Four New Iridoid Metabolites Have Been Isolated from the Stems of Neonauclea reticulata (Havil.) Merr. with Anti-Inflammatory Activities on LPS-Induced RAW264.7 Cells
Abstract
1. Introduction
2. Results and Discussions
2.1. Isolation and Structural Elucidation
2.2. In-Vitro Cell Viability and NO Inhibition Activity of the Compounds 1–20
3. Materials and Methods
3.1. General
3.2. Chemicals
3.3. Plant Material
3.4. Extraction and Isolation
3.5. Cell Culture
3.6. Cell Viability Assay
3.7. NO Assay
3.8. Statistical Analysis
4. Conclusions
Supplementary Materials
Author Contributions
Funding
Acknowledgments
Conflicts of Interest
References
- Ordas, J.A.D.; Banag, C.I.; Alejandro, G.J.D. Neonauclea viridiflora (Rubiaceae), a New Species of Naucleeae from Eastern Samar, with Notes on Myrmecophytic Species in the Philippines. Syst. Bot. 2017, 42, 364–370. [Google Scholar] [CrossRef]
- Ordas, J.A.D.; Taradji, A.R.J.; Valdez, M.B., Jr.; Banag, C.I.; Alejandro, G.J.D. Neonauclea connicalycina: A new myrmecophytic species of Naucleeae (Rubiaceae) from Cebu, Philippines. Phytotaxa 2016, 273, 127–132. [Google Scholar] [CrossRef]
- Yang, T.Y.A. Neonauclea Merr. In Flora of Taiwan, 2nd ed.; The College of Science and Agriculture, National Taiwan University: Taipei, Taiwan, 1998; pp. 304–306. [Google Scholar]
- Cheng, H.W.; Wang, K.C.; Liau, S.H.; Sh, N.P. The Structure and Woody Material of the Yami’s Planked Boats on Botel Tobago. J. East. Taiwan Stud. 2002, 7, 3–44. [Google Scholar]
- Tosa, H.; Iinuma, M.; Asai, F.; Tanaka, T.; Nozaki, H.; Ikeda, S.; Tsutsui, K.; Tsutsui, K.; Yamada, M.; Fujimori, S. Anthraquinones from Neonauclea calycina and their inhibitory activity against DNA topoisomerase II. Biol. Pharm. Bull. 1998, 21, 641–642. [Google Scholar] [CrossRef] [PubMed]
- Atta ur, R.; Vohra, I.I.; Choudhary, M.I.; de Silva, L.B.; Herath, W.H.M.W.; Navaratne, K.M. Neozeylanicine: A Novel Alkaloid from the Timber of Neonauclea zeylanica. Planta Med. 1988, 54, 461–462. [Google Scholar]
- Kang, W.Y.; Zhang, B.R.; Hao, X.J. Isolation and Identification of a New Triterpene from Neonauclea sessilifolia. Chem. J. Chin. Univ. 2007, 28, 2096–2098. [Google Scholar]
- Itoh, A.; Tanahashi, T.; Nagakura, N.; Nishi, T. Two Triterpenoid Saponins from Neonauclea sessilifolia. Chem. Pharm. Bull. 2003, 51, 1335–1337. [Google Scholar] [CrossRef]
