Insecticidal and Nematicidal Contributions of Mexican Flora in the Search for Safer Biopesticides
Abstract
:1. Introduction
2. Insecticidal Compounds and Plant Extracts
2.1. Spodoptera sp.
2.1.1. Terpenes
2.1.2. Flavonoids
2.1.3. Stilbenes
2.1.4. Coumarin and Ketone
2.1.5. Fatty Acids
2.1.6. Alkaloidal Fractions
2.1.7. Plant Extracts with Activity against Spodoptera sp.
2.2. Aedes aegypti, Anopheles albimanus, and Culex quinquefasciatus
2.2.1. Alkaloids
2.2.2. EOs
2.2.3. Plant Extracts
2.3. Anastrepha ludens
2.4. Bactericera Cockerelli
2.5. Bemisia tabaci
Plant Extracts
2.6. Copitarsia Decolora and Dactylopius Opuntiae
2.7. Leptinotarsa decemlineata
2.8. Prostephanus truncates
2.9. Sitophilus zeamais
2.9.1. Terpenes
2.9.2. EOs
2.9.3. Plant Extracts
2.10. Stomoxys calcitrans and Scyphophorus acupunctatus
2.11. Tenebrio molitor and Trichoplusia ni
2.12. Trialeurodes vaporariorum
2.12.1. EOs
2.12.2. Plant Extracts
2.13. Zabrotes subfasciatus
EOs
3. Nematicidal Compounds and Plant Extracts
3.1. Plant Extracts Effective against Parasitic Plant Nematodes
3.1.1. Meloidogyne javanica
3.1.2. Nacobbus aberrans
3.1.3. Meloidogyne incognita
3.2. Plant Extracts with Activity against Parasitic Animal Nematodes
3.2.1. Ascaridia galli
3.2.2. Cooperia puntacta
3.2.3. Cyatostomin sp.
3.2.4. Haemonchus sp.
Haemonchus placei
Haemonchus contortus
3.2.5. Trichostongyus colubriformis
4. Conclusions
Author Contributions
Funding
Conflicts of Interest
References
- Czaja, K.; Góralczyk, K.; Struciński, P.; Hernik, A.; Korczn, W.; Minorczyk, M.; Lyczewska, M.; Ludwicki, J.K. Biopesticides-towards increased consumer safety in the European Union. Pest. Manag. Sci. 2015, 71, 3–6. [Google Scholar] [CrossRef] [PubMed]
- Cantrell, C.L.; Dayan, F.E.; Duke, S.O. Natural products as sources for new pesticides. J. Nat. Prod. 2012, 75, 1231–1242. [Google Scholar] [CrossRef] [PubMed]
- Hüter, O.F. Use of natural products in the crop protection industry. Phytochem. Rev. 2011, 10, 185–194. [Google Scholar] [CrossRef]
- Georgiev, M.I. From plants to pharmacy shelf. Natural products revival. Phytochem. Rev. 2016, 15, 511–513. [Google Scholar] [CrossRef]
- Céspedes, C.L.; Alarcon, J.E.; Aqueveque, P.; Seigler, D.S.; Kubo, I. In the search for new secondary metabolites with biopesticidal properties. Israel. J. Plant. Sci. 2015, 62, 216–228. [Google Scholar] [CrossRef]
- Isman, M. Bridging the gap: Moving botanical insecticides from the laboratory to the Farm. Ind. Crops Prod. 2017, 110, 10–11. [Google Scholar] [CrossRef]
- Andrés, M.F.; González-Coloma, A.; Sanz, J.; Burillo, J.; Sainz, P. Nematicidal activity of essential oils: A review. Phytochem. Rev. 2012, 11, 371–390. [Google Scholar] [CrossRef]
- Spiegler, V.; Liebau, E.; Hensel, A. Medicinal plants extracts and plant-derived polyphenols with anthelmintic activity against intestinal nematodes. Nat. Prod. Rep. 2017, 34, 627–643. [Google Scholar] [CrossRef] [PubMed]
- Walia, S.; Saha, S.; Tripathi, V.; Sharma, K.K. Phytochemical biopesticides: Some recent developments. Phytochem. Rev. 2018, 16, 989–1007. [Google Scholar] [CrossRef]
- Villaseñor, J.L. Checklist of the native vascular plants of Mexico. Rev. Mex. Biodivers. 2016, 87, 550–902. [Google Scholar] [CrossRef]
- Coronado-Aceves, E.W.; Sánchez-Escalante, J.J.; López-Cervantes, J.; Robles-Zepeda, R.E.; Velázquez, C.; Sánchez-Machado, D.I.; Garibay-Escobar, A. Antimycobacterial activity of medicinal plants used by the Mayo people of Sonora, Mexico. J. Ethnopharmacol. 2016, 190, 106–115. [Google Scholar] [CrossRef] [PubMed]
- Alanis Garza, B.A.; López Arroyo, J.; González González, G.; Garza González, E.; Waksman de Torres, N.; Salazar Aranda, R. Anti-fungal and anti-mycobacterial activity of plants of Nuevo Leon, Mexico. Pak. J. Pharma. Sci. 2017, 30, 17–21. [Google Scholar]
- Jacobo-Herrera, N.J.; Jacob-Herrera, F.E.; Zentella-Dehesa, A.; Andrade-Cetto, A.; Heinrich, M.; Pérez-Plasencia, C. Medicinal plants used in Mexican traditional medicine for the treatment of colorectal cancer. J. Ethnopharmacol. 2016, 179, 391–402. [Google Scholar] [CrossRef] [PubMed]
- Ramirez-Mares, M.V.; Hernandez-Carlos, B. Plant -derived natural products from the American continent for the control of phytopathogenic fungi: A review. J. Glob. Innov. Agric. Soc. Sci. 2015, 3, 96–118. [Google Scholar] [CrossRef]
- Céspedes, C.L.; Alarcon, J.; Aqueveque, P.M.; Lobo, T.; Becerra, J.; Balbotin, C.; Avila, J.G.; Kubo, I.; Seigler, D.S. New environmentally-friendly antimicrobials and biocides from Andean and Mexican biodiversity. Environ. Res. 2015, 142, 549–562. [Google Scholar] [CrossRef] [PubMed]
- Guzman-Pantoja, L.E.; Lina-Garcia, L.P.; Bustos-Zagal, G.; Hernandez-Velazquez, V.M. Current status: Mexican medicinal plants with insecticidal potential. In Bioactive Compounds in Phytomedicine; Rasooli, I., Ed.; Intech: Rijeka, Croatia, 2012; Volume 1, pp. 39–66. ISBN 978-953-307-805-2. [Google Scholar]
- Rosado-Aguilar, J.A.; Arjona-Cambranes, K.; Torres-Acosta, J.F.J.; Rodríguez-Vivas, R.I.; Aguilar-Caballero, A.J. Plant products and secondary metabolites with acaricide activity against ticks. Vet. Parasitol. 2017, 238, 66–76. [Google Scholar] [CrossRef] [PubMed]
- Salehi, B.; Valussi, M.; Morais-Braga, M.F.B.; Coutinho, H.D.M.; Leal, A.L.A.B.; Mehdi Sharifi-Rad, M.; Vitalini, S.; Kregiel, D.; Antolak, H.; Marcello Iriti, M.; et al. Tagetes spp. essential oils and other extracts: Chemical characterization and biological activity. Molecules 2018, 23, 2847. [Google Scholar] [CrossRef] [PubMed]
- Céspedes, C.L.; Torres, P.; Marın, J.C.; Arciniegas, A.; Romo de Vivar, A.; Pérez-Castorena, A.L.; Aranda, E. Insect growth inhibition by tocotrienols and hydroquinones from Roldana barba-johannis. Phytochemistry 2004, 65, 1963–1975. [Google Scholar] [CrossRef] [PubMed]
- Céspedes, C.L.; Martínez-Vázquez, M.; Calderón, J.S.; Salazar, J.R.; Aranda, E. Insect growth regulatory activity of some extracts and compounds from Parthenium argentatum on fall armyworm Spodoptera frugiperda. Z. Naturforsch. 2001, 56, 95–105. [Google Scholar] [CrossRef]
- Calderón, J.S.; Céspedes, C.L.; Rosas, R.; Gómez-Garibay, F.; Salazar, J.R.; Lina, L.; Aranda, E.; Kubo, I. Acetylcholinesterase and insect growth activities of Gutierrezia microcephala on fall Army worm Spodoptera frugiperda J.E. Smith. Z. Naturforsch. 2001, 56, 382–394. [Google Scholar]
- Céspedes, C.; Calderón, J.S.; Lina, L.; Aranda, E. Growth inhibitory effects on fall armyworm Spodoptera frugiperda of some limonoids isolated from Cedrela spp. (Meliaceae). J. Agric. Food. Chem. 2000, 48, 1903–1908. [Google Scholar] [CrossRef] [PubMed]
- Villegas Gómez, C.; Martínez Vázquez, M.; Esquivel, B. Antifeedant activity of anticopalic acid isolated from Vitex hemsleyi. Z. Naturforsch. 2009, 64, 502–508. [Google Scholar] [CrossRef]
- Céspedes, C.L.; Salazar, J.R.; Martínez, M.; Aranda, E. Insect growth regulatory effects of some extracts and sterols from Myrtillocactus geometrizans (Cactaceae) against Spodoptera frugiperda and Tenebrio molitor. Phytochemistry 2005, 66, 2481–2493. [Google Scholar] [CrossRef] [PubMed]
- Valladares-Cisneros, M.G.; Rios-Gomez, M.Y. Iridoids from Crescentia alata. J. Nat. Prod. 2007, 70, 100–102. [Google Scholar] [CrossRef] [PubMed]
- Valladares-Cisneros, M.G.; Rios-Gomez, M.Y.; Aldana-Llanos, L.; Valdes-Estrada, M.E.; Gutiérrez-Ochoa, M. Biological activity of Crescentia alata (Lamiales: Bignoniaceae) fractions on larvae of Spodoptera frugiperda (Lepidoptera: Noctuidae). Fla. Entomol. 2014, 97, 770–777. [Google Scholar] [CrossRef]
