruberto, G. Compositional analysis and in vivo anti-diabetic activity of wild Algerian Marrubium vulgare L. infusion. Fitoterapia 2012, 83, 286–292. [Google Scholar] [CrossRef]
- Salaj, N.; Barjaktarović, J.; Kladar, N.; Gavarić, N.; Božin, B. Biomedical potential of horehound extract (Marrubium vulgare, Lamiaceae). Med. Pregl. 2018, 71, 21–26. [Google Scholar] [CrossRef]
- Dallali, S.; Rouz, S.; Aichi, H.; Ben Hassine, H. Phenolic content and allelopathic potential of leaves and rizosphere soil aqueous extracts of white horehound (Maribum vulgare L.). J. New Sci. Agric. Biotechnol. 2017, 39, 2106–2120. [Google Scholar]
- Okur, M.E.; Karakas, N.; Karadag, A.E.; Yilmaz, R.; Demirci, F. In vitro cytotoxicity evaluation of Marrubium vulgare L. methanol extract. J. Res. Pharm. 2019, 23, 711–718. [Google Scholar] [CrossRef]
- Ghedadba, N.; Hambaba, L.; Bousselsela, H.; Hachemi, M.; Drid, A.; Abd-Essmad, A.; Oueld-Mokhtar, S.M. Evaluation of in vitro antioxidant and in vivo anti-inflammatory potential of white horehound (Marrubium vulgare L.) leaves. Int. J. Pharm. Sci. Rev. Res. 2016, 41, 252–259. [Google Scholar]
- Gavarić, A.; Vladić, J.; Ambrus, R.; Jokić, S.; Szabo-Revesz, P.; Tomić, M.; Blažić, M.; Vidović, S. Spray drying of a subcritical extract using Marrubium vulgare as a method of choice for obtaining high quality powder. Pharmaceutics 2019, 11, 523. [Google Scholar] [CrossRef]
- El Bardai, S.; Wibo, M.; Hamaide, M.C.; Lyoussi, B.; Quetin-Leclercq, J.; Morel, N. Characterisation of marubenol, a diterpene extracted from Marrubium vulgare, as an L-type calcium channel blocker. Br. J. Pharmacol. 2003, 140, 1211–1216. [Google Scholar] [CrossRef]
- Oliveira, A.P.; Santin, J.R.; Lemos, M.; Junior, L.C.K.; Couto, A.G.; Bittencourt, C.M.S.; Filho, V.C.; Andrade, S.F. Gastroprotective activity of methanol extract and marrubiin obtained from leaves of Marrubium vulgare L. (Lamiaceae). J. Pharm. Pharmacol. 2011, 63, 1230–1237. [Google Scholar] [CrossRef] [PubMed]
- Popoola, O.K.; Elbagory, A.M.; Ameer, F.; Hussein, A. Marrubiin. Molecules 2013, 18, 9049–9060. [Google Scholar] [CrossRef] [PubMed]
- Stulzer, H.K.; Tagliari, M.P.; Zampirolo, J.A.; Cechinel-Filho, V.; Schlemper, V. Antioedematogenic effect of marrubiin obtained from Marrubium vulgare. J. Ethnopharmacol. 2006, 108, 379–384. [Google Scholar] [CrossRef] [PubMed]
- El Bardai, S.E.; Morel, N.; Wibo, M.; Fabre, N.; Llabres, G.; Lyoussi, B.; Quetin-Leclercq, I. The vasorelaxant activity of marrubenol and marrubiin from Marrubium vulgare. Planta Med. 2003, 69, 75–77. [Google Scholar] [CrossRef]
- Dewick, M.P. Medicinal Natural Products: A Biosynthetic Approach, 3rd ed.; John Wiley & Sons, Ltd.: Hoboken, NJ, USA, 2009; ISBN 978-0-470-74168-9. [Google Scholar]
- Boulila, A.; Sanaa, A.; Salem, I.B.; Rokbeni, N.; M’rabet, Y.; Hosni, K.; Fernandez, X. Antioxidant properties and phenolic variation in wild populations of Marrubium vulgare L. (Lamiaceae). Ind. Crops Prod. 2015, 76, 616–622. [Google Scholar] [CrossRef]
- Sahpaz, S.; Garbacki, N.; Tits, M.; Bailleul, F. Isolation and pharmacological activity of phenylpropanoid esters from Marrubium vulgare. J. Ethnopharmacol. 2002, 79, 389–392. [Google Scholar] [CrossRef]
