HPLC Analysis and Skin Whitening Effects of Umbelliprenin-containing Extracts of Anethum Graveolens, Pimpinella Anisum, and Ferulago Campestris
Abstract
:1. Introduction
2. Results and Discussion
2.1. HPLC Analysis
2.2. Quantification of Umbelliprenin in Seeds Extracts
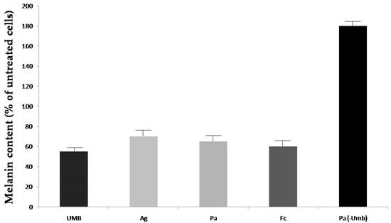
2.3. Modulation of Melanogenesis by Seeds Extracts
3. Materials and Methods
3.1. Chemicals and Reagents
3.2. Plant Samples and Extraction
3.3. HPLC
3.4. Cell Culture
3.5. Cell Viability Assay
3.6. Melanin Content Measurement
4. Patents
Author Contributions
Funding
Acknowledgments
Conflicts of Interest
References
- Li, G.; Li, X.; Cao, L.; Zhang, L.; Shen, L.; Zhu, J.; Wang, J.; Si, J. Sesquiterpene coumarins from seeds of Ferula sinkiangensis. Fitoterapia 2015, 103, 222–226. [Google Scholar] [CrossRef] [PubMed]
- Yrjonen, T.; Eeva, M.; Kauppila, T.J.; Martiskainen, O.; Summanen, J.; Vuorela, P.; Vuorela, H. Profiling of coumarins in Peucedanum palustre (L.) Moench. Population growing in Finland. Chem. Biodivers. 2016, 13, 700–709. [Google Scholar] [CrossRef] [PubMed]
- Vuckovic, I.; Trajkovic, V.; Macura, S.; Tesevic, V.; Janackovic, P.; Milosevljevic, S. A novel cytotoxic lignan from Seseli annuum L. Phytother. Res. 2007, 21, 790–792. [Google Scholar] [CrossRef] [PubMed]
- Rosselli, S.; Maggio, A.; Bellone, G.; Formisano, C.; Basile, A.; Cicala, C.; Alfieri, A.; Mascolo, N.; Bruno, M. Antibacterial and anticoagulant activities of coumarins isolated from the flowers of Magydaris tomentosa. Planta Med. 2007, 73, 116–120. [Google Scholar] [CrossRef]
- Anw-Mustafa, E.A.; el Bay, F.K.; Fayez, M.B. Natural coumarins XII. Umbelliprenin a constituent of Ammi majus L. J. Pharm. Sci. 1971, 60, 788–789. [Google Scholar] [CrossRef]
- Shakeri, A.; Iranshahy, M.; Iranshahi, M. Biological properties and molecular targets of umbelliprenin—A mini-review. J. Asian Nat. Prod. Res. 2014, 16, 884–889. [Google Scholar] [CrossRef]
- Epifano, F.; Genovese, S.; Menghini, L.; Curini, M. Chemistry and pharmacology of oxyprenylated secondary plant metabolites. Phytochemistry 2007, 68, 939–953. [Google Scholar] [CrossRef]
- Zamani Taghizadeh Rabe, S.; Iranshahi, M.; Mahmoudi, M. In vitro anti-inflammatory and immunomodulatory properties of umbelliprenin and methyl galbanate. J. Immunotoxicol. 2016, 13, 209–216. [Google Scholar] [CrossRef]
- Genovese, S.; Fiorito, S.; Epifano, F.; Taddeo, V.A. A novel class of emergiong anti-cancer compounds: Oxyprenylated secondary metabolites from plants and fungi. Curr. Med. Chem. 2015, 22, 3426–3433. [Google Scholar] [CrossRef]
- Fiorito, S.; Epifano, F.; Preziuso, F.; Cacciatore, I.; Di Stefano, A.; Taddeo, V.A.; de Medina, P.; Genovese, S. Natural oxyprenylated coumarins are modulators of melanogenesis. Eur. J. Med. Chem. 2018, 152, 274–282. [Google Scholar] [CrossRef]
- Fiorito, S.; Epifano, F.; Taddeo, V.A.; Genovese, S. Recent acquisitions on oxyprenylated secondary metabolites as anti-inflammatory agents. Eur. J. Med. Chem. 2018, 153, 116–122. [Google Scholar] [CrossRef] [PubMed]
- Zhu, W.; Gao, J. The use of botanical extracts as topical skin lightening agents for the improvement of skin pigmentation disorders. J. Investig. Dermatol. Symp. Proc. 2008, 13, 20–24. [Google Scholar] [CrossRef] [PubMed]