- Chang, F.P.; Chao, W.; Wang, S.Y.; Huang, H.C.; Sung, P.J.; Chen, J.J.; Cheng, M.J.; Huang, G.J.; Kuo, Y.H. Three New Iridoid Derivatives Have Been Isolated from the Stems of Neonauclea reticulata (Havil.) Merr. with Cytotoxic Activity on Hepatocellular Carcinoma Cells. Molecules 2018, 23, 2297. [Google Scholar] [CrossRef]
- Chiang, H.M.; Chen, H.C.; Chiu, H.H.; Chen, C.W.; Wang, S.M.; Wen, K.C. Neonauclea reticulata (Havil.) Merr Stimulates Skin Regeneration after UVB Exposure via ROS Scavenging and Modulation of the MAPK/MMPs/Collagen Pathway. Evid. Based Complement. Altern. Med. 2013, 2013, 1–9. [Google Scholar] [CrossRef]
- Moon, S.M.; Lee, S.A.; Hong, J.H.; Kim, J.S.; Kim, D.K.; Kim, C.S. Oleamide suppresses inflammatory responses in LPS-induced RAW264.7 murine macrophages and alleviates paw edema in a carrageenan-induced inflammatory rat model. Int. Immunopharmacol. 2018, 56, 179–185. [Google Scholar] [CrossRef]
- Pan, M.H.; Chiou, Y.S.; Tsai, M.L.; Ho, C.T. Anti-inflammatory activity of traditional Chinese medicinal herbs. J. Tradit. Complement. Med. 2011, 1, 8–24. [Google Scholar] [CrossRef]
- Li, P.Y.; Liang, Y.C.; Sheu, M.J.; Huang, S.S.; Chao, C.Y.; Kuo, Y.H.; Huang, G.J. Alpinumisoflavone attenuates lipopolysaccharide-induced acute lung injury by regulating the effects of anti-oxidation and anti-inflammation both in vitro and in vivo. RSC Adv. 2018, 8, 31515–31528. [Google Scholar] [CrossRef]
- Liu, Y.; Li, D.; Jiang, Q.; Zhang, Q.; Liu, P.; Wang, L.; Zong, M.; Zhang, Q.; Li, H.; An, Y.; et al. (3R, 7R)-7-Acetoxyl-9-Oxo-de-O-Methyllasiodiplodin, a Secondary Metabolite of Penicillium Sp., Inhibits LPS-Mediated Inflammation in RAW 264.7 Macrophages through Blocking ERK/MAPKs and NF-kappaB Signaling Pathways. Inflammation 2019, 42, 1463–1473. [Google Scholar] [CrossRef] [PubMed]
- Michel, S.; Skaltsounis, A.L.; Tillequin, F.; Koch, M.; Assi, L.A. Alcaloïdes des Feuilles de Strychnos dinklagei. J. Nat. Prod. 1985, 48, 86–92. [Google Scholar] [CrossRef]
- Huiyan, Z.; Wenmei, Y.; Dechang, C.; Qitai, Z. An iridoid from Siphonostegia chinensis. Phytochemistry 1992, 31, 3268–3269. [Google Scholar] [CrossRef]
- Salam, A.; Ray, S.; Zaid, M.A.; Kumar, D.; Khan, T. Total syntheses of several iridolactones and the putative structure of noriridoid scholarein A: An intramolecular Pauson–Khand reaction based one-stop synthetic solution. Org. Biomol. Chem. 2019, 17, 6831–6842. [Google Scholar] [CrossRef]
