Fused Heterocyclic Systems with an s-Triazine Ring. 34. Development of a Practical Approach for the Synthesis of 5-Aza-isoguanines
Abstract
:1. Introduction
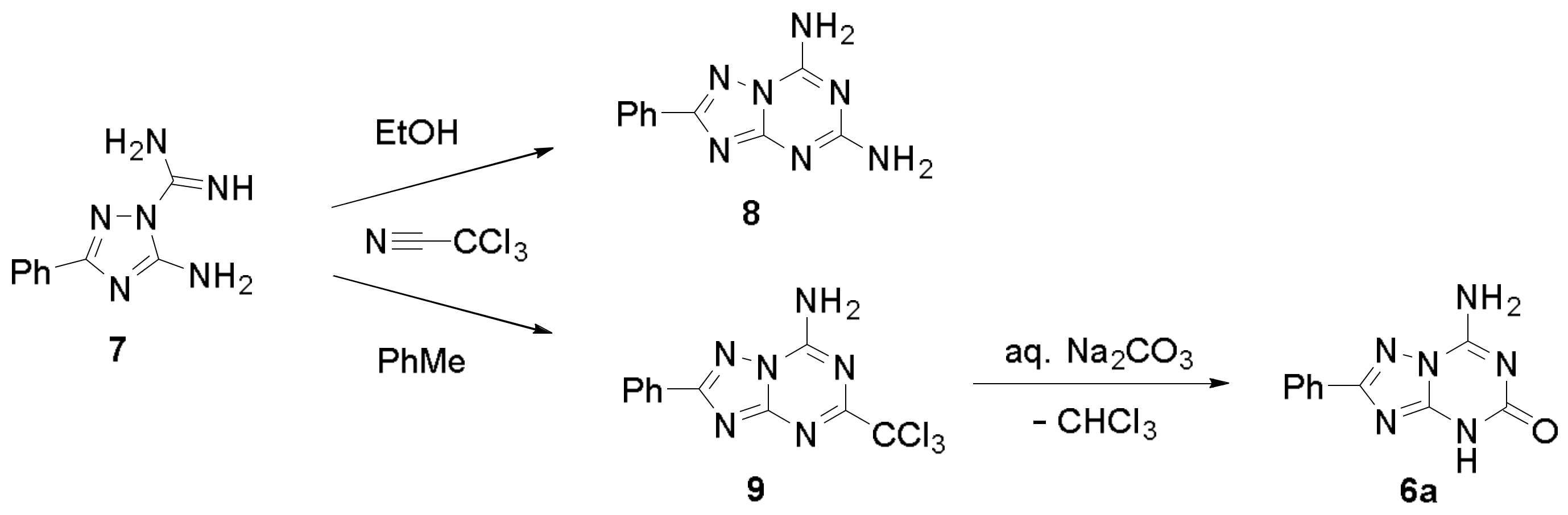
2. Results and Discussion
3. Conclusions
4. Materials and Methods
4.1. General
4.2. Synthesis
4.2.1. Synthesis of 2-Phenyl-1,2,4-triazolo[1,5-a][1,3,5]triazin-5,7-diamine 8
4.2.2. Synthesis of 7-Amino-2-phenyl-5-trichloromethyl-1,2,4-triazolo[1,5-a][1,3,5]triazine 9
4.2.3. Synthesis of 7-Amino-2-phenyl-1,2,4-triazolo[1,5-a][1,3,5]triazin-5-ones 6a from 9
4.2.4. Synthesis of N-(4-Methoxybenzyl)-2-phenyl-5-trichloromethyl-1,2,4-triazolo[1,5-a][1,3,5]triazin-7-amine 10
4.2.5. Synthesis of 5,7-Bis(morpholino)-2-phenyl-1,2,4-triazolo[1,5-a][1,3,5]triazine 11
4.2.6. Synthesis of Methyl 5-Amino-3-phenyl-1,2,4-triazoyl-1-dithiocarbonate 13
4.2.7. Synthesis of 7-Methylthio-2-phenyl-5-trichloromethyl-1,2,4-triazolo[1,5-a][1,3,5]triazine 15
4.2.8. Reactions of 3-Phenyl-1,2,4-triazol-5-amine (12) with Ethoxycarbonyl Isothiocyanate
4.2.9. Synthesis of 7-Methylthio-2-phenyl-1,2,4-triazolo[1,5-a][1,3,5]triazin-5-one 18
4.2.10. Synthesis of 7-Amino-2-phenyl-1,2,4-triazolo[1,5-a][1,3,5]triazin-5-one 6a from 18
4.2.11. Synthesis of 7-Amino-substituted-2-phenyl-1,2,4-triazolo[1,5-a][1,3,5]triazin-5-ones 6b and 6c
4.2.12. Synthesis of 7-Amino-substituted-2-phenyl-1,2,4-triazolo[1,5-a][1,3,5]triazin-5-ones 6d–6p.
Author Contributions
Funding
Conflicts of Interest
References
- Lim, F.P.L.; Dolzhenko, A.V. 1,3,5-Triazine-based analogues of purine: From isosteres to privileged scaffolds in medicinal chemistry. Eur. J. Med. Chem. 2014, 85, 371–390. [Google Scholar] [CrossRef] [PubMed]
- Dolzhenko, A.V.; Dolzhenko, A.V.; Chui, W.K. Pyrazolo[1,5-a][1,3,5]triazines (5-aza-9-deazapurines). Synthesis and biological activity. Heterocycles 2008, 75, 1575–1622. [Google Scholar]
- Dolzhenko, A.V.; Dolzhenko, A.V.; Chui, W.K. 1,2,4-Triazolo[1,5-a][1,3,5]triazines (5-azapurines): Synthesis and biological activity. Heterocycles 2006, 68, 1723–1753. [Google Scholar] [CrossRef]
- Kow, K.K.; Dolzhenko, A.V. Advances in the synthesis of 1,2,4-triazolo[1,5-a][1,3,5]triazines (5-azapurines) and their biological activity. Heterocycles 2019, 98, 175–203. [Google Scholar]
- Lim, F.P.L.; Tan, K.C.; Luna, G.; Tiekink, E.R.T.; Dolzhenko, A.V. A synthesis of new 7-amino-substituted 4-aminopyrazolo[1,5-a][1,3,5]triazines via a selective three-component triazine ring annulation. Tetrahedron 2019, 75, 2322–2329. [Google Scholar] [CrossRef]
- Lim, F.P.L.; Halcovitch, N.R.; Tiekink, E.R.T.; Dolzhenko, A.V. A new microwave-assisted, three-component reaction of 5-aminopyrazole-4-carboxylates: Selective synthesis of substituted 5-aza-9-deaza-adenines. Tetrahedron 2018, 74, 1868–1879. [Google Scholar] [CrossRef]
