Synthesis of Terpyridines: Simple Reactions—What Could Possibly Go Wrong?
Abstract
1. Introduction
2. Results and Discussion
2.1. Strategy and Ligand Design
2.2. Results
2.2.1. 4′-(4-Ethoxyphenyl)-3,2′:6′,3″-terpyridine and 4′-(4-butoxyphenyl)-3,2′:6′,3″-terpyridine
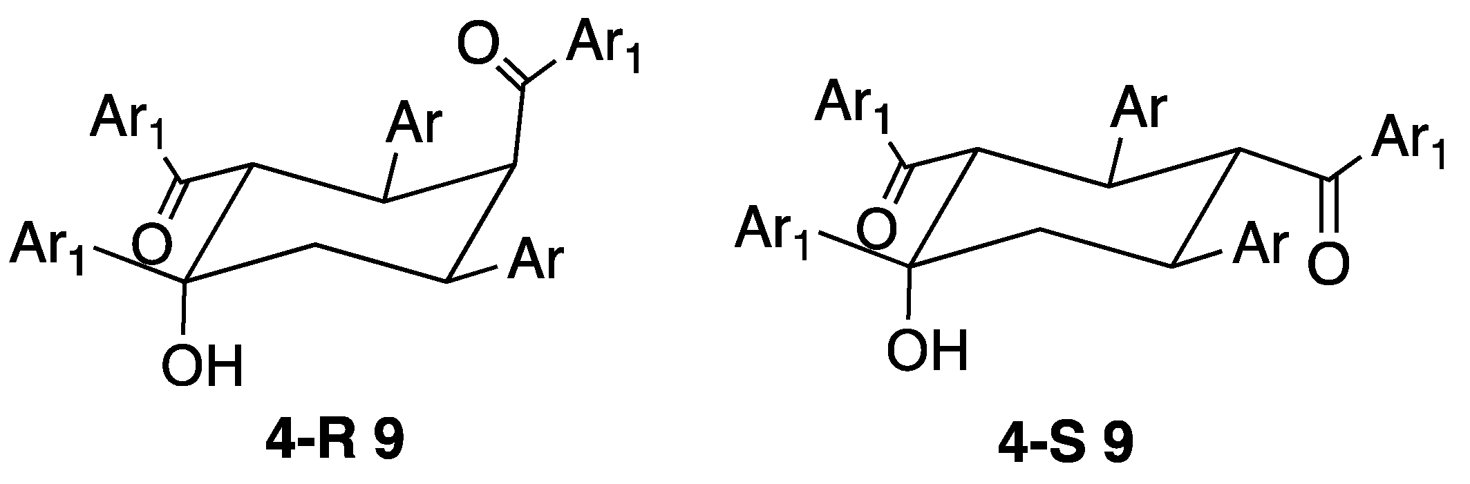
2.2.2. A Reaction that Works with Ethoxy and Butoxy Homologues, Fails for 4′-(4-propoxyphenyl)-3,2′:6′,3″-terpyridine
3. Review of Literature
3.1. Introduction
3.2. The 3:2 Products
3.3. The 3:1 Products
3.4. An Unexpected Terpyridine Isomer
4. Materials and Methods
4.1. Compound 5a
4.2. Compound 5c
4.3. Compound 6b: Method 1
4.4. Compound 6b: Method 2
4.5. Compound 6a
4.6. Compound 6c
5. Conclusions
Supplementary Materials
Author Contributions
Funding
Acknowledgments
Conflicts of Interest
References
- Favre, H.A.; Powell, W.H. Nomenclature of Organic Chemistry. IUPAC Recommendations and Preferred Names 2013; Royal Society of Chemistry: Cambridge, UK, 2013; Rule P-16.4. [Google Scholar]
- Schubert, U.S.; Hofmeier, H.; Newkome, G.R. Modern Terpyridine Chemistry; Wiley-VCH Verlag & Co.: Weinheim, Germany, 2006. [Google Scholar]
- Schubert, U.S.; Winter, A.; Newkome, G.R. Terpyridine-Based Materials: For Catalytic, Optoelectronic and Life Science Applications; Wiley-VCH Verlag & Co.: Weinheim, Germany, 2011. [Google Scholar]
- Constable, E.C. 2,2′:6′,2″-Terpyridines: From chemical obscurity to common supramolecular motifs. Chem. Soc. Rev. 2007, 36, 246–253. [Google Scholar] [CrossRef]
- Wei, C.; He, Y.; Shi, X.; Song, Z. Terpyridine-metal complexes: Applications in catalysis and supramolecular chemistry. Coord. Chem. Rev. 2019, 385, 1–19. [Google Scholar] [CrossRef] [PubMed]
- Constable, E.C. Higher Oligopyridines as a Structural Motif in Metallosupramolecular Chemistry. Progr. Inorg. Chem. 1994, 42, 67–138. [Google Scholar] [CrossRef]
- Constable, E.C. The Coordination Chemistry of 2,2′:6′,2″-Terpyridine and Higher Oligopyridines. Adv. Inorg. Chem. 1986, 30, 69–121. [Google Scholar] [CrossRef]
- Favre, H.A.; Powell, W.H. Nomenclature of Organic Chemistry. IUPAC Recommendations and Preferred Names 2013; Royal Society of Chemistry: Cambridge, UK, 2013; Rule P-31.2.3.3.5.1. [Google Scholar]
- Kröhnke, F. The Specific Synthesis of Pyridines and Oligopyridines. Synthesis 1976, 1–24. [Google Scholar] [CrossRef]
- Kostanecki, St. von; Tambor, J. Über die sechs isomeren Monooxybenzalacetophenone (Monooxychalkone). Chem. Ber. 1899, 32, 1921–1926. [Google Scholar] [CrossRef]
- Wang, Z. Comprehensive Organic Name Reactions and Reagents; Wiley: New York, NY, USA, 2010; pp. 660–665. [Google Scholar]
- Heathcock, C.H. The Aldol Reaction: Group I and Group II Enolates in Comprehensive Organic Synthesis II, 2nd ed.; Knochel, P., Molander, G.A., Eds.; Elsevier: Amsterdam, The Netherlands, 2014; Volume 2, pp. 340–395. [Google Scholar]