- Guevara, P.; Reyna-Segura, J.; Zuñiga-Ruiz, B.; Llanos-Romero, R.E.; Andrés-Yeves, M.F.; Barajas-Guzmán, M.G.; Echeverri, F.; León-Rivera, I. Biocidal effect of a hexane-soluble extract of Lippia graveolens Kunth (Verbenaceae). Bol. Latinoam. Caribe Plant. Med. Aromat. 2018, 17, 342–349. [Google Scholar]
- Simmonds, M.S.J.; Blaney, W.M.; Esquivel, B.; Rodriguez-Hann, L. Effect of clerodane-type diterpenoids isolated from Salvia spp. On the feeding behavior of Spodoptera littoralis. Pestic. Sci. 1996, 47, 17–23. [Google Scholar] [CrossRef]
- Burgueño-Tapia, E.; González-Coloma, A.; Martín-Benito, D.; Joseph-Nathan, P. Antifeedant and phytotoxic activity of cacalolides and eremophilanolides. Z. Naturforsch. 2007, 62, 362–366. [Google Scholar] [CrossRef]
- Ayil-Gutiérrez, B.A.; Villegas-Mendoza, J.M.; Santes-Hernández, Z.; Paz-González, A.D.; Mireles-Martínez, M.; Rosas-García, N.M.; Rivera, G. Ruta graveolens extracts and metabolites against Spodoptera frugiperda. Nat. Prod. Comm. 2015, 10, 1955–1958. [Google Scholar]
- Torres, P.; Avila, J.G.; Romo de Vivar, A.; García, A.M.; Marín, J.C.; Aranda, E.; Céspedes, C.L. Antioxidant and insect growth regulatory activities of stilbenes and extracts from Yucca periculosa. Phytochemistry 2003, 64, 463–473. [Google Scholar] [CrossRef]
- Pérez-Gutiérrez, S.; Zavala-Sánchez, M.A.; González-Chávez, M.M.; Cárdenas-Ortega, N.C.; Ramos-López, M.A. Bioactivity of Carica papaya (Caricaceae) against Spodoptera frugiperda (Lepidoptera: Noctuidae). Molecules. 2011, 16, 7502–7509. [Google Scholar] [CrossRef] [PubMed]
- Ramos-López, M.A.; González-Chávez, M.M.; Cárdenas-Ortega, N.C.; Zavala-Sánchez, M.A.; Pérez, S. Activity of the main fatty acid components of the hexane leaf extract of Ricinus communis against Spodoptera frugiperda. Afr. J. Biotechnol. 2012, 11, 4274–4278. [Google Scholar] [CrossRef]
- Armendariz, J.; Lapuerta, M.; Zavala, F.; García-Zambrano, E.; Ojeda, M.C. Evaluation of eleven genotypes of castoroil plant (Ricinus communis L.) for the production of biodiesel. Ind. Crop Prod. 2015, 77, 484–490. [Google Scholar] [CrossRef]
- Franco Archundia, S.L.; Jiménez Pérez, A.; Luna León, C.; Figueroa Brito, R. Efecto tóxico de semillas de cuatro variedades de Carica papaya (Caricaceae) en Spodoptera frugiperda (lepidoptera: Noctuidae). Folia Entomol. Mex. 2006, 45, 171–177. [Google Scholar]
- Figueroa Brito, R.; Huerta-de la Peña, A.; Pérez-Moreno, I.; Mancebón, V.S.M.; López-Olguín, J.F. Insecticidal activity of seed extracts of Carica papaya (L.) against the fall armyworm Spodoptera frugiperda (JE Smith) (Lepidoptera: Noctuidae). Interciencia 2011, 36, 752–756. [Google Scholar]
- Bermúdez-Torres, K.; Martínez Herrera, J.; Figueroa-Brito, R.; Wink, M.; Legal, L. Activity of quinolizidine alkaloids from three Mexican Lupinus against the lepidopteran crop pest Spodoptera frugiperda. BioControl 2009, 54, 459–466. [Google Scholar] [CrossRef]
- De la Torre-Anzúres, J.; Aragón-García, A.; Pérez-Torres, B.C.; López-Olguín, J.F. Actividad Biológica de un extracto de semillas de Trichilia havanensis Jacq. Sobre larvas de Spodoptera exigua (Hübner). Southwest. Entomol. 2017, 42, 1069–1077. [Google Scholar] [CrossRef]
- Rodríguez-López, V.; Figueroa-Suarez, M.Z.; Rodríguez, T.; Aranda, E. Insecticidal activity of Vitex mollis. Fitoterapia 2007, 78, 37–39. [Google Scholar] [CrossRef] [PubMed]
- Aldana-Llanos, L.; Salinas-Sánchez, D.O.; Valdés-Estrada, M.E.; Gutiérrez-Ochoa, M.; Rodríguez Flores, E.Y.; Navarro-García, V.M. Biological activity of dose extracts of Tagetes erecta L. on Spodoptera frugiperda (J. E. Smith). Southwest. Entomol. 2012, 37, 31–38. [Google Scholar] [CrossRef]
- Aldana Llanos, L.; Salinas Sánchez, D.O.; Valdés Estrada, M.E.; Gutiérrez Ochoa, M.; Valladares Cisneros, M.G. Evaluación bioinsecticida de extractos de Bursera copallifera (D.C.) Bullock y Bursera grandifolia (Schledl.) Engl. En gusano cogollero Spodoptera frugiperda J.E. Smith (Lepidoptera: Noctuidae). Polibotánica 2010, 29, 149–158. [Google Scholar]
- Cárdenas, R.; Reguera-Serrano, J.J.; Llanos-Romero, E.; Aguirre-Hernández, E.; Herrera-Santoyo, J.; Zuñiga, B.; Rodarte, B.; Alba-Lois, L.; Guevara-Fefer, P. Effects of organic extracts of Bursera copallifera and B. lancifolia leaves in the development of Spodoptera frugiperda. J. Entomol. 2012, 9, 115–122. [Google Scholar] [CrossRef]
- Guzmán-Pantoja, L.E.; Guevara-Fefer, P.; Villarreal-Ortega, M.L.; León-Rivera, I.; Aranda-Escobar, E.; Martínez-Peniche, R.A.; Hernández-Velázquez, V.M. Biological activity of Ipomoea pauciflora Martens and Galeotti (Convolvulaceae) extracts and fractions on larvae of Spodoptera frugiperda J. E. Smith (Lepidoptera: Noctuidae). Afr. J. Biotechnol. 2010, 9, 3659–3665. [Google Scholar] [CrossRef]
- Zavala-Sánchez, M.A.; Pérez-Gutiérrez, S.P.; Romo-Asunción, D.; Cárdenas-Ortega, N.C.; Ramos López, M.A. Activity of four Salvia species against Spodoptera frugiperda (JE Smith) (Lepidoptera: Noctuidae). Southwest. Entomol. 2013, 38, 67–73. [Google Scholar] [CrossRef]
- Vera Curzio, L.G.; Hernández Velázquez, V.M.; León Rivera, I.; Guevara Fefer, P.; Aranda Escobar, E. Biological activity of methanolic extracts of Ipomoea murucoides Roem et Schult on Spodoptera frugiperda J.E. Smith. J. Entomol. 2009, 6, 109–116. [Google Scholar]
- Hernández-Morales, A.; Arvizu-Gómez, J.L.; Carranza-Álvarez, C.; Gómez-Luna, B.E.; Alvarado-Sánchez, B.; Ramírez-Chávez, E.; Molina-Torres, J. Larvicidal activity of affinin and its derived amides from Heliopsis longipes A. Gray Blake against Anopheles albimanus and Aedes aegypti. J. Asia-Pac. Entomol. 2015, 18, 227–231. [Google Scholar] [CrossRef]
- García-Mateos, R.; Pérez-Pacheco, R.; Rodríguez-Hernández, C.; Soto-Hernánez, M. Toxicidad de alcaloides de Erythrina americana en larvas de mosquito Culex quinquefasciatus. Rev. Fitotec. Mex. 2004, 27, 297–303. [Google Scholar]
- Villa-Ruano, N.; Pacheco-Hernández, Y.; Rubio-Rosas, E.; Lozoya-Gloria, E.; Mosso-González, C.; Ramón-Canul, L.G.; Cruz-Durán, R. Essential oil composition and biological/pharmacological properties of Salmea scandens (L.) DC. Food Control. 2015, 57, 177–184. [Google Scholar] [CrossRef]
- Granados-Echegoyen, C.; Pérez-Pacheco, R.; Alonso-Hernández, N.; Vázquez-López, A.; Lagunez-Rivera, L.; Rojas-Olivos, A. Chemical characterization and mosquito larvicidal activity of essential oil from leaves of Persea americana Mill (Lauraceae) against Culex quinquefasciatus (Say). Asian. Pac. J. Trop. Dis. 2015, 5, 463–467. [Google Scholar] [CrossRef]
- Granados-Echegoyen, C.; Pérez-Pacheco, R.; Soto-Hernández, M.; Ruiz-Vega, J.; Lagunez-Rivera, L.; Alonso-Hernández, N.; Gato-Armas, R. Inhibition of the growth and development of mosquito larvae of Culex quinquefasciatus (Diptera: Culicidae) treated with extract from leaves of Pseudocalymma alliaceum (Bignonaceae). Asian. Pac. J. Trop. Med. 2014, 7, 594–601. [Google Scholar] [CrossRef]
- Ruiz-Guerrero, R.; Rodríguez-Pérez, M.A.; Norzagaray-Campos, M. Toxicity of Mexican native plant extracts against larvae of Aedes aegypti (Diptera: Culicidae). Asian. Pac. J. Trop. Biomed. 2015, 5, 287–291. [Google Scholar] [CrossRef]
- De la Torre Rodríguez, Y.C.; Martínez Estrada, F.R.; Flores Suárez, A.E.; Waksman de Torres, N.; Salazar Aranda, R. Larvicidal and cytotoxic activities of extracts from 11 native plants from northeastern Mexico. J. Med. Entomol. 2013, 50, 310–313. [Google Scholar] [CrossRef] [PubMed]
