Toxicological Effects of Traumatic Acid and Selected Herbicides on Human Breast Cancer Cells: In Vitro Cytotoxicity Assessment of Analyzed Compounds
Abstract
1. Introduction
2. Results
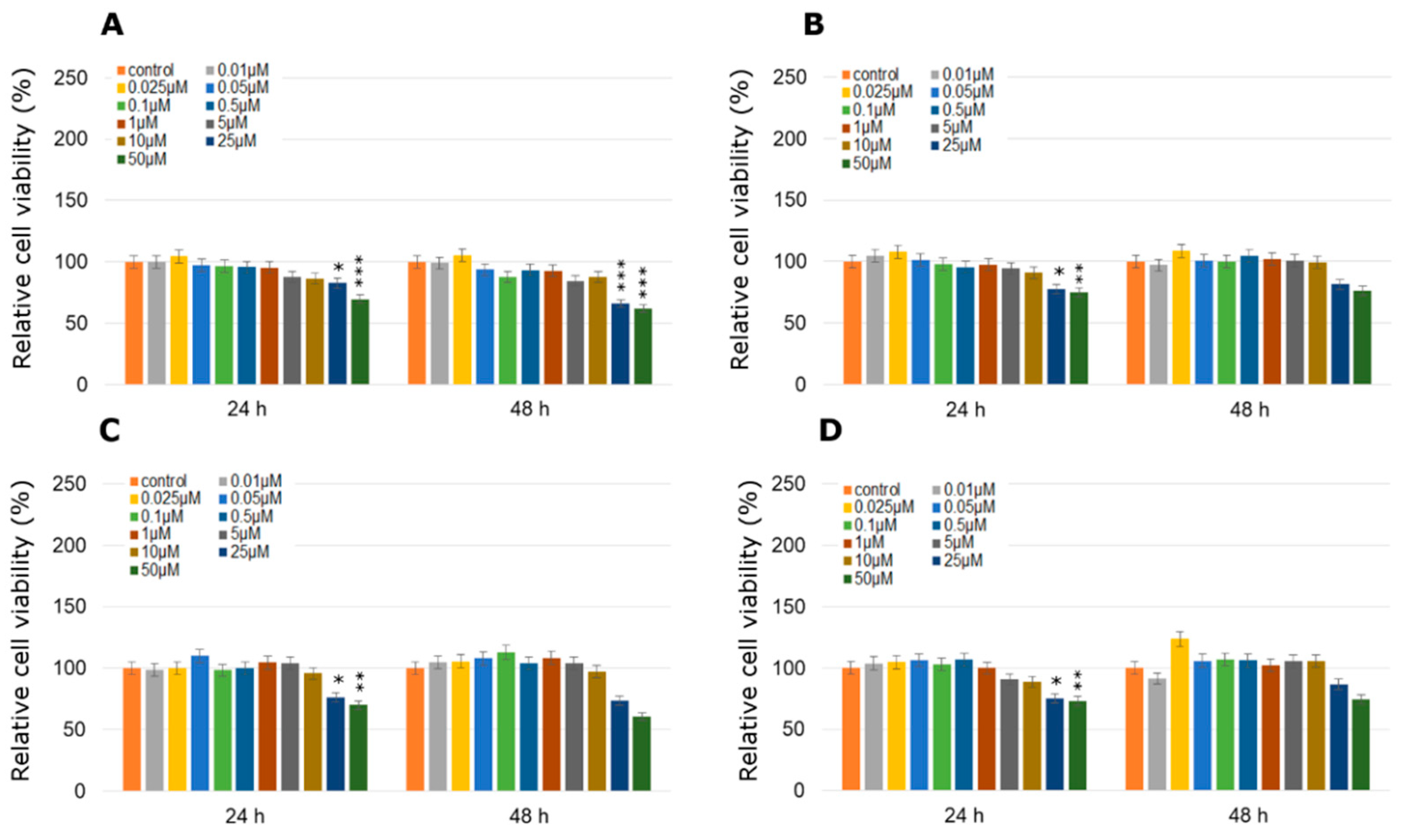
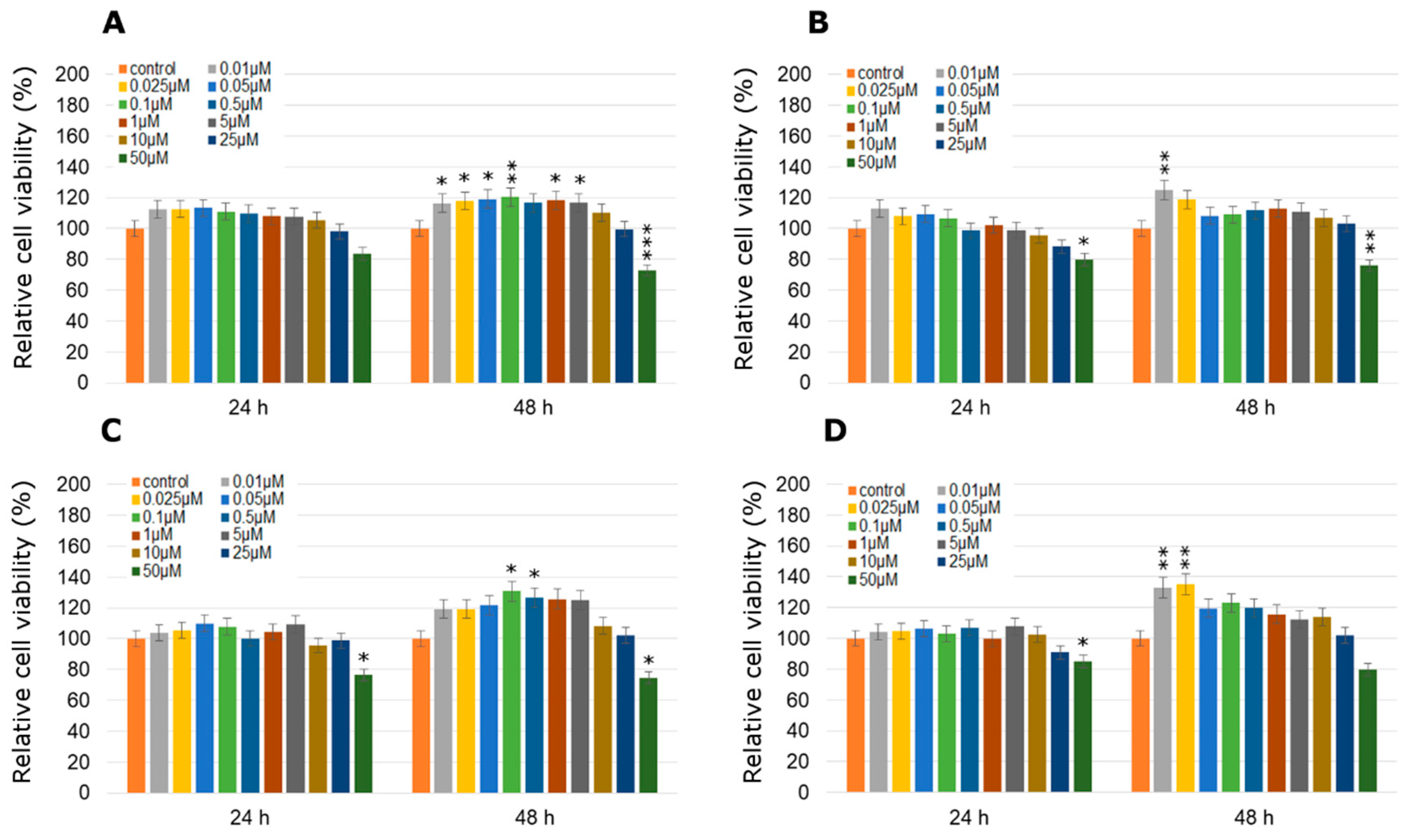
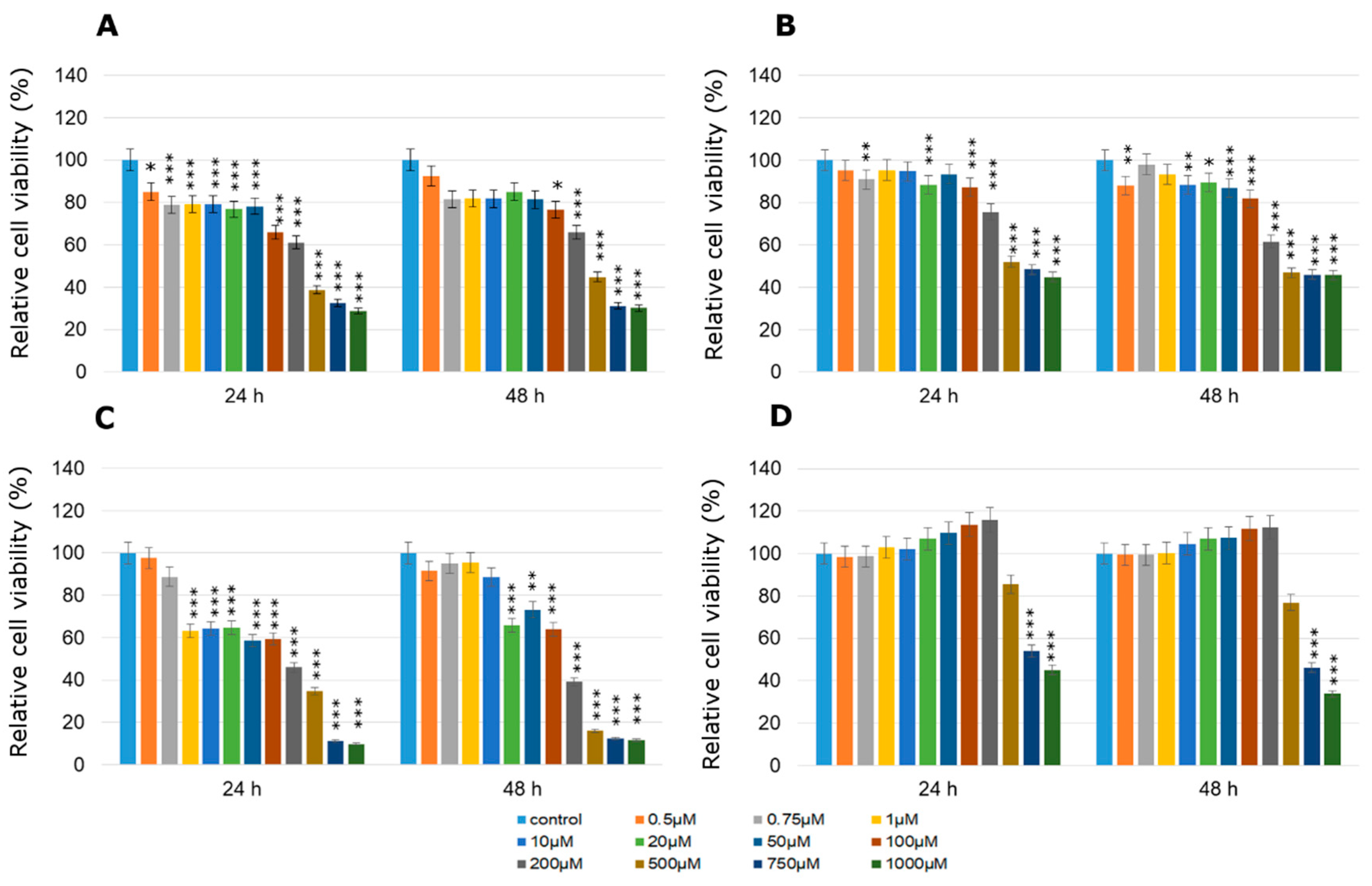
2.1. Effects of Tested Pesticides on Cell Viability
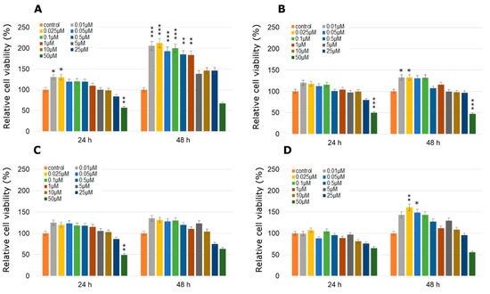
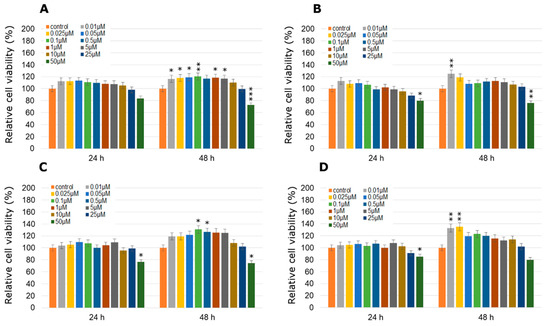
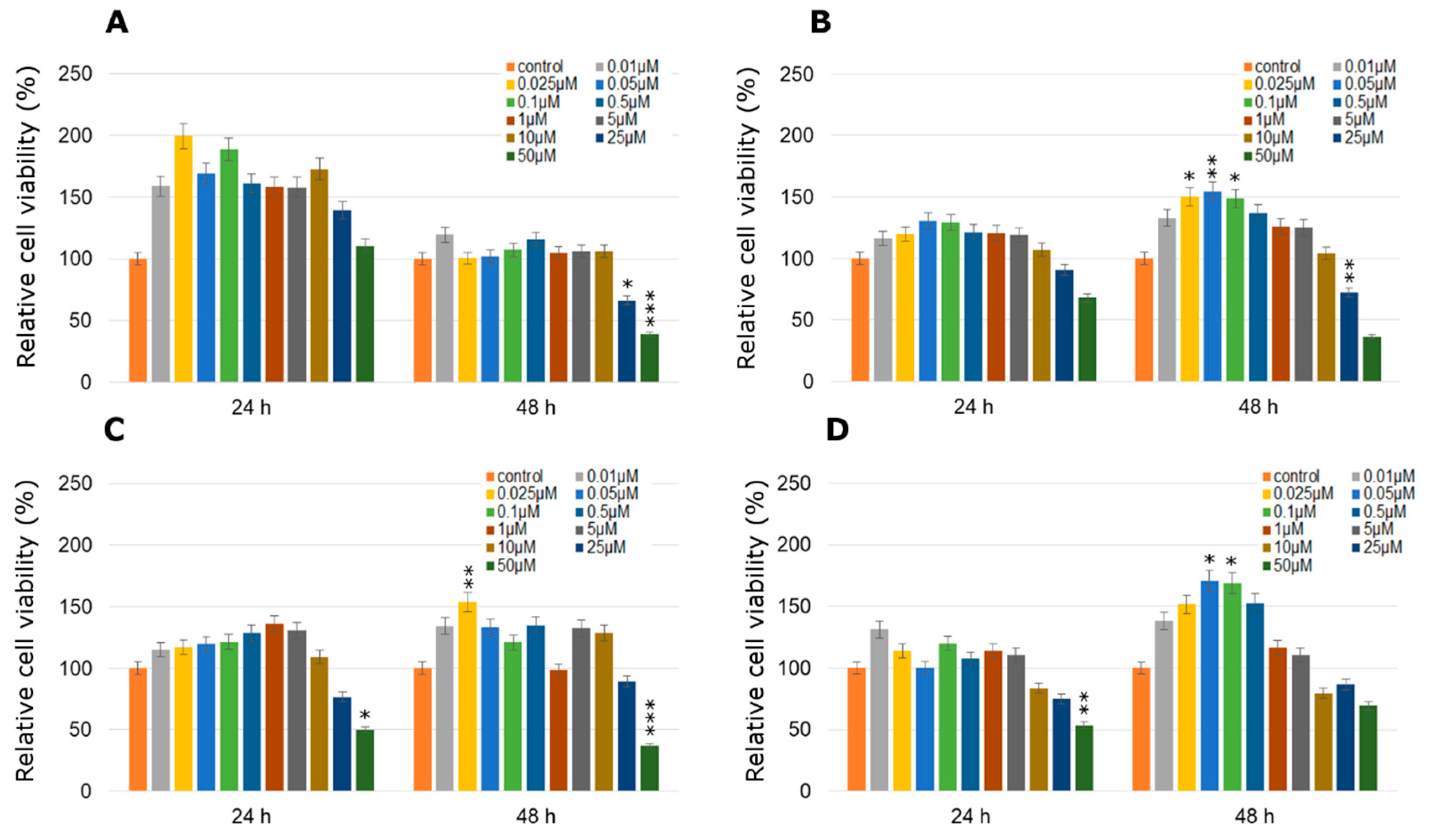
2.2. TA Cytotoxicity
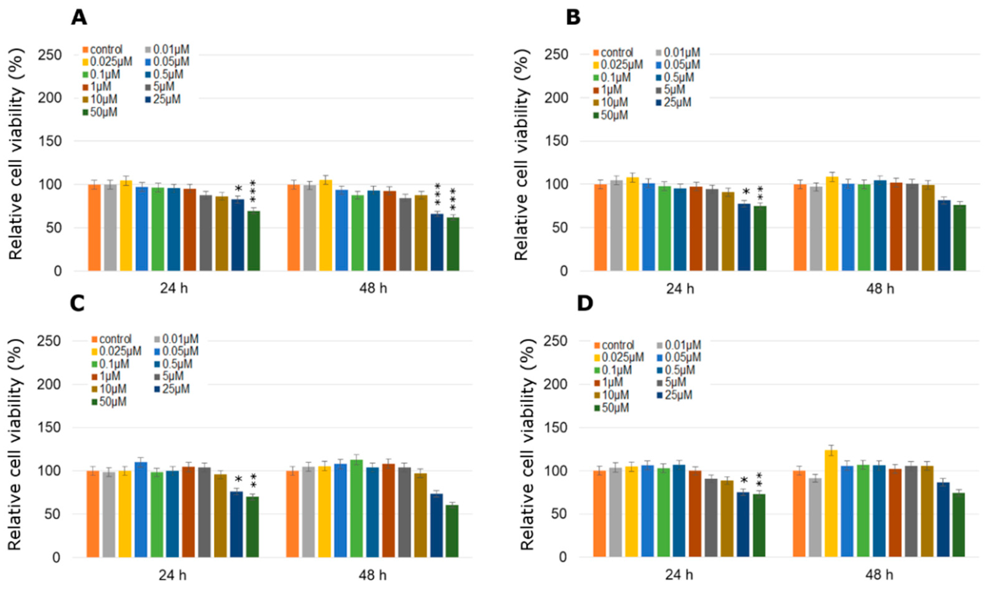
2.3. Cytotoxicity of TA Combined with Pesticides in Selected Concentrations
3. Discussion
3.1. The Effect of Individual Pesticides on Breast Cancer and Non-Cancerous Cells
3.2. Cytotoxic Effect of TA on Breast Cancer Cells and Non-Cancerous Cells
3.3. Effects of Combined Doses of Pesticides and TA on Breast Cancer Cell and Non-Cancerous Cells
4. Materials and Methods
4.1. Reagents
4.2. Cell Culture
4.3. Chemical Treatment of Cells
4.4. Pesticides, TA and TA-Pesticides Cytotoxicity
4.5. Statistical Analysis of Data
4.6. Calculation of Expected Cell Viability
viability (substance 1 in %) + mean viability (substance 2 in %) − 100%.
4.7. Calculation of Standard Error of the Mean of Measured and Expected Values
5. Conclusions
Supplementary Materials
Author Contributions
Funding
Conflicts of Interest
References
- Wołejko, E.; Łozowicka, B.; Kaczyński, P. Pesticide residues in berries fruits and juices and the potential risk for consumers. DWT 2014, 52, 3804–3818. [Google Scholar] [CrossRef]
- Jabłońska-Trypuć, A.; Wołejko, E.; Wydro, U.; Butarewicz, A. The impact of pesticides on oxidative stress level in human organism and their activity as an endocrine disruptor. J. Environ. Sci. Health B 2017, 52, 483–494. [Google Scholar] [PubMed]
- Baandrup, M.; Ballegaard, T. Three years field experience with an advisory computer system applying factor-adjusted doses. In Proceedings of the BCPC Conference–Weeds, Brighton, UK, 20–23 November 1989; pp. 555–560. [Google Scholar]
- Ahmad, P.; Rasool, S. Emerging Technologies and Management of Crop Stress Tolerance: Volume 1: Biological Techniques; Elsevier: Amsterdam, The Netherlands, 2014; pp. 423–448. [Google Scholar]
- Šiviková, K.; Dianovský, J. Genotoxic activity of the commercial herbicide containing bifenox in bovine peripheral lymphocytes. Mutat. Res./ Genet. Toxicol. Environ. Mutagen. 1999, 439, 129–135. [Google Scholar] [CrossRef]