- Pukalskas, A.; Venskutonis, P.R.; Salido, S.; de Waard, P.; van Beek, T.A. Isolation, identification and activity of natural antioxidants from horehound (Marrubium vulgare L.) cultivated in Lithuania. Food Chem. 2012, 130, 695–701. [Google Scholar] [CrossRef]
- Kurbatova, N.V.; Muzychkina, R.A.; Mukhitdinov, N.M.; Parshina, G.N. Comparative phytochemical investigation of the composition and content of biologically active substances in Marrubium vulgare and M. alternidens. Chem. Nat. Compd. 2003, 39, 501–502. [Google Scholar] [CrossRef]
- Nawal, H.M.; Atta, E.M. Cytotoxic and antioxidant activity of Marrubium vulgare and flavonoid constituents. In Proceedings of the 2nd International Conference on Chemical, Environmental and Biological Sciences, Dubai, UAE, 17–18 March 2013. [Google Scholar]
- Nawwar, M.A.M.; El-Mousallamy, A.M.D.; Barakat, H.H.; Buddrus, J.; Linscheid, M. Flavonoid lactates from leaves of Marrubium vulgare. Phytochemistry 1989, 28, 3201–3206. [Google Scholar] [CrossRef]
- Alkhatib, R.; Joha, S.; Cheok, M.; Roumiy, V.; Idziorek, T.; Preudhomme, C.; Quesnel, B.; Sahpaz, S.; Bailleul, F.; Hennebelle, T. Activity of ladanein on leukemia cell lines and its occurrence in Marrubium vulgare. Planta Med. 2010, 76, 86–87. [Google Scholar] [CrossRef]
- Karunanithi, P.S.; Dhanlta, P.; Addison, J.B.; Tong, S.; Fiehn, O.; Zerbe, P. Functional characterization of the cytochrome P450 monooxygenase CYP71AU87 indicates a role in marrubiin byosynthesis in the medicinal plant Marrubium vulgare. BMC Plant Biol. 2019, 19, 114. [Google Scholar] [CrossRef] [PubMed]
- WHO Organization. Quality Control Methods for Herbal Materials; World Health Organization: Geneva, Switzerland, 2011. [Google Scholar]
- Bandaranayake, W.M. Quality control, screening, toxicity, and regulation of herbal drugs. In Modern Phytomedicine: Turning Medicinal Plants into Drugs; Farrukh, I.A., Owais, M., Eds.; Wiley-VCH Verlag GmbH & Co. KGaA: Weinheim, Germany, 2006; pp. 25–57. [Google Scholar] [CrossRef]
- Bahammou, Y.; Tagnamas, Z.; Lamharrar, A.; Idlimam, A. Thin-layer solar drying characteristics of Moroccan horehound leaves (Marrubium vulgare L.) under natural and forced convection solar drying. Sol. Energy 2019, 188, 958–969. [Google Scholar] [CrossRef]
- Rezazi, S.; Hanini, S.; Si-Moussa, C.; Abdelmalek, S. Modeling and optimization of the operating conditions of Marrubium vulgare L. essential oil extraction process: Kinetic parameters estimation through genetic algorithms. J. Essent. Oil Bear. Plants 2016, 19, 843–853. [Google Scholar] [CrossRef]
- Martino, E.; Volpe, S.D.; Cavalloro, V.; Amri, B.; Kaab, L.B.B.; Marrubini, G.; Rossi, D.; Collina, S. The use of a microwave-assisted solvent extraction coupled with HPLC-UV/PAD to assess the quality of Marrubium vulgare L. (white horehound) herbal raw material. Phytochem. Anal. 2019, 30, 1–8. [Google Scholar] [CrossRef] [PubMed]
- Rodrigues, C.A.; Savi, A.O.S.; Schlemper, V.; Reynaud, F.; Cechinel-Filho, V. An improved extraction of marrubiin from Marrubium vulgare. Chromatographia 1998, 47, 449–450. [Google Scholar] [CrossRef]