- Martinez-Tomas, S.H.; Pérez-Pacheco, R.; Rodríguez-Hernández, C.; Ramírez-Valverde, G.; Ruiz-Vega, J. Effects of an aqueous extract of Azadirachta indica on the growth of larvae and development of pupae of Culex quinquefasciatus. Afri. J. Biotech. 2009, 8, 4245–4250. [Google Scholar]
- González-Esquinca, A.R.; Luna-Cazáres, L.M.; Guzmán, M.A.S.; De la Cruz-Chacón, I.; Laguna-Hernández, G.; Flores-Breceda, S.; Montoya-Gerardo, P. In vitro larvicidal evaluation of Annona muricata L., A, diversifolia Saff. and A. lutescens Saff. extracts against Anastrepha ludens larvae (Diptera: Tephritidae). Interciencia 2012, 37, 284–289. [Google Scholar]
- Flores-Estévez, N.; Vasquez-Morales, S.G.; Cano-Medina, T.; Sánchez-Velásquez, L.R.; Noa-Carranza, J.C.; Díaz-Fleischer, F. Insecticidal activity of raw ethanolic extracts from Magnolia dealbata Zucc on a tephritid pest. J. Environ. Sci. Health. B. 2013, 48, 582–586. [Google Scholar] [CrossRef] [PubMed]
- Flores-Dávila, M.; González-Villegas, R.; Guerrero-Rodríguez, E.; Mendoza-Villarreal, R.; Cárdenas-Elizondo, A.; Cerna-Chavez, E.; Aguirre-Uribe, L. Insecticidal effect of plant extracts on Bactericera cockerelli (Hemiptera: Psyllidae) nymphs. Southwest. Entomol. 2011, 36, 137–144. [Google Scholar] [CrossRef]
- Cruz-Estrada, A.; Gamboa-Angulo, M.; Borges-Argáez, R.; Ruiz-Sánchez, E. Insecticidal effects of plant extracts on immature whitefly Bemisia tabaci Genn. (Hemiptera: Aleyroideae). Electron. J. Biotechnol. 2013, 16, 1–9. [Google Scholar] [CrossRef]
- Herbert-Doctor, L.A.; Saavedra-Aguilar, M.; Villarreal, M.L.; Cardoso-Taketa, A.; Vite-Vallejo, O. Insecticidal and nematicidal effects of Agave tequilana juice against Bemisia tabaci and Panagrellus redivivus. Southwest. Entomol. 2016, 41, 27–40. [Google Scholar] [CrossRef]
- Castillo-Sánchez, L.E.; Jiménez-Osornio, J.J.; Delgado-Herrera, M.A. The in vitro biological activity of Capsicum chinense Jacq extract against Bemisia tabaci Genn. Rev. Chapingo. Ser. Hortic. 2012, 18, 345–356. [Google Scholar] [CrossRef]
- Vite-Vallejo, O.; Barajas-Fernández, M.G.; Saavedra-Aguilar, M.; Cardoso-Taketa, A. Insecticidal Effects of Ethanolic Extracts of Chenopodium ambrosioides, Piper nigrum, Thymus vulgaris, and Origanum vulgare against Bemisia tabaci. Southwest. Entomol. 2018, 43, 303–393. [Google Scholar] [CrossRef]
- Ail-Catzim, C.E.; García-López, A.M.; Troncoso-Rojas, R.; González-Rodríguez, R.E.; Sánchez-Segura, Y. Insecticidal and repellent effect of extracts of Pluchea sericea (Nutt.) on adults of Bemisia tabaci (Genn.). Rev. Chapingo Ser. Hortic. 2015, 21, 33–41. [Google Scholar] [CrossRef]
- Vázquez-Covarrubias, D.A.; Jiménez-Pérez, A.; Castrejón-Ayala, F.; Figueroa-Brito, R.; Montes Belmont, R. Effects of five species of Chenopodiaceae on the development and reproductive potential of Copitarsia decolora (Lepidoptera: Noctuidae). Fla. Entomol. 2015, 98, 80–85. [Google Scholar] [CrossRef]
- Vázquez-García, M.; Garabito-Espinoza, S.; Tabares-Vega, J.; Castillo-Herrera, G. Essential oils from aromatic plant species and insecticidal effects on Dactylopius opuntiae (Cockerell) (Homoptera: Dactylopiidae) in mobile juveniles. Acta Hort. 2010, 894, 215–223. [Google Scholar] [CrossRef]
- Martínez-Evaristo, X.C.; Borboa-Flores, J.; Wong-Corral, F.J.; Cinco-Moroyoqui, F.J.; Del-Toro-Sánchez, C.L.; González-de León, A.; Ortega-Nieblas, M.M.; Cornejo-Ramírez, Y.I.; Osuna-Amarillas, P.S.; Cabral-Torres, F.A. Insecticidal efficacy and repellency of oregano (Lippia palmeri) essential oil for control of Sitophilus zeamais and Prostephanus truncatus in stored maize. Southwest. Entomol. 2015, 40, 713–720. [Google Scholar] [CrossRef]
- Reyes-Chilpa, R.; Jiménez-Estrada, M.; Cristóbal-Telésforo, E.; Torres-Colín, L.; Villavicencio, M.A.; Pérez-Escandón, B.E.; Mercado-González, R. Natural insecticides from Hippocratea excelsa and Hippocratea celastroides. Econ. Bot. 2003, 57, 54–64. [Google Scholar] [CrossRef]
- Pimienta-Ramírez, L.; García-Rodríguez, Y.M.; Ríos-Ramírez, E.M.; Lindig-Cisneros, R.; Espinoza-García, F.J. Chemical composition and evaluation of the essential oil from Eupatorium glabratum as biopesticide against Sitophilus zeamais and several stored maize fungi. J. Essent. Oil. Res. 2015, 28, 113–120. [Google Scholar] [CrossRef]
- Juárez-Flores, B.I.; Jasso-Pineda, Y.; Aguirre-Rivera, J.R.; Jasso- Pineda, I. Efecto de polvos de asteráceas sobre el gorgojo del maíz (Sitophilus zeamais Motsch). Polibotánica 2010, 30, 123–135. [Google Scholar]
- Anaya, A.N.; Macías-Rubalcava, M.; Cruz-Ortega, R.; García-Santana, C.; Sánchez-Monterrubio, P.N.; Hernández-Butista, B.E.; Mata, R. Allelochemicals from Stauranthus perforatus, a Rutaceous tree of the Yucatan peninsula, Mexico. Phytochemistry 2005, 66, 487–494. [Google Scholar] [CrossRef] [PubMed]
- Camacho, M.D.R.; Sanchez, B.; Quiroz, H.; Contreras, J.L.; Mata, R. Pinocembrine: A bioactive flavanone from Teloxys graveolens. J. Ethnopharmacol. 1991, 31, 383–389. [Google Scholar] [CrossRef]
- Valdés-Estrada, M.E.; Aldana-Llanos, L.; Hernández-Reyes, M.C.; Gutiérrez-Ochoa, M.; Figueroa-Brito, R. Toxicidad de polvos vegetales en larvas de Scyphophorus acupunctatus Gyllenhal. Coleoptera: Curculionidae). Southwes. Entomol. 2014, 39, 595–599. [Google Scholar]
- Nuñez-Mejía, G.; Valadez-Lira, J.A.; Gomez-Flores, R.; Rodríguez-Padilla, C.; Tamez-Guerra, P. Trichoplusia ni (Lepidoptera: Noctuidae) survival, immune response, and gut bacteria changes after exporure to Azadirachta indica (Sapindales: Meliaceae) volatiles. Fla. Entomol. 2016, 99, 12–20. [Google Scholar] [CrossRef]
- Camarillo, G.; Ortega, L.D.; Serrato, M.A.; Rodríguez, C. Biological activity of Tagetes filifolia (Asteraceae) on Trialeurodes vaporariorum (Hemiptera: Aleyrodidae). Rev. Colomb. Entomol. 2009, 35, 177–184. [Google Scholar]
- Mendoza-García, E.E.; Ortega-Arenas, L.D.; Pérez-Pacheco, R.; Rodríguez-Hernández, C. Repellency, toxicity, and oviposition inhibition of vegetable extracts against greenhouse whitefly Trialeurodes vaporariorum (Westwood) (Hemiptera: Aleyrodidae). Chilean. J. Agric. Res. 2014, 74, 41–48. [Google Scholar] [CrossRef]
- García-Mateos, M.R.; Sánchez, E.E.; Espinosa-Robles, P.; Álvarez-Sánchez, M.E. Toxicity of Petiveria alliacea L. on greenhouse whitefly (Trialeurodes vaporariorum West.). Interciencia 2007, 32, 121–124. [Google Scholar]
- Ángeles-Martínez, O.; García-Mateos, M.R.; Rodríguez-Pérez, E.; Sánchez-Álvarez, E.; Soto-Hernández, M. Toxicidad de extractos vegetales para el control de Trialeurodes vaporariorum W. (Homoptera: Aleyrodidae) en laboratorio y en cultivo de tomate en invernadero. J. Agric. Univ. PR. 2011, 95, 117–132. [Google Scholar]
- López-Pérez, E.; Rodríguez-Hernández, C.; Ortega-Arenas, L.D.; Garza-García, R. Biological activity of Senecio salignus root against Zabrotes subfasciatus in stored bean. Agrociencia 2007, 41, 95–102. [Google Scholar]
- Ortega-Nieblas, M.M.; Robles Burgueño, M.R.; Vázquez-Moreno, L.; Cortez-Mondaca, E.; González-León, A.; Morales-Trejo, A.; González-Rios, H. Efecto tóxico y persistente del aceite esencial del orégano contra Zabrotes subfasciats (Coleoptera: Bruchidae) en frijol almacenado. Southwest. Entomol. 2014, 39, 147–161. [Google Scholar] [CrossRef]
- Hernández-Carlos, B.; González-Coloma, A.; Orozco-Valencia, A.U.; Ramírez-Mares, M.V.; Andrés-Yeves, M.F.; Joseph-Nathan, P. Bioactive saponins from Microsechium helleri and Sicyos bulbosus. Phytochemistry 2011, 72, 743–751. [Google Scholar] [CrossRef] [PubMed]
