Reflectometry Reveals Accumulation of Surfactant Impurities at Bare Oil/Water Interfaces
Abstract
1. Introduction
2. Results and Discussion
2.1. Scattering Contrast of Hydrocarbon Chain Layers at Water/Hydrophobic Interfaces (Theory)
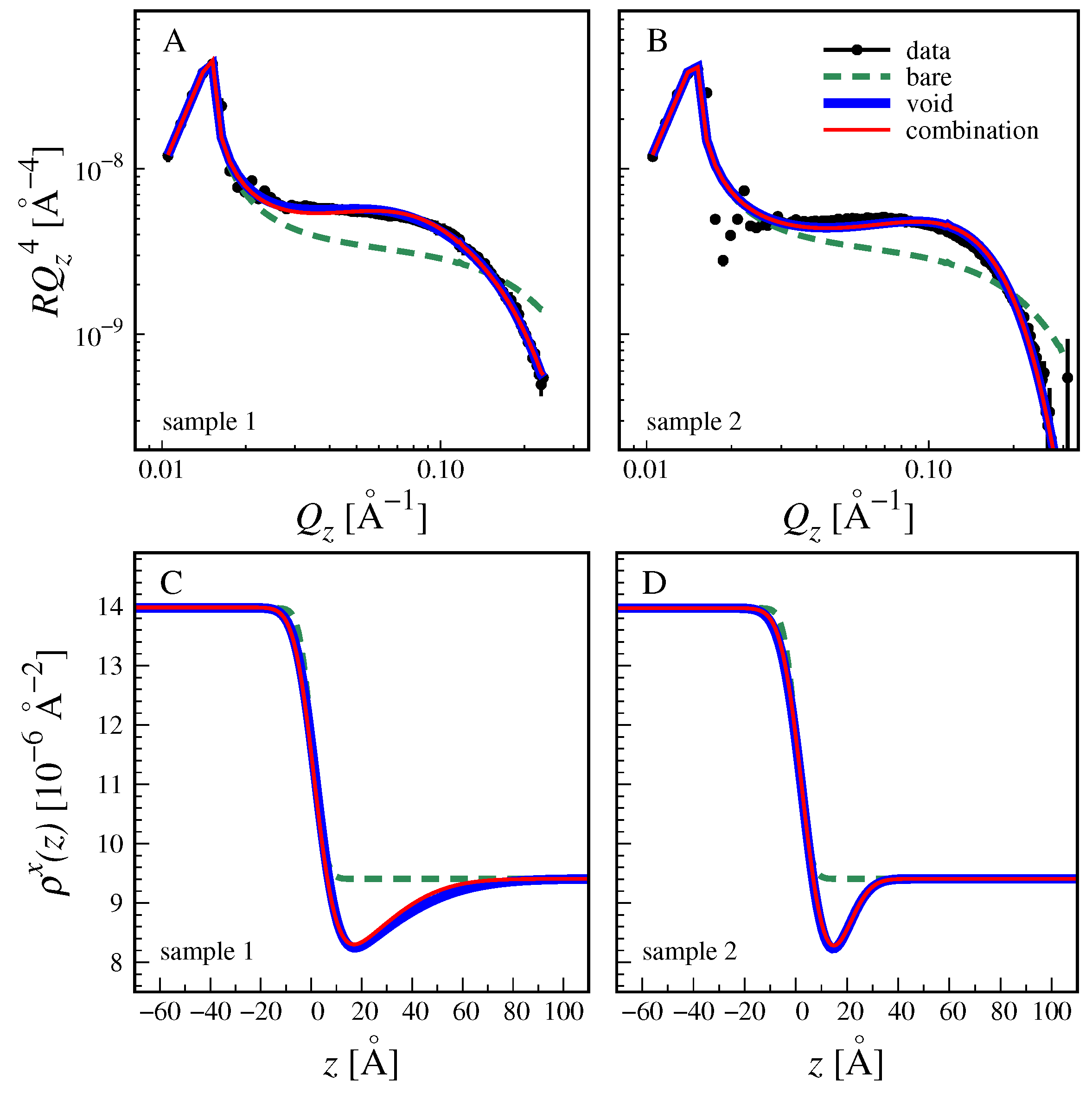
2.2. Experiments on Interfaces between Water and Fluorinated Oil
3. Materials and Methods
3.1. Chemicals and Sample Preparation
3.2. X-ray Reflectometry
3.3. Neutron Reflectometry
3.4. Reflectivity Analysis
4. Conclusions
Supplementary Materials
Author Contributions
Funding
Acknowledgments
Conflicts of Interest
Abbreviations
| XRR | X-ray reflectometry | 
| NR | Neutron reflectometry | 
| O/W | Oil/Water | 
| wat | Water | 
| HC | Hydrocarbon | 
| ppb | Parts per billion | 
| PFO | Perfluorooctane | 
References
- Lopez-Rodriguez, E.; Pérez-Gil, J. Structure-function relationships in pulmonary surfactant membranes: from biophysics to therapy. Biochim. Et Biophys. Acta (BBA)-Biomembr. 2014, 1838, 1568–1585. [Google Scholar] [CrossRef]
- Evans, D.F.; Wennerstrom, H. The Colloidal Domain—Where Physics, Chemistry, Biology, and Technology Meet; Wiley-Vch: Weinheim, Germany, 1999. [Google Scholar]
- Norde, W. Colloids and Interfaces in Life Sciences; CRC Press: Boca Raton, FL, USA, 2003. [Google Scholar]
- Mouritsen, O.G. Life-as a Matter of Fat; Springer: Berlin/Heidelberg, Germany, 2005. [Google Scholar]
- Scoppola, E.; Watkins, E.B.; Campbell, R.A.; Konovalov, O.; Girard, L.; Dufrêche, J.F.; Ferru, G.; Fragneto, G.; Diat, O. Solvent extraction: Structure of the liquid-liquid interface containing a diamide ligand. Angew. Chem. 2016, 128, 9472–9476. [Google Scholar] [CrossRef]
- Stubenrauch, C.; Von Klitzing, R. Disjoining pressure in thin liquid foam and emulsion films—new concepts and perspectives. J. Phys. Condens. Matter 2003, 15, R1197. [Google Scholar] [CrossRef]
- Kristen, N.; von Klitzing, R. Effect of polyelectrolyte/surfactant combinations on the stability of foam films. Soft Matter 2010, 6, 849–861. [Google Scholar] [CrossRef]
- Wierenga, P.; Gruppen, H. New views on foams from protein solutions. Curr. Opin. Colloid Interface Sci. 2010, 15, 365–373. [Google Scholar] [CrossRef]
- Fragneto, G.; Thomas, R.K.; Rennie, A.R.; Penfold, J. Neutron reflection study of bovine beta-casein adsorbed on OTS self-assembled monolayers. Science 1995, 267, 657–660. [Google Scholar] [CrossRef]
- Atkinson, P.J.; Dickinson, E.; Horne, D.S.; Richardson, R.M. Neutron reflectivity of adsorbed β-casein and β-lactoglobulin at the air/water interface. J. Chem. Soc. Faraday Trans. 1995, 91, 2847–2854. [Google Scholar] [CrossRef]