- Bouterfas, K.; Mehdadi, Z.; Benmansour, D.; Khaled, M.B.; Bouterfas, M.; Latreche, A. Optimization of extraction conditions of some phenolic compounds from white horehound (Marrubium vulgare L.) leaves. Int. J. Org. Chem. 2014, 4, 292–308. [Google Scholar] [CrossRef]
- Rezazi, S.; Abdelmalek, S.; Hanini, S. Kinetic study and optimization of extraction process condition. Energy Procedia 2017, 139, 98–104. [Google Scholar] [CrossRef]
- Miloudi, K.; Hamimed, A.; Benmimoun, Y.; Bellebna, Y.; Taibi, A.; Tilmatine, A. Intensification of essential oil extraction of the Marrubium vulgare using pulsed electric field. J. Essent. Oil Bear. Plants 2018, 21, 811–824. [Google Scholar] [CrossRef]
- Steinmetz, E.F. Materia Medica Vegetabilis; Published by Author: Amsterdam, The Netherlands, 1954. [Google Scholar]
- Thomas, D.L.; Thomas, L.B. Kentucky Superstitions; Princeton University Press: Princeton, NJ, USA, 1920. [Google Scholar]
- Bisset, N.G. Herbal Drugs and Phytopharmaceuticals; Wichtl, M., Ed.; CRC Press: Boca Raton, FL, USA, 2001. [Google Scholar]
- Kanyonga, P.M.; Faouzi, M.A.; Maddah, B.; Mpona, M.; Essassi, E.M.; Cherrah, Y. Assessment of methanolic extract of Marrubium vulgare for anti-inflammatory, analgesic and anti-microbiologic activities. J. Chem. Pharm. Res. 2011, 3, 199–204. [Google Scholar]
- Akther, N.; Shawl, A.; Sultana, S.; Chandan, B.; Akhter, M. Hepatoprotective activity of Marrubium vulgare against paracetamol induced toxicity. J. Pharm. Res. 2013, 7, 565–570. [Google Scholar] [CrossRef]
- Commission, E.P. European Pharmacopoeia 8th Edition: Supplement 8.0; Council of Europe: Strasbourg, France, 2014. [Google Scholar]
- Kadri, A.; Zarai, Z.; Békir, A.; Gharsallah, N.; Damak, M.; Gdoura, R. Chemical composition and antioxidant activity of Marrubium vulgare L. essential oil from Tunisia. Afr. J. Biotechnol. 2011, 10, 3908–3914. [Google Scholar]
- Aouni, R.; Ben Attia, M.; Jaafoura, M.H.; Bibi-Derbel, A.; Haouari, M. Effects of the hydro-ethanolic extract of Marrubium vulgare in female rats. Asian Pac. J. Trop. Med. 2017, 10, 160–164. [Google Scholar] [CrossRef] [PubMed]
- Mokhtari, M.; Ebrahimpoor, M.R.; Harfsheno, S. The effects of alcoholic extract of Marrubum vulgare on hormonal parameters in female rat model of polycystic ovarian syndrome. Med. Sci. 2014, 24, 74–80. [Google Scholar]
- Kolangi, F.; Memariani, Z.; Bozorgi, M.; Mozaffarpur, S.A.; Mirzapour, M. Herbs with Potential Nephrotoxic Effects According to the Traditional Persian Medicine: Review and Assessment of Scientific Evidence. Curr. Drug Metab. 2018, 19, 628–637. [Google Scholar] [CrossRef] [PubMed]
- Mbah, C.J.; Orabueze, I.; Okorie, N.H. Antioxidants properties of natural and synthetic chemical compounds: Therapeutic effects on biological system. Acta Sci. Pharm. Sci. 2019, 3, 28–42. [Google Scholar] [CrossRef]
- Abadi, A.; Hassani, A. Essential oil composition and antioxidant activity of Marrubium vulgare L. growing wild in Eastern Algeria. Int. Lett. Chem. Phys. Astron. 2013, 9, 17–24. [Google Scholar] [CrossRef]
- Rezgui, M.; Majdoub, N.; Mabrouk, B.; Baldisserotto, A.; Bino, A.; Ben Kaab, L.B.; Manfredini, S. Antioxidant and Antifungal Activities of Marrubiin, Extracts and Essential Oil from Marrubium vulgare L. against Pathogenic Dermatophyte Strains. J. Mycol. Med. 2020, 30, 100927. [Google Scholar] [CrossRef]