- Borges, C.M.P.; Diakanawma, C.; Mendonça, D.I.M.D.d. Iridoids from Hymenodictyon floribundum. J. Braz. Chem. Soc. 2010, 21, 1121–1125. [Google Scholar] [CrossRef]
- Topcu, G.; Che, C.T.; Cordell, G.A.; Ruangrungsi, N. Iridolactones from Alyxia reinwardti. Phytochemistry 1990, 29, 3197–3199. [Google Scholar] [CrossRef]
- Xiong, R.; Jiang, J.; Chen, Y. Cytotoxic lignans from Cryptocarya impressinervia. Nat. Prod. Res. 2019, 1–5. [Google Scholar] [CrossRef]
- Sribuhom, T.; Sriphana, U.; Thongsri, Y.; Yenjai, C. Chemical constituents from the stems of Alyxia schlechteri. Phytochem. Lett. 2015, 11, 80–84. [Google Scholar] [CrossRef]
- Wen, L.; Wei, Q.; Chen, G.; Cai, J.; She, Z. Chemical Constituents From the Mangrove Endophytic Fungus Sporothrix sp. Chem. Nat. Compd. 2013, 49, 137–140. [Google Scholar] [CrossRef]
- Azzizudin; Makhmoor, T.; Choudhary, M.I. Radical scavenging potential of compounds isolated from Vitex agnus-castus. Turk. J. Chem. 2010, 34, 119–126. [Google Scholar]
- Al Musayeib, N.; Perveen, S.; Fatima, I.; Nasir, M.; Hussain, A. Antioxidant, Anti-Glycation and Anti-Inflammatory Activities of Phenolic Constituents from Cordia sinensis. Molecules 2011, 16, 10214–10226. [Google Scholar] [CrossRef] [PubMed]
- Yannick Stephane, F.F.; Dawe, A.; Angelbert Fusi, A.; Jean Jules, B.K.; Ulrich, K.K.D.; Lateef, M.; Bruno, L.N.; Ali, M.S.; Ngouela, S.A. Crotoliganfuran, a new clerodane-type furano-diterpenoid from Croton oligandrus Pierre ex Hutch. Nat. Prod. Res. 2019, 1–9. [Google Scholar] [CrossRef] [PubMed]
- Jones, L.; Bartholomew, B.; Latif, Z.; Sarker, S.D.; Nash, R.J. Constituents of Cassia laevigata. Fitoterapia 2000, 71, 580–583. [Google Scholar] [CrossRef]
- Yang, D.; Xie, H.; Yang, B.; Wei, X. Two tetrahydroisoquinoline alkaloids from the fruit of Averrhoa carambola. Phytochem. Lett. 2014, 7, 217–220. [Google Scholar] [CrossRef]
- Tran, T.T.; Kim, M.; Jang, Y.; Lee, H.W.; Nguyen, H.T.; Nguyen, T.N.; Park, H.W.; Dang, Q.L.; Kim, J.C. Characterization and mechanisms of anti-influenza virus metabolites isolated from the Vietnamese medicinal plant Polygonum chinense. BMC Complement. Altern. Med. 2017, 17, 162. [Google Scholar] [CrossRef]
- Liu, J.; Li, C.J.; Du, Y.Q.; Li, L.; Sun, H.; Chen, N.H.; Zhang, D.M. Bioactive Compounds from the Stems of Clausena lansium. Molecules 2017, 22, 2226. [Google Scholar] [CrossRef]