- Koelsch, P.; Viswanath, P.; Motschmann, H.; Shapovalov, V.; Brezesinski, G.; Möhwald, H.; Horinek, D.; Netz, R.R.; Giewekemeyer, K.; Salditt, T.; et al. Specific ion effects in physicochemical and biological systems: Simulations, theory and experiments. Colloids Surf. A Physicochem. Eng. Asp. 2007, 303, 110–136. [Google Scholar] [CrossRef]
- Schwierz, N.; Horinek, D.; Netz, R.R. Reversed anionic Hofmeister series: The interplay of surface charge and surface polarity. Langmuir 2010, 26, 7370–7379. [Google Scholar] [CrossRef]
- Meyer, E.E.; Rosenberg, K.J.; Israelachvili, J. Recent progress in understanding hydrophobic interactions. Proc. Natl. Acad. Sci. USA 2006, 103, 15739–15746. [Google Scholar] [CrossRef]
- Kanduc, M.; Schlaich, A.; Schneck, E.; Netz, R.R. Water-mediated interactions between hydrophilic and hydrophobic surfaces. Langmuir 2016, 32, 8767–8782. [Google Scholar] [CrossRef] [PubMed]
- Brandon, N.; Kelsall, G.; Levine, S.; Smith, A. Interfacial electrical properties of electrogenerated bubbles. J. Appl. Electrochem. 1985, 15, 485–493. [Google Scholar] [CrossRef]
- Graciaa, A.; Morel, G.; Saulner, P.; Lachaise, J.; Schechter, R. The ζ-potential of gas bubbles. J. Colloid Interface Sci. 1995, 172, 131–136. [Google Scholar] [CrossRef]
- Ciunel, K.; Armélin, M.; Findenegg, G.H.; Von Klitzing, R. Evidence of surface charge at the air/water interface from thin-film studies on polyelectrolyte-coated substrates. Langmuir 2005, 21, 4790–4793. [Google Scholar] [CrossRef]
- Hänni-Ciunel, K.; Schelero, N.; von Klitzing, R. Negative charges at the air/water interface and their consequences for aqueous wetting films containing surfactants. Faraday Discuss. 2009, 141, 41–53. [Google Scholar] [CrossRef]
- Schelero, N.; von Klitzing, R. Correlation between specific ion adsorption at the air/water interface and long–range interactions in colloidal systems. Soft Matter 2011, 7, 2936–2942. [Google Scholar] [CrossRef]
- Jones, G.; Ray, W.A. The surface tension of solutions of electrolytes as a function of the concentration. I. A differential method for measuring relative surface tension. J. Am. Chem. Soc. 1937, 59, 187–198. [Google Scholar] [CrossRef]
- Jones, G.; Ray, W.A. The surface tension of solutions of electrolytes as a function of the concentration II. J. Am. Chem. Soc. 1941, 63, 288–294. [Google Scholar] [CrossRef]
- Buch, V.; Milet, A.; Vácha, R.; Jungwirth, P.; Devlin, J.P. Water surface is acidic. Proc. Natl. Acad. Sci. USA 2007, 104, 7342–7347. [Google Scholar] [CrossRef]
