Numerical Investigation on the Effects of Dielectric Barrier on a Nanosecond Pulsed Surface Dielectric Barrier Discharge
Abstract
1. Introduction
2. Models and Numerical Methods
2.1. Physical Model
2.1.1. Discharge Model
2.1.2. Discharge Energy and Gas Heating
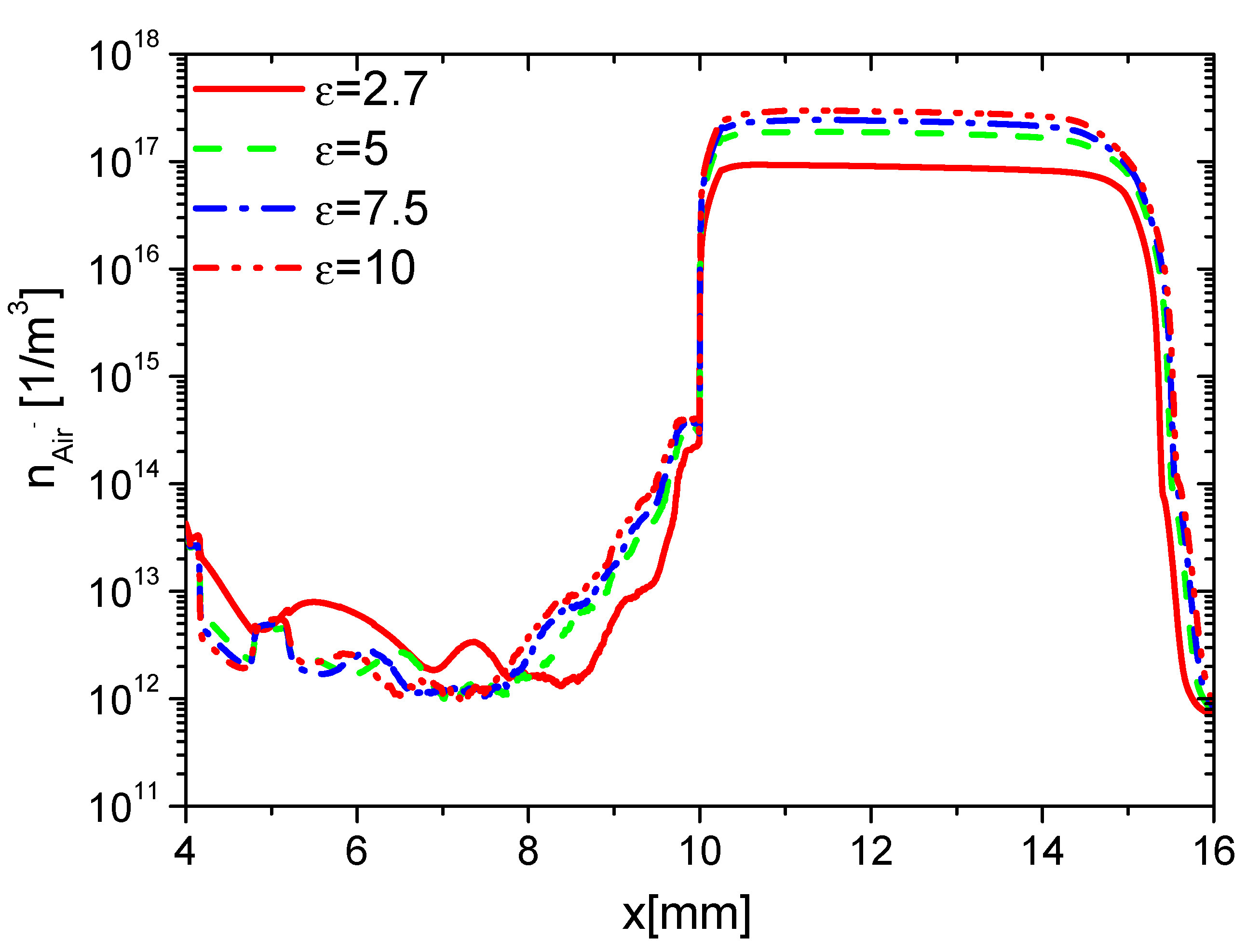
2.1.3. Air Chemistry
2.2. Numerical Method
2.3. Simulation Setup