- De Almeida, A.C.G.; Petersen, K.; Langford, K.; Thomas, K.V.; Tollefsen, K.E. Mixture toxicity of five biocides with dissimilar modes of action on the growth and photosystem II efficiency of Chlamydomonas reinhardtii. J. Toxicol. Environ. Health A 2017, 80, 971–986. [Google Scholar] [CrossRef] [PubMed]
- Lewis, R.W.; Botham, J.W. A review of the mode of toxicity and relevance to humans of the triketone herbicide 2-(4-methylsulfonyl-2-nitrobenzoyl)-1,3-cyclohexanedione. Crit. Rev. Toxicol. 2013, 43, 185–199. [Google Scholar] [CrossRef]
- Bonnet, J.L.; Bonnemoy, F.; Dusser, M.; Bohatier, J. Toxicity assessment of the herbicides sulcotrione and mesotrione toward two reference environmental microorganisms: Tetrahymena pyriformis and Vibrio fischeri. Arch. Environ. Contam. Toxicol. 2008, 55, 576–583. [Google Scholar] [CrossRef]
- Weigel, S.; Bester, K.; Hühnerfuss, H. Identification and quantification of pesticides, industrial chemicals, and organobromine compounds of medium to high polarity in the North Sea. Mar. Pollut. Bull. 2005, 50, 252–263. [Google Scholar] [CrossRef]
- Sheets, T.J.; Harris, C.I.; Smith, J.W. Persistence of dichlobenil and SD-7961 in soil. Weed Sci 1968, 16, 245–249. [Google Scholar]
- Makepeace, R.J.; Glaisher, J.A. Fate of dichlobenil in the River Ivel. 2: Effects of dichlobenil residues on hydroponically grown lettuce. Hydrobiology 1999, 415, 283–287. [Google Scholar] [CrossRef]
- Björklund, E.; Styrishave, B.; Anskjær, G.G.; Hansen, M.; Halling-Sørensen, B. Dichlobenil and 2,6-dichlorobenzamide (BAM) in the environment: What are the risks to humans and biota? Sci. Total Environ. 2011, 409, 3732–3739. [Google Scholar] [CrossRef]
- Guoguang, L.; Xiangning, J.; Xiaobai, X. Photodegradation of 1-(2-chlorobenzoyl)-3-(4-chlorophenyl) urea in different media and toxicity of its reaction products. J. Agric. Food Chem. 2001, 49, 2359–2362. [Google Scholar]
- Holtze, M.S.; Hansen, H.C.B.; Juhler, R.K.; Sørensen, J.; Aamand, J. Microbial degradation pathways of the herbicide dichlobenil in soils with different history of dichlobenil-exposure. Environ. Pollut. 2007, 148, 343–351. [Google Scholar] [CrossRef] [PubMed]
