Sustainable Process for the Depolymerization/Oxidation of Softwood and Hardwood Kraft Lignins Using Hydrogen Peroxide under Ambient Conditions
Abstract
1. Introduction
2. Results
2.1. General Observations and Product Yields
2.2. Elemental Analysis
2.3. FTIR Analysis
2.4. Molecular Weight Distribution by GPC
2.5. Functional Group Analysis Using 31P-NMR
2.6. TGA Analysis
2.7. Py–GC/MS Analysis
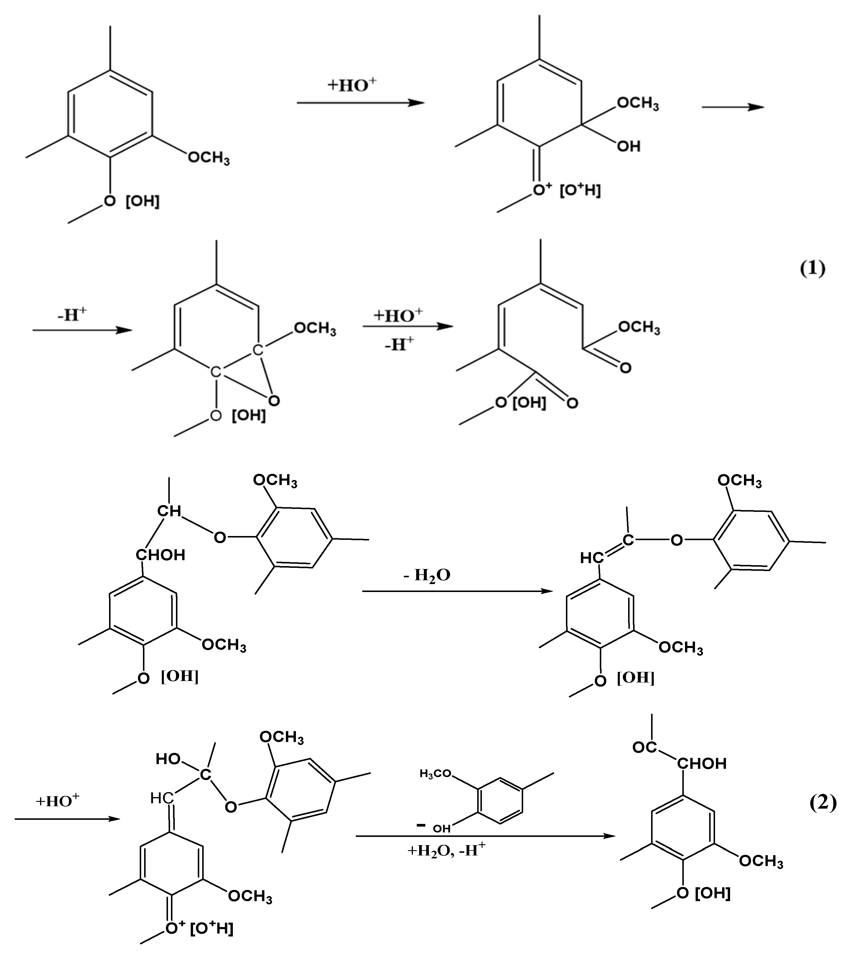
3. Discussion
4. Materials and Methods
4.1. Materials
4.2. Oxidative Treatment of SKL and HKL
4.3. Product Characterization
4.3.1. Elemental analysis
4.3.2. GPC Analysis
4.3.3. FTIR Analysis
4.3.4. 31P-NMR
4.3.5. TGA Analysis
4.3.6. Py–GC/MS
5. Conclusions
Author Contributions
Funding
Conflicts of Interest
References
- Ragauskas, A.J.; Beckham, G.T.; Biddy, M.J.; Chandra, R.; Chen, F.; Davis, M.F.; Davison, B.H.; Dixon, R.A.; Gilna, P.; Keller, M.; et al. Lignin valorization: Improving lignin processing in the biorefinery. Science 2014, 344, 1246843. [Google Scholar] [CrossRef] [PubMed]
- McKendry, P. Energy production from biomass (part 1): Overview of biomass. Bioresour. Technol. 2002, 83, 37–46. [Google Scholar] [CrossRef]
- Calvo-Flores, F.G.; Dobado, J.A.; Isac-García, J.; Martín-Martínez, F.J. Lignin and Lignans as Renewable Raw Materials: Chemistry, Technology and Applications; John Wiley & Sons: Hoboken, NJ, USA, 2015; pp. 64–80. [Google Scholar]
- Xu, C.; Arancon, R.A.D.; Labidi, J.; Luque, R. Lignin depolymerization strategies: Towards valuable chemicals and fuels. Chem. Soc. Rev. 2014, 43, 7485–7500. [Google Scholar] [CrossRef] [PubMed]
- Heitner, C.; Dimmel, D.; Schmidt, J. Lignin and Lignans: Advances in Chemistry; CRC press: Boca Raton, FL, USA, 2016; pp. 5–7. [Google Scholar]
- Mahmood, N.; Yuan, Z.; Schmidt, J.; Xu, C.C. Depolymerization of lignins and their applications for the preparation of polyols and rigid polyurethane foams: A review. Renew. Sustain. Energy Rev. 2016, 60, 317–329. [Google Scholar] [CrossRef]
- An, L.; Si, C.; Wang, G.; Sui, W.; Tao, Z. Enhancing the solubility and antioxidant activity of high-molecular-weight lignin by moderate depolymerization via in situ ethanol/acid catalysis. Ind. Crop. Prod. 2019, 128, 177–185. [Google Scholar] [CrossRef]
- Morohoshi, N.; Glasser, W.G. The structure of lignins in pulps. 4. Comparative evaluation of five lignin depolymerization techniques. Wood Sci. Technol. 1979, 13, 165–178. [Google Scholar] [CrossRef]
- Freudenberg, K.; Chen, C.L.; Harkin, J.M.; Nimz, H.; Renner, H. Observations on lignin. Chem. Commun. (London) 1965, 224–225. [Google Scholar] [CrossRef]