- Lim, F.P.L.; Luna, G.; Dolzhenko, A.V. A one-pot, three-component, microwave-assisted synthesis of novel 7-amino-substituted 4-aminopyrazolo[1,5-a][1,3,5]triazine-8-carbonitriles. Tetrahedron Lett. 2015, 56, 7016–7019. [Google Scholar] [CrossRef]
- Lim, F.P.L.; Luna, G.; Dolzhenko, A.V. A one-pot, three-component aminotriazine annulation onto 5-aminopyrazole-4-carbonitriles under microwave irradiation. Tetrahedron Lett. 2015, 56, 521–524. [Google Scholar] [CrossRef]
- Lim, F.P.L.; Luna, G.; Dolzhenko, A.V. A new, one-pot, multicomponent synthesis of 5-aza-9-deaza-adenines under microwave irradiation. Tetrahedron Lett. 2014, 55, 5159–5163. [Google Scholar] [CrossRef]
- Kalinina, S.A.; Kalinin, D.V.; Dolzhenko, A.V. A one-pot, three-component, microwave-promoted synthesis of 2-amino-substituted 7-amino-1,2,4-triazolo[1,5-a][1,3,5]triazines. Tetrahedron Lett. 2013, 54, 5537–5540. [Google Scholar] [CrossRef]
- Dolzhenko, A.V.; Kalinina, S.A.; Kalinin, D.V. A novel multicomponent microwave-assisted synthesis of 5-aza-adenines. Rsc Adv. 2013, 3, 15850–15855. [Google Scholar] [CrossRef]
- Bera, H.; Dolzhenko, A.V.; Sun, L.; Gupta, S.D.; Chui, W.K. Synthesis and in vitro evaluation of 1,2,4-triazolo[1,5-a][1,3,5]triazine derivatives as thymidine phosphorylase inhibitors. Chem. Biol. Drug Des. 2013, 82, 351–360. [Google Scholar] [CrossRef]
- Bera, H.; Chui, W.K.; Gupta, S.D.; Dolzhenko, A.V.; Sun, L. Synthesis, in vitro evaluation of thymidine phosphorylase inhibitory activity, and in silico study of 1,3,5-triazin-2,4-dione and its fused analogues. Med. Chem. Res. 2013, 22, 6010–6021. [Google Scholar] [CrossRef]
- Bera, H.; Tan, B.J.; Sun, L.; Dolzhenko, A.V.; Chui, W.K.; Chiu, G.N.C. A structure–activity relationship study of 1,2,4-triazolo[1,5-a][1,3,5]triazin-5,7-dione and its 5-thioxo analogues on anti-thymidine phosphorylase and associated anti-angiogenic activities. Eur. J. Med. Chem. 2013, 67, 325–334. [Google Scholar] [CrossRef] [PubMed]
- Kalinin, D.V.; Kalinina, S.A.; Dolzhenko, A.V. A new synthesis of amino substituted azolo[1,3,5]triazines via reaction of N1,N1-dimethyl-N2-azolylformamidines with cyanamide. Heterocycles 2013, 87, 147–154. [Google Scholar]
- Zavodskaya, A.V.; Bakharev, V.V.; Parfenov, V.E.; Gidaspov, A.A.; Slepukhin, P.A.; Isenov, M.L.; Eltsov, O.S. Synthesis of new 5-aza-isosteres of guanine containing aryl and hetaryl substituents on the 1,2,4-triazole ring. Tetrahedron Lett. 2015, 56, 1103–1106. [Google Scholar] [CrossRef]