- Roberts, D.M.; Dawson, A.H.; Senarathna, L.; Mohamed, F.; Cheng, R.; Eaglesham, G.; Buckley, N.A. Toxicokinetics, including saturable protein binding, of 4-chloro-2-methyl phenoxyacetic acid (MCPA) in patients with acute poisoning. Toxicol Lett. 2011, 201, 270–276. [Google Scholar] [CrossRef] [PubMed][Green Version]
- Chinalia, F.A.; Killham, K.S. 2,4-Dichlorophenoxyacetic acid (2,4-D) biodegradation in river sediments of Northeast-Scotland and its effect on the microbial communities (PLFA and DGGE). Chemosphere 2006, 64, 1675–1683. [Google Scholar] [CrossRef] [PubMed]
- Bukowska, B. Effects of 2,4-D and its metabolite 2,4-dichlorophenol on antioxidant enzymes and level of glutathione in human erythrocytes. Comp. Biochem. Physiol. C Toxicol. Pharmacol. 2003, 135, 435–441. [Google Scholar] [CrossRef]
- Troudi, A.; Sefi, M.; Amara, I.B.; Soudani, N.; Hakim, A.; Zeghal, K.M.; Boudawara, T.; Zeghal, N. Oxidative damage in bone and erythrocytes of suckling rats exposed to 2,4-dichlorophenoxyacetic acid. Pestic. Biochem. Physiol. 2012, 104, 19–27. [Google Scholar] [CrossRef]
- Jabłońska-Trypuć, A.; Pankiewicz, W.; Czerpak, R. Traumatic Acid Reduces Oxidative Stress and Enhances Collagen Biosynthesis in Cultured Human Skin Fibroblasts. Lipids 2016, 51, 1021–1035. [Google Scholar] [CrossRef]
- English, J., Jr.; Bonner, J.; Haagen-Smit, A.J. Structure and synthesis of a plant wound hormone. Science 1939, 90, 329. [Google Scholar] [CrossRef]
- Zimmerman, D.C.; Coudron, C.A. Identification of Traumatin, a Wound Hormone, as 12-Oxo-trans-10-dodecenoic Acid. Plant. Physiol. 1979, 63, 536–541. [Google Scholar] [CrossRef]
- Bagga, D.; Anders, K.H.; Wang, H.J.; Glaspy, J.A. Long-chain n-3-to-n-6 polyunsaturated fatty acid ratios in breast adipose tissue from women with and without breast cancer. Nutr. Cancer 2002, 42, 180–185. [Google Scholar] [CrossRef]
- Gupta, P.B.; Kuperwasser, C.J. Contributions of estrogen to ER-negative breast tumor growth. Steroid Biochem. Mol. Biol. 2006, 102, 71–78. [Google Scholar] [CrossRef] [PubMed]
- Holliday, D.L.; Speirs, V. Choosing the right cell line for breast cancer research. Breast Cancer Res. 2011, 13, 215. [Google Scholar] [CrossRef] [PubMed]
- Berthois, Y.; Katzenellenbogen, J.A.; Katzenellenbogen, B.S. Phenol red in tissue culture media is a weak estrogen: Implications concerning the study of estrogen-responsive cells in culture. Proc. Natl. Acad. Sci. USA 1986, 83, 2496–2500. [Google Scholar] [CrossRef]