- Sun, Z.; Fridrich, B.; de Santi, A.; Elangovan, S.; Barta, K. Bright side of lignin depolymerization: Toward new platform chemicals. Chem. Rev. 2018, 118, 614–678. [Google Scholar] [CrossRef]
- Rößiger, B.; Röver, R.; Unkelbach, G.; Pufky-Heinrich, D. Production of bio-phenols for industrial application: Scale-up of the base-catalyzed depolymerization of lignin. Green Sustain. Chem. 2017, 7, 193–202. [Google Scholar] [CrossRef]
- Hewson, W.B.; Hibbert, H. Studies on Lignin and Related Compounds. LXV. Re-ethanolysis of Isolated Lignins. J. Am. Chem. Soc. 1943, 65, 1173–1176. [Google Scholar] [CrossRef]
- Gasson, J.R.; Forchheim, D.; Sutter, T.; Hornung, U.; Kruse, A.; Barth, T. Modeling the lignin degradation kinetics in an ethanol/formic acid solvolysis approach. Part 1. Kinetic model development. Ind. Eng. Chem. Res. 2012, 51, 10595–10606. [Google Scholar] [CrossRef]
- Forchheim, D.; Gasson, J.R.; Hornung, U.; Kruse, A.; Barth, T. Modeling the lignin degradation kinetics in a ethanol/formic acid solvolysis approach. Part 2. Validation and transfer to variable conditions. Ind. Eng. Chem. Res. 2012, 51, 15053–15063. [Google Scholar] [CrossRef]
- Kristianto, I.; Limarta, S.O.; Lee, H.; Ha, J.M.; Suh, D.J.; Jae, J. Effective depolymerization of concentrated acid hydrolysis lignin using a carbon-supported ruthenium catalyst in ethanol/formic acid media. Bioresour. Technol. 2017, 234, 424–431. [Google Scholar] [CrossRef]
- Mahmood, N.; Yuan, Z.; Schmidt, J.; Xu, C.C. Production of polyols via direct hydrolysis of kraft lignin: Effect of process parameters. Bioresour. Technol. 2013, 139, 13–20. [Google Scholar] [CrossRef] [PubMed]
- Ma, R.; Xu, Y.; Zhang, X. Catalytic oxidation of biorefinery lignin to value-added chemicals to support sustainable biofuel production. ChemSusChem 2015, 8, 24–51. [Google Scholar] [CrossRef]
- Das, L.; Kolar, P.; Sharma-Shivappa, R.; Classen, J.; Osborne, J. Oxidative depolymerization of lignin using supported niobium catalysts. Chem. Eng. 2017, 1, 17. [Google Scholar] [CrossRef]
- Kang, J.; Irmak, S.; Wilkins, M. Conversion of lignin into renewable carboxylic acid compounds by advanced oxidation processes. Renew. Energy. 2019, 135, 951–962. [Google Scholar] [CrossRef]
- Crestini, C.; Caponi, M.C.; Argyropoulos, D.S.; Saladino, R. Immobilized methyltrioxo rhenium (MTO)/H2O2 systems for the oxidation of lignin and lignin model compounds. Bioorganic Med. Chem. 2006, 14, 5292–5302. [Google Scholar] [CrossRef]