3. Effects of Dielectric Barrier
3.1. Effects of Dielectric Constant
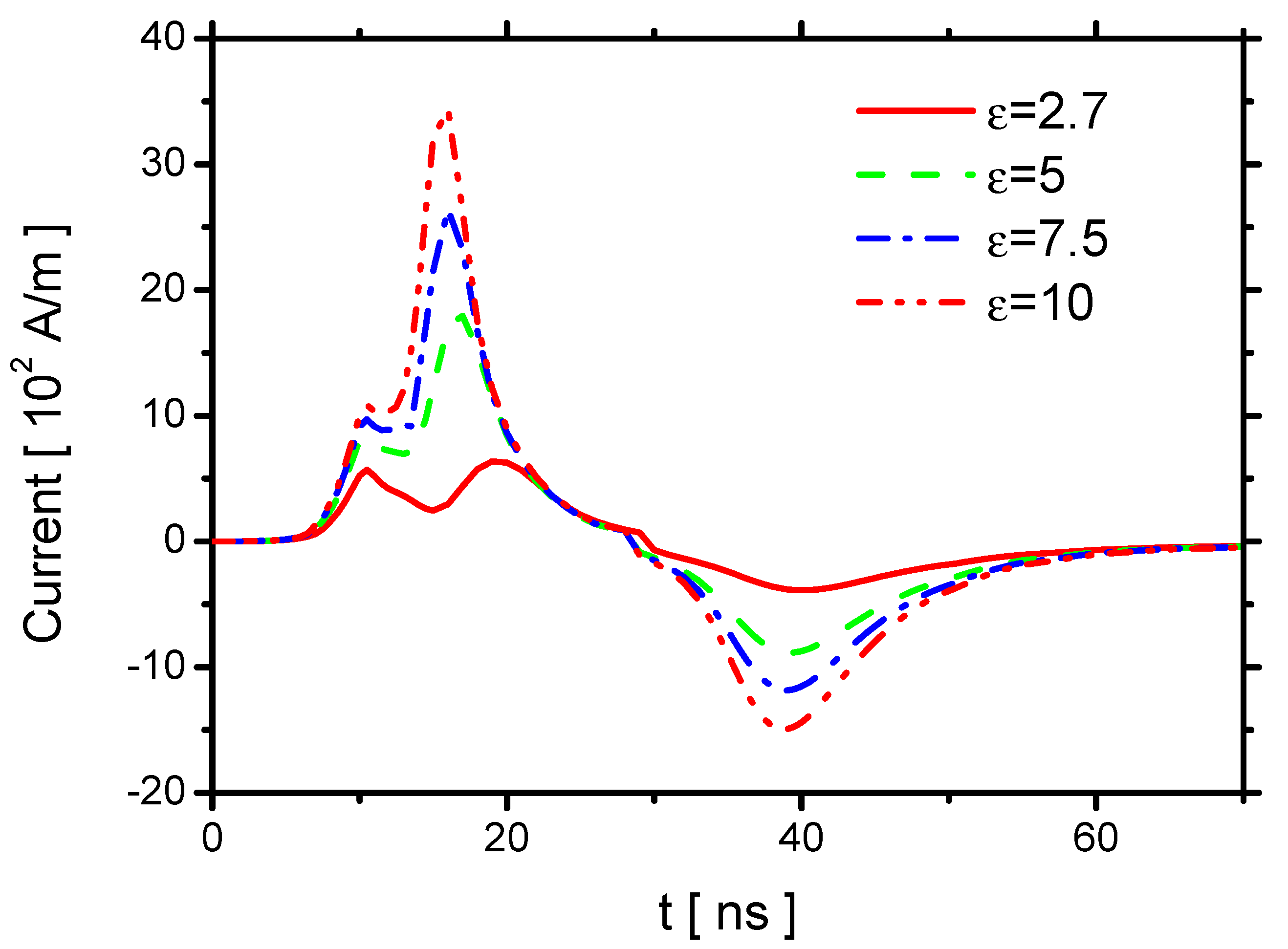
