Using UHPLC-MS Profiling for the Discovery of New Dihydro-β-Agarofurans from Australian Celastraceae Plant Extracts
Abstract
:1. Introduction
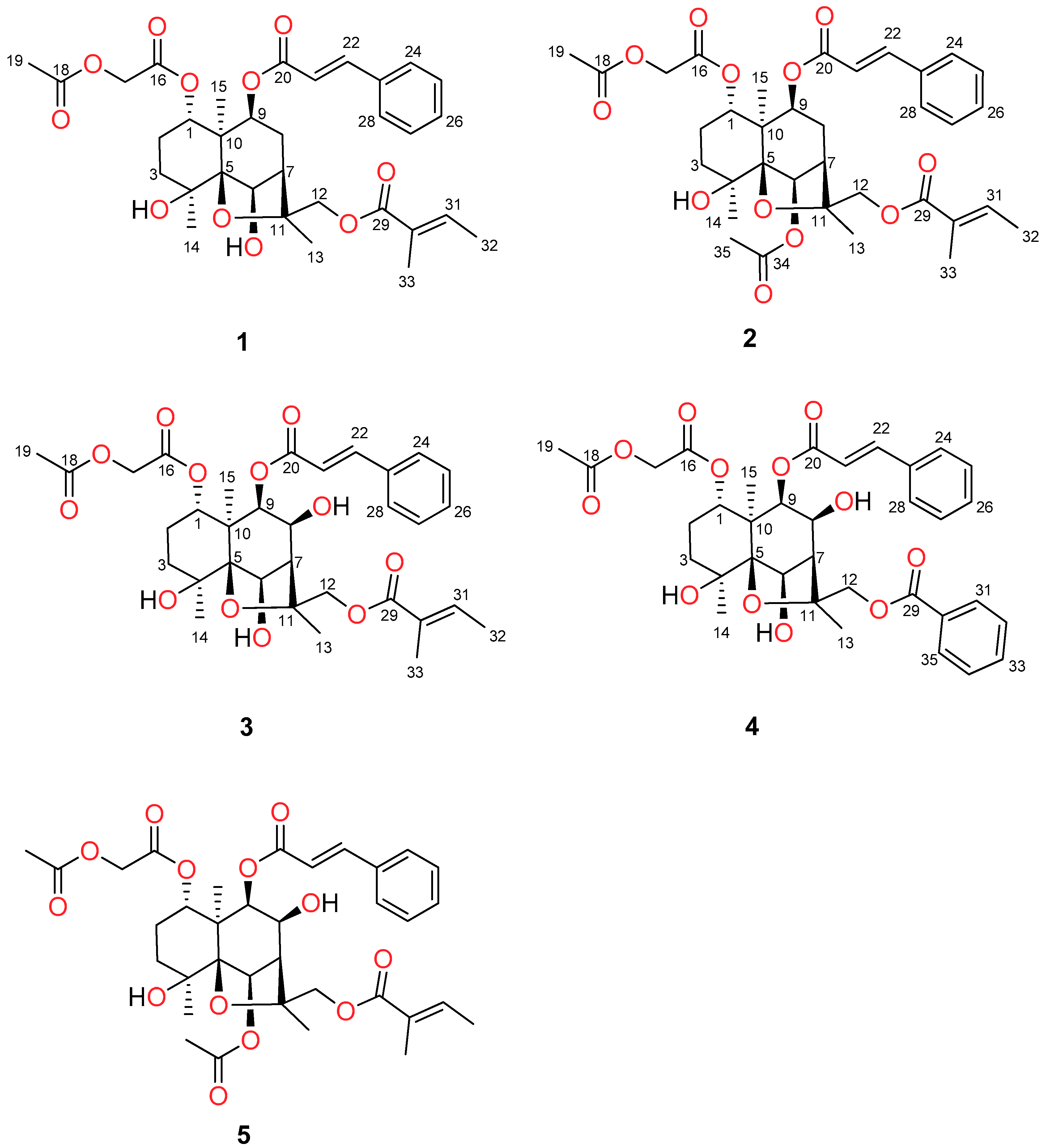
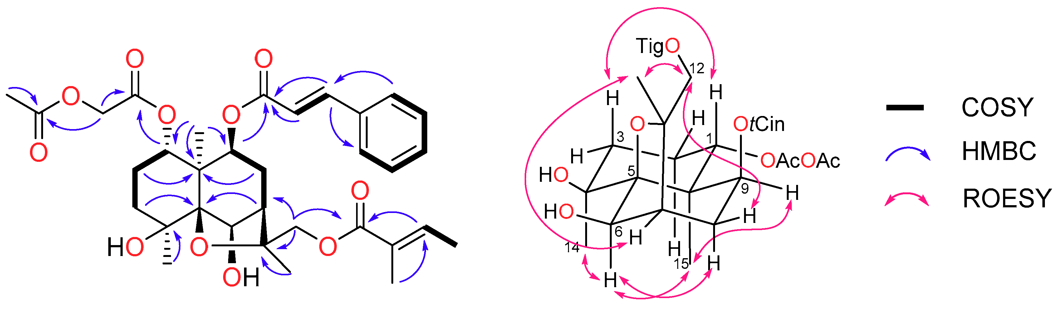
2. Results and Discussion
3. Materials and Methods
3.1. General Experimental Procedures
3.2. Plant Materials
3.3. Preparation of Crude Plant Extracts for UHPLC-MS Analyses
3.4. UHPLC-MS Conditions
3.5. Large-scale Extraction and Isolation of the Fruits of D. celastroides
3.6. Denhaminol O (1)
3.7. Denhaminol P (2)
3.8. Denhaminol Q (3)
3.9. Denhaminol R (4)
4. Conclusions
Supplementary Materials
Author Contributions
Funding
Acknowledgments
Conflicts of Interest
References
- Spivey, A.C.; Weston, M.; Woodhead, S. Celastraceae sesquiterpenoids: Biological activity and synthesis. Chem. Soc. Rev. 2002, 31, 43–59. [Google Scholar] [CrossRef] [PubMed]
- Callies, O.; Sánchez-Cañete, M.P.; Gamarro, F.; Jiménez, I.A.; Castanys, S.; Bazzocchi, I.L. Restoration of chemosensitivity in P-glycoprotein-dependent multidrug-resistant cells by dihydro-β-agarofuran sesquiterpenes from Celastrus vulcanicola. J. Nat. Prod. 2015, 78, 736–745. [Google Scholar] [CrossRef] [PubMed]
- Perestelo, N.R.; Jiménez, I.A.; Tokuda, H.; Vázquez, J.T.; Ichiishi, E.; Bazzocchi, I.L. Absolute configuration of dihydro-β-agarofuran sesquiterpenes from Maytenus jelskii and their potential antitumor-promoting effects. J. Nat. Prod. 2016, 79, 2324–2331. [Google Scholar] [CrossRef] [PubMed]
- Alarcón, J.; Cespedes, C.L.; Muñoz, E.; Balbontin, C.; Valdes, F.; Gutierrez, M.; Astudillo, L.; Seigler, D.S. Dihydroagarofuranoid sesquiterpenes as acetylcholinesterase inhibitors from celastraceae plants: Maytenus disticha and Euonymus japonicus. J. Agric. Food Chem. 2015, 63, 10250–10256. [Google Scholar] [CrossRef] [PubMed]