- Ortoleva, G. Azione del jodio sull’acido malonico in soluzione piridica. Gazz. Chim. Ital. 1900, 30, 509–514. [Google Scholar]
- King, L.C. The reaction of iodine with some ketones in the presence of pyridine. J. Am. Chem. Soc. 1944, 66, 894–895. [Google Scholar] [CrossRef]
- Kröhnke, F. Syntheses Using Pyridinium Salts. Angew. Chem. Int. Ed. 1963, 2, 225. [Google Scholar] [CrossRef]
- Cave, G.W.V.; Raston, C.L. Toward benign syntheses of pyridines involving sequential solvent free aldol and Michael addition reactions. Chem. Commun. 2000, 2199–2200. [Google Scholar] [CrossRef]
- Smith, N.M.; Raston, C.L.; Smith, C.B.; Sobolev, A.N. PEG mediated synthesis of amino-functionalised 2,4,6-triarylpyridines. Green Chem. 2007, 9, 1185–1190. [Google Scholar] [CrossRef]
- Wang, J.; Hanan, G.S. A facile route to sterically hindered and non-hindered 4′-aryl-2,2′:6′,2″- terpyridines. Synlett 2005, 1251–1254. [Google Scholar] [CrossRef]
- Cooke, M.W.; Wang, J.; Theobald, I.; Hanan, G.S. Convenient One-Pot Procedures for the Synthesis of 2,2′:6′,2″-Terpyridine. Synth. Commun. 2006, 36, 1721–1726. [Google Scholar] [CrossRef]
- Cave, G.W.V.; Raston, C.L. Efficient synthesis of pyridines via a sequential solventless aldol condensation and Michael addition. J. Chem. Soc. Perkin Trans. 1 2001, 3258–3264. [Google Scholar] [CrossRef]
- Housecroft, C.E. 4,2′:6′,4″-Terpyridines: Diverging and diverse building blocks in coordination polymers and metallomacrocycles. Dalton Trans. 2014, 43, 6594–6604. [Google Scholar] [CrossRef]
- Housecroft, C.E. Divergent 4,2′:6′,4″- and 3,2′:6′,3″-terpyridines as linkers in 2- and 3-dimensional architectures. CrystEngComm 2015, 17, 7461–7468. [Google Scholar] [CrossRef]
- Constable, E.C.; Housecroft, C.E. Tetratopic bis(4,2′:6′,4″-terpyridine) and bis(3,2′:6′,3″-terpyridine) ligands as 4-connecting nodes in 2D-coordination networks and 3D-frameworks. J. Inorg. Organomet. Polym. Mater. 2018, 28, 414–427. [Google Scholar] [CrossRef]
- Housecroft, C.E.; Constable, E.C. Ditopic and tetratopic 4,2′:6′,4″-Terpyridines as Structural Motifs in 2D- and 3D-Coordination Assemblies. Chimia 2019, in press. [Google Scholar]
- Klein, Y.M.; Constable, E.C.; Housecroft, C.E.; Zampese, J.A.; Crochet, A. Greasy tails switch 1D-coordination [{Zn2(OAc)(4′-(4-ROC6H4)-4,2′:6′,4″-tpy)}n] polymers to discrete[Zn2(OAc)(4′-(4-ROC6H4)-4,2′:6′,4″-tpy)2] complexes. CrystEngComm 2014, 16, 9915–9929. [Google Scholar] [CrossRef]
- Klein, Y.M.; Constable, E.C.; Housecroft, C.E.; Prescimone, A. Assembling coordination ladders with 4′-(4-methoxyphenyl)- 4,2′:6′,4″-terpyridine as rails and rungs. Inorg. Chem. Commun. 2014, 49, 41–43. [Google Scholar] [CrossRef]
- Constable, E.C.; Zhang, G.; Housecroft, C.E.; Zampese, J.A. A matter of greasy tails: Interdigitation of alkyl chains in free and coordinated 4′-(4-dodecyloxyphenyl)-4,2′:6′,4″-terpyridines. Inorg. Chem. Commun. 2012, 15, 113–116. [Google Scholar] [CrossRef]