- Wołejko, E.; Kaczynski, P.; Łozowicka, B.; Konecki, R.; Grobela, M. The influence of chemical protection on the content of heavy metals in wheat (Triticum aestivum L.) growing on the soil enriched with granular sludge. Environ. Monitor. Assess. 2017, 189, 424. [Google Scholar] [CrossRef] [PubMed]
- Hennig, B.; Petriello, M.C.; Gamble, M.V.; Surh, Y.J.; Kresty, L.A.; Frank, N.; Rangkadilok, N.; Ruchirawat, M.; Suk, W.A. The role of nutrition in influencing mechanisms involved in environmentally mediated diseases. Rev. Environ. Health 2018, 33, 87–97. [Google Scholar] [CrossRef]
- Bassil, K.L.; Vakil, C.; Sanborn, M.; Cole, D.C.; Kaur, J.S.; Kerr, K.J. Cancer health effects of pesticides. Can. Fam. Physician. 2007, 53, 1704–1711. [Google Scholar]
- Jabłońska-Trypuć, A.; Wołejko, E.; Wydro, U.; Butarewicz, A.; Łozowicka, B. MCPA (2-methyl-4-chlorophenoxyacetic acid) and sulfosulfuron—pesticides with potential endocrine disrupting compounds properties. DWT 2018, 117, 194–201. [Google Scholar]
- Lin, N.; Garry, V.F. In vitro studies of cellular and molecular developmental toxicity of adjuvants, herbicides, and fungicides commonly used in Red River Valley, Minnesota. J. Toxicol. Environ. Health A 2000, 60, 423–439. [Google Scholar]
- Kogevinas, M.; Saracci, R.; Winkelmann, R.; Johnson, E.S.; Bertazzi, P.A.; Bueno de Mesquita, B.H.B.; Kauppinen, T.; Littorin, M.; Lynge, E.; Neuberger, M.; et al. Cancer incidence and mortality in women occupationally exposed to chlorophenoxy herbicides, chlorophenols, and dioxins. Cancer Causes Control 1993, 4, 547–553. [Google Scholar] [CrossRef]
- Florian, C.P.; Mansfield, S.R.; Schroeder, J.R. Differences in GPR30 Regulation by Chlorotriazine Herbicides in Human Breast Cells. Biochem. Res. Int. 2016, 2016. [Google Scholar] [CrossRef]
- Chakrabarti, S.; Davidge, S.T. G-protein coupled receptor 30 (GPR30): A novel regulator of endothelial inflammation. PLoS ONE 2012, 7. [Google Scholar] [CrossRef] [PubMed]
- Rich, J.D.; Gabriel, S.M.; Schultz-Norton, J.R. In vitro effects of herbicides and insecticides on human breast cells. ISRN Toxicol. 2012, 2012, 232461. [Google Scholar] [CrossRef] [PubMed]
- Edwards, D. Reregistration Eligibility Decision for Simazine; EPA. 738-R-06-008; U. S. E. P. Agency, United States Environmental Protection Agency: Washington, DC, USA, 2006.