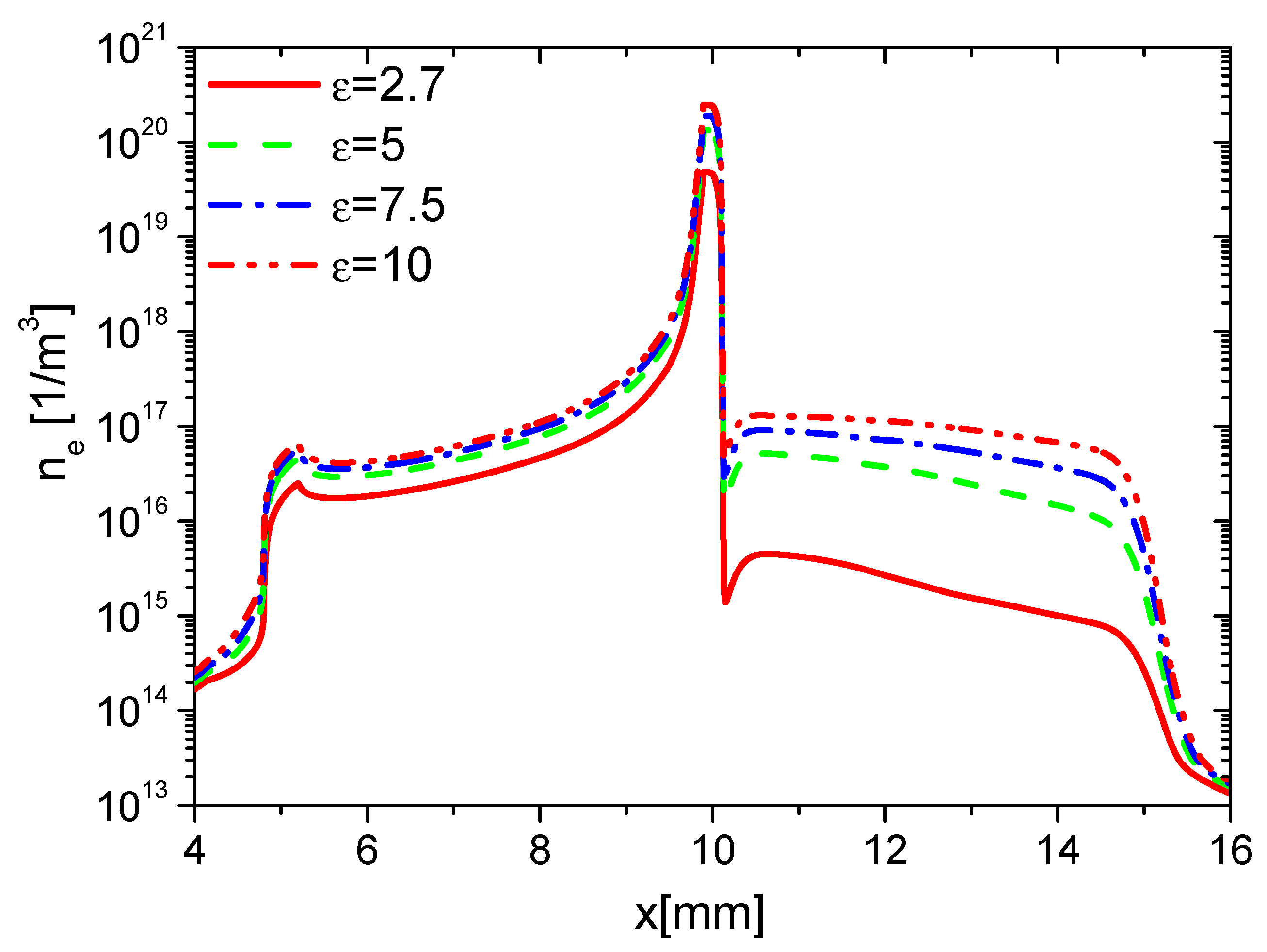
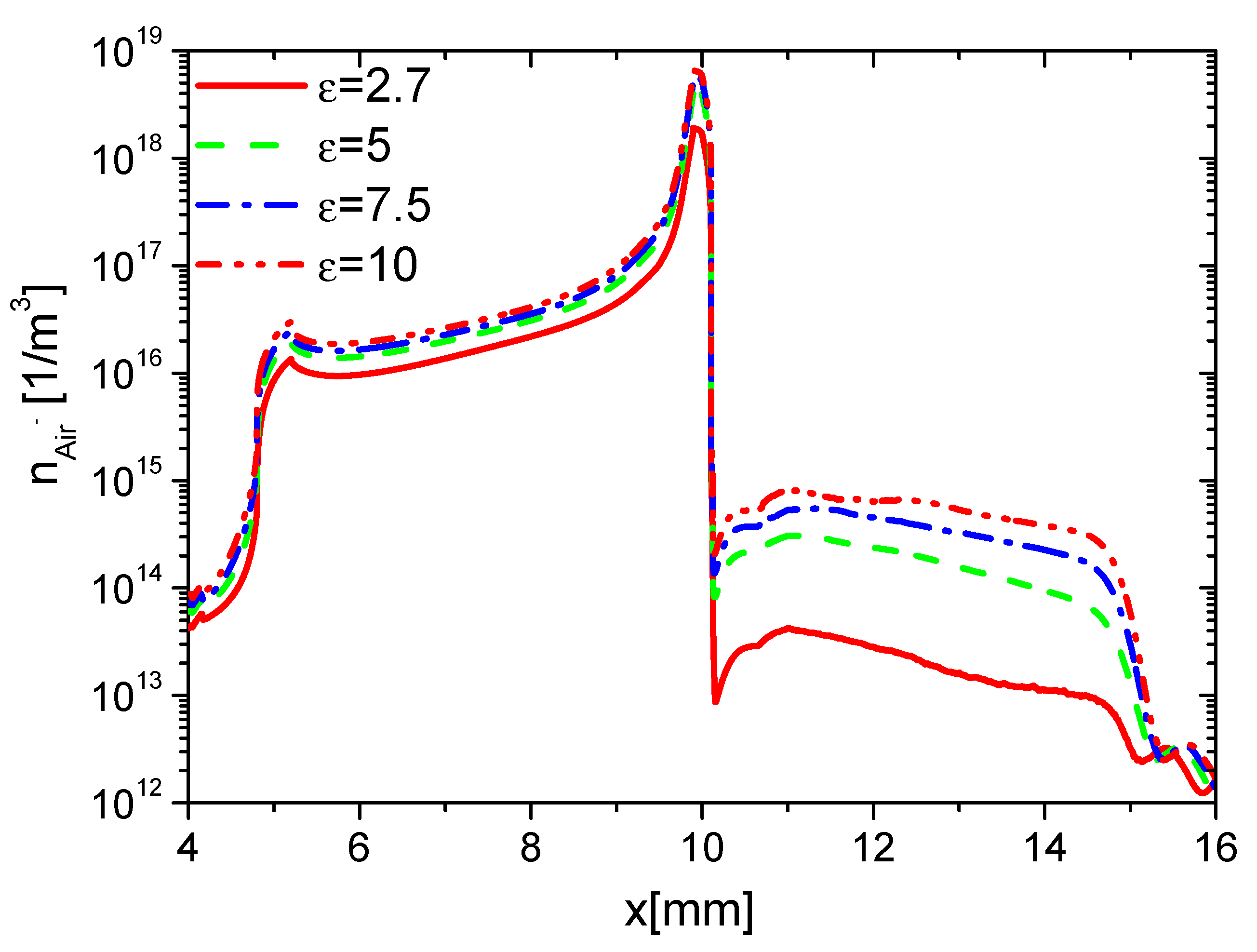
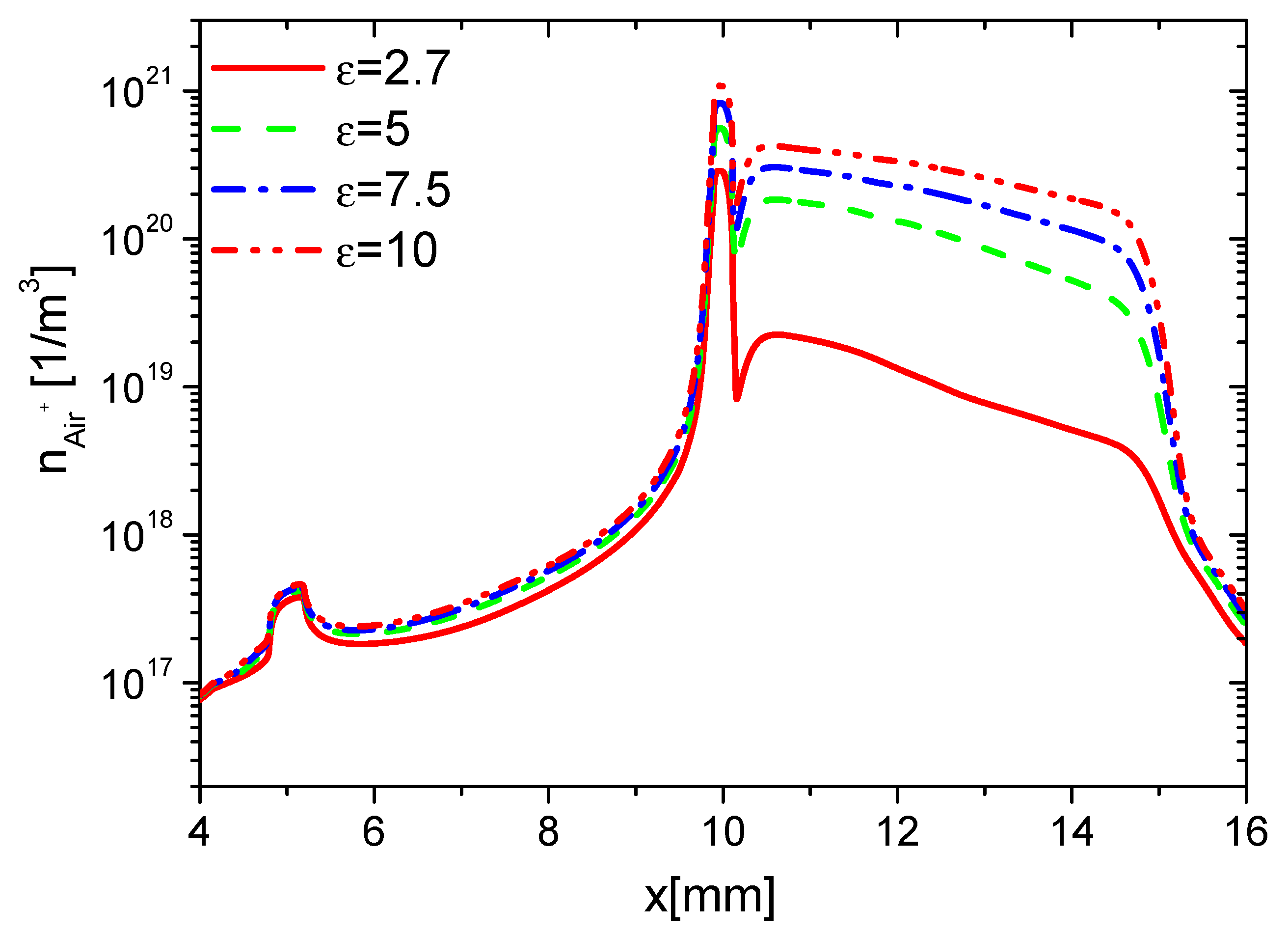