- Ji, L.L.; Wang, X.; Li, J.J.; Zhong, X.J.; Zhang, B.; Juan, J.; Shang, X.Y. New Iridoid Derivatives from the Fruits of Cornus officinalis and Their Neuroprotective Activities. Molecules 2019, 24, 625. [Google Scholar] [CrossRef]
- Horn, M.M.; Drewes, S.E.; Brown, N.J.; Munro, O.Q.; Meyer, J.J.M.; Mathekga, A.D.M. Transformation of naturally-occurring 1,9-trans-9,5-cis sweroside to all trans sweroside during acetylation of sweroside aglycone. Phytochemistry 2001, 57, 51–56. [Google Scholar] [CrossRef]
- Hart, N.K.; Johns, S.R.; Lamberton, J.A. Alkaloids of Jasminum species (family Oleaceae). II. Isolation of a new monoterpenoid alkaloid and other constituents. Aust. J. Chem. 1969, 22, 1283–1290. [Google Scholar] [CrossRef]
- Vane, J.R.; Botting, R.M. Mechanism of Action of Nonsteroidal Anti-inflammatory Drugs. Am. J. Med. 1998, 104, 2S–8S. [Google Scholar] [CrossRef]
- Borthakur, A.; Bhattacharyya, S.; Dudeja, P.K.; Tobacman, J.K. Carrageenan induces interleukin-8 production through distinct Bcl10 pathway in normal human colonic epithelial cells. Am. J. Physiol. Gastrointest. Liver Physiol. 2007, 292, G829–G838. [Google Scholar] [CrossRef] [PubMed]
- Min, S.W.; Ryu, S.N.; Kim, D.H. Anti-inflammatory effects of black rice, cyanidin-3-O-β-d-glycoside, and its metabolites, cyanidin and protocatechuic acid. Int. Immunopharmacol. 2010, 10, 959–966. [Google Scholar] [CrossRef] [PubMed]
- Cario, E.; Rosenberg, I.M.; Brandwein, S.L.; Beck, P.L.; Reinecker, H.C.; Podolsky, D.K. Lipopolysaccharide Activates Distinct Signaling Pathways in Intestinal Epithelial Cell Lines Expressing Toll-Like Receptors. J. Immunol. 2000, 164, 966–972. [Google Scholar] [CrossRef] [PubMed]
- Hussain, T.; Tan, B.; Yin, Y.; Blachier, F.; Tossou, M.C.B.; Rahu, N. Oxidative Stress and Inflammation: What Polyphenols Can Do for Us? Oxidative Med. Cell. Longev. 2016, 2016, 9. [Google Scholar] [CrossRef] [PubMed]
- Bajpai, V.K.; Alam, M.B.; Quan, K.T.; Ju, M.K.; Majumder, R.; Shukla, S.; Huh, Y.S.; Na, M.; Lee, S.H.; Han, Y.K. Attenuation of inflammatory responses by (+)-syringaresinol via MAP-Kinase-mediated suppression of NF-κB signaling in vitro and in vivo. Sci. Rep. 2018, 8, 9216. [Google Scholar] [CrossRef]
- Chin, Y.W.; Chai, H.B.; Keller, W.J.; Kinghorn, A.D. Lignans and Other Constituents of the Fruits of Euterpe oleracea (Açai) with Antioxidant and Cytoprotective Activities. J. Agric. Food Chem. 2008, 56, 7759–7764. [Google Scholar] [CrossRef]