- Beattie, J.K.; Djerdjev, A.M.; Warr, G.G. The surface of neat water is basic. Faraday Discuss. 2009, 141, 31–39. [Google Scholar] [CrossRef]
- Uematsu, Y.; Bonthuis, D.J.; Netz, R.R. Charged surface-active impurities at nanomolar concentration induce Jones–Ray effect. J. Phys. Chem. Lett. 2017, 9, 189–193. [Google Scholar] [CrossRef] [PubMed]
- Uematsu, Y.; Bonthuis, D.J.; Netz, R.R. Impurity effects at hydrophobic surfaces. Curr. Opin. Electrochem. 2018, 13, 166–173. [Google Scholar] [CrossRef]
- Nicolás, J.A.; Vega, J.M. A note on the effect of surface contamination in water wave damping. J. Fluid Mech. 2000, 410, 367–373. [Google Scholar] [CrossRef]
- Maali, A.; Boisgard, R.; Chraibi, H.; Zhang, Z.; Kellay, H.; Würger, A. Viscoelastic drag forces and crossover from no-slip to slip boundary conditions for flow near air-water interfaces. Phys. Rev. Lett. 2017, 118, 084501. [Google Scholar] [CrossRef] [PubMed]
- Benjamins, J.W.; Thuresson, K.; Nylander, T. Ellipsometry Studies of Nonionic Surfactant Adsorption at the Oil- Water Interface. Langmuir 2005, 21, 149–159. [Google Scholar] [CrossRef]
- Schneck, E.; Demé, B. Structural characterization of soft interfaces by standing-wave fluorescence with X-rays and neutrons. Curr. Opin. Colloid Interface Sci. 2015, 20, 244–252. [Google Scholar] [CrossRef]
- Als-Nielsen, J.; McMorrow, D. Elements of Modern X-Ray Physics; John Wiley & Sons: Hoboken, NJ, USA, 2011. [Google Scholar]
- Daillant, J.; Gibaud, A. X-Ray and Neutron Reflectivity: Principles and Applications; Springer: Berlin/Heidelberg, Germany, 2008; Volume 770. [Google Scholar]
- Helm, C.; Möhwald, H.; Kjaer, K.; Als-Nielsen, J. Phospholipid monolayer density distribution perpendicular to the water surface. A synchrotron X-ray reflectivity study. EPL (Europhys. Lett.) 1987, 4, 697. [Google Scholar] [CrossRef]
- Campbell, R.A. Recent advances in resolving kinetic and dynamic processes at the air/water interface using specular neutron reflectometry. Curr. Opin. Colloid Interface Sci. 2018, 37, 49–60. [Google Scholar] [CrossRef]
- Mitrinovic, D.M.; Zhang, Z.; Williams, S.M.; Huang, Z.; Schlossman, M.L. X-ray reflectivity study of the water- hexane interface. J. Phys. Chem. B 1999, 103, 1779–1782. [Google Scholar] [CrossRef]
- Schlossman, M.L.; Mitrinovic, D.M.; Zhang, Z.; Li, M.; Huang, Z. X-ray scattering from single liquid-liquid interfaces. Synchrotron Radiat. News 1999, 12, 53–58. [Google Scholar] [CrossRef]
- Tikhonov, A.M.; Mitrinovic, D.M.; Li, M.; Huang, Z.; Schlossman, M.L. An X-ray reflectivity study of the water-docosane interface. J. Phys. Chem. B 2000, 104, 6336–6339. [Google Scholar] [CrossRef]