- Klein, Y.M.; Prescimone, A.; Constable, E.C.; Housecroft, C.E. Manipulating connecting nodes through remote alkoxy chain variation in coordination networks with 4′-alkoxy-4,2′:6′,4″-terpyridine linkers. CrystEngComm 2015, 17, 6483–6492. [Google Scholar] [CrossRef]
- Klein, Y.M.; Prescimone, A.; Constable, E.C.; Housecroft, C.E. 2-Dimensional networks assembled using 4′-functionalized 4,2′:6′,4″-terpyridines and Co(NCS)2. Polyhedron 2016, 103, 58–65. [Google Scholar] [CrossRef]
- Klein, Y.M.; Prescimone, A.; Pitak, M.B.; Coles, S.J.; Constable, E.C.; Housecroft, C.E. Constructing chiral MOFs by functionalizing 4,2′:6′,4″-terpyridine with long-chain alkoxy domains: Rare examples of neb nets. CrystEngComm 2016, 18, 4704–4707. [Google Scholar] [CrossRef]
- Li, L.; Zhang, Y.Z.; Yang, C.; Liu, E.; Golen, J.A.; Zhang, G. One-dimensional copper(II) coordination polymers built on 4′-substituted 4,2′:6′,4″ and 3,2′:6′,3″-terpyridines: Syntheses, structures and catalytic properties. Polyhedron 2016, 105, 115–122. [Google Scholar] [CrossRef]
- Chang, M.-Y.; Wu, M.-H. Domino cyclocondensation of arylaldehydes with 2-acetylpyridine. Tetrahedron 2012, 68, 9616–9623. [Google Scholar] [CrossRef]
- Patel, P.N.; Chadha, A. A simple metal free highly diastereoselective synthesis of heteroaryl substituted (±) cyclohexanols by a branched domino reaction. Tetrahedron 2018, 74, 204–216. [Google Scholar] [CrossRef]
- Gezegen, H.; Ceylan, M. Alternate Method for the Synthesis of Six-Membered Carbocycles with Five Stereocenters:1,2,3,4,6-Pentasubstituted-4-hydroxy-cyclohexanes. Synth. Commun. 2015, 45, 2344–2349. [Google Scholar] [CrossRef]
- Li, C.-W.; Shen, T.-H.; Shih, T.L. Reinvestigation of synthesis of halo-substituted 3-phenyl-1-(2-pyridyl)-2-propen-1-ones (azachalcones). A tandem reaction for formation of penta-substituted cyclohexanols. Tetrahedron 2017, 73, 4644–4652. [Google Scholar] [CrossRef]
- Kostanecki, S.V.; Rossbach, G. Ueber die Einwirkung von Benzaldehyd auf Acetophenon. Ber. Dtsch. Chem. Ges. 1896, 29, 1488. [Google Scholar] [CrossRef]
- Hodnett, E.M.; Ross, W.W. Condensations of Aldehydes and Ketones Catalyzed by Potassium Cyanide. Proc. Oklahoma Acad. Sci. 1951, 32, 69–71. [Google Scholar]
- Georgi, R.; Schwyzer, A. Versuche, d-Fenchon oder Campher an Benzalacetophenon oder an andere α,β-ungesättigte Ketone zu addieren. J. Prakt. Chem. 1913, 86, 273–276. [Google Scholar] [CrossRef]
- Shan, Z.; Hu, X.; Hu, L.; Peng, X. First Authentication of Kostanecki′s Triketone and Multimolecular Reaction of Aromatic Aldehydes with Acetophenone. Helv. Chim. Acta 2009, 92, 1102–1111. [Google Scholar] [CrossRef]
- Inoue, K.; Noguchi, H.; Hidai, M.; Uchida, Y. Synthesis of a novel carbon ring compound, 2,4-dibenzoyl-1,3,5-triphenylcyclohexanol, from acetophenone and benzaldehyde under phase transfer conditions. Yukagaku (J. Japan Oil Chem. Soc.) 1983, 32, 219–226. [Google Scholar] [CrossRef][Green Version]