- Bufalo, M.; Ferreira, I.; Costa, G.; Francisco, V.; Liberal, J.; Cruz, M.; Lopes, M.; Batista, M.; Sforcin, J. Propolis and its constituent caffeic acid suppress LPS-stimulated pro-inflammatory response by blocking NF-κB and MAPK activation in macrophages. J. Ethnopharmacol. 2013, 149, 84–92. [Google Scholar] [CrossRef]
- Quispe, Y.N.G.; Hwang, S.H.; Wang, Z.; Zuo, G.; Lim, S.S. Screening In Vitro Targets Related to Diabetes in Herbal Extracts from Peru: Identification of Active Compounds in Hypericum laricifolium Juss. by Offline High-Performance Liquid Chromatography. Int. J. Mol. Sci. 2017, 18, 2512. [Google Scholar] [CrossRef]
- Huang, S.W.; Qiao, J.W.; Sun, X.; Gao, P.Y.; Li, L.Z.; Liu, Q.B.; Sun, B.; Wu, D.L.; Song, S.J. Secoiridoids and lignans from the leaves of Diospyros kaki Thunb. with antioxidant and neuroprotective activities. J. Funct. Foods 2016, 24, 183–195. [Google Scholar] [CrossRef]
- Lee, J.W.; Lee, J.H.; Lee, C.; Jin, Q.; Lee, D.; Kim, Y.; Hong, J.T.; Lee, M.K.; Hwang, B.Y. Inhibitory constituents of Sophora tonkinensis on nitric oxide production in RAW 264.7 macrophages. Bioorg. Med. Chem. Lett. 2015, 25, 960–962. [Google Scholar] [CrossRef] [PubMed]
- Dai, J.Q.; Liu, Z.L.; Yang, L. Non-glycosidic iridoids from Cymbaria mongolica. Phytochemistry 2002, 59, 537–542. [Google Scholar] [CrossRef]
- Yang, H.; Du, Z.; Wang, W.; Song, M.; Sanidad, K.; Sukamtoh, E.; Zheng, J.; Tian, L.; Xiao, H.; Liu, Z.; et al. Structure–Activity Relationship of Curcumin: Role of the Methoxy Group in Anti-inflammatory and Anticolitis Effects of Curcumin. J. Agric. Food Chem. 2017, 65, 4509–4515. [Google Scholar] [CrossRef] [PubMed]
- Zheng, L.T.; Ryu, G.M.; Kwon, B.M.; Lee, W.H.; Suk, K. Anti-inflammatory effects of catechols in lipopolysaccharide-stimulated microglia cells: Inhibition of microglial neurotoxicity. Eur. J. Pharmacol. 2008, 588, 106–113. [Google Scholar] [CrossRef] [PubMed]
- Murakami, Y.; Kawata, A.; Suzuki, S.; Fujisawa, S. Cytotoxicity and Pro-/Anti-inflammatory Properties of Cinnamates, Acrylates and Methacrylates Against RAW264.7 Cells. In Vivo 2018, 32, 1309–1322. [Google Scholar] [CrossRef] [PubMed]
Sample Availability: Samples of the compounds 1–20 are available from the authors. |

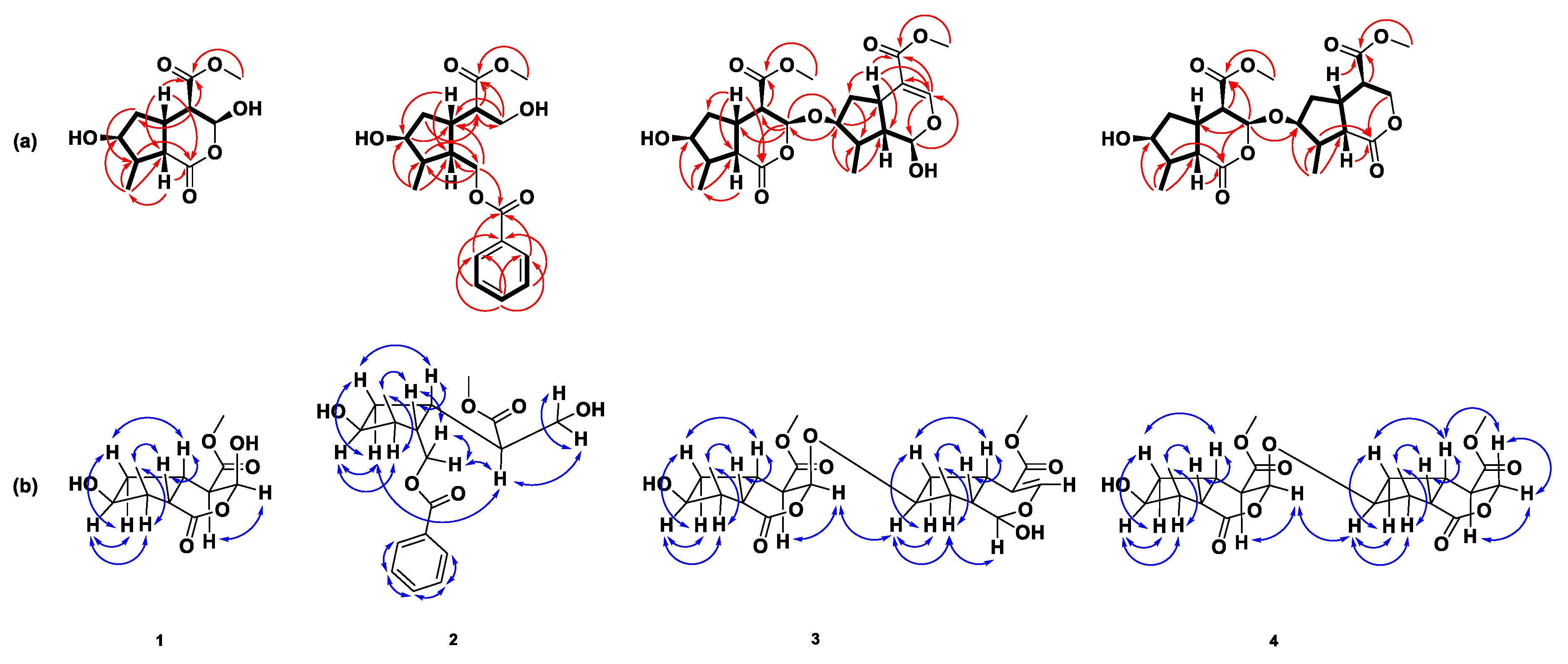
) correlations for compounds 1–4; (b). Significant NOESY (
) correlations of compounds 1–4.
) correlations for compounds 1–4; (b). Significant NOESY (
) correlations of compounds 1–4.