- Long, T. Groundwater contamination in the vicinity of agrichemical mixing and loading facilities. In Proceedings of the 16th ENR Annual Conference on Pesticides and Pest Management, Chicago, IL, USA, 12–13 November 1987; pp. 133–149. [Google Scholar]
- Thongprakaisang, S.; Thiantanawat, A.; Rangkadilok, N.; Suriyo, T.; Satayavivad, J. Glyphosate induces human breast cancer cells growth via estrogen receptors. Food Chem. Toxicol. 2013, 59, 129–136. [Google Scholar] [CrossRef] [PubMed]
- Mesnage, R.; Phedonos, A.; Biserni, M.; Arno, M.; Balu, S.; Corton, J.C.; Ugarte, R.; Antoniou, M.N. Evaluation of estrogen receptor alpha activation by glyphosate-based herbicide constituents. Food Chem. Toxicol. 2017, 108, 30–42. [Google Scholar] [CrossRef] [PubMed]
- Khankari, N.K.; Bradshaw, P.T.; Steck, S.E.; He, K.; Olshan, A.F.; Shen, J.; Ahn, J.; Chen, Y.; Ahsan, H.; Terry, M.B.; et al. Polyunsaturated fatty acid interactions and breast cancer incidence: A population-based case-control study on Long Island, New York. Ann Epidemiol. 2015, 25, 929–935. [Google Scholar] [CrossRef] [PubMed]
- Kang, K.S.; Wang, P.; Yamabe, N.; Fukui, M.; Jay, T.; Zhu, B.T. Docosahexaenoic acid induces apoptosis in MCF-7 cells in vitro and in vivo via reactive oxygen species formation and caspase 8 activation. PLoS ONE 2010, 5. [Google Scholar] [CrossRef] [PubMed]
- Lee, E.J.; Yun, U.J.; Koo, K.H.; Sung, J.Y.; Shim, J.; Ye, S.K.; Hong, K.M.; Kim, Y.N. Down-regulation of lipid raft-associated onco-proteins via cholesterol-dependent lipid raft internalization in docosahexaenoic acid-induced apoptosis. Biochim. Biophys. Acta. 2014, 1841, 190–203. [Google Scholar] [CrossRef] [PubMed]
- Blanckaert, V.; Ulmann, L.; Mimouni, V.; Antol, J.; Brancquart, L.; Chénais, B. Docosahexaenoic acid intake decreases proliferation, increases apoptosis and decreases the invasive potential of the human breast carcinoma cell line MDA-MB-231. Int. J. Oncol. 2010, 36, 737–742. [Google Scholar] [CrossRef]
- Xu, Y.; Qian, S.Y. Anti-cancer activities of ω-6 polyunsaturated fatty acids. Biomed. J. 2014, 37, 112–119. [Google Scholar]
- Pizato, N.; Luzete, B.C.; Kiffer, L.F.M.V.; Corrêa, L.H.; de Oliveira Santos, I.; Assumpção, J.A.F.; Ito, M.K.; Magalhães, K.G. Omega-3 docosahexaenoic acid induces pyroptosis cell death in triple-negative breast cancer cells. Sci. Rep. 2018, 8, 1952. [Google Scholar] [CrossRef]