- Godinez-Vidal, D.; Soto-Hernández, M.; Rocha Sosa, M.; Lozaya-Gloria, E.; Rojas-Martínez, R.I.; Guevara-Olvera, L.; Zavaleta-Mejía, E. Contenido de capsidiol en raíces de chile CM-334 infectadas por Nacobbus aberrans y su efecto en juveniles del Segundo estadío. Nematropica. 2010, 40, 227–237. [Google Scholar]
- Herrera-Parra, E.; Cristóbal-Alejo, J.; Tún-Suárez, J.M.; Gamboa-Angulo, M.M.; Marbán-Mendoza, N. Extractos acuosos de Calea urticifolia para el control de Meloidogyne incognita. Nematropica 2009, 39, 289–296. [Google Scholar]
- Cristóbal-Alejo, J.; Tun-Suárez, J.M.; Moguel-Catzin, S.; Marbán-Mendoza, N.; Medina-Baizabal, L.; Simá-Polanco, P.; Peraza-Sánchez, E.R.; Gamboa-Angulo, M.M. In vitro sensitivity of Meloidogyne incognita to extracts from native Yucatecan plants. Nematropica 2006, 36, 89–97. [Google Scholar]
- Von Son-de Fernex, E.; Alonso Díaz, M.A.; Mendoza de Gives, P.; Valles de la Mora, B.; Zamilpa, A.; González-Cortasar, M. Actividad ovicida de extractos de cuatro especies de plantas contra el nematodo gastrointestinal Cooperia punctate. Vet. Mex. 2016, 3, 10–25. [Google Scholar] [CrossRef]
- Von Son-de Fernex, E.; Alonso-Díaz, M.A.; Mendoza-de Gives, P.; Valles-de la Mora, B.; Castillo Gallegos, E. Elucidation of Leucaena leucocephala anthelmintic-like phytochemicals and the ultrastructural damage generated to eggs of Cooperia spp. Vet. Parasitol. 2015, 214, 89–95. [Google Scholar] [CrossRef] [PubMed]
- Von Son-de Fernex, E.; Alonso-Díaz, M.A.; Valles-de la Mora, B.; Mendoza-de Gives, P.; González-Cortazar, M.; Zamilpa, A. Anthelmintic effect of 2H-chromen-2-one isolated from Gliricidia sepium against Cooperia punctate. Exp. Parasitol. 2017, 178, 1–6. [Google Scholar] [CrossRef] [PubMed]
- Von Son-de Fernex, E.; Alonso-Díaz, M.A.; Valles-de la Mora, B.; Mendoza-de Gives, P.; Castillo Gallegos, E.; Zamilpa, A.; González-Cortazar, M. Effect of Gliricidia sepium leaves intake on larval establishment of Cooperia punctata in calves and bio-guided fractionation of bioactive molecules. Vet. Parasitol. 2018, 252, 137–141. [Google Scholar] [CrossRef] [PubMed]
- Flota-Burgos, G.J.; Rosado-Aguilar, J.A.; Rodríguez-Vivas, R.I.; Arjona-Cambranes, K.A. Anthelminthic activity of methanol extracts of Diospyros anisandra and Petiveria alliacea on cyathostomin (Nematoda: Cyathostominae) larval development and egg hatching. Vet. Parasitol. 2017, 248, 74–79. [Google Scholar] [CrossRef] [PubMed]
- Olmedo-Juarez, A.; Rojo-Rubio, R.; Mendoza-de Gives, P.; Vázquez-Armijo, J.F.; Albarran-Portillo, B.; Garcia-Hernandez, C. Ovicidal effect of the fruit and leaf of Caesalpinia coriaria against Haemonchus contortus and Haemonchus placei. J. Animal Sci. 2017, 95, 15. [Google Scholar] [CrossRef]
- Hernández-Villegas, M.M.; Borges-Argáez, R.; Rodriguez-Vivas, R.I.; Torres-Acosta, J.F.J.; Méndez-González, M.; Cáceres-Farfan, M. Ovicidal and larvicidal activity of the crude extracts from Phytolacca icosandra against Haemonchus contortus. Vet. Parasitol. 2011, 179, 100–106. [Google Scholar] [CrossRef] [PubMed]
- Pérez-Pérez, C.; Hernández-Villegas, M.M.; de la Cruz-Burelo, P.; Bolio-López, G.I.; Hernández-Bolio, G.I. Efecto antihelmíntico in vitro del extracto metanólico de hojas de Gliricida sepium contra nematodos gastrointestinales en ovinos. Trop. Subtrop. Agroecosyst. 2014, 17, 105–111. [Google Scholar]
- Castillo-Mitre, G.F.; Olmedo-Juárez, A.; Rojo-Rubio, R.; González-Cortázar, M.; Mendoza-de Gives, P.; Vázquez-Armijo, J.F.; Hernández-Beteta, E.E.; Reyes-Guerrero, D.E.; López-Arellan, M.E.; Vazquez-Armijo, G.; et al. Caffeoyl and coumaroyl derivatives from Acacia cochliacantha exhibit ovicidal activity against Haemonchus contortus. J. Ethnopharmacol. 2017, 204, 125–131. [Google Scholar] [CrossRef] [PubMed]
- Marroquín-Tun, M.A.; Higuera-Piedrahita, R.I.; López-Arellano, M.E.; López-Arellano, R.; Cruz-Cruz, H.A.; Silva-Mendoza, R.; Cuéllar-Ordaz, J.A. Efecto in vitro de los extractos hidroalcohólico y etanólico de semilla de papaya (Carica papaya) en Haemonchus contortus. Ciencia Y Agric. 2018, 15, 53–59. [Google Scholar] [CrossRef]
- López, J.; Ibarra, O.F.; Cantó, G.J.; Vásquez, C.G.; Tejada, Z.I.; Shimada, A. In vitro effect of condensed tannins from tropical fodder crops against eggs and larvae of the nematode Haemonchus contortus. J. Food. Agric. Environ. 2005, 3, 191–194. [Google Scholar]
- Alonso-Díaz, M.A.; Torres-Acosta, J.F.J.; Sandoval-Castro, C.A.; Aguilar-Caballero, A.J.; Hoste, H. In vitro larval migration and kinetics of exsheathment of Haemonchus contortus larvae exposed to four tropical tanniniferous plant extracts. Vet. Parasitol. 2008, 153, 313–319. [Google Scholar] [CrossRef] [PubMed]
- Vargas-Magaña, J.J.; Torres-Acosta, J.F.J.; Aguilar-Caballero, A.J.; Sandoval-Castro, C.A.; Hoste, H.; Chan-Pérez, J.I. Anthelmintic activity of acetone–water extracts against Haemonchus contortus eggs: Interactions between tannins and other plant secondary compounds. Vet. Parasitol. 2014, 206, 3–4. [Google Scholar] [CrossRef]
- Castañeda-Ramírez, G.S.; Rodríguez-Labastida, M.; Ortiz-Campo, G.I.; González-Pech, P.G.; Ventura-Cordero, J.; Borges-Argaéz, R.; Torres-Acosta, J.F.J.; Sandoval-Castro, C.A.; Mathieu, C. An in vitro approach to evaluate the nutraceutical value of plant foliage against Haemonchus contortus. Pararasitol. Res. 2018, 117, 3979–3991. [Google Scholar] [CrossRef] [PubMed]
- López-Aroche, U.; Salinas-Sánchez, D.O.; Mendoza de Gives, P.; López-Arellano, M.E.; Liebano-Hernández, E.; Valladares-Cisneros, G.; Arias-Ataide, D.M.; Hernández Velázquez, V. In vitro nematicidal effects of medicinal plants from the Sierra de Huautla, Biosphere Reserve, Morelos, Mexico against Haemonchus contortus infective larvae. J. Helminthol. 2008, 82, 25–31. [Google Scholar] [CrossRef] [PubMed]
- Espinosa-Moreno, J.; Centurión-Hidalgo, D.; Vera y Cuspinera, G.G.; Pérez-Castañeda, E.; Zaragoza-Vera, C.V.; Martínez-Martínez, S.; Mendoza-de-Gives, P.; González-Cortázar, M. Actividad antihelmíntica in vitro de tres especies vegetales utilizadas tradicionalmente en Tabasco, México. Polibotanica 2016, 4, 91–100. [Google Scholar] [CrossRef]
- García, J.E.; Gómez, L.; Mendoza-de-Gives, P.; Rivera-Corona, J.L.; Millán-orozco, J.; Ascacio, J.A.; Medina, M.A.; Mellado, M. Anthelmintic efficacy of hydro-methanolic extracts of Larrea tridentata against larvae of Haemonchus contortus. Trop. Ani. Health Prod. 2018, 50, 1099–1105. [Google Scholar] [CrossRef] [PubMed]
- Palacios-Landín, J.; Mendoza-de Gives, P.; Salinas-Sánchez, D.O.; López-Arellano, M.A.; Liébano-Hernández, E.; Hernández-Velázquez, V.M.; Valladares-Ciscneros, M.A. In vitro and in vivo nematocidal activity of Allium sativum and Tagetes erecta extracts against Haemonchus contortus. Türkiye. Parazitol. Derg. 2015, 39, 260–264. [Google Scholar] [CrossRef] [PubMed]
- Zamilpa, A.; García-Alanís, C.; López-Arellano, M.E.; Hernández-Velázquez, V.M.; Valladares-Cisneros, M.G.; Salinas-Sánchez, D.O.; Mendoza-de Gives, P. In vitro nematicidal effect of Chenopodium ambrosioides and Castela tortuosa n-hexane extracts against Haemonchus contortus (Nematoda) and their anthelmintic effect in gerbils. J. Helminthol. 2018, 1–6. [Google Scholar] [CrossRef] [PubMed]