| Compounds | 1 | 2 | ||
|---|---|---|---|---|
| Position | 1H a | 13C | 1H a | 13C |
| 1 | 173.7 | 4.21 (dd, J = 11.7, 5.7) | 65.4 | |
| 4.44 (dd, J = 11.7, 4.9) | ||||
| 2 | ||||
| 3 | 5.90 (brs) | 94.7 | 3.77 (dd, J = 11.0, 6.8) | 63.6 |
| 3.89 (dd, J = 11.0, 3.6) | ||||
| 4 | 2.59 (dd, J = 10.9, 2.1) | 50.0 | 2.70 (ddd, J = 10.7, 6.8, 3.6) | 48.3 |
| 5 | 3.32 (m) | 32.0 | 2.99 (m) | 37.0 |
| 6α | 1.45 (td, J = 10.8, 3.4) | 42.0 | 1.65 (td, J = 12.6, 4.4) | 39.1 |
| 6β | 2.33 (m) | 1.95 (dd, J = 12.6, 6.6) | ||
| 7 | 4.14 (q, J = 3.4) | 75.0 | 4.24 (q, J = 4.4) | 75.1 |
| 8 | 2.30 (m) | 43.6 | 2.05 (m) | 42.4 |
| 9 | 2.88 (t, J = 10.9) | 46.2 | 2.22 (m) | 44.9 |
| 10 | 1.28 (d, J = 7.0) | 14.4 | 1.13 (d, J = 7.2) | 14.2 |
| 11 | 170.6 | 175.4 | ||
| 11-OMe | 3.78 (s) | 52.7 | 3.67 (s) | 52.2 |
| 1′ | 130.4 | |||
| 2′ | 8.00 (d, J = 7.5) | 129.7 | ||
| 3′ | 7.45 (t, J = 7.5) | 128.7 | ||
| 4′ | 7.57 (t, J = 7.5) | 133.3 | ||
| 5′ | 7.45 (t, J = 7.5) | 128.7 | ||
| 6′ | 8.00 (d, J = 7.5) | 129.7 | ||
| 7′ | 166.8 | |||
| Compound | 3 | Compound | 4 | ||
|---|---|---|---|---|---|
| Position | 1H a | 13C | Position | 1Ha | 13C |
| 1 | 174.1 | 1 | 173.5 | ||
| 2 | 2 | ||||
| 3 | 5.63 (d, J = 2.6) | 98.3 | 3 | 5.59 (d, J = 2.5) | 98.1 |
| 4 | 2.60 (dd, J = 11.6, 2.6) | 50.1 | 4 | 2.59 (dd, J = 11.6, 2.5) | 50.0 |
| 5 | 3.31 (m) | 32.0 | 5 | 3.33 (m) | 32.1 |
| 6α | 1.42 (m) | 42.3 | 6α | 1.42 (m) | 42.3 |
| 6β | 2.34 (dd, J = 13.6, 7.6) | 6β | 2.35 (dd, J = 13.8, 7.6) | ||
| 7 | 4.12 (m) | 75.1 | 7 | 4.13 (m) | 75.1 |
| 8 | 2.27(m) | 43.7 | 8 | 2.29 (m) | 43.6 |
| 9 | 2.79 (dd, J = 11.6, 10.1) | 46.2 | 9 | 2.77 (dd, J = 11.6, 10.1) | 46.1 |
| 10 | 1.29 (d, J = 6.9) | 14.6 | 10 | 1.29 (d, J = 6.8) | 14.6 |
| 11 | 169.7 | 11 | 169.8 | ||
| 11-OMe | 3.82 (s) | 52.7 | 11-OMe | 3.77, s | 52.6 |
| 1′ | 4.93 (d, J = 5.6) | 95.7 | 1′ | 173.3 | |
| 2′ | 2′ | ||||
| 3′ | 7.40 (d, J = 1.2) | 151.5 | 3′α | 4.45 (dd, J = 11.3, 3.3) | 67.5 |
| 3′β | 4.25 (dd, J = 11.3, 9.8) | ||||
| 4′ | 111.8 | 4′ | 2.52 (td, J = 9.8, 3.3) | 46.1 | |
| 5′ | 2.93 (q, J = 8.5) | 31.7 | 5′ | 2.84 (m) | 37.4 |
| 6′α | 1.37 (m) | 38.2 | 6′α | 1.37 (m) | 37.3 |
| 6′β | 2.42 (dd, J = 14.3, 7.4) | 6′β | 2.30 (m) | ||
| 7′ | 4.20 (m) | 80.4 | 7′ | 4.23 (m) | 81.0 |
| 8′ | 1.97 (m) | 40.9 | 8′ | 2.40 (m) | 43.9 |
| 9′ | 1.89 (td, J = 8.5, 5.6) | 46.8 | 9′ | 2.64 (dd, J = 11.2, 9.6) | 46.2 |