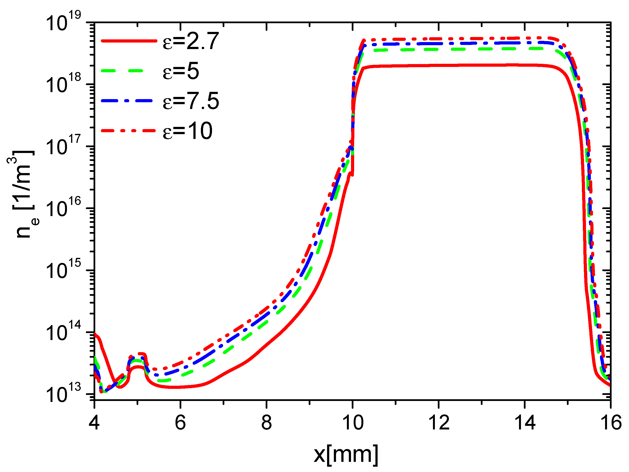
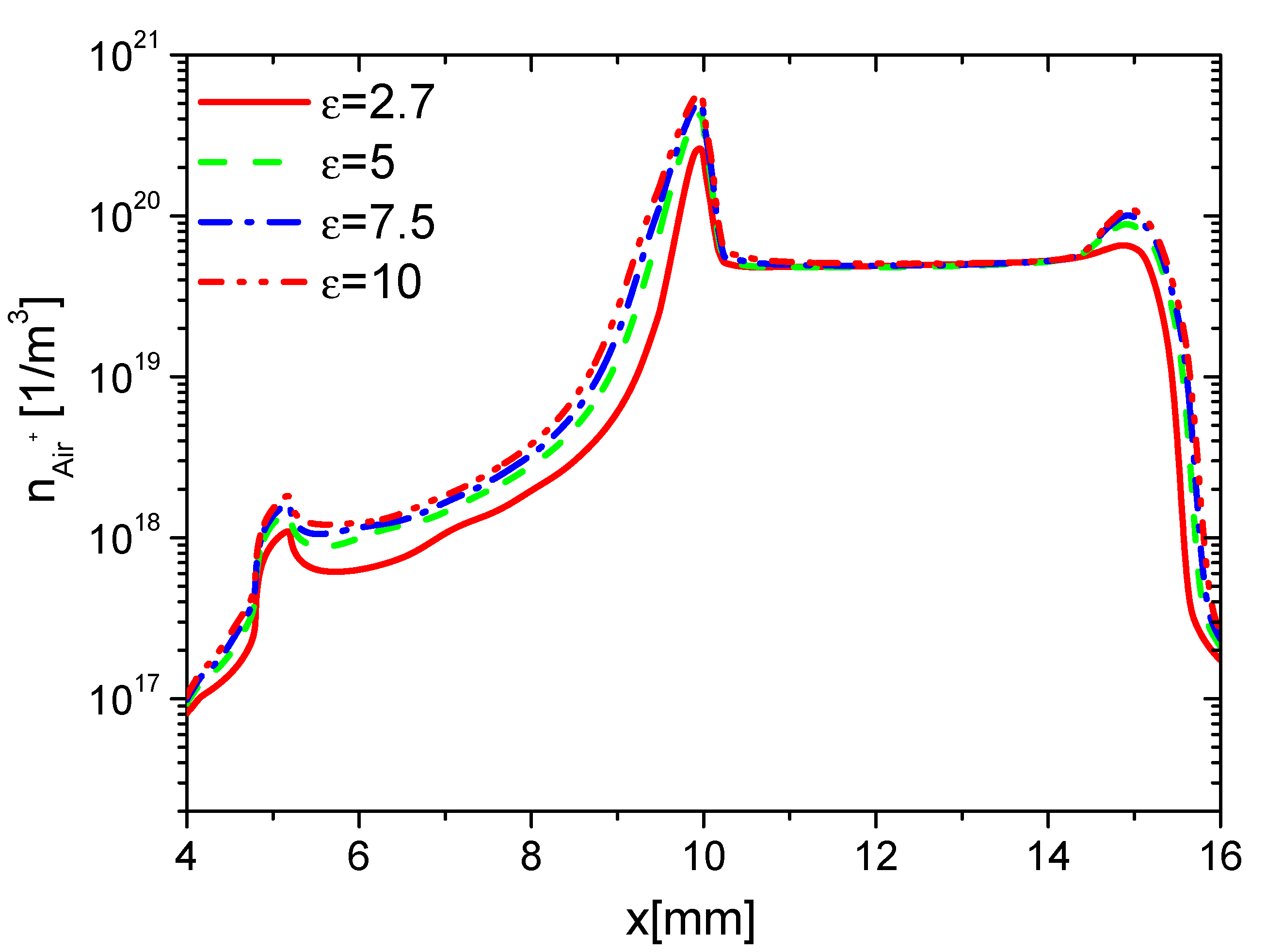
3.1.1. Plasma Characteristics and Current