- Sun, Y.; Argyropoulos, D.S. A comparison of the reactivity and efficiency of ozone, chlorine dioxide, dimethyldioxirane and hydrogen peroxide with residual kraft lignin. Holzforschung-Int. J. Biol. Chem. Phys. Technol. Wood 1996, 50, 175–182. [Google Scholar] [CrossRef]
- Kadla, J.F.; Chang, H.M. The reactions of peroxides with lignin and lignin model compounds. In Oxidative Delignification Chemistry; ACS symposium series: Washington, DC, USA, 2001; Volume 785, pp. 108–129. [Google Scholar]
- Sales, F.G.; Maranhão, L.C.; Lima Filho, N.M.; Abreu, C.A. Kinetic evaluation and modeling of lignin catalytic wet oxidation to selective production of aromatic aldehydes. Ind. Eng. Chem. Res. 2006, 45, 6627–6631. [Google Scholar] [CrossRef]
- Robinette, H. Hydrogen Peroxide; Schumb, W.C., Satterfield, C.N., Wentworth, R.L., Eds.; Reinhold Publishing Corp.: New York, NY, USA, 1956; p. 195. [Google Scholar]
- Xiang, Q.; Lee, Y.Y. Oxidative cracking of precipitated hardwood lignin by hydrogen peroxide. Appl. Biochem. Biotechnol. 2000, 84, 153–162. [Google Scholar] [CrossRef]
- Lourenco, A.; Gominho, J.; Marques, A.V.; Pereira, H. Reactivity of syringyl and guaiacyl lignin units and delignification kinetics in the kraft pulping of Eucalyptus globulus wood using Py-GC–MS/FID. Bioresour. Technol. 2012, 123, 296–302. [Google Scholar] [CrossRef] [PubMed]
- Doelle, K.; Bajrami, B. Sodium Hydroxide and Calcium Hydroxide Hybrid Oxygen Bleaching with System. In IOP Conference Series: Materials Science and Engineering; IOP publishing: Bristol, UK, 2018; p. 012136. [Google Scholar]
- Chinnappan, B.; Baskar, S.; Dhillon, R. Biomass Conversion: The Interface of Biotechnology, Chemistry and Materials Science; Springer Science & Business Media: New York, NY, USA, 2012; pp. 383–400. [Google Scholar]
- Sixta, H. Pulp properties and applications. In Handbook of Pulp; Wiley-VCH: Weinheim, Germany, 2006; p. 197. [Google Scholar]
- Gonzalez-Vila, F.J.; Almendros, G.; Del Río, J.C.; Martın, F.; Gutiérrez, A.; Romero, J. Ease of delignification assessment of wood from different Eucalyptus species by pyrolysis (TMAH)-GC/MS and CP/MAS 13C-NMR spectrometry. J. Anal. Appl. Pyrolysis 1999, 49, 295–305. [Google Scholar] [CrossRef]
- Gutiérrez, A.; Rodríguez, I.M.; del Río, J.C. Chemical characterization of lignin and lipid fractions in industrial hemp bast fibers used for manufacturing high-quality paper pulps. J. Agric. Food Chem. 2006, 54, 2138–2144. [Google Scholar] [CrossRef] [PubMed]