- De Jesús-Gabino, A.F.; Mendoza-de Gives, P.; Salinas-Sánchez, D.O.; López-Arellano, M.E.; Liebano-Hernández, E.; Hernández-Velázquez, V.M.; Valladares-Cisneros, G. Anthelmintic effects of Prosopis laevigata n-hexanic extract against Haemonchus contortus in artificially infected gerbils (Meriones unguiculatus). J. Helminthol. 2010, 84, 71–75. [Google Scholar] [CrossRef] [PubMed]
- González-Cortazar, M.; Zamilpa, A.; López-Arellano, M.E.; Aguilar-Marcelino, L.; Reyes-Guerrero, D.E.; Olazarán-Jenkins, S.; Ramírez-Vargas, G.; Olmedo-Juárez, A.; Mendoza-de-Gives, P. Lysiloma acapulcensis leaves contain anthelmintic metabolites that reduce the gastrointestinal nematode egg population in sheep faeces. Comp. Clin. Pathol. 2018, 27, 189–197. [Google Scholar] [CrossRef]
- Hernández-Villegas, M.M.; Borges-Argáez, R.; Rodríguez-Vivas, R.I.; Torres-Acosta, J.F.J.; Cáceres-Farfán, M. In vivo anthelmintic activity of Phytolacca icosandra against Haemonchus contortus in goats. Vet. Parasitol. 2012, 189, 284–290. [Google Scholar] [CrossRef] [PubMed]
- González-Cruz, B.J.; Rodríguez-Labastida, M.; González-Cortázar, M.; Zamilpa, A.; López-Arellano, M.E.; Aguilar-Marcelino, L.; González-Garduño, R.; Torres-Acosta, J.F.J.; Olmedo-Juárez, A.; Mendoza-de Gives, P. In vitro larvicidal and in vivo anthelmintic effects of Oxalis tetraphylla (Oxalidaceae) hydroalcoholic extract against Haemonchus contortus in lambs. J. Helminthol. 2018, 92, 309–316. [Google Scholar] [CrossRef] [PubMed]
- León-Castro, Y.; Olivares-Pérez, J.; Rojas-Hernández, S.; Villa-Mancera, A.; Valencia-Almazán, M.T.; Hernández-Castro, E.; Cordova-Izquierdo, A.; Jiménez-Guillen, R. Effect of three fodder trees on Haemonchus contortus control and weight variations in kids. Eco. Rec. Agro. 2015, 2, 193–201. [Google Scholar]
- Alonso-Díaz, M.A.; Torres-Acosta, J.F.J.; Sandoval-Castro, C.A.; Capetillo-Leal, C.; Brunet, S.; Hoste, H. Effects of four tropical tanniniferous plant extracts on the inhibition of larval migration and the exsheathment process of Trichostrongylus colubriformis infective stage. Vet. Parasitol. 2008, 153, 187–192. [Google Scholar] [CrossRef] [PubMed]














| Insect | Species/Family | Plant Part | Compound/Extract (Toxicity) | Ref. |
|---|---|---|---|---|
| S. frugiperda | Roldana barba-johannis * Asteraceae | AP | Sargachromenol (1) (LD50 = 2.94 ppm on fifth instar, 24 h; LC50 = 19.12 ppm on first instar, 7 days) Methyl sargachromenol (2) (LD50 = 15.52 ppm on fifth instar, 24 h; LC50 = 20.76 on first instar, 7 days) Acetyl sargachromenol (3) (LD50 = 3.89 ppm on fifth instar, 24 h; LC50 = 33.31 ppm on first instar, 7 days) Sargahydroquinoic acid (4) (LD50 = 10.17 ppm on fifth instar, 24 h; LC50 = 5.77 on first instar, 7 days) Methyl sargahydroquinoic acid (5) (LD50 = 14.89 ppm on fifth instar, 24 h; LC50 = 62.02 on first instar, 7 days) Acetyl sargahydroquinoic acid (6) (LD50 = 4.83 ppm on fifth instar, 24 h; LC50 = 81.81 on first instar, 7 days) Sargaquinoic acid (7) Mixture 1, 3, and 7 (6:3:1) (LD50 = 9.23 ppm on fifth instar, 24 h; LC50 = 17.76 on first instar, 7 days) Acetylated Mixture (LD50 = 3.26 ppm on fifth instar, 24 h; LC50 = 5.77 on first instar, 7 days) | [19] |
| Parthenium argentatum * Asteraceae | AP | Argentatin A (8) (LD50 = 12.4 ppm on fifth instar, 24 h; LC50 = 17.8 ppm, 7 days; MC50 = 21.3 ppm, 7 days) Argentatin B (9) (LD50 = 19.8 ppm, on fifth instar, 24 h; LC50 = 36.1 ppm, 7 days; MC50 = 37 ppm, 7 days) Methanol (LD50 = 3.1 ppm, on fifth instar, 24 h; LC50 = 6.4 ppm, 7 days; MC50 = 6.9 ppm, 7 days) | [20] | |
| Gutierreza microcephala * Asteraceae | AP | Bacchabolivic acid (10) (MC50 = 10.7 ppm, 7 days; LD50 = 6.59 ppm, 24 h; 50 ppm: 90.2% IAche) Methyl ester of 10 (10a) (MC50 = 3.46 ppm, 7 days; LD50 = 15.05 ppm, 24 h; 50 ppm: 60% IAche) | [21] | |
| Cedrela dugessi * Meliaceae | Leaves | α and β-Photogedunin (11 and 12) mixture (LC50 = 10 ppm, 7days; 19.2 ppm: 88% larval growth inhibition; 5 ppm: 23 and 85% pupation and emergence reduction) α and β- Photogedunin acetates (11a and 12a) mixture (LC50 = 8 ppm, 7 days) Gedunin (13) (LC50 = 39 ppm, 7days; 5 ppm: 91% larval growth inhibition; 5 ppm: 6.2 and 78.5% pupation and emergence reduction) | [22] | |
| Cedrela salvadorensis | Leaves | α- and β-Photogedunin (11 and 12), α- and β- photogedunin acetates (11a and 12a) mixture gedunin (13) | [22] | |
| Vitex hemsleyi * Lamiaceae | Leaves Stem | Anticopalic acid (14) (EC50 = 90.6 ppm, L6 larvae) | [23] | |
| Myrtillocactus geometrizans * Cactaceae | Whole | Macdougallin (15) (LD95 = 285 ppm; 50 ppm: 97.2% M; 0% pupation; 0% emergence) Peniocerol (16) (LD95 = 125 ppm; 50 ppm: 97.2% M; 0% pupation; 0% emergence) mixture (4:6) 15 + 16 (LD95 = 135 ppm; 20 ppm: 97.2% M; 0% pupation; 0% emergence) | [24] | |
| Crescentia alata Bignoniaceae | Fruits | Fraction enriched with ningpogenin (17) (100 ppm: 80% larval mortality); fraction enriched with: β-sitosterol (18), stigmasterol (19) and 6β,7β,8α,10-tetra-p-hydroxybenzoyl-cis-2-oxabicycle[4.3.0]nonan-3-one (20) (100 ppm: 65% larval mortality) | [25,26] | |
| Lippia graveolens Verbenaceae | Leaves | Hexane (10–100 ppm: deformed adults), thymol (21, 70.6%), carvacrol (22, 22.8%) | [27] | |
| S. littoralis | Salvia keerlii * Lamiaceae | AP | Kerlinolide (23) (AI50 = 67 ppm) | [28] |
| Salvia lineata * Lamiaceae | AP | 1(10)-Dehydrosalviarin (24, AI50 = 32 ppm) | [28] | |
| Salvia melissodora * Lamiaceae | AP | 13,14-Dihydro-3,4 epoxy-melissodoric acid methyl ester acetate (25) (AI50 = 1 ppm) 2-β-acetoxy-7α-hydroxy-neo-clerodan-3,13-dien-18,19:16.15-diolide (26) (AI50 = 84 ppm) | [28] | |
| Salvia rhyacophila * Lamiaceae | AP | Salviarin (27) (AI50 = 81 ppm) 6β-Hydroxysalviarin (28) (AI50 = 24 ppm) | [28] | |
| Salvia semiatrata * Lamiaceae | AP | Semiatrin (29) (AI50 = 87 ppm) | [28] | |
| Senecio toluccanus * Asteraceae | Roots | Toluccanolide A (30) and toluccanolide A acetate (30a) (50 μg/cm2: 57 and 69.6% antifeedant effect, respectively) | [29] |
| Species/Family | Plant Part | Compound (Toxicity) | Ref. |
|---|---|---|---|
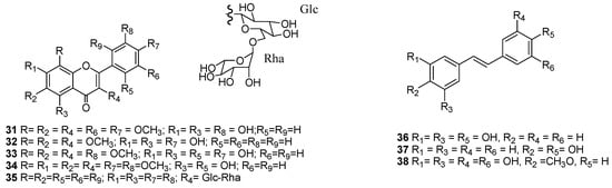
| Gutierreza microcephala * Asteraceae | AP | 5,7,2′-Trihydroxy-3,6,8,4′,5′-pentamethoxyflavone (31) (MC50 = 3.9 ppm, 7 days; LD50 = 36.65 ppm, 24 h; 50 ppm: 35.9% IAche) 5,7,4′-Trihydroxy-3,6,8-trimethoxyflavone (32) (50 ppm: 27.5% IAche) 5,7,2′,4′-Tetrahydroxy-3,6,8,5′-tetramethoxyflavone (33) (MC50 = 27.8 ppm, 7 days; 50 ppm: 27.5% IAche) 5,2-dihydroxy-3,6,7,8,4′,5′-hexamethoxyflavone (34) (50 ppm: 17.8% IAche) | [21] |
| Species/Family | Plant Part | Compound (Toxicity) | Ref. |
|---|---|---|---|
| Yucca periculosa * Asparagaceae | Bark | Resveratrol (36) (LD50 = 24.1 ppm, 24 h; GI50 = 5.94 ppm, 21 days; LC50 = 6.4 ppm, 7 days) 4,4′-Dihydroxystilbene (37) (LD50 = 38 ppm, 24 h; GI50 = 9.24 ppm, 21 days; LC50 = 27.6 ppm, 7 days) 3,3′,5,5′-Tetrahydroxy-4-methoxystilbene (38) (LD50 = 10.1 ppm, 24 h; GI50 = 3.45 ppm, 21 days; LC50 = 5.4 ppm, 7 days) | [31] |
| Species/Family | Plant Part | Compound (Toxicity) | Ref. |
|---|---|---|---|
| Ruta graveolens Rutaceae | Leaves | Psoralen (39) (1 mg/mL: 100% larval mortality) 2-Undecanone (40) (1 mg/mL: 50% larval mortality) | [30] |
| Species/Family | Plant Part | Compound (Toxicity) | Ref. |
|---|---|---|---|
| Carica papaya Caricaceae | Seeds | Palmitic acid (41) (LV50 = 989 ppm) Oleic acid (42) (LV50 = 1353.4 ppm) Powder in artificial diet (15%: 90% mortality, 72 h, all varieties) | [32] |
| Ricinus communis Euphorbiaceae | Leaves | Linoleic acid (43) (LV50 = 857 ppm, 1st instar larvae) Linolenic acid (44) (LV50 = 849 ppm, 1st instar larvae) | [33] |