- Corsetto, P.A.; Montorfano, G.; Zava, S.; Jovenitti, I.E.; Cremona, A.; Berra, B.; Rizzo, A.M. Effects of n-3 PUFAs on breast cancer cells through their incorporation in plasma membrane. Lipids Health Dis. 2011, 10, 73. [Google Scholar] [CrossRef]
- Cao, W.; Ma, Z.; Rasenick, M.M.; Yeh, S.; Yu, J. N-3 poly-unsaturated fatty acids shift estrogen signaling to inhibit human breast cancer cell growth. PLoS ONE 2012, 7, e52838. [Google Scholar] [CrossRef]
- Bilecová-Rabajdová, M.; Birková, A.; Urban, P.; Gregová, K.; Durovcová, E.; Mareková, M. Naturally occurring substances and their role in chemo-protective effects. Cent. Eur. J. Public Health 2013, 21, 213–219. [Google Scholar] [CrossRef]
- Nakbi, A.; Tayeb, W.; Dabbou, S.; Issaoui, M.; Grissa, A.K.; Attia, N.; Hammami, M. Dietary olive oil effect on antioxidant status and fatty acid profile in the erythrocyte of 2,4-d- exposed rats. Lipids Health Dis. 2010, 9, 89. [Google Scholar] [CrossRef]
- Nakbi, A.; Tayeb, W.; Grissa, A.; Issaoui, M.; Dabbou, S.; Chargui, I.; Ellouz, M.; Miled, A.; Hammami, M. Effects of olive oil and its fractions on oxidative stress and the liver’s fatty acid composition in 2,4-Dichlorophenoxyacetic acid-treated rats. Nutr. Metab. 2010, 7, 80. [Google Scholar] [CrossRef]
- Choi, E.J.; Han, J.H.; Lee, C.S. Prostaglandin analogue misoprostol attenuates neurotoxin 1-methyl-4-phenylpyridinium-induced mitochondrial damage and cell death in differentiated PC12 cells. Brain Res. Bull. 2008, 77, 293–300. [Google Scholar] [CrossRef]
- Astiz, M.; de Alaniz, M.J.; Marra, C.A. The oxidative damage and inflammation caused by pesticides are reverted by lipoic acid in rat brain. Neurochem. Int. 2012, 61, 1231–1241. [Google Scholar] [CrossRef]
- Astiz, M.; Hurtado de Catalfo, G.E.; García, M.N.; Galletti, S.M.; Errecalde, A.L.; de Alaniz, M.J.; Marra, C.A. Pesticide-induced decrease in rat testicular steroidogenesis is differentially prevented by lipoate and tocopherol. Ecotoxicol. Environ. Saf. 2013, 91, 129–138. [Google Scholar] [CrossRef]
- Cavuşoğlu, K.; Yapar, K.; Oruç, E.; Yalçın, E. The protective effect of royal jelly on chronic lambda-cyhalothrin toxicity: Serum biochemical parameters, lipid peroxidation, and genotoxic and histopathological alterations in swiss albino mice. J. Med. Food. 2011, 14, 1229–1237. [Google Scholar] [CrossRef]