- Wang, D.-M.; Zhang, C.-C.; Zhang, Q.; Shafiq, N.; Pescitelli, G.; Li, D.-W.; Gao, J.-M. Wightianines A–E, Dihydro-β-agarofuran sesquiterpenes from Parnassia wightiana, and their antifungal and insecticidal activities. J. Agric. Food Chem. 2014, 62, 6669–6676. [Google Scholar] [CrossRef] [PubMed]
- Sasikumar, P.; Sharathna, P.; Prabha, B.; Varughese, S.; Anil Kumar, N.; Sivan, V.V.; Sherin, D.R.; Suresh, E.; Manojkumar, T.K.; Radhakrishnan, K.V. Dihydro-β-agarofuran sesquiterpenoids from the seeds of Celastrus paniculatus Willd. and their α-glucosidase inhibitory activity. Phytochem. Lett. 2018, 26, 1–8. [Google Scholar]
- Mba’ning, B.M.; Lenta, B.N.; Noungoué, D.T.; Antheaume, C.; Fongang, Y.F.; Ngouela, S.A.; Boyom, F.F.; Rosenthal, P.J.; Tsamo, E.; Sewald, N.; et al. Antiplasmodial sesquiterpenes from the seeds of Salacia longipes var. camerunensis. Phytochemistry 2013, 96, 347–352. [Google Scholar] [CrossRef] [PubMed]
- Wibowo, M.; Wang, Q.; Holst, J.; White, J.M.; Hofmann, A.; Davis, R.A. Celastrofurans A–G: Dihydro-β-agarofurans from the Australian rainforest vine Celastrus subspicata and their inhibitory effect on leucine transport in prostate cancer cells. J. Nat. Prod. 2017, 80, 1918–1925. [Google Scholar] [CrossRef] [PubMed]
- Wibowo, M.; Wang, Q.; Holst, J.; White Jonathan, M.; Hofmann, A.; Davis Rohan, A. Dihydro-β-agarofurans from the Australian endemic rainforest plant Denhamia pittosporoides inhibit leucine transport in prostate cancer cells. Asian J. Org. Chem. 2016, 5, 1461–1466. [Google Scholar] [CrossRef]
- Wibowo, M.; Wang, Q.; Holst, J.; White, J.M.; Hofmann, A.; Davis, R.A. Dihydro-β-agarofurans from the roots of the Australian endemic rainforest tree Maytenus bilocularis act as leucine transport inhibitors. Phytochemistry 2018, 148, 71–77. [Google Scholar] [CrossRef] [PubMed]
