Evolution and Biological Evaluation of Matrinic Derivatives with Amantadine Fragments As New Anti-Influenza Virus Agents
Abstract
1. Introduction
2. Results and Discussion
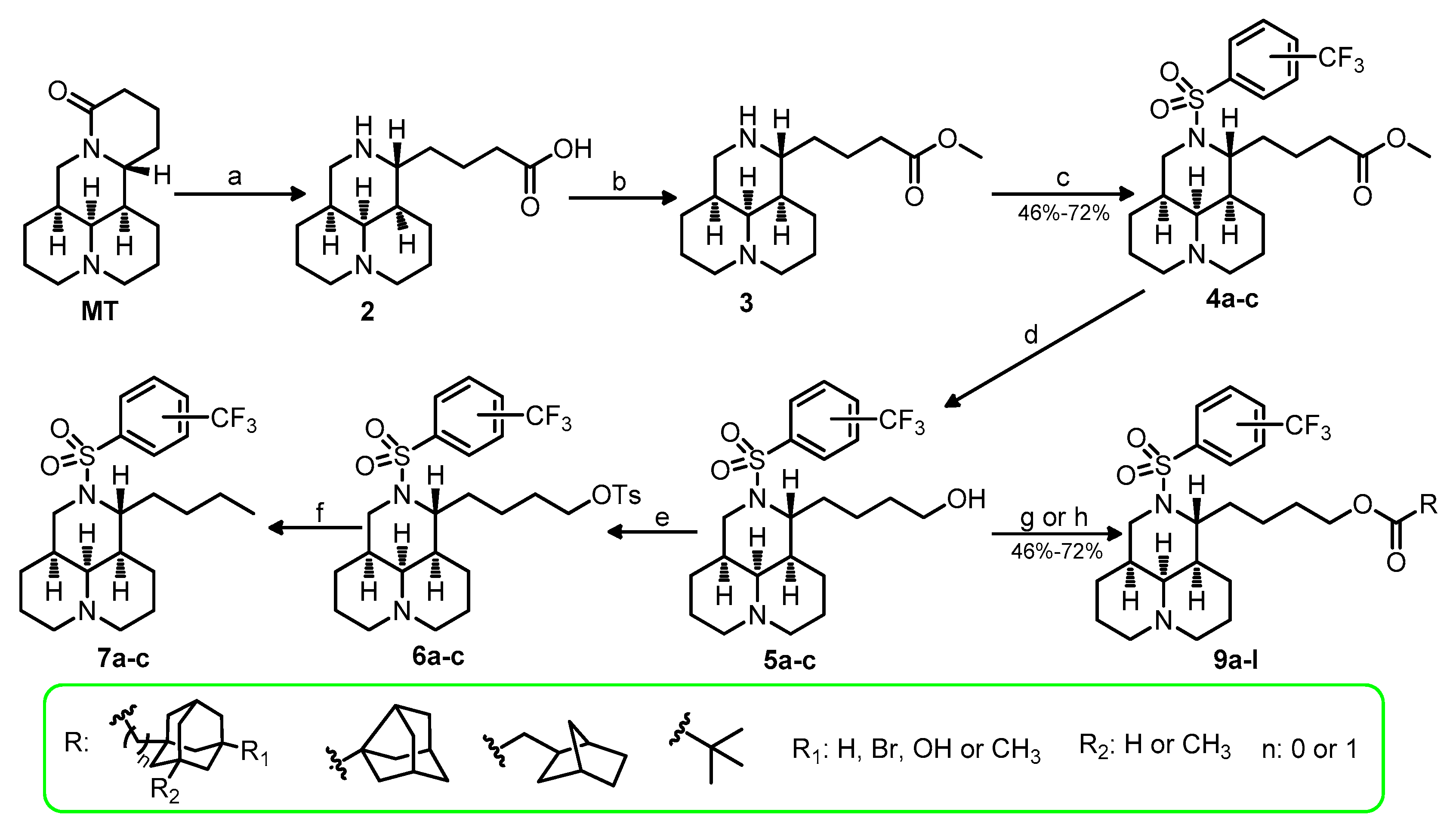
2.1. Chemistry
2.2. Pharmacology
2.2.1. SAR Analysis for Anti-H3N2 Activity in Vitro
2.2.2. Anti-H3N2 Activity of Key Compounds at the Protein Level
2.2.3. Anti-H1N1 Activity of Representative Compounds
2.2.4. Safety and Metabolic Stability Assessments of Key Compounds
2.2.5. Primary Mechanism of 9f
3. Experimental Section
3.1. Chemistry
3.1.1. General Procedure for the Synthesis of Compounds 5a–c
3.1.2. General Procedure for the Synthesis of Compounds 9a–j
3.1.3. General Procedure for the Synthesis of Compounds 9k–l
3.2. Biology
3.2.1. Anti–H3N2 and Anti–H1N1 Effects In Vitro
3.2.2. Cytotoxicity Assay
3.2.3. Stability Assay of Key Compounds in Whole Blood
3.2.4. Acute Toxicity Assay
3.2.5. Anti–H3N2 Activity Assay at the Protein Level
3.2.6. Time-of-Addition Assay
4. Conclusions
Supplementary Materials
Author Contributions
Funding
Conflicts of Interest
References
- Peiris, J.S.; Poon, L.L.; Guan, Y. Emergence of a novel swine-origin influenza A virus (S-OIV) H1N1 virus in humans. J. Clin. Virol. 2009, 45, 169–173. [Google Scholar] [CrossRef] [PubMed]
- Rogers, K.B.; Roohi, S.; Uyeki, T.M.; Montgomery, D.; Parker, J.; Fowler, N.H.; Xu, X.; Ingram, D.J.; Fearey, D.; Williams, S.M.; et al. Laboratory-based respiratory virus surveillance pilot project on select cruise ships in Alaska, 2013–15. J. Travel. Med. 2017, 24. [Google Scholar] [CrossRef] [PubMed]
- Liu, T.; Liu, M.; Chen, F.; Chen, F.; Tian, Y.; Huang, Q.; Liu, S.; Yang, J. A Small-Molecule Compound Has Anti-influenza A Virus Activity by Acting as a “PB2 Inhibitor”. Mol. Pharm. 2018, 15, 4110–4120. [Google Scholar] [CrossRef] [PubMed]
- Ali, S.O.; Takas, T.; Nyborg, A.; Shoemaker, K.; Kallewaard, N.L.; Chiong, R.; Dubovsky, F.; Mallory, R.M. Evaluation of MEDI8852, an Anti-Influenza A Monoclonal Antibody, in Treating Acute Uncomplicated Influenza. Antimicrob. Agents Chemother. 2018, 62, e618–e694. [Google Scholar] [CrossRef] [PubMed]
- Giwa, A.L.; Ogedegbe, C.; Murphy, C.G. Influenza: Diagnosis and management in the emergency department. Emerg. Med. Pract. 2018, 20, 1–20. [Google Scholar] [PubMed]
- Taubenberger, J.K.; Morens, D.M. 1918 Influenza: The mother of all pandemics. Emerg. Infect. Dis. 2006, 12, 15–22. [Google Scholar] [CrossRef] [PubMed]