| Plant Species/Family | Plant Part | Compound (Toxicity) | Ref. |
|---|---|---|---|
| Lupinus aschenbornii * Fabaceae | Leaves | Alkaloids extract (LD50 = 24 μg/mL, 7 days) Lupanine (45, 86 μg/g), multiflorine (46, 31 μg/g), sparteine (47, 780 μg/g), 47 commercial standard (LD50 = 11 μg/mL, 7 days) | [37] |
| Lupinus montanus * Fabaceae | Leaves | Alkaloids extract (LD50 = 65 μg/mL, 7 days) Aphylline (48, 17.6 μg/g), 45 (9.2 μg/g), α-sparteine (49, 5 μg/g), 47 (640 μg/g) | [37] |
| Lupinus stipulates * Fabaceae | Seeds | Alkaloids extract (LD50 = 20 μg/mL, 7 days) 48 (280 μg/g), epi-aphylline-like (50, 307 μg/g), 45 (11.7 μg/g) | [37] |
| Insect | Plant Species/Family | Plant Part | Extract (Toxicity) | Ref. |
|---|---|---|---|---|
| S. exigua | Trichilia havanensis * Meliaceae | Seeds | Oil (7000 mg/L: 56% LM, 12 days; 100 mg/L: 71.3% LWR) Solid fraction (7000 mg/L: 56% LM, 12 days; 100 mg/L: 98.5% LWR) | [38] |
| S. frugiperda | Bursera copallifera * Burseraceae | Leaves | Ethyl acetate (1000 ppm: 73% LWR, 7 days; IC50 = 553 µg/mL IAche) Methanol (1000 ppm: 55% LWR, 7 days; IC50 = 367 µg/mL IAche) | [42] |
| Leaves stem | Acetonic leaves extract (500 ppm: 47% LM; 50% LWR, 14 days); hexanic leaves extract (500 ppm: 44% deformed pupae, 14 days); | [41] | ||
| Bursera grandifolia * Burseraceae | Leaves | Methanol leaves extract (500 ppm: 45% LM; 35% deformed pupae, 14 days) | [41] | |
| Bursera lancifolia * Burseraceae | Seeds | Ethyl acetate (1000 ppm: 39% LWR, 7 days; IC50 = 397 µg/mL IAche) Methanol (1000 ppm: 32% LWR, 7 days; IC50 = 707 µg/mL IAche) | [42] | |
| Ipomoea murucoides * Convolvulaceae | Roots | Methanol (LC50 = 2.69 mg/mL) | [45] | |
| Ipomoea pauciflora * Convolvulaceae | Seeds | Hexane (LC50 = 1.68 mg/mL) Chloroform (LC50 = 0.55 mg/mL) | [43] | |
| Salvia connivens * Lamiaceae | AP | Chloroform (LV50 = 936 ppm, 1st instar larvae) | [44] | |
| Salvia microphylla Lamiaceae | AP | Chloroform (LV50 = 916 ppm, 1st instar larvae) | [44] | |
| Tagetes erecta Asteraceae | Leaves | Hexane, acetone, and ethanol (LC50 = 312.2, 264.9, and 152.2 ppm respectively on L1 larvae) | [40] | |
| Vitex mollis * Lamiaceae | Leaves | Dichloromethane (LC50 = 46.35 ppm) Chloroform-methanol 1:1 (LC50 = 13.63 ppm) methanol (LC50 = 61.05 ppm) | [39] |
| Insect | Species/Family | Plant Part | Compound/Extract (Toxicity) | Ref. |
|---|---|---|---|---|
| Aedes aegypti | Heliopsis longipes * Asteraceae | Roots | Ethanol (LC50 = 4.07 mg/L, LM 48 h) Affinin (51) (LC50 = 7.38 mg/L, LM 48 h) N-Isobutyl-2E-decenamide (52) (LC50 = 36.97 mg/L, LM, 48 h) | [46] |
| Salmea scandens * Asteraceae | Stem bark | EOs (LC50 = 0.3 μg/mL, 24 h) N-isobutyl-(2E,4E,8Z,10Z)-dodecatetraenamide (55, 22.5%) N-isobutyl-(2E,4E,8Z,10E)-dodecatetraenamide (56, 17.2%) | [48] | |
| Anopheles albimanus | Heliopsis longipes * Asteraceae | Roots | Ethanol (LC50 = 2.48 mg/L, LM 48 h) 51 (LC50 = 4.24 mg/L, LM 48 h) 52 (LC50 = 7.47 mg/L, LM 48 h) | [46] |
| Salmea scandens * Asteraceae | Stem bark | EOs (LC50 = 2.5 μg/mL, 24 h) | [48] | |
| Culex quinquefasciatus | Erythrina americana Fabaceae | Seeds | Alkaloidal fraction (LC50 = 87.5 mg L−1, LM) β-eritroidina (53, LC50 = 225 mg L−1; LM) Erisovina (54, LC50 = 399 mg L−1, LM) | [47] |
| Persea Americana Lauraceae | Leaves | EOs (50 mg/L: 40% mortality); (800 mg/L: 57.5% mortality; RGI = 0.74) estragole (57) (61.86%), sabinene (58, 15.16%), α-pinene (59, 14.25%) | [49] | |
| Pseudocalymma alliaceum * Bignonaceae | Fresh leaves | EOs: (LC50 = 385.29 ppm, 48 h) hydrolat (LC50 = 9.05%, 48 h) diallyl disulphide (60) (50.05%), diallyl sulphide (61, 11.77%), trisulphide di-2-propenyl (62, 10.37%) | [50] |
| Insect | Species/Family | Plant Part | Extract (Toxicity) | Ref. |
|---|---|---|---|---|
| Aedes aegypti | Argemone mexicana Papaveraceae | Seeds | Hexane (LC50 = 80 μg /mL, 48 h) acetone (LC50 = 50 μg/mL, 48 h) | [51] |
| Pseudosmodingium perniciosum * Anacardiaceae | Stem Bark | Hexane (LC50 = 20 μg/mL, 48 h) | [51] | |
| Ruta chalepensis Rutaceae | Aerial part | Ether and methanol (LC50 = 1.8 and 6.4 µg/mL, respectively, 24 h) | [52] | |
| Thymus vulgaris Lamiaceae | Leaves | Ether (LC50 = 4.4 ppm, 24 h, 4th instar larvae) | [52] | |
| Zanthoxylum fagara Rutaceae | Fruits | Ether (LC50 = 75.1 µg/mL, 24 h) | [52] | |
| Culex quinquefasciatus | Azadirachta indica Meliacea | Seeds | Aqueous (1st instar: LD50 = 460 ppm; 2nd instar LD50 = 440 ppm; 3rd instar LD50 = 410 ppm; 4th instar; LD50 = 550 ppm) | [53] |
| Insect | Species/Family | Plant Part | Extract (Toxicity) | Ref. |
|---|---|---|---|---|
| Anastrepha ludens | Annona diversifolia Annonaceae | Leaves Stems | Ethanol stems (1000 μg/mL: 89.3%, third instar LM, 72 h) Aqueous leaves (100 μg/mL: 70.3% third instar LM, 72 h) Aqueous stems (1000 μg/mL: 74.3 third instar LM, 72 h) | [54] |
| Annona lutescens Annonaceae | Leaves Stems | Ethanol leaves (100 μg/mL: 27.0%, third instar LM, 72 h) Ethanol stems (1000 μg/mL: 70.3%, third instar LM, 72 h) Aqueous leaves (100 μg/mL: 81.7% third instar LM, 72h) Aqueous stems (100 μg/mL: 95.9% third instar LM, 72 h) | [54] | |
| Annona muricata Annonaceae | Leaves Stems | Ethanol leaves (100 μg/mL: 63.3%, third instar LM, 72 h) Ethanol stems (1000 μg/mL: 61.3%, third instar LM, 72 h) Aqueous leaves (100 μg/mL: 78.3% third instar LM, 72 h) Aqueous stems (100 μg/mL: 86.0 third instar LM, 72 h) | [54] | |
| Magnolia dealbata Magnoliaceae | Dry sarcotesta | Ethanol (0.1 mg/mL: 12.8% survival after 3 days; Abbott index: 86.8%, adults) | [55] | |
| Bactericera cockerelli | Annona muricata Annonaceae | Seeds | Hexanol (LC50 = 193.5 ppm, 72 h) | [55] |
| Species/Family | Plant Part | Extract (Toxicity) | Ref. |
|---|---|---|---|
| Acalypha gaumeri * Euphorbiaceae | Leaves | Aqueous (LC50 = 0.39% w/v on egg, 48 h) Ethanol (LC50 = 3.54 mg/mL on eggs; 3.15 mg/mL on nymphs, 48 h) | [57] |
| Annona squamosa Annonaceae | Leaves | Aqueous (LC50 = 0.36% w/v on eggs, 48 h) Ethanol (LC50 = 2.71 mg/mL on eggs, 48 h; 2.66 mg/mL on nymphs, 48 h) | [57] |
| Agave tequilana Asparagaceae | Leaves | Juice (undiluted: 31% mortality on adults) hexane (4%: 100% mortality on adults) | [58] |
| Azadirachta indica Meliacea | Leaves | Aqueous (LC50 = 0.30% w/v eggs, 48 h) Ethanol (LC50 = 4.14 mg/mL, eggs, 48 h; 10 ppm: 99.3% mortality of nymphs) | [57] |
| Capsicum chinense Solanaceae | Fruits | Ethanol (LC50 = 29.4% w/v; LT50 = 7.31 h; RI = 0.11) | [59] |
| Carlowrightia myriantha * Acanthaceae | Leaves | Aqueous (LC50 = 1.1% w/v on eggs) Ethanol (LC50 = 2.69 mg/mL on eggs; 3.10 mg/mL on nymphs) | [57] |
| Chenopodium ambrosioides Chenopodiaceae | Leaves Stems | Ethanol (LC50: 3.26% w/v, resuspended in water) | [60] |
| Petiveria alliacea Petiveriaceae | Aerial part | Aqueous (LC50 = 0.42% w/v on eggs) Ethanol (LC50 = 2.09 mg/mL on eggs; 1.27 mg/mL on nymphs) | [57] |
| Piper nigrum Piperaceae | Fruits | Ethanol (LC50: 1.6% w/v, resuspended in water) | [60] |
| Pluchea serícea Asteraceae | Leaves Stems | Aqueous leaves (LC50: 1190 ppm; RI = 0.52 on adults, 24 h) Acetone leaves (LC50: 700 ppm; RI = 0.78 on adults, 24 h) Ethanol leaves (LC50: 1250 ppm RI = 0.66 on adults, 24 h) Aqueous stems (LC50: 2620 ppm; RI = 0.54 on adults, 24 h) | [61] |
| Trichilia arborea Meliaceae | Leaves | Aqueous (LC50 = 0.39% w/v on eggs, 48 h) Ethanol (LC50 = 2.14 mg/mL on eggs, 48 h; 1.61 mg/mL on nymphs) | [57] |
| Insect | Species/Family | Plant Part | Extract (Toxicity) | Ref. |