- Djeridane, A.; Yousfi, M.; Brunel, J.M.; Stocker, P. Isolation and characterization of a new steroid derivative as a powerful antioxidant from Cleome arabica in screening the in vitro antioxidant capacity of 18 Algerian medicinal plants. Food Chem. Toxicol. 2010, 48, 2599–2606. [Google Scholar] [CrossRef]
- Weel, K.G.C.; Venskutonis, P.R.; Pukalskas, A.; Gruzdiene, D.; Linssen, J.P.H. Antioxidant activity of horehound (Marrubium vulgare L.) grown in Lithuania. Lipid 1999, 101, 395–400. [Google Scholar] [CrossRef]
- Bouterfas, K.; Mehdadi, Z.; Elaoufi, M.M.; Latreche, A.; Benchiha, W. Antioxidant activity and total phenolic and flavonoids content variations of leaves extracts of white Horehound (Marrubium vulgare Linné) from three geographical origins. Ann. Pharm. Fr. 2016, 74, 453–462. [Google Scholar] [CrossRef]
- Ibrahim, F.M.; Ibrahim, A.Y.; Omer, E.A. Potential effect of Marrubium vulgare L. extracts on CCl4 model induced hepatotoxicity in albino mice. World J. Pharm. Sci. 2014, 2, 1664–1670. [Google Scholar]
- El-Hallous, E.I.; Alsanie, W.F.; Ismail, I.A.; Dessoky, E.S. Utilization of Marrubium vulgare extract as a therapeutic to hepatic damage induced by carbon tetrachloride in rats. Int. J. Pharm. Res. Allied Sci. 2018, 7, 168–178. [Google Scholar]
- Elberry, A.A.; Harraz, F.M.; Ghareib, S.A.; Nagy, A.A.; Gabr, S.A.; Suliaman, M.I.; Abdel-Sattar, E. Antixepatoxic effect of Marrubium vulgare and Withania somnifera extracts on carbon tetrachloride-induced hepatotoxicity in rats. J. Basic Clin. Pharm. 2010, 1, 247–254. [Google Scholar] [PubMed]
- Bourhia, M.; Abdelaziz Shahat, A.; Mohammed Almarfadi, O.; Ali Naser, F.; Mostafa Abdelmageed, W.; Ait Haj Said, A.; El Gueddari, F.; Naamane, A.; Benbacer, L.; Khlil, N. Ethnopharmacological survey of herbal remedies used for the treatment of cancer in the greater Casablanca-Morocco. Evid. Based Complement. Altern. Med. 2019, 10, 1613457. [Google Scholar] [CrossRef] [PubMed]
- Villanueva Rodriguez, J.; Martín Esteban, J. An Insight into a Blockbuster Phytomedicine; Marrubium vulgare L. Herb. More of a Myth than a Reality? Phytother. Res. 2016, 30, 1551–1558. [Google Scholar] [CrossRef] [PubMed]
- Zarai, Z.; Kadri, A.; Chobba, I.B.; Mansour, R.B.; Bekir, A.; Mejdoub, H.; Gharsallah, N. The in-vitro evaluation of antibacterial, antifungal and cytotoxic properties of Marrubium vulgare L. essential oil grown in Tunisia. Lipids Health Dis. 2011, 10, 161. [Google Scholar] [CrossRef]
- Tlili, H.; Hanen, N.; Ben Arfa, A.; Neffati, M.; Boubakri, A.; Buonocore, D.; Dossena, M.; Verri, M.; Doria, E. Biochemical profile and in vitro biological activities of extracts from seven folk medicinal plants growing wild in southern Tunisia. PLoS ONE 2019, 14, e0213049. [Google Scholar] [CrossRef]
- Kozyra, M.; Korga, A.; Ostrowska, M.; Humeniuk, E.; Adamczuk, G.; Gieroba, R.; Makuch-Kocka, A.; Dudka, J. Cytotoxic Activity of Methanolic Fractions of Different Marrubium spp. against Melanoma Cells Is Independent of Antioxidant Activity and Total Phenolic Content. FEBS Open Bio 2020, 10, 86–95. [Google Scholar] [CrossRef]