- Zhang, Y.; Wu, X.; Hao, L.; Wong, Z.R.; Lauw, S.J.L.; Yang, S.; Richard, D.; Webster, R.D.; Chi, Y.R. Trimerization of enones under air enabled by NHC/NaOtBu via a SET radical pathway. Org. Chem. Front. 2017, 4, 467–471. [Google Scholar] [CrossRef]
- Vasileyev, B.K.; Bagrina, N.P.; Vysotskii, V.I.; Lindeman, S.V.; Struchkov, Y.T. Structure of Kostanecki’s Triketone. Acta Crystallogr. Sect. C Cryst. Struct. Commun. 1990, 46, 2265–2267. [Google Scholar] [CrossRef]
- Minyaev, M.E.; Roitershtein, D.M.; Nifant’ev, I.E.; Ananyev, I.V.; Minyaeva, T.V.; Mikhaylyev, T.A. A structural study of (1RS,2SR,3RS,4SR,5RS)-2,4-dibenzoyl-1,3,5-tri phenyl cyclo hexan-1-ol chloro form hemisolvate and (1RS,2SR,3RS,4SR,5RS)-2,4-dibenzoyl-1-phenyl-3,5-bis(2-methoxyphenyl)cyclohexan-1-ol. Acta Crystallogr. Sect. C: Struct. Chem. 2015, 71, 491–498. [Google Scholar] [CrossRef]
- Zhang, J.-H.; He, Q.-P.; Wang, Y.; Wang, D.-Q. 2,4-Di benzoyl-1,3,5-tri phenyl cyclo hexan-1-ol di chloromethane hemisolvate. Acta Crystallogr. Sect. E Struct. Rep. Online 2007, 63, o4652. [Google Scholar] [CrossRef]
- Yin, Y.G.; Cheung, K.K.; Wong, W.T. One-pot Synthesis of Substituted Cyclohexanes from Condensation of Aldehyde and Methylketone. Chin. Chem. Lett. 1998, 9, 329–332. [Google Scholar]
- Rong, L.; Wei, X.; Lu, Y.; Zong, Z. A Facile and Efficient Synthesis of Polysubstituted Cyclohexanol Derivatives under Solvent-Free Conditions. Chin. J. Org. Chem. 2012, 32, 1999–2002. [Google Scholar] [CrossRef]
- Mamedov, I.; Abbasoglu, R.; Bayramov, M.; Maharramov, A. Synthesis of a new 1,2,3,4,5-pentasubstituted cyclohexanol and determining its stereochemistry by NMR spectroscopy and quantum-chemical calculations. Magn. Reson. Chem. 2016, 54, 315–319. [Google Scholar] [CrossRef]
- Luo, X.; Shan, Y. 2,4-Dibenzoyl-3,5-bis (4-methoxylphenyl)-1-phenyl cyclohexanol. Acta Crystallogr. Sect. E Struct. Rep. Online 2006, 62, o1631–o1632. [Google Scholar] [CrossRef]
- Mukhtar, S.; Alsharif, M.A.; Alahmdi, M.I.; Parveen, H. Synthesis, Characterization, Stereochemistry and Biological Evaluation of Novel Cyclohexanol Derivatives. Asian J. Chem. 2018, 30, 1102–1108. [Google Scholar] [CrossRef]
- Chen, W.-Y.; Peng, Y.-K. Microwave irradiated synthesis of substituted cyclohexanes. Hecheng Huaxue 2000, 8, 544–546. [Google Scholar]
- Hussain, H.T.; Osama, M.; Hussain, W. Stereostructure, Antimicrobial and Cytotoxic Activity of Cyclohexene, Cyclohexanol and Pyridine Derivatives Synthesized from Chalcones. Int. J. Pharm. Sci. Res. 2014, 5, 2084–2094. [Google Scholar] [CrossRef]
- Shan, Z.; Luo, X.; Hu, L.; Hu, X.-Y. New observation on a class of old reactions: Chemoselectivity for the solvent-free reaction of aromatic aldehydes with alkylketones catalyzed by a double-component inorganic base system. Sci. China Chem. 2010, 53, 1095–1101. [Google Scholar] [CrossRef]