- Mahmood, N.; Yuan, Z.; Schmidt, J.; Xu, C.C. Hydrolytic depolymerization of hydrolysis lignin: Effects of catalysts and solvents. Bioresour. Technol. 2015, 190, 416–419. [Google Scholar] [CrossRef]
- Adler, E. Lignin chemistry-past, present and future. Wood Sci. Technol. 1977, 11, 169–218. [Google Scholar] [CrossRef]
- Marzzacco, C.J. The enthalpy of decomposition of hydrogen peroxide: A general chemistry calorimetry experiment. J. Chem. Educ. 1999, 76, 1517. [Google Scholar] [CrossRef]
- Shimada, K.; Hosoya, S.; Ikeda, T. Condensation reactions of softwood and hardwood lignin model compounds under organic acid cooking conditions. J. Wood Chem. Technol. 1997, 1, 57–72. [Google Scholar] [CrossRef]
- Kline, L.M.; Hayes, D.G.; Womac, A.R.; Labbe, N. Simplified determination of lignin content in hard and soft woods via UV-spectrophotometric analysis of biomass dissolved in ionic liquids. BioResources 2010, 5, 1366–1383. [Google Scholar]
- Fan, M.; Dai, D.; Huang, B. Fourier transform infrared spectroscopy for natural fibers. In Proceedings of the Fourier Transform-materials Analysis, InTech Janeza Trdine, Rijeka, Croatia, 23 May 2012; pp. 45–68. [Google Scholar]
- Kubo, S.; Kadla, J.F. Hydrogen bonding in lignin: A Fourier transform infrared model compound study. Biomacromolecules 2005, 6, 2815–2821. [Google Scholar] [CrossRef]
- Baumberger, S.; Abaecherli, A.; Fasching, M.; Gellerstedt, G.; Gosselink, R.; Hortling, B.; Li, J.; Saake, B.; de Jong, E. Molar mass determination of lignins by size-exclusion chromatography: Towards standardisation of the method. Holzforschung 2007, 61, 459–468. [Google Scholar] [CrossRef]
- Sarkanen, K.V.; Ludwig, C.H. Lignins. Occurrence, formation, structure, and reactions; Wiley-Inter-science: New York, NY, USA, 1971; pp. 433–479. [Google Scholar]
- Chen, C.; Jin, D.; Ouyang, X.; Zhao, L.; Qiu, X.; Wang, F. Effect of structural characteristics on the depolymerization of lignin into phenolic monomers. Fuel 2018, 223, 366–372. [Google Scholar] [CrossRef]
- Pu, Y.; Cao, S.; Ragauskas, A.J. Application of quantitative 31P NMR in biomass lignin and biofuel precursors characterization. Energy Environ. Sci. 2011, 4, 3154–3166. [Google Scholar] [CrossRef]
- Zakis, G.F. Functional Analysis of Lignins and Their Derivatives; Tappi Press: Atlanta, GA, USA, 1994; pp. 30–102. [Google Scholar]
- Lucia, L.A.; Goodell, M.M.; Chakar, F.S.; Ragauskas, A.J. Breaking the Oxygen Delignification Barrier: Lignin Reactivity and Inactivity; ACS Symposium Series: Atlanta, GA, USA, 2000; pp. 92–107. [Google Scholar]