- Shawky, E. Prediction of Potential Cancer-Related Molecular Targets of North African Plants Constituents Using Network Pharmacology-Based Analysis. J. Ethnopharmacol. 2019, 238, 111826. [Google Scholar] [CrossRef]
- Rameshrad, M.; Yousefi, K.; Fathiazad, F.; Soraya, H.; Hamedeyazdan, S.; Khorrami, A.; Maleki-Dizaji, N.; Garjani, A. A methanolic extract of Marrubium vulgare L. suppresses inflammatory responses in isoproterenol induced myocardial infarction in rat. Res. Pharm. Sci. 2012, 7, S959. [Google Scholar]
- Yousefi, K.; Fathiazad, F.; Soraya, H.; Raameshrad, M.; Maleki-Dizaji, N.; Garjani, A. Marrubium vulgare L. methanolic extract inhibits inflammatory response and prevents cardiomyocyte fibrosis in isoproterenol-induced acute myocardial infarction in rats. BioImpacts 2014, 4, 21–27. [Google Scholar] [CrossRef] [PubMed]
- Ajedi, A.S.S.; Widodo, N.; Widyarti, S.; Rifai, M. Immunomodulatory effect of Moringa oleifera and Marrubium vulgare leaf aqueous extracts in BALB/C mice infected with Salmonella typhimurium. In Proceedings of the 144th the IRES International Conference, Bali, Indonesia, 30–31 October 2018. [Google Scholar]
- Hosseinzadeh, H.; Ziaee, T.; Ahi, A. Effect of Marrubium vulgare L. aerial parts aqueous and ethanolic extracts on morphine withdrawal syndrome in mice. Pharmacologyonline 2007, 3, 422–427. [Google Scholar]
- Barkaoui, M.; Katiri, A.; Boubaker, H.; Msanda, F. Ethnobotanical Survey of Medicinal Plants Used in the Traditional Treatment of Diabetes in Chtouka Ait Baha and Tiznit (Western Anti-Atlas), Morocco. J. Ethnopharmacol. 2017, 98, 338–350. [Google Scholar] [CrossRef] [PubMed]
- Hamza, N.; Berke, B.; Umar, A.; Cheze, C.; Gin, H.; Moore, N. A review of Algerian medicinal plants used in the treatment of diabetes. J. Ethnopharmacol. 2019, 238, 111841. [Google Scholar] [CrossRef]
- Villanueva, J.R.; Esteban, J.M.; Villanueva, L.R. A reassessment of the Marrubium vulgare L. herb’s potential role in diabetes mellitus type 2: First results guide in investigation toward new horizons. Medicines 2017, 4, 57. [Google Scholar] [CrossRef]
- Hellal, K.; Maulidiani, M.; Ismail, I.S.; Tan, C.P.; Abas, F. Antioxidant, α-Glucosidase, and Nitric Oxide Inhibitory Activities of Six Algerian Traditional Medicinal Plant Extracts and 1 H-NMR-Based Metabolomics Study of the Active Extract. Molecules 2020, 25, 1247. [Google Scholar] [CrossRef]
- Chakir, A.R.S.; Elbadaoui, K.; Alaoui, T. Antidiabetic activities of methanolic extracts of Marrubium vulgare leaves in rats. Int. J. Pharm. Phytopharm. Res. 2015, 4, 258–263. [Google Scholar]
- Elmhdwi, M.F. Hypoglycemic effects of Marrubium vulgare (Rubia) in experimentally induced autoimmune diabetes mellitus. Int. Res. J. Biochem. Bioinform. 2014, 44, 42–54. [Google Scholar]
- Alkofahi, A.S.; Abdul-Razzak, K.K.; Alyoubi, K.H.; Khabour, O.F. Screening of the Anti-hyperglycemic Activity of Some Medicinal Plants of Jordan. Pak. J. Pharm Sci. 2017, 30, 907–912. [Google Scholar]
- Dehkordi, F.R.; Roghani, M.; Baluchnejadmojarad, T. The effect of Marrubium vulgare on contractile reactivity of aorta in diabetic rats. ARYA Atheroscler. J. 2012, 7, 1–4. [Google Scholar]