- Okomo-Adhiambo, M.; Fry, A.M.; Su, S.; Nguyen, H.T.; Elal, A.A.; Negron, E.; Hand, J.; Garten, R.J.; Barnes, J.; Xiyan, X.; et al. Oseltamivir-resistant influenza A(H1N1)pdm09 viruses, United States, 2013–14. Emerg. Infect. Dis. 2015, 21, 136–141. [Google Scholar] [CrossRef] [PubMed]
- Wendel, I.; Rubbenstroth, D.; Doedt, J.; Kochs, G.; Wilhelm, J.; Staeheli, P.; Klenk, H.D.; Matrosovich, M. The avian-origin PB1 gene segment facilitated replication and transmissibility of the H3N2/1968 pandemic influenza virus. J. Virol. 2015, 89, 4170–4179. [Google Scholar] [CrossRef] [PubMed]
- Zhu, Q.; Bang, T.H.; Ohnuki, K.; Sawai, T.; Sawai, K.; Shimizu, K. Inhibition of neuraminidase by Ganoderma triterpenoids and implications for neuraminidase inhibitor design. Sci. Rep. 2015, 5, 13194. [Google Scholar] [CrossRef] [PubMed]
- Treanor, J.J. Influenza Vaccination. N. Engl. J. Med. 2016, 375, 1261–1268. [Google Scholar] [CrossRef] [PubMed]
- Boivin, G. Detection and management of antiviral resistance for influenza viruses. Influenza Other Respir. Viruses 2013, 7 (Suppl. S3), 18–23. [Google Scholar] [CrossRef] [PubMed]
- Lee, J.; Park, J.H.; Jwa, H.; Kim, Y.H. Comparison of Efficacy of Intravenous Peramivir and Oral Oseltamivir for the Treatment of Influenza: Systematic Review and Meta-Analysis. Yonsei Med. J. 2017, 58, 778–785. [Google Scholar] [CrossRef] [PubMed]
- Moorthy, N.S.; Poongavanam, V.; Pratheepa, V. Viral M2 ion channel protein: A promising target for anti-influenza drug discovery. Mini Rev. Med. Chem. 2014, 14, 819–830. [Google Scholar] [PubMed]
- Okomo-Adhiambo, M.; Demmler-Harrison, G.J.; Deyde, V.M.; Sheu, T.G.; Xu, X.; Klimov, A.I.; Gubareva, L.V. Detection of E119V and E119I mutations in influenza A (H3N2) viruses isolated from an immunocompromised patient: Challenges in diagnosis of oseltamivir resistance. Antimicrob. Agents Chemother. 2010, 54, 1834–1841. [Google Scholar] [CrossRef] [PubMed]
- Baranovich, T.; Saito, R.; Suzuki, Y.; Zaraket, H.; Dapat, C.; Caperig-Dapat, I.; Oguma, T.; Shabana, I.I.; Saito, T.; Suzuki, H. Emergence of H274Y oseltamivir-resistant A(H1N1) influenza viruses in Japan during the 2008–2009 season. J. Clin. Virol. 2010, 47, 23–28. [Google Scholar] [CrossRef] [PubMed]