|---|---|---|---|---|
| Copitarsia decolora | Beta vulgaris Chenopodiaceae | Stems Leaves | EOs (0.5%: 19% and 27% increased larval and pupal period length; 99% reduced fecundity and fertility) | [62] |
| Chenopodium berlandieri subsp. nuttalliae Chenopodiaceae | Whole plant | EOs (0.5%: 22% and 38% increased larval and pupal period length; 94% and 85% reduced fecundity and fertility) | [62] | |
| Chenopodium graveolens Chenopodiaceae | Whole plant | EOs (0.5%: 19% and 28% reduced larval and pupal period length; 75% and 96% reduced fecundity and fertility) | [62] | |
| Dactylopius opuntiae | Cymbopogon winterianus Poaceae | Leaves | EOs (LC50 = 6.6 mL/100 mL on 1st instar cochineal) | [63] |
| Lippia graveolens Verbenaceae | Leaves | EOs (LC50 = 5.2 mL/100 mL on cochineal mobile juveniles) | [63] | |
| Mentha spicata Lamiaceae | Leaves | EOs (LC50 = 0.8 mL/100 mL solvent on cochineal mobile juveniles). Carvone (63, 61.03%) and limonene (64, 15.18%) | [63] | |
| Ocimum basilicum Lamiaceae | Leaves | EOs (LC50 = 2.4 mL/100 mL solvent on cochineal mobile juveniles) | [63] |
| Insect | Species/Family | Plant Part | Extract/Compound (Toxicity) | Ref. |
|---|---|---|---|---|
| Leptinotarsa decemlineata | Senecio toluccanus * Asteraceae | Roots | 6-Hydroxyeuryopsin (65) and acetyloxyeuropsin (65a) (50 μg/cm2: 85.5% antifeedant effect) | [29] |
| Insect | Species/Family | Plant Part | Extract/Compound (Toxicity) | Ref. |
|---|---|---|---|---|
| Prostephanus truncates | Lippia palmeri Verbenaceae | Leaves | EOs (LC50 = 320.52 μL/L mortality, 24 h); carvacrol (22, 5.2%), 21 (58.9%) p-cimene (66, 21.8%) | [64] |
| Species/Family | Plant Part | Extract/Compound (Toxicity) | Ref. |
|---|---|---|---|
| Hippocratea excels * Asteraceae | Root cortex | 1% Pristimerin (67) (AAI = 89.2% and M = 16%, 5 days) | [65] |
| Eupatorium glabratum Asteraceae | Leaves | EOs (LC50 = 16 (females) and 20 μL/mL (males) after 1 week); LT50 = 53 (females) and 70 h (males); α-pinene (59, 29.5), α-phellandrene (68, 19.6%) | [66] |
| Lippia palmeri * Verbenaceae | Leaves | EOs (LC50 = 441.45 μL/L mortality, 48 h) p-cimene (66, 21.8%), 21 (58.9%) | [64] |
| Aster subulatus Asteraceae | Leaves | 1% Leaves powder (M = 80.5%, 15 days) | [67] |
| Bahia absinthifolia Asteraceae | Leaves | 1% powder (AE = 21.6%, 55 days) | [67] |
| Chrysactinia mexicana Asteraceae | Leaves Flower | 1% Leaves powder (M = 80.5%, 15 days; AE = 0.0%, 55 days) 1% Flower powder (AE = 45.0%, 55 days) | [67] |
| Erigeron longipes Asteraceae | Flower | 1% powder (M = 88.3%, 15 days) | [67] |
| Heliopsis annua Asteraceae | Leaves | 1% powder (M = 80.6%, 15 days) | [67] |
| Heterotheca inuloides var. rosei * Asteraceae | Leaves Flower | 1% Leaf powder (M = 87.7%, 15 days; AE = 0.0%, 55 days) 1% Flower powder (M = 87.7%, 15 days; AE = 45.0%, 55 days) | [67] |
| Hippocratea celastroides Asteraceae | Roots | 1% Dichloromethane (AAI = 70.7%, 5 days) 1% Hexane (AAI = 67.8%, 5 days) 1% Acetone (soluble part: AAI = 72.3%, precipitate: AAI = 73.9%, 5 days) | [65] |
| Senecio flaccidus Asteraceae | Flower | 1% Powder (M = 80.7%, 55 days) | [67] |
| Stevia serrata Asteraceae | Leaves Flower | 1% Leaf powder (M = 80.2%, 55 days) 1% Flower powder (M = 81.8%, 55 days) | [67] |
| Zaluzania peruviana Asteraceae | Leaves Flower | 1% Leafs powder (M = 88.1%, 15 days; AE = 50.0%, 55 days) 1% Flower powder (M = 48.3%, 15 days; AE 40%, 55 days) | [67] |
| Stauranthus perforates Rutaceae | Roots | Powder mixed with maize kernels (1–3%: 91, 95.5. and 100% mortality respectively, 15 days) | [67] |
| Insect | Species/Family | Plant Part | Extract/Compound (Toxicity) | Ref. |
|---|---|---|---|---|
| Stomoxys calcitrans | Teloxys graveolens Chenopodiaceae | Aerial part | Pinocembrine (69) (LC50 = 418.69 μg/mL, 3rd stage larvae, 24 h) | [69] |
| Scyphophorus acupunctatus | Annona cherimola Annonaceae | Seeds | Podwer (15% in artificial diet: 63% LM; larval, pupal, and adult weight reductions of 98.5, 40.6, and 45.0%, respectively, 24 days) | [70] |
| Carica papaya Caricaceae | seeds | fresh seed (15% in artificial diet: 90% LM, 24 days) dry seed powder (15% in artificial diet: 100% LM, 24 days) | [70] | |
| Trichilia havanensis Meliacea | seeds | Seed powder (15% in artificial diet: 100% LM, 24 days) | [70] |
| Insect | Species/Family | Plant Part | Extract/Compound (Toxicity) | Ref. |
|---|---|---|---|---|
| Tenebrio molitor | Myrtillocactus geometrizans * Cactaceae | Whole plant | Macdougallin (15) (100 ppm: 5% survival) Peniocerol (16) (100 ppm: 3% survival) mixture (6:4) 15 + 16 (100 ppm: 0% survival) | [24] |
| Trichoplusia ni | Azadirachta indica Meliacea | Leaves | Volatile compounds released (1 and 10 g: 24% and 63% neonate mortality; 77% and 79% larval mortality; LD50 = 5.6 g, 7 days) | [71] |
| Species/Family | Plant Part | Extract (Toxicity) | Ref. |
|---|---|---|---|
| Tagetes filifolia Asteraceae | Flower Leaves Whole plant | Flower (RC50 = 0.13 mg/mL; LC50 = 6.59 mg/mL, 24 h; OIC50: 8.43 mg/mL, adults) Leaves (0.23 mg/mL; LC50 = 10.29 mg/mL, 24 h; OIC50: 3.88 mg/mL, adults) Whole plant (RC50 = 0.24 mg/mL; LC50 = 9.9 mg/mL, 24 h; OIC50: 3.56 mg/mL, adults) trans-anethole (70) commercial standard (RC50 = 0.45 mg/mL; LC50 = 1.74 mg/mL, 24 h; OIC50: 1.55 mg/mL, adults) | [72] |
| Piper auritum Piperaceae | Leaves stems | Ethanol (LC50 = 116 mg/mL on adult, 24 h) Acetone (IOC50 = 89.1 mg/mL on adult, 24 h) | [73] |
| Raphanus raphanistrum Brassicaceae | Leaves | Water (IOC50 = 77.3 mg/mL, on adult, 24 h) Ethanol (LC50 = 185.2 mg/mL, on adult, 24 h) | [73] |
| Petiveria alliacea Petiveriaceae | Aerial part | Laboratory assays: Aqueous (LC50 = 4.6%), methanol (LC50 = 1.1%), dichloromethane (LC50 = 0.3%), In greenhouse (tomato) aqueous (LC50 = 16.6%), methanol (LC50 = 13.3%), dichloromethane (LC50 = 3.5%) | [74] |
| Arundo donax Poaceae | Roots | Aqueous (non-active) Methanol (LC50 = 0.57% and 34.79% w/v, in vitro and greenhouse RC50 =, respectively) | [75] |
| Phytolacca icosandra Phytolaccaceae | Leaves stems | Aqueous (non-active) Methanol (LC50 = 0.34% and 36.47% w/v, in vitro and greenhouse, respectively) Qualitative analysis: Terpenoids and saponins | [75] |
| Species/Family | Plant Part | Extract (Toxicity) | Ref. |
|---|---|---|---|
| Senecio salignus Asteraceae | Roots | Powder (male: LC50 = 0.03%, 3–6 days; LT50 = 1.31 days) (female: 0.08% 3–6 days; LT50 = 3.2 days) | [76] |
| Lippia palmeri * Verbenaceae | Leaves | EOs Puerto del oregano (LC50 = 1.35 μL/g mortality, 48), 22 (37.35%), 21 (24.56%), 64 (15.62%) Alamos (LC50 = 1.35 μL/g mortality, 48), 64 (33.70%), 22 (18.32%) | [77] |
| Nematode | Species/Family | Plant Part | Compound/Extract (Toxicity) | Ref. |
|---|---|---|---|---|
| Meloidogyne javanica | Lippia graveolens Verbenaceae | Leaves | Hexane (LC50 = 0.672 mg/mL) 21 (70.6%), 22 (22.8%) | [27] |
| Sicyos bulbosus * Cucurbitaceae | Roots | Tacacoside B3 (71) (0.5 µg/µL: 93% J2 I) tacacoside C (72) (0.5 µg/µL: 97% J2 I) 16-OH-tacacoside B3 (73) (0.5 µg/µL: 100% J2 I), durantanin III (74) (0.5 µg/µL: 74% J2 I) heteropappussaponin 7 rhamnoside (75) (0.5 µg/µL: 80% J2 I), heteropappussaponin 5 (76) (0.5 µg/µL: 91% J2 I) heteropappussaponin 7 (77) (0.5 µg/µL: 93% J2 I) | [78] | |
| Microsechium helleri * Cucurbitaceae | Roots | Amole F (78) (0.5 µg/µL: 4.78% J2 I) amole G (79) (0.5 µg/µL: 7.83% J2 I) 16-OH-amole F (80) (0.5 µg/µL: 6.52% J2 I) 16-OH-amole G (81) 0.5 µg/µL: 6.34% J2 I) | [78] | |