- Herrera-Arellano, A.; Aguilar-Santamaria, L.; Garcia-Hernandez, B.; Nicasio-Torres, P.J.T. Clinical trial of Cecropia obtusifolia and Marrubium vulgare leaf extracts on blood glucose and serum lipids in type 2 diabetics. Phytomedicine 2004, 11, 561–566. [Google Scholar] [CrossRef] [PubMed]
- El Bardai, S.E.; Lyoussi, B.; Wibo, M.; Morel, N. Comparative study of the antihypertensive activity of Marrubium vulgare and of the dihydropyridine calcium antagonist amlodipine in spontaneously hypertensive rat. Clin. Exp. Hypertens. 2004, 26, 465–474. [Google Scholar] [CrossRef]
- Ibrahim, A.Y.; Hendawy, S.F.; Elsayed, A.A.A.; Omer, E.A. Evaluation of Hypolipidemic Marrubium Vulgare Effect in Triton WR-1339-induced Hyperlipidemia in Mice. Asian Pac. J. Trop. Med. 2016, 9, 453–459. [Google Scholar] [CrossRef] [PubMed]
- Sirtori, C.R.; Pavanello, C.; Calabresi, L.; Ruscica, M. Nutraceutical Approaches to Metabolic Syndrome. Ann. Med. 2017, 49, 678–697. [Google Scholar] [CrossRef] [PubMed]
- Kahlouche-Riachi, F.; Djerrou, Z.; Ghoribi, L.; Djaalab, I.; Mansour-Djaalab, H.; Bensari, C.; Hamdi-Pacha, Y. Chemical characterization and antibacterial activity of phases obtained from extracts of Artemisia herba alba, Marrubium vulgare and Pinus pinaster. Int. J. Pharmacogn. Phytochem. Res. 2015, 7, 270–274. [Google Scholar]
- Bouterfas, K.; Mehdadi, Z.; Aouad, L.; Elaoufi, M.M.; Khaled, M.B.; Latreche, A.; Benchiha, W. Does the sampling locality influence on the antifungal activity of the flavonoids of Marrubium vulgare against Aspergillus niger and Candida albicans? J. Mycol. Med. 2016, 26, 201–211. [Google Scholar] [CrossRef]
- Fayyad, A.S.F.; Ibrahim, N.; Yaakob, W.A. Phytochemical screening and antiviral activity of Marrubium vulgare. Malays. J. Microbiol. 2014, 10, 106–111. [Google Scholar]
- Bahadory, E.S.; Asl, A.D.; Mosavipoor, S.S.; Ghaffari, A.D.; Namroodi, S.; Novin, S.G. The therapeutic effect of Marrubium vulgare, Salvia officinalis and Lippia citrodora in killing of Toxoplasma gondii tachyzoite and evaluation by MTT assay. Med. J. Tabriz Univ. Med. Sci. Health Serv. 2018, 39, 44–50. [Google Scholar]
- Akbari, Z.; Dastan, D.; Maghsood, A.H.; Fallah, M.; Matini, M. Investigation of in vitro efficacy of Marrubium vulgare L. essential oil and extracts against Trichomonas vaginalis. Zahedan J. Res. Med. Sci. 2018, 20, e67003. [Google Scholar] [CrossRef]
- Abdussalam, U.S.; Aliyu, M.; Maje, I.M. In vivo antiplasmodial activity of ethanol leaf extract of Marrubium vulgare L. (Lamiaceae) in Plasmodium berghei-berghei infected mice. Trop. J. Nat. Prod. Res. 2018, 2, 132–1135. [Google Scholar] [CrossRef]
- Moussouni, L.; Benhanifia, M.; Ayad, A. In vitro anthelmintic effects of aqueous and ethanolic extracts of Marrubium vulgare leaves against bovine digestive strongyles. Turkiye Parazitol. Derg. 2018, 42, 262–267. [Google Scholar] [CrossRef] [PubMed]
- Saidi, R.; Mimoune, N.; Baazizi, R.; Benaissa, M.H.; Khelef, D.; Kaidi, R. A study of ethno-veterinary medicinal plants and in vitro antimicrobial activities against bovine mastitis isolated bacterial pathogens in Algeria. Bull. UASVM Vet. Med. 2019, 76, 154–161. [Google Scholar] [CrossRef]