- Bakharev, V.V.; Parfenov, V.E.; Ul’yankina, I.V.; Zavodskaya, A.V.; Selezneva, E.V.; Gidaspov, A.A.; Eltsov, O.S.; Slepukhin, P.A. Synthesis of new 5-aza-isosteres of guanine-5-aminosubstituted 1,2,4-triazolo[1,5-a]-1,3,5-triazin-7-ones. Tetrahedron 2014, 70, 6825–6830. [Google Scholar] [CrossRef]
- Harauchi, Y.; Kajimoto, T.; Ohta, E.; Kawachi, H.; Imamura-Jinda, A.; Ohta, S. Prenylated purine alkaloids from seeds of Gleditsia japonica. Phytochemistry 2017, 143, 145–150. [Google Scholar] [CrossRef] [PubMed]
- Kajimoto, T.; Aoki, N.; Ohta, E.; Ohta, S. Locustoside A—A new purine alkaloid glucoside from seeds of Gleditsia japonica. Phytochem. Lett. 2010, 3, 198–200. [Google Scholar] [CrossRef]
- Kajimoto, T.; Aoki, N.; Ohta, E.; Kawai, Y.; Ohta, S. Saikachinoside A, a novel 3-prenylated isoguanine glucoside from seeds of Gleditsia japonica. Tetrahedron Lett. 2010, 51, 2099–2101. [Google Scholar] [CrossRef]
- Pereira, H.M.; Berdini, V.; Cleasby, A.; Garratt, R.C. Crystal structure of calf spleen purine nucleoside phosphorylase complexed to a novel purine analogue. FEBS Lett. 2007, 581, 5082–5086. [Google Scholar] [CrossRef]
- Furman, R.R.; Hoelzer, D. Purine nucleoside phosphorylase inhibition as a novel therapeutic approach for B-cell lymphoid malignancies. Semin. Oncol. 2007, 34, S29–S34. [Google Scholar] [CrossRef]
- Roberts, E.L.L.; Newton, R.P.; Axford, A.T. Plasma purine nucleoside phosphorylase in cancer patients. Clin. Chim. Acta 2004, 344, 109–114. [Google Scholar] [CrossRef]
- Bzowska, A. Formycins and their analogues: Purine nucleoside phosphorylase inhibitors and their potential application in immunosuppression and cancer. In Modified Nucleosides: In Biochemistry, Biotechnology and Medicine; Herdewijn, P., Ed.; Wiley-VCH Verlag GmbH & Co. KGaA: Weinheim, Germany, 2008; pp. 473–510. [Google Scholar]
- Donaldson, T.M.; Cassera, M.B.; Ho, M.-C.; Zhan, C.; Merino, E.F.; Evans, G.B.; Tyler, P.C.; Almo, S.C.; Schramm, V.L.; Kim, K. Inhibition and structure of Toxoplasma gondii purine nucleoside phosphorylase. Eukaryot. Cell 2014, 13, 572–579. [Google Scholar] [CrossRef]
- Lim, F.P.L.; Dolzhenko, A.V. 4-Amino-substituted pyrazolo[1,5-a][1,3,5]triazin-2-amines: A new practical synthesis and biological activity. Tetrahedron Lett. 2014, 55, 6684–6688. [Google Scholar] [CrossRef]
- Dolzhenko, A.V.; Pastorin, G.; Dolzhenko, A.V.; Chui, W.K. A convenient method for the synthesis of 7-amino-substituted 1,2,4-triazolo[1,5-a][1,3,5]triazin-5-amines. Tetrahedron Lett. 2008, 49, 7180–7183. [Google Scholar] [CrossRef]
- Dolzhenko, A.V.; Dolzhenko, A.V.; Chui, W.K. Practical synthesis of regioisomeric 5(7)-amino-6,7(4,5)-dihydro[1,2,4]triazolo[1,5-a][1,3,5]triazines. Tetrahedron 2007, 63, 12888–12895. [Google Scholar] [CrossRef]