- Wen, J.L.; Yuan, T.Q.; Sun, S.L.; Xu, F.; Sun, R.C. Understanding the chemical transformations of lignin during ionic liquid pretreatment. Green Chem. 2014, 16, 181–190. [Google Scholar] [CrossRef]
- Granata, A.; Argyropoulos, D.S. 2-Chloro-4, 4, 5, 5-tetramethyl-1, 3, 2-dioxaphospholane, a reagent for the accurate determination of the uncondensed and condensed phenolic moieties in lignins. J. Agric. Food Chem. 1995, 43, 1538–1544. [Google Scholar] [CrossRef]
- Brebu, M.; Vasile, C. Thermal degradation of lignin-A review. Cellul. Chem. Technol. 2010, 44, 353–363. [Google Scholar]
- Wittkowski, R.; Ruther, J.; Drinda, H.; Rafiei-Taghanaki, F. Formation of Smoke Flavor Compounds by Thermal Lignin Degradation; ACS symposium series: Washington, DC, USA, 1992; pp. 232–490. [Google Scholar]
- Domínguez, J.C.; Oliet, M.; Alonso, M.V.; Gilarranz, M.A.; Rodríguez, F. Thermal stability and pyrolysis kinetics of organosolv lignins obtained from Eucalyptus globulus. Ind. Crop. Prod. 2008, 27, 150–156. [Google Scholar] [CrossRef]
- El-Saied, H.; Nada, A.A.M. The thermal behaviour of lignins from wasted black pulping liquors. Polym. Degrad. Stab. 1993, 40, 417–421. [Google Scholar] [CrossRef]
- Wang, Y.Y.; Li, M.; Wyman, C.E.; Cai, C.M.; Ragauskas, A.J. Fast fractionation of technical lignins by organic cosolvents. ACS Sustain. Chem. Eng. 2018, 6, 6064–6072. [Google Scholar] [CrossRef]
- Zhao, J.; Xiuwen, W.; Hu, J.; Liu, Q.; Shen, D.; Xiao, R. Thermal degradation of softwood lignin and hardwood lignin by TG-FTIR and Py-GC/MS. Polym. Degrad. Stab. 2014, 108, 133–138. [Google Scholar] [CrossRef]
- Ház, A.; Jablonský, M.; Orságová, A.; Šurina, I. Characterization of lignins by py-GC/MS. In Proceedings of the 4th International Scientific Conference, Renewable Energy Sources, Tatranské Matliare, Slovakia, 21–23 May 2013; pp. 55–59. [Google Scholar]
- Siddiqui, H.; Mahmood, N.; Yuan, Z.; Crapulli, F.; Dessbesell, L.; Rizkalla, A.; Ray, A.; Xu, C.C. Sustainable bio-based phenol-formaldehyde resoles using hydrolytically depolymerized kraft lignin. Molecules 2017, 22, 1850. [Google Scholar] [CrossRef] [PubMed]
- Gierer, J. Chemistry of delignification. Wood Sci. Technol. 1986, 20, 1–33. [Google Scholar] [CrossRef]
- Sun, R.; Tomkinson, J.; Zhu, W.; Wang, S.Q. Delignification of maize stems by peroxy mono-sulfuric acid, peroxy formic acid, peracetic acid, and hydrogen peroxide. 1. Physicochemical and structural characterization of the solubilized lignins. J. Agric. Food Chem. 2000, 48, 1253–1262. [Google Scholar] [CrossRef] [PubMed]