- Luo, X.; Shan, Z. Highly chemoselective synthesis of 1,2,3,4,5-pentasubstituted cyclohexanols under solvent-free condition. Tetrahedron Lett. 2006, 47, 5623–5627. [Google Scholar] [CrossRef]
- Çelik, I.; Ersanl, C.C.; Akkurt, M.; Gezegen, H.; Köseoğlu, R. Crystal structure of racemic [(1R,2S,3R,4S,6S)-2,6-bis-(furan-2-yl)-4-hydroxy-4-(thiophen-2-yl)cyclohexane-1,3-diyl]bis(thiophen-2-yl methanone). Acta Crystallogr. Sect. C Struct. Chem. 2016, 72, 976–979. [Google Scholar] [CrossRef]
- Wang, X.-F.; Huang, X.-Q. 2,4-Bis(4-chlorobenzoyl)-1-(4-chlorophenyl)-3,5-di-2-thienylcyclohexanol methanol hemisolvate. Acta Crystallogr. Sect. E Struct. Rep. Online. 2008, 64, o777. [Google Scholar] [CrossRef]
- Vatsadze, S.Z.; Nuriev, V.N.; Leshcheva, I.F.; Zyk, N.V. New aspects of the aldol condensation of acetylpyridines with aromatic aldehydes. Russ. Chem. Bull. Int. Ed. 2004, 53, 911–915. [Google Scholar] [CrossRef]
- Chen, X.-M.; Yin, Y.-G.; Chen, H.-R.; Ding, J. One-pot Synthesis and Crystal Structure of (1S,2R,3S,4R,5S)-1-Phenyl-2,4-dibenzoyl-3,5-difurylhexanol. Chin. J. Struct. Chem. 2006, 25, 699–703. [Google Scholar]
- Thompson, A.M.W.C.; Constable, E.C.; Harverson, P.; Phillips, D.; Raithby, P.R.; Powell, H.R.; Ward, M.D. Condensation Reactions of 2-Acetylpyridine with Benzaldehydes—The Synthesis and Characterization of Some Cyclohexanols and Cyclohexanediols. J. Chem. Res. (S) 1995, 122–123. [Google Scholar]
- Constable, E.C.; Zhang, G.; Housecroft, C.E.; Neuburger, M.; Schaffner, S. Phase-separated hydrogen-bonded chloride ion–water–oxonium ion sheets and protonated 4′-(4-bromophenyl)-2,2:6′,2″-terpyridine stacks, and condensation products of 2-acetylpyridine and benzaldehydes revisited. CrystEngComm 2009, 11, 1014–1021. [Google Scholar] [CrossRef]
- Korall, P.; Börje, A.; Norrby, P.-O.; Åkermark, B. High Yield Preparation of 4′-(4-Bromophenyl)-2,2′: 6′,2″-terpyridine by a Condensation Reaction. Determination of the Stereochemistry of Two Complex By-products by a Combination of Molecular Mechanics and NMR Spectroscopy. Acta Chem. Scand. 1997, 51, 760–766. [Google Scholar] [CrossRef]
- Samshuddin, S.; Jasinski, J.P.; Butcher, R.J.; Neuhardt, E.A.; Narayana, B.; Yathirajan, H.S.; Glidewell, C. Three closely-related cyclo hexanols (C35H27X2N3O3; X = F, Cl or Br): Similar molecular structures but different crystal structures. Acta Crystallogr. Sect. C Struct. Chem. 2014, 70, 953–959. [Google Scholar] [CrossRef]
- Krishnapriya, K.R.; Sampath, N.; Aravindhan, S.; Ponnuswamy, M.N.; Kandaswamy, M. 2,4-Bis (pyridine-2-carbonyl)-1-(2-pyridyl)-3,5-di-ptolylcyclohex-1-ol. Acta Crystallogr. Sect. E Struct. Rep. Online. 2004, 60, 2353–2355. [Google Scholar] [CrossRef]
- Fun, H.-K.; Ooi, C.W.; Samshuddin, S.; Narayanan, B.; Sarojini, B.K. [2,6-Bis(biphenyl-4-yl)-4-hydroxy-4-(pyridin-2-yl)cyclohexane-1,3-diyl]bis[(pyridin-2-yl)methanone]–butan-2-one (1/1). Acta Crystallogr. Sect. E Struct. Rep. Online 2012, 68, o1633–o1634. [Google Scholar] [CrossRef]