- Yang, J.; Liang, Q.; Wang, M.; Jeffries, C.; Smithson, D.; Tu, Y.; Boulos, N.; Jacob, M.R.; Shelat, A.A.; Wu, Y.; et al. UPLC-MS-ELSD-PDA as a powerful dereplication tool to facilitate compound identification from small-molecule natural product libraries. J. Nat. Prod. 2014, 77, 902–909. [Google Scholar] [CrossRef] [PubMed]
- Eugster, P.J.; Wolfender, J.L. Chapter 13 UHPLC in Natural Products Analysis. In UHPLC in Life Sciences; The Royal Society of Chemistry: London, UK, 2012; pp. 354–386. [Google Scholar]
- Qiu, X.; Zhang, J.; Huang, Z.; Zhu, D.; Xu, W. Profiling of phenolic constituents in Polygonum multiflorum Thunb. by combination of ultra-high-pressure liquid chromatography with linear ion trap-orbitrap mass spectrometry. J. Chromatogr. A 2013, 1292, 121–131. [Google Scholar] [CrossRef] [PubMed]
- Bertrand, S.; Schumpp, O.; Bohni, N.; Bujard, A.; Azzollini, A.; Monod, M.; Gindro, K.; Wolfender, J.-L. Detection of metabolite induction in fungal co-cultures on solid media by high-throughput differential ultra-high pressure liquid chromatography–time-of-flight mass spectrometry fingerprinting. J. Chromatogr. A 2013, 1292, 219–228. [Google Scholar] [CrossRef] [PubMed]
- Gaudencio, S.P.; Pereira, F. Dereplication: Racing to speed up the natural products discovery process. Nat. Prod. Rep. 2015, 32, 779–810. [Google Scholar] [CrossRef] [PubMed]
- Eugster, P.J.; Boccard, J.; Debrus, B.; Bréant, L.; Wolfender, J.-L.; Martel, S.; Carrupt, P.-A. Retention time prediction for dereplication of natural products (CxHyOz) in LC–MS metabolite profiling. Phytochemistry 2014, 108, 196–207. [Google Scholar] [CrossRef] [PubMed]
- SciFinder Scholar. Available online: http://scifinder.cas.org/ (accessed on 15 June 2018).