- Schlossman, M.L.; Li, M.; Mitrinovic, D.M.; Tikhonov, A.M. X-ray scattering from liquid-liquid interfaces. High Perform. Polym. 2000, 12, 551–563. [Google Scholar] [CrossRef]
- Schlossman, M.L. Liquid-liquid interfaces: Studied by X-ray and neutron scattering. Curr. Opin. Colloid Interface Sci. 2002, 7, 235–243. [Google Scholar] [CrossRef]
- Scoppola, E.; Watkins, E.; Destri, G.L.; Porcar, L.; Campbell, R.; Konovalov, O.; Fragneto, G.; Diat, O. Structure of a liquid/liquid interface during solvent extraction combining X-ray and neutron reflectivity measurements. Phys. Chem. Chem. Phys. 2015, 17, 15093–15097. [Google Scholar] [CrossRef] [PubMed]
- Scoppola, E. Solvent Extraction: A study of the Liquid/Liquid Interface with Ligands Combining X-ray and Neutron Reflectivity Measurements. Ph.D. Thesis, Université Montpellier, Montpellier, France, 2015. [Google Scholar]
- Fukuto, M.; Ocko, B.; Bonthuis, D.J.; Netz, R.; Steinrück, H.G.; Pontoni, D.; Kuzmenko, I.; Haddad, J.; Deutsch, M. Nanoscale structure of the oil-water interface. Phys. Rev. Lett. 2016, 117, 256102. [Google Scholar] [CrossRef]
- Braslau, A.; Deutsch, M.; Pershan, P.S.; Weiss, A.; Als-Nielsen, J.; Bohr, J. Surface roughness of water measured by X-ray reflectivity. Phys. Rev. Lett. 1985, 54, 114. [Google Scholar] [CrossRef]
- Penfold, J. Instrumentation for neutron reflectivity. Phys. B Condens. Matter 1991, 173, 1–10. [Google Scholar] [CrossRef]
- Mezger, M.; Reichert, H.; Schöder, S.; Okasinski, J.; Schröder, H.; Dosch, H.; Palms, D.; Ralston, J.; Honkimäki, V. High-resolution in situ X-ray study of the hydrophobic gap at the water–octadecyl-trichlorosilane interface. Proc. Natl. Acad. Sci. USA 2006, 103, 18401–18404. [Google Scholar] [CrossRef]
- Steitz, R.; Gutberlet, T.; Hauss, T.; Klösgen, B.; Krastev, R.; Schemmel, S.; Simonsen, A.C.; Findenegg, G.H. Nanobubbles and their precursor layer at the interface of water against a hydrophobic substrate. Langmuir 2003, 19, 2409–2418. [Google Scholar] [CrossRef]
- Schwendel, D.; Hayashi, T.; Dahint, R.; Pertsin, A.; Grunze, M.; Steitz, R.; Schreiber, F. Interaction of water with self-assembled monolayers: Neutron reflectivity measurements of the water density in the interface region. Langmuir 2003, 19, 2284–2293. [Google Scholar] [CrossRef]
- Maccarini, M.; Steitz, R.; Himmelhaus, M.; Fick, J.; Tatur, S.; Wolff, M.; Grunze, M.; Janecek, J.; Netz, R. Density Depletion at Solid- Liquid Interfaces: A Neutron Reflectivity Study. Langmuir 2007, 23, 598–608. [Google Scholar] [CrossRef] [PubMed]