- Johnson, D.C. Lignin reactions in delignification with peroxyacetic acid. In Chemistry of Delignification with Oxygen, Ozone and Peroxides; Gratzl, J., Nakano, J., Singh, R.P., Eds.; Uni Publishers Co., Ltd.: Tokyo, Japan, 1980; pp. 217–228. [Google Scholar]
- Oki, T.; Ishikawa, H.; Okubo, K. Oxidative degradation of dihydrodehydrodiisoeugenol and its methyl derivative [of lignin] by peroxide and oxygen alkali methods. J. Jpn. Wood Res. Soc. 1980, 26, 463–470. [Google Scholar]
- Evstigneev, E.I. Oxidation of hydrolysis lignin with hydrogen peroxide in acid solutions. Russ. J. Appl. Chem. 2013, 86, 258–265. [Google Scholar] [CrossRef]
- Hosseinaei, O.; Harper, D.; Bozell, J.; Rials, T. Improving processing and performance of pure lignin carbon fibers through hardwood and herbaceous lignin blends. Int. J. Mol. Sci. 2017, 18, 1410. [Google Scholar] [CrossRef]
Sample Availability: Samples of the compounds are available from the authors. |









| Softwood | Hardwood | |
|---|---|---|
| Chemical Composition (wt%) | ||
| Cellulose | 40–44 | 40–44 |
| Hemicellulose | 30–32 | 15–35 |
| Lignin | 25–32 | 18–25 |
| Extractives | 5 | 2 |
| Lignin Linkage Types (number/100 phenylpropane units) | ||
| β-O-4 | 43–50 | 50–65 |
| α-O-4 | 6–8 | 4–8 |
| β-5 + α-O-4 | 9–12 | 4–6 |
| β–β | 2–4 | 3–7 |
| 5–5′ | 10–25 | 4–10 |
| 4-O-5′ | 4 | 6–7 |
| β-1 | 3–7 | 5–7 |
| C-6, C-2 | 3 | 2–3 |
| Elemental Composition, wt% (d.b.) | Original Lignin | De-Polymerized Lignins | Original Lignin | De-Polymerized Lignins | ||||
|---|---|---|---|---|---|---|---|---|
| SKL | 1:1 | 1:0.75 | 1:0.5 | HKL | 1:1 | 1:0.75 | 1:0.5 | |
| C | 65.2 | 50.5 | 53.9 | 57.4 | 63.2 | 47.7 | 49.9 | 52.5 |
| H | 5.5 | 4.9 | 4.7 | 5.0 | 5.41 | 3.74 | 3.87 | 4.3 |
| N | 0.2 | 0 | 0.06 | 0.06 | 0.02 | 0.08 | 0.06 | 0.08 |
| S | 1.51 | 1.79 | 1.27 | 1.29 | 2.25 | 1.9 | 1.9 | 1.9 |
| Ash 1 | 0.83 | 0.83 | 0.83 | 0.83 | 0.44 | 0.44 | 0.44 | 0.44 |
| O 2 | 26.8 | 42.0 | 39.2 | 35.4 | 28.5 | 46.1 | 43.8 | 40.8 |
| Pk# | RT | Area% | Library/ID | Mw | Qual |
|---|---|---|---|---|---|
| 1 | 0.36 | 2.35 | Acetic acid, methyl ester | 74 | 72 |
| 2 | 0.84 | 7.5 | Acetic acid | 60 | 86 |
| 3 | 3.71 | 1.6 | Furfural | 96 | 91 |
| 4 | 5.44 | 1.7 | Propanedioic acid, dimethyl ester | 132 | 83 |
| 5 | 8.37 | 10.5 | Phenol, 2-methoxy-(guaiacol) | 124 | 97 |
| 6 | 10.63 | 3.01 | 2-Methoxy-5-methylphenol | 138 | 90 |
| 7 | 10.79 | 4.68 | 1,2-Benzenediol-(catechol) | 110 | 95 |
| 8 | 15.93 | 3.67 | 1,4-Benzenediol, 2-methoxy- | 140 | 95 |
| 9 | 17.6 | 2.53 | Benzoic acid, 4-hydroxy-3-methoxy-methyl ester | 182 | 96 |