| 10′ | 1.08 (d, J = 6.9) | 13.9 | 10′ | 1.19 (d, J = 6.8) | 14.7 |
| 11′ | 167.6 | 11′ | 171.2 | ||
| 11′-OMe | 3.71 (s) | 51.4 | 11′-OMe | 3.74 (s) | 52.6 |
| Compounds | CC50 (μg/mL) a | IC50 (μg/mL) a | Compounds | CC50 (μg/mL) a | IC50 (μg/mL) a |
|---|---|---|---|---|---|
| 1 | >100 b | >100 | 11 | >100 b | >100 |
| 2 | >100 b | >100 | 12 | >100 b | 76.18 ± 2.42 *** |
| 3 | >100 b | >100 | 13 | >100 b | >100 |
| 4 | >100 b | >100 | 14 | >100 b | 72.91 ± 4.97 ** |
| 5 | >100 b | >100 | 15 | >100 b | 95.16 ± 1.20 *** |
| 6 | >100 b | >100 | 16 | >100 b | >100 |
| 7 | >100 b | 86.27 ± 3.45 *** | 17 | >100 b | >100 |
| 8 | >100 b | >100 | 18 | >100 b | >100 |
| 9 | >100 b | >100 | 19 | >100 b | >100 |
| 10 | >100 b | 9.18 ± 1.90 *** | 20 | >100 b | >100 |
| 11 | >100 b | >100 | Indomethacin | >100 b | 46.71 ± 3.14 |
© 2019 by the authors. Licensee MDPI, Basel, Switzerland. This article is an open access article distributed under the terms and conditions of the Creative Commons Attribution (CC BY) license (http://creativecommons.org/licenses/by/4.0/).
Share and Cite
Chang, F.-P.; Huang, S.-S.; Lee, T.-H.; Chang, C.-I.; Kuo, T.-F.; Huang, G.-J.; Kuo, Y.-H. Four New Iridoid Metabolites Have Been Isolated from the Stems of Neonauclea reticulata (Havil.) Merr. with Anti-Inflammatory Activities on LPS-Induced RAW264.7 Cells. Molecules 2019, 24, 4271. https://doi.org/10.3390/molecules24234271
Chang F-P, Huang S-S, Lee T-H, Chang C-I, Kuo T-F, Huang G-J, Kuo Y-H. Four New Iridoid Metabolites Have Been Isolated from the Stems of Neonauclea reticulata (Havil.) Merr. with Anti-Inflammatory Activities on LPS-Induced RAW264.7 Cells. Molecules. 2019; 24(23):4271. https://doi.org/10.3390/molecules24234271
Chicago/Turabian StyleChang, Fang-Pin, Shyh-Shyun Huang, Tzong-Huei Lee, Chi-I Chang, Tzong-Fu Kuo, Guan-Jhong Huang, and Yueh-Hsiung Kuo. 2019. "Four New Iridoid Metabolites Have Been Isolated from the Stems of Neonauclea reticulata (Havil.) Merr. with Anti-Inflammatory Activities on LPS-Induced RAW264.7 Cells" Molecules 24, no. 23: 4271. https://doi.org/10.3390/molecules24234271
APA StyleChang, F.-P., Huang, S.-S., Lee, T.-H., Chang, C.-I., Kuo, T.-F., Huang, G.-J., & Kuo, Y.-H. (2019). Four New Iridoid Metabolites Have Been Isolated from the Stems of Neonauclea reticulata (Havil.) Merr. with Anti-Inflammatory Activities on LPS-Induced RAW264.7 Cells. Molecules, 24(23), 4271. https://doi.org/10.3390/molecules24234271