- Lee, L.; Langevin, D.; Mann, E.; Farnoux, B. Neutron reflectivity at liquid interfaces. Phys. B Condens. Matter 1994, 198, 83–88. [Google Scholar] [CrossRef]
- Zarbakhsh, A.; Bowers, J.; Webster, J. A new approach for measuring neutron reflection from a liquid/liquid interface. Meas. Sci. Technol. 1999, 10, 738. [Google Scholar] [CrossRef]
- Strutwolf, J.; Barker, A.L.; Gonsalves, M.; Caruana, D.J.; Unwin, P.R.; Williams, D.E.; Webster, J.R. Probing liquid-liquid interfaces using neutron reflection measurements and scanning electrochemical microscopy. J. Electroanal. Chem. 2000, 483, 163–173. [Google Scholar] [CrossRef]
- Bowers, J.; Zarbakhsh, A.; Webster, J.R.; Hutchings, L.R.; Richards, R.W. Neutron Reflectivity Studies at Liquid-Liquid Interfaces: Methodology and Analysis. Langmuir 2001, 17, 140–145. [Google Scholar] [CrossRef]
- Zarbakhsh, A.; Querol, A.; Bowers, J.; Yasee n, M.; Lu, J.R.; Webster, J.R. Neutron Reflection from the Liquid-Liquid Interface: Adsorption of Hexadecylphosphorylcholine to the Hexadecane- Aqueous Solution Interface. Langmuir 2005, 21, 11704–11709. [Google Scholar] [CrossRef] [PubMed]
- Zarbakhsh, A.; Bowers, J.; Webster, J.R. Width of the Hexadecane- Water Interface: A Discrepancy Resolved. Langmuir 2005, 21, 11596–11598. [Google Scholar] [CrossRef]
- Campana, M.; Hosking, S.; Petkov, J.; Tucker, I.; Webster, J.; Zarbakhsh, A.; Lu, J. Adsorption of bovine serum albumin (BSA) at the oil/water interface: a neutron reflection study. Langmuir 2015, 31, 5614–5622. [Google Scholar] [CrossRef]
- Protat, M.; Bodin-Thomazo, N.; Malloggi, F.; Daillant, J.; Campbell, R.; Fragneto, G.; Watkins, E.; Perrin, P.; Pantoustier, N.; Guenoun, P. Neutron reflectivity measurements at the oil/water interface for the study of stimuli-responsive emulsions. Eur. Phys. J. E 2018, 41, 85. [Google Scholar] [CrossRef]
- Penfold, J.; Thomas, R. The application of the specular reflection of neutrons to the study of surfaces and interfaces. J. Phys. Condens. Matter 1990, 2, 1369. [Google Scholar] [CrossRef]
- Tressaud, A.; Haufe, G. Fluorine and Health: Molecular Imaging, Biomedical Materials and Pharmaceuticals; Elsevier: Amsterdam, The Netherlands, 2008. [Google Scholar]
- Goebel, A.; Lunkenheimer, K. Interfacial tension of the water/n-alkane interface. Langmuir 1997, 13, 369–372. [Google Scholar] [CrossRef]
- Kienzle, P. Neutron Activation and Scattering Calculator. Available online: https://www.ncnr.nist.gov/resources/activation/ (accessed on 14 November 2019).