- Dictionary of Natural Products. Available online: http://dnp.chemnetbase.com (accessed on 15 June 2018).
- NatureBank, Griffith Institute for Drug Discovery. Available online: http://griffith.edu.au/gridd (accessed on 15 June 2018).
- Levrier, C.; Sadowski, M.C.; Nelson, C.C.; Healy, P.C.; Davis, R.A. Denhaminols A-H, dihydro-β-agarofurans from the endemic Australian rainforest plant Denhamia celastroides. J. Nat. Prod. 2015, 78, 111–119. [Google Scholar] [CrossRef] [PubMed]
- Weeratunga, S.; Hu, N.-J.; Simon, A.; Hofmann, A. SDAR: A practical tool for graphical analysis of two-dimensional data. BMC Bioinform. 2012, 13, 201. [Google Scholar] [CrossRef] [PubMed]
- Dilrukshi Herath, H.M.P.; Preston, S.; Hofmann, A.; Davis, R.A.; Koehler, A.V.; Chang, B.C.H.; Jabbar, A.; Gasser, R.B. Screening of a small, well-curated natural product-based library identifies two rotenoids with potent nematocidal activity against Haemonchus contortus. Vet. Parasitol. 2017, 244, 172–175. [Google Scholar] [CrossRef] [PubMed]
- Zulfiqar, B.; Jones, A.J.; Sykes, M.L.; Shelper, T.B.; Davis, R.A.; Avery, V.M. Screening a natural product-based library against kinetoplastid parasites. Molecules 2017, 22, 1715. [Google Scholar] [CrossRef] [PubMed]
- Egbewande, F.A.; Sadowski, M.C.; Levrier, C.; Tousignant, K.D.; White, J.M.; Coster, M.J.; Nelson, C.C.; Davis, R.A. Identification of gibberellic acid derivatives that deregulate cholesterol metabolism in prostate cancer cells. J. Nat. Prod. 2018, 81, 838–845. [Google Scholar] [CrossRef] [PubMed]
- Egbewande, F.A.; Nilsson, N.; White, J.M.; Coster, M.J.; Davis, R.A. The design, synthesis, and anti-inflammatory evaluation of a drug-like library based on the natural product valerenic acid. Bioorg. Med. Chem. Lett. 2017, 27, 3185–3189. [Google Scholar] [CrossRef] [PubMed]
Sample Availability: Samples of the compounds are not available from the authors. |




| Retention Time (tR, min) | [M + H]+ m/z | Molecular Weight | No. of SciFinder Scholar Hits a | No. of DNP Hits a | Compounds b |
|---|---|---|---|---|---|
| 9.873 | 615 | 614 | 1 | 0 | Denhaminol O (1) |
| 10.097 | 657 | 656 | 0 | 0 | Denhaminol P (2) |
| 10.410 | 673 | 672 | 10 | 0 | Denhaminol G (5) |
| 11.087 | 631 | 630 | 4 | 0 | Denhaminol Q (3) |
| 11.513 | 653 | 652 | 17 | 0 | Denhaminol R (4) |
| Position | δH, multiplicity (J in Hz) | |||
|---|---|---|---|---|
| 1 | 2 | 3 | 4 | |
| 1 | 5.39, dd (12.1, 4.5) | 5.36, dd (12.1, 4.2) | 5.40, dd (12.1, 4.4) | 5.46, dd (12.1, 4.4) |