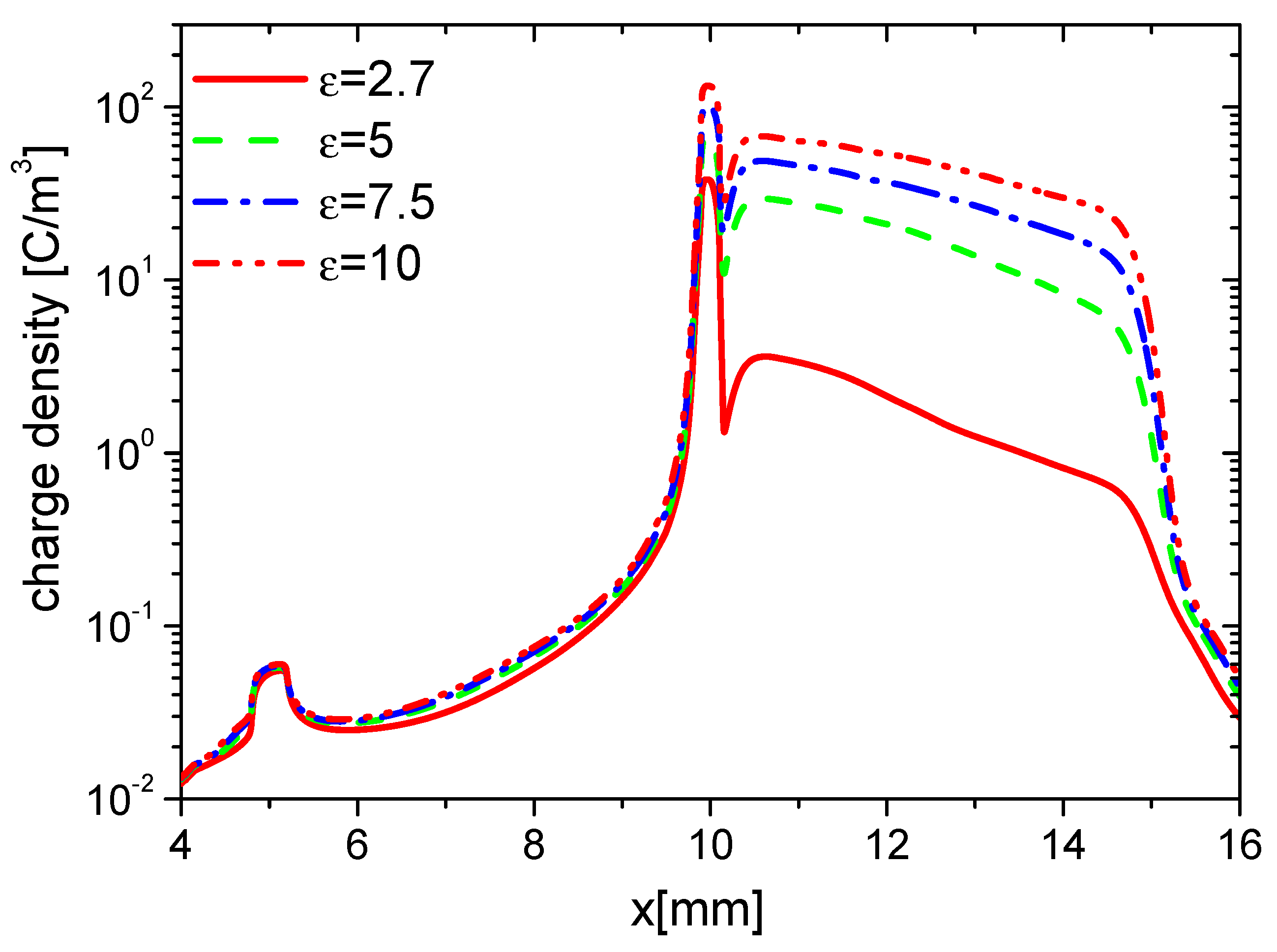
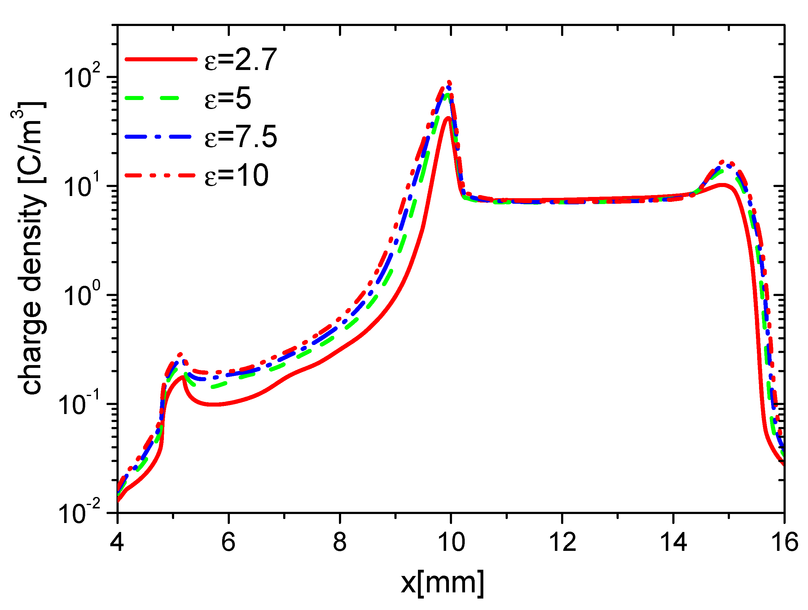
3.1.2. Surface Charge
3.1.3. Streamer Morphology