- Aouati, A.; Berchi, S. Larvicidal effect of Marrubium vulgare on Culex pipiens in eastern Algeria. Energy Procedia 2015, 74, 1026–1031. [Google Scholar] [CrossRef][Green Version]
- Saleh, M.M.; Glombitza, K.W. Volatile oil of Marrubium vulgare and its anti-schistosomal activity. Planta Med. 1989, 55, 105–106. [Google Scholar] [CrossRef]
| Extraction | Phenolic Content | Flavonoid Content | References |
|---|---|---|---|
| Aqueous extract | 175.00 mg GAE/100 g dry material | 23.86 mg QE/100 g dry material | [26] |
| Aqueous infusion | na | 5.08 mg/100 mg dry material | [27] |
| Ethanol–water extract (70:30, v/v) | 93.42 mg of GAE | 23.25 mg of RUE/g of extract | [14] |
| Ethanol–water extract (70:30, v/v) | 59.87 mg GAE/g dry extract | 14.47 mg QE/g dry extract | [28] |
| Methanol extract (dry) | 44.89 mg GAE/g dry extract | 24.60 mg QE/g dry extract | [29] |
| Methanol extract | 48.97–195.00 mg GAE/g extract | 12.05–93.12 mg QE/100 g extract | [25,30,31] |
| Microwave assisted extract | 61.44 mg of GAE/g of extract | 37.70 mg of RUE/g of extract | [14] |
| Subcritical water extract | 72.98–85.20 mg GAE/g extract | 26.59–31.37 mg CE/g extract | [32] |
| Compound | References | Structure |
|---|---|---|
| Monoterpene derivatives | ||
| Marrubic acid | [16] | ![]() |
| Sacranoside A | [15] | ![]() |
| Sesquiterpene lactone | ||
| Vulgarin | [17] | ![]() |
| Diterpenoids | ||
| Marrubiin | [17,19,23,33,34,35,36] | ![]() |
| 12(S)-hydroxymarrubiin | [24] | ![]() |
| 11-Oxomarrubiin | [20] | ![]() |
| 3-Deoxo-15(S)-methoxyvelutine | [24] | ![]() |
| Marrubenol | [15,33,37] | ![]() |
| Premarrubiin | [15,17] | ![]() |
| Marruliba-acetal | [15] | ![]() |
| Cyllenin A | [21] | ![]() |
| Polyodonine | [20] | ![]() |
| Preleosibirin | [15] | ![]() |
| Peregrinol | [21] | ![]() |
| Peregrinin | [24] | ![]() |
| Dihydroperegrinin | [24] | ![]() |
| Vulgarol | [17] | ![]() |
| Vulgarcoside A | [20] | ![]() |
| Deacetylvitexilactone | [23] | ![]() |
| Carnosol | [22] | ![]() |
| Deacetylforskolin | [15] | ![]() |
| Phytosterol | ||
| β-sitosterol | [18] | ![]() |
| Triterpenoids | ||
| Lupeol | [17] | ![]() |
| Oleanolic acid | [18] | ![]() |
| Compound | References | Structure |
|---|---|---|
| Coumarins | ||
| Umbelliferone | [22] | ![]() |
| Aesculin | [22] | ![]() |
| Phenolic acids | ||
| Gallic acid | [22] | ![]() |
| Gentisic acid | [22] | ![]() |
| p-Hydroxybenzoic acid | [22] | ![]() |
| Protocatechuic acid | [22] | ![]() |
| Syringic acid | [39] | ![]() |
| Phenylpropanoid (cinnamic) acids | ||
| trans-Cinnamic acid | [39] | ![]() |
| Caffeic acid | [15,22,32,39] | ![]() |
| Ferulic acid | [22,32,39] | ![]() |
| o-Coumaric acid | [39] | ![]() |
| p-Coumaric acid | [22,32,39] | ![]() |
| Sinapic acid | [39] | ![]() |
| Phenylpropanoid (cinnamic) ester | ||
| Caffeoylmalic acid | [17,40] | ![]() |
| Rosmarinic acid | [18,22,39] | ![]() |
| Chlorogenic acid | [22,27] | ![]() |
| Phenylethanoid glycosides | ||
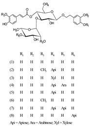
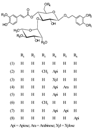
| Acteoside (1) | [15,17,23,27,40,41] | ![]() |
| Alyssonoside (2) | [15,27] | |
| Arenarioside (3) | [40] | |
| Ballotetroside (4) | [27,40] | |
| Forsythoside B (5) | [15,23,40,41] | |
| Leucosceptoside A (6) | [15] | |