- Nakagawa, M.; Kawai, K.; Kawai, K. Contact allergy contact to kojic acid in skin care products. Contact Dermat. 1995, 32, 9–13. [Google Scholar] [CrossRef]
- Do, Q.T.; Bernard, P. Pharmacognosy and reverse pharmacognosy: A new concept for accelerating natural drug discovery. IDrugs 2004, 7, 1017–1027. [Google Scholar] [PubMed]
- Saeidnia, S.; Gohari, A.R.; Manayi, A. Reverse pharmacognosy and reverse pharmacology; two closely related approaches for drug discovery development. Curr. Pharm. Biotechnol. 2016, 17, 1016–1022. [Google Scholar] [CrossRef] [PubMed]
- Taddeo, V.A.; Genovese, S.; de Medina, P.; Palmisano, R.; Epifano, F.; Fiorito, S. Quantification of biologically active O-prenylated and unprenylated phenylpropanoids in dill (Anethum graveolens), anise (Pimpinella anisum), and wild celery (Angelica archangelica). J. Pharm. Biomed. Anal. 2017, 134, 319–324. [Google Scholar] [CrossRef] [PubMed]
- Bruyere, C.; Genovese, S.; Lallemand, B.; Ionescu-Motatu, A.; Curini, M.; Kiss, R.; Epifano, F. Growth inhibitory activities of oxyprenylated and non-prenylated naturally occurring phenylpropanoids in cancer cell lines. Bioorg. Med. Chem. Lett. 2011, 21, 4173–4178. [Google Scholar] [CrossRef]
- Mantegna, S.; Binello, A.; Boffa, L.; Giorgis, M.; Cena, C.; Cravotto, G. A one-pot ultrasound-water extraction/cyclodextrin encapsulation of resveratrol from Polygonum cuspidatum. Food Chem. 2012, 130, 746–750. [Google Scholar] [CrossRef]
- Kfoury, M.; Landy, D.; Auezova, L.; Greige-Gerges, H.; Fourmentin, S. Effect of cyclodextrin complexation on phenylpropanoids solubility and antioxidantactivity. Beilstein J. Org. Chem. 2014, 10, 2322–2331. [Google Scholar] [CrossRef]
- Tatke, P.; Jaiswal, Y. An overview of microwave assisted extraction and its applications in herbal drug research. Res. J. Med. Plants 2011, 5, 21–31. [Google Scholar] [CrossRef]
- Khumar, V.; Bhutani, H.; Singh, S. ICH guidance in practice: Validated stability-indicating HPLC method for simultaneous determination of ampicillin and cloxacillin in combination drug products. J. Pharm. Biomed. Anal. 2007, 43, 769–773. [Google Scholar] [CrossRef] [PubMed]
- Stavri, M.; Gibbons, S. The antimycobacterial constituents of dill (Anethum graveolens). Phytother. Res. 2005, 19, 938–941. [Google Scholar] [CrossRef] [PubMed]
- Fukuoka, M.; Yoshihira, K.; Natori, S.; Sakamoto, K.; Iwahara, S.; Hosaka, S.; Hirono, I. Characterization of mutagenic principles and carcinogenicity of dill weed and seeds. J. Pharmacobiodyn. 1980, 3, 236–244. [Google Scholar] [CrossRef] [PubMed]
- Crowden, R.K.; Harborne, J.B.; Heywood, J.H. Chemosystematics of the Umbelliferae. A general survey. Phytochemistry 1969, 8, 1963–1984. [Google Scholar] [CrossRef]
- Pickrahn, S.; Sebald, K.; Hofmann, K. Application of 2D-HPLC/taste dilution analysis on taste compounds in aniseed (Pimpinella anisum L.). J. Agric. Food Chem. 2014, 62, 9239–9245. [Google Scholar] [CrossRef] [PubMed]
- Shojaii, A.; Fard, M.A. Review of pharmacological properties and chemical constitutents of Pimpinella anisum. ISRN Pharm. 2012, 2012, 510795. [Google Scholar] [CrossRef]
- Sohm, B.; Cenizo, V.; Andrè, V.; Zahouani, H.; Pailler-Mettei, C.; Vogelgesang, B. Evaluation of the efficacy of a dill extract in vitro and in vivo. Int. J. Cosmet. Sci. 2011, 33, 157–163. [Google Scholar] [CrossRef] [PubMed]