| Nacobbus aberrans | Capsicum annuum Solanaceae | Roots | Capsidiol (82) (1 μg/mL: >80% J2 I, 72 h) | [79] |
| Meloidogyne incognita | Calea urticifolia Asteraceae | Roots | Ethanol (250 ppm: 80% larval mortality, 72 h) In greenhouse: Water (50% w/v: 72% decrease eggs formation; 50% galling reduction) | [80] |
| Eugenia winzerlingii * Myrtaceae | Leaves | Ethanol (ED50 = 133.4 ppm) | [81] | |
| Tephrosia cinerea Fabaceae | Stem | Ethanol (250 ppm: 85% larval mortality, 72 h) | [81] |
| Nematode | Species/Family | Plant Part | Compound/Extract (Toxicity) | Ref. |
|---|---|---|---|---|
| Ascaridia galli | Teloxys graveolens Chenopodiaceae | Aerial part | Pinocembrine (69) (LC50 = 623.49 μg/mL) | [69] |
| Cooperia punctata | Leucaena leucocephala Fabaceae | Fresh Leaves | Water (LC50 = 7.93 mg/mL EHI) Fraction LlC1F3 (LC50 = 0.06 mg/mL EHI) Quercetin (83, 82.21%), caffeic acid (84, 13.42%) | [82,83] |
| Gliricidia sepium Fabaceae | Fresh Leaves | Acetone (LC50 = 1.03 mg/mL EHI) 2H-Chromen-2-one (85) (EC50 = 0.024 mg/mL EHI) | [84] | |
| Oxytroside (86) (2400 µg/mL inhibited exsheathment) | [85] | |||
| Cyathostomin sp. | Diospyros anisandra Ebenaceae | Leaves Bark | Methanol bark (LC50 = 10.28 µg/mL EHI in rainy season) Methanol leaves (LC50 = 18.48 µg/mL EHI in rainy season) | [86] |
| Petiveria alliacea Petraceae | Stem | Methanol (LC50 = 28.27 µg/mL EHI in rainy season) | [86] |
| Species/Family | Plant Part | Extract (Toxicity) | Ref. |
|---|---|---|---|
| Caesalpinia coriaria Fabaceae | Fruits Leaves | Hydroalcoholic (fruits: LC50 = 1.63 mg/mL; leaves: LC50 = 3.98 mg/mL on EHI, 48 h) | [87] |
| Phytolacca icosandra Phytolaccaceae | Leaves | Dichloromethane (LD50 = 0.90 mg/mL LMI; LD50 = 0.28 mg/mL EHI) Ethanol (2 mg/mL: 55.4% LMI; 1.8 mg/mL: 95% EHI) | [88] |
| Gliricidia sepium Fabaceae | Leaves | Methanol (ED50 = 394.96 µg/mL EHI) | [89] |
| Acacia cochliacantha Fabaceae | Fresh Leaves | Hydroalcoholic (100 mg/mL: 100% EHI) Ethyl acetate (LC50 = 0.33 mg/mL EHI) Dichloromethane soluble fraction (LC50 = 0.06 mg/mL EHI) Dichloromethane precipitate (LC50 = 0.04 mg/mL EHI) | [90] |
| Carica papaya Caricaceae | Seeds | Ethanol (2.5 mg/mL: 92% EHI) Hydroalcoholic (2.5 mg/mL: 50% EHI) | [91] |
| Acacia pennatula Fabaceae | Leaves | Tannins (1200 µg/mL: 51% LMI) | [92] |
| Arachis pintoi Fabaceae | Leaves | Condensed tannins (4.5–45 µg/mL: 76.6–100% LM, 96 h) | [92] |
| Guazuma ulmifolia Malvaceae | Leaves | Condensed tannins (4.5–45 µg/mL: 86.0–99.4% LM, 96 h) | [92] |
| Manihot esculenta Euphorbiaceae | Leaves | Condensed tannins (4.5–45 µg/mL: 69.9–100%, LM, 96 h) | [92] |
| Leucaena leucocephala Fabaceae | Leaves | Condensed tannins (4.5–45 µg/mL: 71.0–98.4% LM, 96 h) | [92] |
| Leaves | Tannin (1200 µg/mL: 53.6% LMI) | [93] | |
| Lysiloma latisiliquum Fabaceae | Leaves Leaves | Tannin (1200 µg/mL: 49.1% LMI) | [93] |
| Piscidia piscipula Fabaceae | Leaves | Tannin (1200 µg/mL: 63.8% LMI) | [93] |
| Laguncularia racemosa Combretaceae | Leaves | 30% Acetone–water (3600 µg/mL: 50.29 larvae failing eclosion) | [94] |
| Senegalia gaumeri * Fabaceae | Leaves | Acetona–water 70:30 (EC50= 401.8 EHI; 83.1 LMI) | [95] |
| Bursera copallifera * Burseraceae | Stem | Acetone (20 mg/mL: 66% LM, 72 h) | [96] |
| Prosopis laevigata Fabaceae | Aerial part | Hexane (20 mg/mL: 86% LM, 72 h postexposure) | [96] |
| Cydista aequinoctialis Bignonaceae | Leaves | Aqueous (20 mg/mL: 39.57% LM, 72 h) | [97] |
| Heliotropium indicum * Boraginaceae | Leaves | Aqueous (20 mg/mL: 34.59% LM, 48 h) | [97] |
| Momordica charantia Cucurbitaceae | Leaves Fruits | Aqueous (20 mg/mL: 53.83% LM, 72 h) Aqueous (20 mg/mL: 68.13% LM, 72 h) | [97] |
| Larrea tridentata Zygophyllaceae | Leaves | Hydro-methanol 30% (EC50 = 36 mg/mL on exsheathed larvae, 24 h) | [98] |
| Allium sativum Amaryllidaceae | Bulbs | Hexane (LC50 = 3.8 mg/mL LM, 72 h) | [99] |
| Tagetes erecta Asteraceae | Flowers | Acetone (40 mg/mL: 36.6% LM, 72 h) | [99] |
| A. sativum-T. erecta | Combined | Combined bulbs and flower (LC50 = 1.3 mg/mL LM, 72 h) | [99] |
| Castela tortuosa * Simaroubaceae | Aerial part | Hexane (LC50 = 17.3 mg/mL EGI, 72 h) | [100] |
| Chenopodium ambrosioides Chenopodiaceae | Aerial part | Hexane (LC50 = 1.5 mg/mL EGI, 72 h) | [100] |
| C. ambrosioides- C. tortuosa | Combined | Hexane (LC50 = 6.5 mg/mL EGI, 72 h) | [100] |
| Plant Species | Host | Sample (Toxicity) | Ref. |
|---|---|---|---|
| Allium sativum Amaryllidaceae | Gerbils | Oral administration extract (40 mg/mL) (100 µL: 68.7% LPR) | [99] |
| Tagetes erecta Asteraceae | Gerbils | Oral administration extract (40 mg/mL) (100 µL: 53.9% LPR) | [99] |
| Allium sativum-Tagetes erecta 1:1 combined | Gerbils | Oral administration combined extract (40 mg/mL) (100 µL: 87.5% LPR) | [97] |
| Castela tortuosa * | Gerbils | Hexane extract intraperitoneally administred (40 mg/kg BW: 27.15% LPR) | [100] |
| Chenopodium ambrosioides | Gerbils | Hexane extract (100 µL) intraperitoneally administred (40 mg/kg: 45.86% LPR) | [100] |
| Castela tortuosa Chenopodium ambrosioides combined | Gerbils | Hexane extract (100 µL) intraperitoneally administred (40 mg/kg BW: 57.36% LPR) | [100] |
| Prosopis laevigata | Gerbils | Hexane extract (40 mg/mL) intraperitoneally administred (100 µL: 42.5% reduced the parasite population) | [101] |
| Lysiloma acapulcensis * | Lambs | Ethyl acetate fraction (25 mg/kg BW: 94.8% EHI; 62.9% EPGR) Dried leaves (5g/kg BW: 50.1% EPGR) | [102] |
| Sheep | Rutin (36) (10 mg/kg BW: 66.2% EPGR) | [102] | |
| Phytolacca icosandra | Sheep | Ethanol (250 mg/kg, 2 days: 72% reduction on eggs/g of faeces) | [103] |
| Oxalis tetraphylla Oxalidaceae | Lambs | (20 mg/kg: 45.6% reduction in the eggs/g of feces) | [104] |
| Acacia cochliacantha | Goats | Fresh foliage (1.48 log10 excreted eggs per gram; control 2.18 log10; 0.6 kg/ animal weight gained) | [105] |
| Pithecellobium dulce | Goats | Fresh foliage (1.18 log10 excreted eggs per gram; control 2.18 log10; 2.4 kg/ animal weight gained) | [105] |
| Species/Family | Plant Part | Extract (Toxicity) | Ref. |
|---|---|---|---|
| Acacia pennatula Fabaceae | Leaves | Tannin (1200 µg/mL: 71% Lm) | [106] |
| Leucaena leucocephala Fabaceae | Leaves | Tannin (1200 µg/mL: 72% Lm) | [106] |
| Lysiloma latisiliquum Fabaceae | Leaves | Tannin (1200 µg/mL: 56% Lm) | [106] |
© 2019 by the authors. Licensee MDPI, Basel, Switzerland. This article is an open access article distributed under the terms and conditions of the Creative Commons Attribution (CC BY) license (http://creativecommons.org/licenses/by/4.0/).
Share and Cite
Hernández-Carlos, B.; Gamboa-Angulo, M. Insecticidal and Nematicidal Contributions of Mexican Flora in the Search for Safer Biopesticides. Molecules 2019, 24, 897. https://doi.org/10.3390/molecules24050897
Hernández-Carlos B, Gamboa-Angulo M. Insecticidal and Nematicidal Contributions of Mexican Flora in the Search for Safer Biopesticides. Molecules. 2019; 24(5):897. https://doi.org/10.3390/molecules24050897
Chicago/Turabian StyleHernández-Carlos, Beatriz, and Marcela Gamboa-Angulo. 2019. "Insecticidal and Nematicidal Contributions of Mexican Flora in the Search for Safer Biopesticides" Molecules 24, no. 5: 897. https://doi.org/10.3390/molecules24050897
APA StyleHernández-Carlos, B., & Gamboa-Angulo, M. (2019). Insecticidal and Nematicidal Contributions of Mexican Flora in the Search for Safer Biopesticides. Molecules, 24(5), 897. https://doi.org/10.3390/molecules24050897