- Downs, L.E.; Wolfe, D.M.; Schreiner, P.R. Organic Base-Mediated Condensation of Pyridinecarboxaldehydes to Azachalcones. Adv. Synth. Catal. 2005, 347, 235–238. [Google Scholar] [CrossRef]
- Fry, D.; Huang, K.S.; Di Lello, P.; Mohr, P.; Müller, K.; So, S.-S.; Harada, T.; Stahl, M.; Vu, B.; Mauser, H. Design of Libraries Targeting Protein–Protein Interfaces. ChemMedChem 2013, 8, 726–732. [Google Scholar] [CrossRef]
- Chamchoumis, C.; Potvin, P. Condensation Reactions of 2-Acetylpyridine and Benzaldehydes: New Cyclohexanol Products and an Improved Synthesis of 4′-p-Tolyl-2,2′ :6′,2″-terpyridine. J. Chem. Res. (S) 1998, 180–181. [Google Scholar] [CrossRef]
- Kessler, H.; Mronga, S.; Kutscher, B.; Miiller, A.; Sheldrick, W.S. Synthesis of the 4-Pyridine Analog of Kostanecki’s Triketone. Determination of Constitution and Stereochemistry by 2 D-NMR Spectroscopy and X-ray Structural Analysis. Liebigs Ann. Chem. 1991, 1337–1341. [Google Scholar] [CrossRef]
- Wang, H.; Chen, Y.; Ye, W.; Xu, J.; Liu, D.; Yang, J.; Kong, L.; Zhou, H.; Tian, Y.; Tao, Y. A facile and highly efficient green synthesis of carbazole derivatives containing a six-membered ring. Dyes Pigm. 2013, 96, 738–747. [Google Scholar] [CrossRef]
- Ge, X.; Hao, F.; Li, S.; Jin, F.; Zhou, H. Synthesis and Crystal Structure of New Pyridyl Derivative. Asian J. Chem. 2014, 26, 1494–1496. [Google Scholar] [CrossRef]
- Zhang, Y.; Pan, J.; Zhang, C.; Wang, H.; Zhang, G.; Kong, L.; Tian, Y.; Yang, J. High quantum yield both in solution and solid state based on cyclohexyl modified triphenylamine derivatives for picric acid detection. Dyes Pigm. 2015, 123, 257–266. [Google Scholar] [CrossRef]
- Constable, E.C.; Harverson, P.; Smith, D.R.; Whall, L. The coordination chemistry of 4′-(4′-tertbutylphenyl)-2,2′:6′,2″-terpyridine-a solubilising oligopyridine. Polyhedron 1997, 16, 3615–3623. [Google Scholar] [CrossRef]
- Constable, E.C.; Handel, R.; Housecroft, C.E.; Neuburger, M.; Schofield, E.R.; Zehnder, M. Efficient syntheses of 4′-(2-thienyl)- and 4′-(3-thienyl)-2,2′:6′,2″-terpyridine: Preparation and characterization of Fe(II), Ru(II), Os(II) and Co(II) complexes. Polyhedron 2004, 23, 135–143. [Google Scholar] [CrossRef]
- Li, L.; Yang, J.-X.; Tian, Y.-P.; Liu, P.; Jin, B.-K.; Tao, X.-T.; Min-Hua Jiang, M.-H. Synthesis, characterization and crystal structure of 6-ferrocenyl-2,4-dihydroxy-2,4-di(pyridine-2-yl)cyclohexanecarbonyl ferrocene. Transit. Met. Chem. 2008, 33, 85–89. [Google Scholar] [CrossRef]
- Bray, D.J.; Clegg, J.K.; Jolliffe, K.A.; Lindoy, L.F.; Wei, G. Synthesis and co-crystallisation behaviour of copper(II) complexes of two isomeric p-tolyl-terpyridines. J. Coord. Chem. 2008, 61, 3–13. [Google Scholar] [CrossRef]