- Tang, S.; Li, Y.H.; Cheng, X.Y.; Yin, J.Q.; Li, Y.H.; Song, D.Q.; Wang, Y.X.; Liu, Z.D. Synthesis and Biological Evaluation of 12N-substituted Tricyclic Matrinic Derivatives as a Novel Family of Anti-Influenza Agents. Med. Chem. 2018, 14, 764–772. [Google Scholar] [CrossRef] [PubMed]
- Tang, S.; Li, Y.H.; Cheng, X.Y.; Li, Y.H.; Wang, H.Q.; Kong, L.Y.; Zhang, X.; Jiang, J.D.; Song, D.Q. SAR evolution and discovery of benzenesulfonyl matrinanes as a novel class of potential coxsakievirus inhibitors. Future Med. Chem. 2016, 8, 495–508. [Google Scholar] [CrossRef] [PubMed]
- Du, N.N.; Peng, Z.G.; Bi, C.W.; Tang, S.; Li, Y.H.; Li, J.R.; Zhu, Y.P.; Zhang, J.P.; Wang, Y.X.; Jiang, J.D.; et al. N-substituted benzyl matrinic acid derivatives inhibit hepatitis C virus (HCV) replication through down-regulating host heat-stress cognate 70 (Hsc70) expression. PLoS ONE 2013, 8, e58675. [Google Scholar] [CrossRef] [PubMed]
- Tang, S.; Kong, L.; Li, Y.; Jiang, J.; Gao, L.; Cheng, X.; Ma, L.; Zhang, X.; Li, Y.; Song, D. Novel N-benzenesulfonyl sophocarpinol derivatives as coxsackie B virus inhibitors. ACS Med. Chem. Lett. 2015, 6, 183–186. [Google Scholar] [CrossRef] [PubMed]
- Cheng, X.Y.; Li, Y.H.; Tang, S.; Zhang, X.; Wang, Y.X.; Wang, S.G.; Jiang, J.D.; Li, Y.H.; Song, D.Q. Synthesis and evaluation of halogenated 12N-sulfonyl matrinic butanes as potential anti-coxsackievirus agents. Eur. J. Med. Chem. 2017, 126, 133–142. [Google Scholar] [CrossRef] [PubMed]
- Huang, Y.; Rios, C.B.; Tejero, R.; Zimmerman, D.E.; Krug, R.M.; Montelione, G.T.; Chien, C.Y. A novel RNA-binding motif in influenza A virus non-structural protein 1. Nat. Struct. Biol. 1997, 4, 891–895. [Google Scholar]
- Ma, L.L.; Ge, M.; Wang, H.Q.; Yin, J.Q.; Jiang, J.D.; Li, Y.H. Antiviral Activities of Several Oral Traditional Chinese Medicines against Influenza Viruses. Evid. Based Complement. Alternat. Med. 2015, 2015, 367250. [Google Scholar] [CrossRef] [PubMed]
- Liu, A.L.; Liu, B.; Qin, H.L.; Lee, S.M.; Wang, Y.T.; Du, G.H. Anti-influenza virus activities of flavonoids from the medicinal plant Elsholtzia rugulosa. Planta Med. 2008, 74, 847–851. [Google Scholar] [CrossRef] [PubMed]
Sample Availability: Samples of the compounds 7a–c and 9a–l are available from the authors. |







| Compound | R1 | R2 | TC50 (µM) a | H3N2, A/hanfang/359/95 | H1N1, A/Fort Monmouth/1/1947 | ||
|---|---|---|---|---|---|---|---|
| IC50 (µM) b | SI c | IC50 (µM) | SI | ||||
| 1 | >540.5 | 16.2 | > 33.4 | NT d | NT | ||