| 2α | 1.53, m | 1.51, m | 1.52, m | 1.54, m |
| 2β | 1.95, m | 1.91, m | 1.95, m | 1.98, m |
| 3α | 1.69, ddd (13.1, 3.4, 3.4) | 1.68, ddd (13.5, 3.3, 3.3) | 1.68, ddd (13.0, 3.2, 3.2) | 1.71, ddd (13.1, 3.4, 3.4) |
| 3β | 1.86, m | 1.86, m | 1.84, m | 1.88, m |
| 6 | 4.44, br s | 5.48, s | 4.37, br s | 4.42, br s |
| 7 | 2.37, br dd (3.5, 3.0) | 2.34, br dd (3.6, 3.0) | 2.64, br d (3.2) | 2.73, br d (3.3) |
| 8α | 2.26, ddd (16.6, 7.4, 3.5) | 2.46, ddd (16.6, 7.3, 3.6) | 4.30, dd (6.4, 3.2) | 4.35, dd (6.5, 3.3) |
| 8β | 2.03, dd (16.6, 3.0) | 2.12, m | - | - |
| 9 | 4.88, d (7.4) | 4.92, d (7.0) | 5.06, d (6.4) | 5.08, d (6.5) |
| 12 | 4.52, d (11.0) | 4.47, d (11.1) | 4.69, d (11.6) | 4.88, d (11.5) |
| 4.69, d (11.0) | 4.70, d (11.1) | 4.82, d (11.6) | 5.02, d (11.5) | |
| 13 | 1.63, s | 1.58, s | 1.65, s | 1.76, s |
| 14 | 1.59, s | 1.33, s | 1.57, s | 1.60, s |
| 15 | 1.33, s | 1.36, s | 1.32, s | 1.35, s |
| 17 | 4.31, d (15.9) | 4.33 (15.8) | 4.33, d (15.8) | 4.34, d (15.9) |
| 4.45, d (15.9) | 4.46 (15.8) | 4.47, d (15.8) | 4.47, d (15.9) | |
| 19 | 1.88, s | 1.91, s | 1.92, s | 1.91, s |
| 21 | 6.40, d (16.0) | 6.39, d (16.0) | 6.49, d (15.9) | 6.54, d (16.0) |
| 22 | 7.65, d (16.0) | 7.66, d (16.0) | 7.69, d (15.9) | 7.71, d (16.0) |
| 24 | 7.56, m | 7.56, m | 7.58, m | 7.54, m |
| 25 | 7.36, m | 7.37, m | 7.36, m | 7.33, m |
| 26 | 7.36, m | 7.37, m | 7.36, m | 7.36, m |
| 27 | 7.36, m | 7.37, m | 7.36, m | 7.33, m |
| 28 | 7.56, m | 7.56, m | 7.58, m | 7.54, m |
| 31 | 6.81, m | 6.81, m | 6.85, m | 8.03, m |
| 32 | 1.78, m | 1.78, m | 1.80, m | 7.45, m |
| 33 | 1.79, m | 1.78, m | 1.82, m | 7.57, m |
| 34 | - | - | - | 7.45, m |
| 35 | - | 2.15, s | - | 8.03, m |
| Position | δH, Type | |||
|---|---|---|---|---|
| 1 | 2 | 3 | 4 | |
| 1 | 73.2,* CH | 73.5, CH | 73.2,* CH | 73.2,* CH |
| 2 | 23.5, CH2 | 23.6, CH2 | 23.3, CH2 | 23.3, CH2 |
| 3 | 36.9, CH2 | 38.3, CH2 | 37.0, CH2 | 37.0, CH2 |
| 4 | 73.3,* C | 70.6, C | 73.3,* CH | 73.3,* CH |
| 5 | 92.4, C | 92.4, C | 91.8, C | 91.9, C |
| 6 | 79.4, CH | 79.4, CH | 78.0, CH | 78.0, CH |
| 7 | 49.0, CH | 48.0, CH | 56.0, CH | 55.9, CH |
| 8 | 31.7, CH2 | 31.8, CH2 | 70.3, CH | 70.5, CH |
| 9 | 72.1, CH | 72.0, CH | 74.4, CH | 74.6, CH |
| 10 | 50.3, C | 51.6, C | 48.7, C | 48.8, C |
| 11 | 84.9, C | 84.8, C | 85.5, C | 85.6, C |
| 12 | 69.4, CH2 | 68.8, CH2 | 69.8, CH2 | 70.3, CH2 |
| 13 | 25.1, CH3 | 24.7, CH3 | 24.9, CH3 | 24.9, CH3 |