- Mezger, M.; Sedlmeier, F.; Horinek, D.; Reichert, H.; Pontoni, D.; Dosch, H. On the origin of the hydrophobic water gap: An X-ray reflectivity and MD simulation study. J. Am. Chem. Soc. 2010, 132, 6735–6741. [Google Scholar] [CrossRef] [PubMed]
- Poynor, A.; Hong, L.; Robinson, I.K.; Granick, S.; Zhang, Z.; Fenter, P.A. How water meets a hydrophobic surface. Phys. Rev. Lett. 2006, 97, 266101. [Google Scholar] [CrossRef] [PubMed]
- Ocko, B.M.; Dhinojwala, A.; Daillant, J. Comment on “how water meets a hydrophobic surface”. Phys. Rev. Lett. 2008, 101, 039601. [Google Scholar] [CrossRef] [PubMed]
- Poynor, A.; Hong, L.; Robinson, I.K.; Granick, S.; Fenter, P.A.; Zhang, Z. Poynor et al. reply. Phys. Rev. Lett. 2008, 101, 039602. [Google Scholar] [CrossRef]
- Godawat, R.; Jamadagni, S.N.; Garde, S. Characterizing hydrophobicity of interfaces by using cavity formation, solute binding, and water correlations. Proc. Natl. Acad. Sci. USA 2009, 106, 15119–15124. [Google Scholar] [CrossRef]
- Sendner, C.; Horinek, D.; Bocquet, L.; Netz, R.R. Interfacial water at hydrophobic and hydrophilic surfaces: Slip, viscosity, and diffusion. Langmuir 2009, 25, 10768–10781. [Google Scholar] [CrossRef]
- Janecek, J.; Netz, R.R. Interfacial water at hydrophobic and hydrophilic surfaces: Depletion versus adsorption. Langmuir 2007, 23, 8417–8429. [Google Scholar] [CrossRef]
- Rodriguez-Loureiro, I.; Scoppola, E.; Bertinetti, L.; Barbetta, A.; Fragneto, G.; Schneck, E. Neutron reflectometry yields distance-dependent structures of nanometric polymer brushes interacting across water. Soft Matter 2017, 13, 5767–5777. [Google Scholar] [CrossRef]
- Fedors, R.F. A method for estimating both the solubility parameters and molar volumes of liquids. Polym. Eng. Sci. 1974, 14, 147–154. [Google Scholar] [CrossRef]
- Menz, D.H.; Feltgen, N.; Lechner, T.; Menz, H.; Müller, B.K.; Dresp, J.; Hoerauf, H. Hydrofluoric Acid and Other Impurities in Toxic Perfluorooctane Batches. Transl. Vis. Sci. Technol. 2019, 8, 24. [Google Scholar] [CrossRef]
- Riess, J.G. Fluorocarbon-based in vivo oxygen transport and delivery systems. Vox Sang. 1991, 61, 225–239. [Google Scholar] [CrossRef]
- Riess, J.G. Oxygen carriers (“blood substitutes”) Raison d’Etre, chemistry, and some physiology Blut ist ein ganz besondrer Saft. Chem. Rev. 2001, 101, 2797–2920. [Google Scholar] [CrossRef]
- Riess, J.G. Understanding the fundamentals of perfluorocarbons and perfluorocarbon emulsions relevant to in vivo oxygen delivery. Artif. Cells, Blood Substit. Biotechnol. 2005, 33, 47–63. [Google Scholar] [CrossRef] [PubMed]
- Konovalov, O.; Struth, B.; Smilgies, D.M. Troika II (ID10B): A versatile beamline for studies of liquid and solid interfaces. AIP Conf. Proc. 2004, 705, 352–355. [Google Scholar]
- Campbell, R.; Wacklin, H.; Sutton, I.; Cubitt, R.; Fragneto, G. FIGARO: The new horizontal neutron reflectometer at the ILL. Eur. Phys. J. Plus 2011, 126, 107. [Google Scholar] [CrossRef]