- Ding, A.J.; Zheng, S.Q.; Huang, X.B.; Xing, T.K.; Wu, G.S.; Sun, H.Y.; Qi, S.H.; Luo, H.R. Current perspective in the discovery of anti-aging agents from natural products. Nat. Prod. Bioprospect. 2017, 7, 335–404. [Google Scholar] [CrossRef] [PubMed]
- Liebermann, H.B.; Hopkins, K.M. Methods to induce cell cycle checkpoints. In Methods in Molecular Biology; Liebermann, H.B., Ed.; Humana Press: Totowa, NJ, USA, 2004; Volume 241, p. 6. [Google Scholar]
Sample Availability: Samples of umbelliprenin and plant extracts are available from the authors. |


| QClow | QCmedium | QChigh | |
|---|---|---|---|
| Within assay | |||
| Mean back-calculated | 2.49 | 24.98 | 44.96 |
| RSD% | 3.48 | 4.02 | 3.09 |
| Bias% | −0.12 | −0.48 | −1.96 |
| Between assay | |||
| Mean back-calculated | 2.49 | 24.91 | 44.92 |
| RSD% | 4.47 | 3.97 | 3.06 |
| Bias% | −0.29 | −0.22 | −0.33 |
| A * | B * | C * | D * | |
|---|---|---|---|---|
| A. graveolens | ||||
| 1 ** | 1267.77 ± 7.43 | 22 ± 1.24 | ND | 0.6 ± 0.05 |
| 2 ** | 544.21 ± 3.11 | 14.22 ± 0.95 | ND | ND |
| 3 ** | 122.44 ± 2.98 | 11.33± 0.91 | ND | ND |
| P. anisum | ||||
| 1 ** | 43.12 ± 1.77 | 24.15 ± 0.87 | 1.16 ± 0.04 | 7.08 ± 0.54 |
| 2 ** | 35.76 ± 1.11 | 52.32 ± 2.12 | 0.89 ± 0.05 | 9.54 ± 0.61 |
| 3 ** | 38.44 ± 1.16 | 7.15 ± 0.44 | 1.02 ± 0.04 | 0.44 ± 0.02 |
| F. campestris | ||||
| 1 ** | 112.66 ± 3.91 | 8.16 ± 0.26 | ND | ND |
| 2 ** | 221.35 ± 1.06 | 15.4 ± 0.81 | ND | ND |
| 3 ** | 133.48 ± 2.43 | 9.14 ± 0.53 | ND | ND |
© 2019 by the authors. Licensee MDPI, Basel, Switzerland. This article is an open access article distributed under the terms and conditions of the Creative Commons Attribution (CC BY) license (http://creativecommons.org/licenses/by/4.0/).
Share and Cite
Taddeo, V.A.; Epifano, F.; Preziuso, F.; Fiorito, S.; Caron, N.; Rives, A.; de Medina, P.; Poirot, M.; Silvente-Poirot, S.; Genovese, S. HPLC Analysis and Skin Whitening Effects of Umbelliprenin-containing Extracts of Anethum Graveolens, Pimpinella Anisum, and Ferulago Campestris. Molecules 2019, 24, 501. https://doi.org/10.3390/molecules24030501
Taddeo VA, Epifano F, Preziuso F, Fiorito S, Caron N, Rives A, de Medina P, Poirot M, Silvente-Poirot S, Genovese S. HPLC Analysis and Skin Whitening Effects of Umbelliprenin-containing Extracts of Anethum Graveolens, Pimpinella Anisum, and Ferulago Campestris. Molecules. 2019; 24(3):501. https://doi.org/10.3390/molecules24030501
Chicago/Turabian StyleTaddeo, Vito Alessandro, Francesco Epifano, Francesca Preziuso, Serena Fiorito, Nicolas Caron, Arnaud Rives, Philippe de Medina, Marc Poirot, Sandrine Silvente-Poirot, and Salvatore Genovese. 2019. "HPLC Analysis and Skin Whitening Effects of Umbelliprenin-containing Extracts of Anethum Graveolens, Pimpinella Anisum, and Ferulago Campestris" Molecules 24, no. 3: 501. https://doi.org/10.3390/molecules24030501
APA StyleTaddeo, V. A., Epifano, F., Preziuso, F., Fiorito, S., Caron, N., Rives, A., de Medina, P., Poirot, M., Silvente-Poirot, S., & Genovese, S. (2019). HPLC Analysis and Skin Whitening Effects of Umbelliprenin-containing Extracts of Anethum Graveolens, Pimpinella Anisum, and Ferulago Campestris. Molecules, 24(3), 501. https://doi.org/10.3390/molecules24030501