| 10 | 17.78 | 2.07 | Homovanillyl alcohol | 168 | 80 |
| 11 | 18.32 | 10.1 | 3-Hydroxy-4-methoxybenzoic acid | 168 | 95 |
| 12 | 21.75 | 4 | 9,10-Anthracenedione | 208 | 95 |
| 13 | 35 | 2.21 | Urs-12-ene | 410 | 83 |
| Pk# | RT | Area% | Library/ID | Mw | Qual |
|---|---|---|---|---|---|
| 1 | 0.23 | 11.55 | Acetic acid, methyl ester | 74 | 64 |
| 2 | 0.61 | 14.13 | Acetic acid | 60 | 90 |
| 3 | 3.7 | 6.91 | Furfural | 96 | 94 |
| 4 | 5.45 | 8.93 | Propanedioic acid, dimethyl ester | 132 | 83 |
| 5 | 9.45 | 3.64 | 1-Butene, 3,3-dimethyl- | 84 | 50 |
| 6 | 15.92 | 2.69 | 1,4-Benzenediol, 2-methoxy- | 140 | 80 |
| 7 | 16.44 | 4.27 | 2-Naphthyl methyl ketone | 170 | 22 |
| 8 | 17.6 | 5.48 | Benzoic acid, 4-hydroxy-3-methoxy-methyl ester | 182 | 94 |
| 9 | 17.77 | 2.07 | 2-Propanone, 1-(4-hydroxy-3-methoxyphenyl)- | 180 | 80 |
| 10 | 18.18 | 4.5 | Benzoic acid, 4-hydroxy-3-methoxy- | 213 | 93 |
| SKL | HKL | |
|---|---|---|
| Elemental analysis (wt% d.b.) 1 | ||
| C | 65.2 | 63.2 |
| H | 5.52 | 5.41 |
| N | 0.20 | 0.02 |
| O 2 | 26.7 | 28.7 |
| Ash 3 | 0.83 | 0.44 |
| Total S | 1.51 | 2.25 |
| Mw, UV detector (Da) | 6041 | 2718 |
| PDI 4, UV detector | 3.3 | 3.0 |
© 2020 by the authors. Licensee MDPI, Basel, Switzerland. This article is an open access article distributed under the terms and conditions of the Creative Commons Attribution (CC BY) license (http://creativecommons.org/licenses/by/4.0/).
Share and Cite
Ahmad, Z.; Al Dajani, W.W.; Paleologou, M.; Xu, C. Sustainable Process for the Depolymerization/Oxidation of Softwood and Hardwood Kraft Lignins Using Hydrogen Peroxide under Ambient Conditions. Molecules 2020, 25, 2329. https://doi.org/10.3390/molecules25102329
Ahmad Z, Al Dajani WW, Paleologou M, Xu C. Sustainable Process for the Depolymerization/Oxidation of Softwood and Hardwood Kraft Lignins Using Hydrogen Peroxide under Ambient Conditions. Molecules. 2020; 25(10):2329. https://doi.org/10.3390/molecules25102329
Chicago/Turabian StyleAhmad, Zaid, Waleed Wafa Al Dajani, Michael Paleologou, and Chunbao (Charles) Xu. 2020. "Sustainable Process for the Depolymerization/Oxidation of Softwood and Hardwood Kraft Lignins Using Hydrogen Peroxide under Ambient Conditions" Molecules 25, no. 10: 2329. https://doi.org/10.3390/molecules25102329
APA StyleAhmad, Z., Al Dajani, W. W., Paleologou, M., & Xu, C. (2020). Sustainable Process for the Depolymerization/Oxidation of Softwood and Hardwood Kraft Lignins Using Hydrogen Peroxide under Ambient Conditions. Molecules, 25(10), 2329. https://doi.org/10.3390/molecules25102329