- Collin, J.-P.; Guillerez, S.; Sauvage, J.-P.; Barigelletti, F.; De Cola, L.; Flamigni, L.; Balzani, V. Photoinduced processes in dyads and triads containing a ruthenium (II)-bis (terpyridine) photosensitizer covalently linked to electron donor and acceptor groups. Inorg. Chem. 1991, 30, 4230–4238. [Google Scholar] [CrossRef]
- Turonek, M.L.; Moore, P.; Errington, W. Synthesis of the Terpyridyl Pendant-arm Azamacrocycle 4′-(p-1,4,7- triazacyclonon-1-ylmethylphenyl)-2,2′:6′,2″-terpyridine (L) and Complexes of L with Copper(II) and Nickel(II). Crystal Structure of [Cu(HL)(H2O)2][PF6]3. J. Chem. Soc. Dalton Trans. 2000, 441–444. [Google Scholar] [CrossRef]
- Jing, B.-W.; Wu, T.; Zhang, M.-H.; Shen, T. Synthesis of the Polypyridine Ligands with Functional Groups. Gaodeng Xuexiao Huaxue Xuebao (Chem. J. High. Educ. Inst.) 2000, 21, 395–400. [Google Scholar]
- Shirai, H.; Hanabusa, K.; Takahashi, M.F.; Hanada, K. Neurodegenerative disease therapeutics containing dipyridyltolylpyridine. Jpn. Kokai Tokkyo Koho 1996. JP 08217676A 19960827 Heisei. [Google Scholar]
- Rajalakshmanan, E.; Alexander, V. Synthesis, Luminescence, and Electrochemical Studies of Tris(homoleptic) Ruthenium(II) and Osmium(II) Complexes of 6′-Tolyl-2,2′:4′,2″-terpyridine. Inorg. Chem. 2007, 46, 6252–6260. [Google Scholar] [CrossRef]
- Zhang, D.-Y.; Nie, Y.; Sang, H.; Suo, J.-J.; Li, Z.-J.; Gu, W.; Tian, J.-L.; Liu, X.; Yan, S.-P. Three structurally related Copper complexes with two isomers: DNA/BSA binding ability, DNA cleavage activity and excellent cytotoxicity. Inorg. Chim. Acta 2017, 457, 7–18. [Google Scholar] [CrossRef]
- Anderson, H.L.; Anderson, S.; Sanders, J.K.M. Ligand binding by butadiyne-linked porphyrin dimers, trimers and tetramers. J. Chem. Soc. Perkin Trans. 1 1995, 2231–2245. [Google Scholar] [CrossRef]
Sample Availability: Samples of the compounds are available from the authors. |














© 2019 by the authors. Licensee MDPI, Basel, Switzerland. This article is an open access article distributed under the terms and conditions of the Creative Commons Attribution (CC BY) license (http://creativecommons.org/licenses/by/4.0/).
Share and Cite
Rocco, D.; Housecroft, C.E.; Constable, E.C. Synthesis of Terpyridines: Simple Reactions—What Could Possibly Go Wrong? Molecules 2019, 24, 1799. https://doi.org/10.3390/molecules24091799
Rocco D, Housecroft CE, Constable EC. Synthesis of Terpyridines: Simple Reactions—What Could Possibly Go Wrong? Molecules. 2019; 24(9):1799. https://doi.org/10.3390/molecules24091799
Chicago/Turabian StyleRocco, Dalila, Catherine E. Housecroft, and Edwin C. Constable. 2019. "Synthesis of Terpyridines: Simple Reactions—What Could Possibly Go Wrong?" Molecules 24, no. 9: 1799. https://doi.org/10.3390/molecules24091799
APA StyleRocco, D., Housecroft, C. E., & Constable, E. C. (2019). Synthesis of Terpyridines: Simple Reactions—What Could Possibly Go Wrong? Molecules, 24(9), 1799. https://doi.org/10.3390/molecules24091799