| 14 | 23.8, CH3 | 24.2, CH3 | 23.8, CH3 | 23.8, CH3 |
| 15 | 20.0, CH3 | 19.8, CH3 | 20.1, CH3 | 20.2, CH3 |
| 16 | 167.1, C | 167.1, C | 167.1, C | 167.1, C |
| 17 | 60.8, CH2 | 60.8, CH2 | 60.8, CH2 | 60.8, CH2 |
| 18 | 170.2, C | 170.2, C | 170.2, C | 170.2, C |
| 19 | 20.3, CH3 | 20.4, CH3 | 20.3, CH3 | 20.3, CH3 |
| 20 | 165.9, C | 166.0, C | 167.6, C | 167.9, C |
| 21 | 117.7, CH | 117.0, CH | 117.5, CH | 117.3, CH |
| 22 | 146.2, CH | 146.3, CH | 146.9, CH | 147.1, CH |
| 23 | 134.6, C | 134.6, C | 134.6, C | 134.5, C |
| 24 | 128.6, CH | 128.7, CH | 128.7, CH | 128.76, CH |
| 25 | 128.8, CH | 128.8, CH | 128.9, CH | 128.83, CH |
| 26 | 130.4, CH | 130.5, CH | 130.5, CH | 130.6, CH |
| 27 | 128.8, CH | 128.8, CH | 128.9, CH | 128.83, CH |
| 28 | 128.6, CH | 128.7, CH | 128.7, CH | 128.76, CH |
| 29 | 167.6, C | 127.5, C | 167.9, C | 166.4, C |
| 30 | 128.5, C | 128.4, C | 128.8, C | 130.5, C |
| 31 | 137.7, CH | 137.9, CH | 137.5, CH | 129.8, CH |
| 32 | 14.5, CH3 | 14.6, CH3 | 14.5, CH3 | 128.5, CH |
| 33 | 12.2, CH3 | 12.2, CH3 | 12.2, CH3 | 133.1, CH |
| 34 | - | 170.6, C | - | 128.5, CH |
| 35 | - | 21.8, CH3 | - | 129.8, CH |
© 2019 by the authors. Licensee MDPI, Basel, Switzerland. This article is an open access article distributed under the terms and conditions of the Creative Commons Attribution (CC BY) license (http://creativecommons.org/licenses/by/4.0/).
Share and Cite
Wibowo, M.; Forster, P.I.; Guymer, G.P.; Hofmann, A.; Davis, R.A. Using UHPLC-MS Profiling for the Discovery of New Dihydro-β-Agarofurans from Australian Celastraceae Plant Extracts. Molecules 2019, 24, 859. https://doi.org/10.3390/molecules24050859
Wibowo M, Forster PI, Guymer GP, Hofmann A, Davis RA. Using UHPLC-MS Profiling for the Discovery of New Dihydro-β-Agarofurans from Australian Celastraceae Plant Extracts. Molecules. 2019; 24(5):859. https://doi.org/10.3390/molecules24050859
Chicago/Turabian StyleWibowo, Mario, Paul I. Forster, Gordon P. Guymer, Andreas Hofmann, and Rohan A. Davis. 2019. "Using UHPLC-MS Profiling for the Discovery of New Dihydro-β-Agarofurans from Australian Celastraceae Plant Extracts" Molecules 24, no. 5: 859. https://doi.org/10.3390/molecules24050859
APA StyleWibowo, M., Forster, P. I., Guymer, G. P., Hofmann, A., & Davis, R. A. (2019). Using UHPLC-MS Profiling for the Discovery of New Dihydro-β-Agarofurans from Australian Celastraceae Plant Extracts. Molecules, 24(5), 859. https://doi.org/10.3390/molecules24050859