- Dolzhenko, A.V.; Dolzhenko, A.V.; Chui, W.K. Synthesis of 5,7-diamino[1,2,4]triazolo[1,2-a]-[1,3,5]triazines via annulation of 1,3,5-triazine ring onto 3(5)-amino-1,2,4-triazoles. Heterocycles 2007, 71, 429–436. [Google Scholar] [CrossRef]
- Caulkett, P.W.R.; Jones, G.; McPartlin, M.; Renshaw, N.D.; Stewart, S.K.; Wright, B. Adenine isosteres with bridgehead nitrogen. Part 1. Two independent syntheses of the [1,2,4]traizolo[1,5-a][1,3,5]triazine ring system leading to a range of substituents in the 2, 5 and 7 positions. J. Chem. Soc. Perkin Trans. 1 Org. Bio-Org. Chem. 1995, 1, 801–808. [Google Scholar]
- Federico, S.; Ciancetta, A.; Porta, N.; Redenti, S.; Pastorin, G.; Cacciari, B.; Klotz, K.N.; Moro, S.; Spalluto, G. 5,7-Disubstituted-[1,2,4]triazolo[1,5-a][1,3,5]triazines as pharmacological tools to explore the antagonist selectivity profiles toward adenosine receptors. Eur. J. Med. Chem. 2016, 108, 529–541. [Google Scholar] [CrossRef]
- Redenti, S.; Marcovich, I.; De Vita, T.; Pérez, C.; De Zorzi, R.; Demitri, N.; Perez, D.I.; Bottegoni, G.; Bisignano, P.; Bissaro, M.; et al. A triazolotriazine-based dual GSK-3β/CK-1δ ligand as a potential neuroprotective agent presenting two different mechanisms of enzymatic inhibition. ChemMedChem 2019, 14, 310–314. [Google Scholar] [CrossRef]
- Lefoix, M.; Mathis, G.; Kleinmann, T.; Truffert, J.-C.; Asseline, U. Pyrazolo[1,5-a]-1,3,5-triazine C-nucleoside as deoxyadenosine analog: Synthesis, pairing, and resistance to hydrolysis. J. Org. Chem. 2014, 79, 3221–3227. [Google Scholar] [CrossRef]
- Popowycz, F.; Schneider, C.; De Bonis, S.; Skoufias, D.A.; Kozielski, F.; Galmarini, C.M.; Joseph, B. Synthesis and antiproliferative evaluation of pyrazolo[1,5-a]-1,3,5-triazine myoseverin derivatives. Bioorg. Med. Chem. 2009, 17, 3471–3478. [Google Scholar] [CrossRef]
- Popowycz, F.; Fournet, G.; Schneider, C.; Bettayeb, K.; Ferandin, Y.; Lamigeon, C.; Tirado, O.M.; Mateo-Lozano, S.; Notario, V.; Colas, P.; et al. Pyrazolo[1,5-a]-1,3,5-triazine as a purine bioisostere: Access to potent cyclin-dependent kinase inhibitor (R)-roscovitine analogue. J. Med. Chem. 2009, 52, 655–663. [Google Scholar] [CrossRef]
- Raboisson, P.; Schultz, D.; Muller, C.; Reimund, J.-M.; Pinna, G.; Mathieu, R.; Bernard, P.; Do, Q.-T.; DesJarlais, R.L.; Justiano, H.; et al. Cyclic nucleotide phosphodiesterase type 4 inhibitors: Evaluation of pyrazolo[1,5-a]-1,3,5-triazine ring system as an adenine bioisostere. Eur. J. Med. Chem. 2008, 43, 816–829. [Google Scholar] [CrossRef]
- Mathieu, R.; Schmitt, M.; Bourguignon, J.-J. Stereoselective synthesis of 3’-substituted 2’-deoxy C-nucleoside pyrazolo[1,5-a]-1,3,5-triazines and their 5’-phosphate nucleotides. Tetrahedron Lett. 2006, 47, 5099–5103. [Google Scholar] [CrossRef]