- Turkez, H.; Aydin, E. Anti-genotoxic role of eicosapentaenoic acid against imazalil-induced DNA damage in vitro. Toxicol. Ind. Health 2013, 29, 584–590. [Google Scholar] [CrossRef]
- Weber, F.; Freudinger, R.; Schwerdt, G.; Gekle, M. A rapid screening method to test apoptotic synergisms of ochratoxin A with other nephrotoxic substances. Toxicol. Vitro 2005, 19, 135–143. [Google Scholar] [CrossRef]
- Carmichael, J.; DeGraff, W.G.; Gazdar, A.F.; Minna, J.D.; Mitchell, J.B. Evaluation of a tetrazolium-based semiautomated colorimetric assay: Assessment of chemosensitivity testing. Cancer Res. 1987, 47, 936–942. [Google Scholar] [PubMed]
- Clarke, R.; Connolly, L.; Frizzell, C.; Elliott, C.T. Cytotoxic assessment of the regulated, co-existing mycotoxins aflatoxin B1, fumonisin B1 and ochratoxin, in single, binary and tertiary mixtures. Toxicon 2014, 90, 70–81. [Google Scholar] [CrossRef] [PubMed]
Sample Availability: Samples of the compounds are not available from the authors. |











| TA:MCPA | |||||||||||
|---|---|---|---|---|---|---|---|---|---|---|---|
| MDA-MB-231 | 0.5:0.05 | 0.75:0.05 | 1:0.05 | 10:0.05 | 20:0.05 | 50:0.05 | 100:0.05 | 200:0.05 | 500:0.05 | 750:0.05 | 1000:0.05 |
| MCF-7 | 0.5:0.025 | 0.75:0.025 | 1:0.025 | 10:0.025 | 20:0.025 | 50:0.025 | 100:0.025 | 200:0.025 | 500:0.025 | 750:0.025 | 1000:0.025 |
| ZR-75-1 | 0.5:0.01 | 0.75:0.01 | 1:0.01 | 10:0.01 | 20:0.01 | 50:0.01 | 100:0.01 | 200:0.01 | 500:0.01 | 750:0.01 | 1000:0.01 |
| MCF-12A | 0.5:0.025 | 0.75:0.025 | 1:0.025 | 10:0.025 | 20:0.025 | 50:0.025 | 100:0.025 | 200:0.025 | 500:0.025 | 750:0.025 | 1000:0.025 |
| TA:Mesotrione | |||||||||||
| MDA-MB-231 | 0.5:0.01 | 0.75:0.01 | 1:0.01 | 10:0.01 | 20:0.01 | 50:0.01 | 100:0.01 | 200:0.01 | 500:0.01 | 750:0.01 | 1000:0.01 |
| MCF-7 | 0.5:0.01 | 0.75:0.01 | 1:0.01 | 10:0.01 | 20:0.01 | 50:0.01 | 100:0.01 | 200:0.01 | 500:0.01 | 750:0.01 | 1000:0.01 |
| ZR-75-1 | 0.5:0.05 | 0.75:0.05 | 1:0.05 | 10:0.05 | 20:0.05 | 50:0.05 | 100:0.05 | 200:0.05 | 500:0.05 | 750:0.05 | 1000:0.05 |
| MCF-12A | 0.5:0.025 | 0.75:0.025 | 1:0.025 | 10:0.025 | 20:0.025 | 50:0.025 | 100:0.025 | 200:0.025 | 500:0.025 | 750:0.025 | 1000:0.025 |
| TA:Bifenox | |||||||||||
| MDA-MB-231 | 0.5:0.1 | 0.75:0.1 | 1:0.1 | 10:0.1 | 20:0.1 | 50:0.1 | 100:0.1 | 200:0.1 | 500:0.1 | 750:0.1 | 1000:0.1 |