| Marruboside (7) | [15,23,40] | |
| Samioside (8) | [23] | |
| Compound | References | Structure |
|---|---|---|
| Flavanone | ||
| Naringenin (1) | [22] | ![]() |
| Naringin (2) | [22] | |
| Flavone | ||
| Acacetin (1) | [43] | ![]() |
| Apigenin (2) | [15,17,20,22,39,43,44] | |
| Chrysoeriol (3) | [17,44] | |
| Diosmetin (4) | [43] | |
| Ladanein (5) | [27,41,45] | |
| Luteolin (6) | [15,22,44] | |
| Flavone derivatives | ||
| Acacetin 7-O-rhamnoside (1) | [43] | ![]() |
| Apigenin 6,8-di-C-glucoside (2) (Vicenin II) | [27,44] | |
| Apigenin 7-[2-glucosyllactate] (3) | [44] | |
| Apigenin 7-[2-glucuronosyllactate] (4) | [44] | |
| Apigenin 7-acetate (5) | [44] | |
| Apigenin 7-O-glucoside (6) | [15,18,27,44] | |
| Apigenin 7-O-glucuronide (7) | [17,27] | |
| Apigenin 8-C-glucoside (8) (Vitexin) | [17,44] | |
| Chrysoeriol 7-O-glucuronide (9) | [27] | |
| Diosmetin-7-O-glucoside (10) | [43] | |
| Luteolin 7-[2-glucosyllactate] (11) | [44] | |
| Luteolin 7-[2-glucuronosyllactate] (12) | [44] | |
| Luteolin 7-acetate (13) | [44] | |
| Luteolin 7-O-glucoside (14) | [15,18,27,39,41,44] | |
| Luteolin 7-O-glucuronide (15) | [27,41] | |
| Luteolin 7-O-rutinoside (16) | [18] | |
| Luteolin 7-rhamnoside (17) | [43] | |
| 3-hydroxyapigenin 4′-O-(6′′-O-p-coumaroyl)-glucoside (1) | [20] | ![]() |
| Apigenin 4′-O-(6′′-O-p-coumaroyl)-glucoside (2) | [20] | |
| Apigenin 7-O-(4′′-p-coumaroyl)-glucoside (1) (Terniflorin) | [15] | ![]() |
| Apigenin 7-O-(3′′, 6′′-di-p-coumaroyl)-glucoside (2) (Anisofolin A) | [20] | |
| Apigenin 7-O-(6′′-p-coumaroyl)-glucoside (3) | [44] | |
| Flavonol | ||
| Galangin (1) | [22] | ![]() |
| Quercetin (2) | [22] | |
| Flavonol derivatives | ||
| Quercetin 3-O-galactoside (1) (Hyperoside) | [32,39] | ![]() |
| Quercetin 3-O-glucoside (2) (Isoquercetin) | [39] | |
| Kaempferol 3-O-glucoside (3) (Astragalin) | [39] | |
| Quercetin 3-O-rutinoside (4) (Rutin) | [22,32] | |
© 2020 by the authors. Licensee MDPI, Basel, Switzerland. This article is an open access article distributed under the terms and conditions of the Creative Commons Attribution (CC BY) license (http://creativecommons.org/licenses/by/4.0/).
Share and Cite
Aćimović, M.; Jeremić, K.; Salaj, N.; Gavarić, N.; Kiprovski, B.; Sikora, V.; Zeremski, T. Marrubium vulgare L.: A Phytochemical and Pharmacological Overview. Molecules 2020, 25, 2898. https://doi.org/10.3390/molecules25122898
Aćimović M, Jeremić K, Salaj N, Gavarić N, Kiprovski B, Sikora V, Zeremski T. Marrubium vulgare L.: A Phytochemical and Pharmacological Overview. Molecules. 2020; 25(12):2898. https://doi.org/10.3390/molecules25122898
Chicago/Turabian StyleAćimović, Milica, Katarina Jeremić, Nebojša Salaj, Neda Gavarić, Biljana Kiprovski, Vladimir Sikora, and Tijana Zeremski. 2020. "Marrubium vulgare L.: A Phytochemical and Pharmacological Overview" Molecules 25, no. 12: 2898. https://doi.org/10.3390/molecules25122898
APA StyleAćimović, M., Jeremić, K., Salaj, N., Gavarić, N., Kiprovski, B., Sikora, V., & Zeremski, T. (2020). Marrubium vulgare L.: A Phytochemical and Pharmacological Overview. Molecules, 25(12), 2898. https://doi.org/10.3390/molecules25122898

















