- Raboisson, P.; Schultz, D.; Lugnier, C.; Mathieu, R.; Bourguignon, J.-J. A general approach toward the synthesis of 8-amidopyrazolo[1,5-a]-1,3,5-triazines. Tetrahedron Lett. 2003, 44, 703–705. [Google Scholar] [CrossRef]
- Raboisson, P.; Schultz, D.; Lugnier, C.; Bourguignon, J.-J. Efficient synthesis of 8-substituted pyrazolo[1,5-a]-1,3,5-triazines by regioselective acylation. Tetrahedron Lett. 2002, 43, 9501–9503. [Google Scholar] [CrossRef]
- Raboisson, P.; Baurand, A.; Cazenave, J.-P.; Gachet, C.; Schultz, D.; Spiess, B.; Bourguignon, J.-J. A General approach toward the synthesis of C-nucleoside pyrazolo[1,5-a]-1,3,5-triazines and their 3’,5’-bisphosphate C-nucleotide analogues as the first reported in vivo stable P2Y1-receptor antagonists. J. Org. Chem. 2002, 67, 8063–8071. [Google Scholar] [CrossRef]
- Dolzhenko, A.V.; Tan, G.K.; Koh, L.L.; Chui, W.K. N-Carbethoxy-N’-(3-phenyl-1H-1,2,4-triazol-5-yl)thiourea. Acta Crystallogr. Sect. E 2010, 66, o425. [Google Scholar] [CrossRef]
- Dolzhenko, A.V.; Tan, G.K.; Koh, L.L.; Chui, W.K. 2-Phenyl-7-(4-pyridylmethylamino)-1,2,4-triazolo[1,5-a][1,3,5]triazin-5(4H)-one. Acta Crystallogr. Sect. E 2011, 67, o85–086. [Google Scholar] [CrossRef]
Sample Availability: Samples of compounds 6a–p are available from the authors. |









© 2019 by the authors. Licensee MDPI, Basel, Switzerland. This article is an open access article distributed under the terms and conditions of the Creative Commons Attribution (CC BY) license (http://creativecommons.org/licenses/by/4.0/).
Share and Cite
Junaid, A.; Lim, F.P.L.; Zhou, Y.P.; Chui, W.K.; Dolzhenko, A.V. Fused Heterocyclic Systems with an s-Triazine Ring. 34. Development of a Practical Approach for the Synthesis of 5-Aza-isoguanines. Molecules 2019, 24, 1453. https://doi.org/10.3390/molecules24081453
Junaid A, Lim FPL, Zhou YP, Chui WK, Dolzhenko AV. Fused Heterocyclic Systems with an s-Triazine Ring. 34. Development of a Practical Approach for the Synthesis of 5-Aza-isoguanines. Molecules. 2019; 24(8):1453. https://doi.org/10.3390/molecules24081453
Chicago/Turabian StyleJunaid, Ahmad, Felicia Phei Lin Lim, Yvonne Peijun Zhou, Wai Keung Chui, and Anton V. Dolzhenko. 2019. "Fused Heterocyclic Systems with an s-Triazine Ring. 34. Development of a Practical Approach for the Synthesis of 5-Aza-isoguanines" Molecules 24, no. 8: 1453. https://doi.org/10.3390/molecules24081453
APA StyleJunaid, A., Lim, F. P. L., Zhou, Y. P., Chui, W. K., & Dolzhenko, A. V. (2019). Fused Heterocyclic Systems with an s-Triazine Ring. 34. Development of a Practical Approach for the Synthesis of 5-Aza-isoguanines. Molecules, 24(8), 1453. https://doi.org/10.3390/molecules24081453