| MCF-7 | 0.5:0.01 | 0.75:0.01 | 1:0.01 | 10:0.01 | 20:0.01 | 50:0.01 | 100:0.01 | 200:0.01 | 500:0.01 | 750:0.01 | 1000:0.01 |
| ZR-75-1 | 0.5:0.025 | 0.75:0.025 | 1:0.025 | 10:0.025 | 20:0.025 | 50:0.025 | 100:0.025 | 200:0.025 | 500:0.025 | 750:0.025 | 1000:0.025 |
| MCF-12A | 0.5:0.1 | 0.75:0.1 | 1:0.1 | 10:0.1 | 20:0.1 | 50:0.1 | 100:0.1 | 200:0.1 | 500:0.1 | 750:0.1 | 1000:0.1 |
| TA:Dichlobenil | |||||||||||
| MDA-MB-231 | 0.5:0.025 | 0.75:0.025 | 1:0.025 | 10:0.025 | 20:0.025 | 50:0.025 | 100:0.025 | 200:0.025 | 500:0.025 | 750:0.025 | 1000:0.025 |
| MCF-7 | 0.5:0.025 | 0.75:0.025 | 1:0.025 | 10:0.025 | 20:0.025 | 50:0.025 | 100:0.025 | 200:0.025 | 500:0.025 | 750:0.025 | 1000:0.025 |
| ZR-75-1 | 0.5:0.1 | 0.75:0.1 | 1:0.1 | 10:0.1 | 20:0.1 | 50:0.1 | 100:0.1 | 200:0.1 | 500:0.1 | 750:0.1 | 1000:0.1 |
| MCF-12A | 0.5:0.025 | 0.75:0.025 | 1:0.025 | 10:0.025 | 20:0.025 | 50:0.025 | 100:0.025 | 200:0.025 | 500:0.025 | 750:0.025 | 1000:0.025 |
© 2019 by the authors. Licensee MDPI, Basel, Switzerland. This article is an open access article distributed under the terms and conditions of the Creative Commons Attribution (CC BY) license (http://creativecommons.org/licenses/by/4.0/).
Share and Cite
Jabłońska-Trypuć, A.; Wydro, U.; Wołejko, E.; Butarewicz, A. Toxicological Effects of Traumatic Acid and Selected Herbicides on Human Breast Cancer Cells: In Vitro Cytotoxicity Assessment of Analyzed Compounds. Molecules 2019, 24, 1710. https://doi.org/10.3390/molecules24091710
Jabłońska-Trypuć A, Wydro U, Wołejko E, Butarewicz A. Toxicological Effects of Traumatic Acid and Selected Herbicides on Human Breast Cancer Cells: In Vitro Cytotoxicity Assessment of Analyzed Compounds. Molecules. 2019; 24(9):1710. https://doi.org/10.3390/molecules24091710
Chicago/Turabian StyleJabłońska-Trypuć, Agata, Urszula Wydro, Elżbieta Wołejko, and Andrzej Butarewicz. 2019. "Toxicological Effects of Traumatic Acid and Selected Herbicides on Human Breast Cancer Cells: In Vitro Cytotoxicity Assessment of Analyzed Compounds" Molecules 24, no. 9: 1710. https://doi.org/10.3390/molecules24091710
APA StyleJabłońska-Trypuć, A., Wydro, U., Wołejko, E., & Butarewicz, A. (2019). Toxicological Effects of Traumatic Acid and Selected Herbicides on Human Breast Cancer Cells: In Vitro Cytotoxicity Assessment of Analyzed Compounds. Molecules, 24(9), 1710. https://doi.org/10.3390/molecules24091710