| 7a | p-CF3 | CH3 | 79.8 ± 4.7 | 21.3 ± 1.9 | 3.8 | NT | NT |
| 7b | m-CF3 | CH3 | 86.6 ± 2.3 | 28.9 ± 2.4 | 3.0 | NT | NT |
| 7c | o-CF3 | CH3 | 86.6 ± 3.8 | 50.0 ± 1.1 | 1.7 | NT | NT |
| 9a | p-CF3 | ![]() | 19.5 ± 2.8 | 16.5 ± 2.9 | 1.2 | NT | NT |
| 9b | p-CF3 | ![]() | 61.9 ± 1.9 | 28.4 ± 2.3 | 2.2 | NT | NT |
| 9c | p-CF3 | ![]() | 73.6 ± 4.3 | 8.2 ± 2.07 | 9.0 | 27.5 ± 0.1 | 2.7 |
| 9d | m-CF3 | ![]() | 54.9 ± 3.5 | 5.9 ± 0.9 | 9.2 | 22.4 ± 1.3 | 2.5 |
| 9e | m-CF3 | ![]() | 63.4 ± 2.3 | 11.1 ± 1.5 | 5.7 | NT | NT |
| 9f | m-CF3 | ![]() | 75.7 ± 14.2 | 7.2 ± 1.1 | 10.6 | 23.4 ± 1.5 | 3.2 |
| 9g | p-CF3 | ![]() | 38.5 ± 6.6 | – e | – | NT | NT |
| 9h | m-CF3 | ![]() | 59.7 ± 0.0 | – | – | NT | NT |
| 9i | p-CF3 | ![]() | 129.0 ± 20.9 | 25.7 ± 4.8 | 5.0 | NT | NT |
| 9j | m-CF3 | ![]() | 110.3 ± 18.5 | 10.2 ± 1.8 | 10.8 | 22.6 ± 1.3 | 4.9 |
| 9k | p-CF3 | ![]() | 94.3 ± 11.3 | – | – | NT | NT |
| 9l | m-CF3 | ![]() | 52.9 ± 8.0 | 18.2 ± 3.2 | 2.9 | NT | NT |
| AH | >200 | 3.25 ± 0.5 | >61.5 | 2.73 | >73.3 | ||
© 2019 by the authors. Licensee MDPI, Basel, Switzerland. This article is an open access article distributed under the terms and conditions of the Creative Commons Attribution (CC BY) license (http://creativecommons.org/licenses/by/4.0/).
Share and Cite
Niu, T.; Zhao, X.; Jiang, J.; Yan, H.; Li, Y.; Tang, S.; Li, Y.; Song, D. Evolution and Biological Evaluation of Matrinic Derivatives with Amantadine Fragments As New Anti-Influenza Virus Agents. Molecules 2019, 24, 921. https://doi.org/10.3390/molecules24050921
Niu T, Zhao X, Jiang J, Yan H, Li Y, Tang S, Li Y, Song D. Evolution and Biological Evaluation of Matrinic Derivatives with Amantadine Fragments As New Anti-Influenza Virus Agents. Molecules. 2019; 24(5):921. https://doi.org/10.3390/molecules24050921
Chicago/Turabian StyleNiu, Tianyu, Xiaoqiang Zhao, Jing Jiang, Haiyan Yan, Yinghong Li, Sheng Tang, Yuhuan Li, and Danqing Song. 2019. "Evolution and Biological Evaluation of Matrinic Derivatives with Amantadine Fragments As New Anti-Influenza Virus Agents" Molecules 24, no. 5: 921. https://doi.org/10.3390/molecules24050921
APA StyleNiu, T., Zhao, X., Jiang, J., Yan, H., Li, Y., Tang, S., Li, Y., & Song, D. (2019). Evolution and Biological Evaluation of Matrinic Derivatives with Amantadine Fragments As New Anti-Influenza Virus Agents. Molecules, 24(5), 921. https://doi.org/10.3390/molecules24050921