- Hayter, J.B.; Mook, H. Discrete thin-film multilayer design for X-ray and neutron supermirrors. J. Appl. Crystallogr. 1989, 22, 35–41. [Google Scholar] [CrossRef]
- Parratt, L.G. Surface studies of solids by total reflection of X-rays. Phys. Rev. 1954, 95, 359. [Google Scholar] [CrossRef]
- Metropolis, N.; Rosenbluth, A.W.; Rosenbluth, M.N.; Teller, A.H.; Teller, E. Equation of state calculations by fast computing machines. J. Chem. Phys. 1953, 21, 1087–1092. [Google Scholar] [CrossRef]
- Lolicato, F.; Joly, L.; Martinez-Seara, H.; Fragneto, G.; Scoppola, E.; Baldelli Bombelli, F.; Vattulainen, I.; Akola, J.; Maccarini, M. The Role of Temperature and Lipid Charge on Intake/Uptake of Cationic Gold Nanoparticles into Lipid Bilayers. Small 2019, 15, 1805046. [Google Scholar] [CrossRef] [PubMed]
- Nelson, A. Co-refinement of multiple-contrast neutron/X-ray reflectivity data using MOTOFIT. J. Appl. Crystallogr. 2006, 39, 273–276. [Google Scholar] [CrossRef]
| Sample Availability: Samples of the compounds are not available from the authors. | 




| XRR | NR | |||
|---|---|---|---|---|
| Sample 1 | Sample 2 | Sample 3 | Sample 4 | |
| [Å] | 5.3 | 4.4 | 1.9 | 0.4 | 
| [Å] | 19.9 | 13.8 | - | - | 
| [Å] = 2 Å) | 11.3 | 5.5 | - | - | 
| [ Å] | [ Å] | [Å] | |
|---|---|---|---|
| HO | 9.41–3.4 × 10 | −0.56 | 29.98 | 
| DO | 9.39–3.4 × 10 | 6.37 | 30.04 | 
| CH | 7.32–8.0 × 10 | −0.46 | 377.28 | 
| CF (PFO) | 13.92–7.8 × 10 | 3.64 | 425.68 | 
| void | 0.0 | 0.0 | - | 
© 2019 by the authors. Licensee MDPI, Basel, Switzerland. This article is an open access article distributed under the terms and conditions of the Creative Commons Attribution (CC BY) license (http://creativecommons.org/licenses/by/4.0/).
Share and Cite
Scoppola, E.; Micciulla, S.; Kuhrts, L.; Maestro, A.; Campbell, R.A.; Konovalov, O.V.; Fragneto, G.; Schneck, E. Reflectometry Reveals Accumulation of Surfactant Impurities at Bare Oil/Water Interfaces. Molecules 2019, 24, 4113. https://doi.org/10.3390/molecules24224113
Scoppola E, Micciulla S, Kuhrts L, Maestro A, Campbell RA, Konovalov OV, Fragneto G, Schneck E. Reflectometry Reveals Accumulation of Surfactant Impurities at Bare Oil/Water Interfaces. Molecules. 2019; 24(22):4113. https://doi.org/10.3390/molecules24224113
Chicago/Turabian StyleScoppola, Ernesto, Samantha Micciulla, Lucas Kuhrts, Armando Maestro, Richard A. Campbell, Oleg V. Konovalov, Giovanna Fragneto, and Emanuel Schneck. 2019. "Reflectometry Reveals Accumulation of Surfactant Impurities at Bare Oil/Water Interfaces" Molecules 24, no. 22: 4113. https://doi.org/10.3390/molecules24224113
APA StyleScoppola, E., Micciulla, S., Kuhrts, L., Maestro, A., Campbell, R. A., Konovalov, O. V., Fragneto, G., & Schneck, E. (2019). Reflectometry Reveals Accumulation of Surfactant Impurities at Bare Oil/Water Interfaces. Molecules, 24(22), 4113. https://doi.org/10.3390/molecules24224113
 
         
                                                


 
       