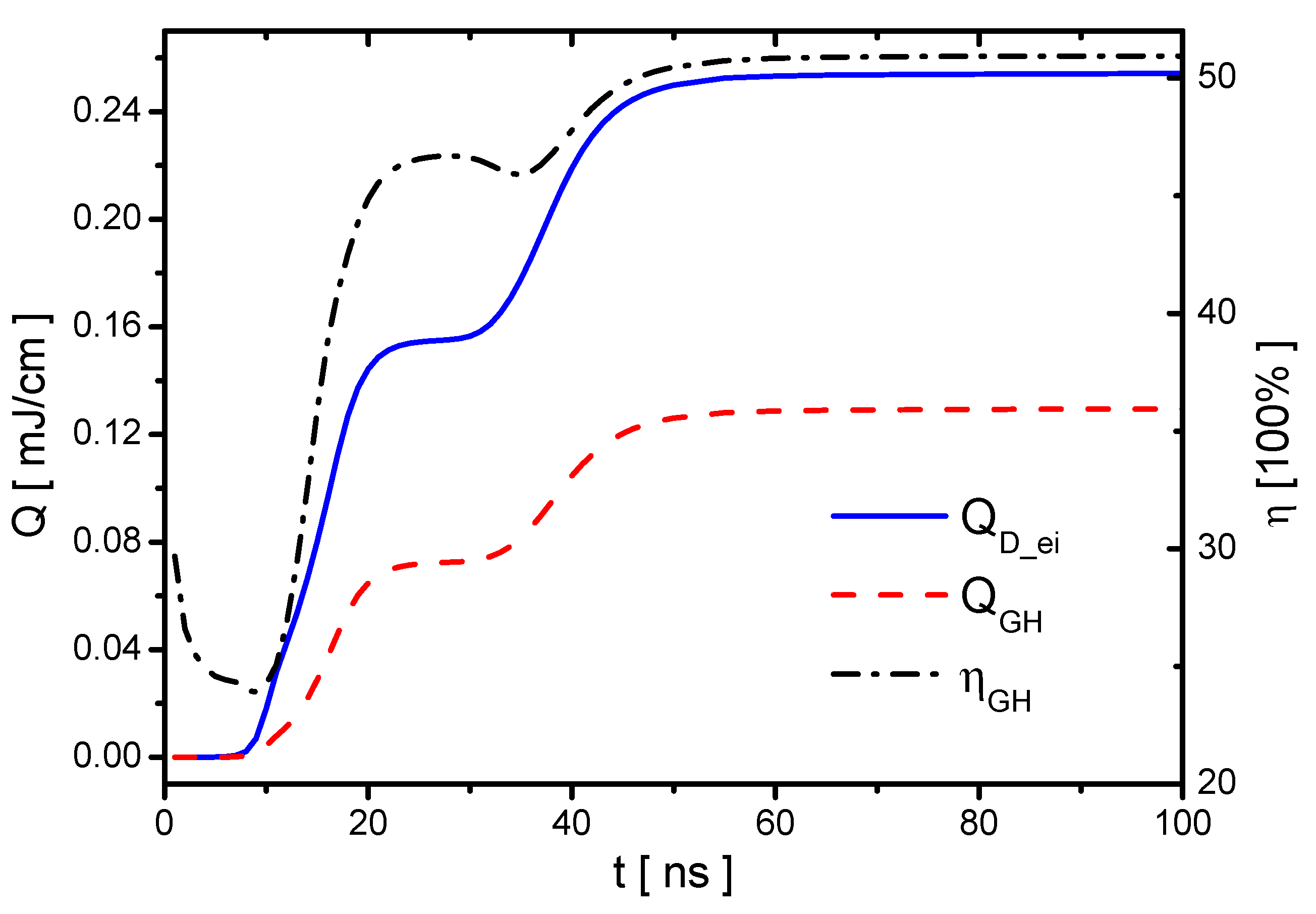
3.1.4. Discharge Energy and Gas Heating
3.2. Effects of Dielectric Barrier Thickness
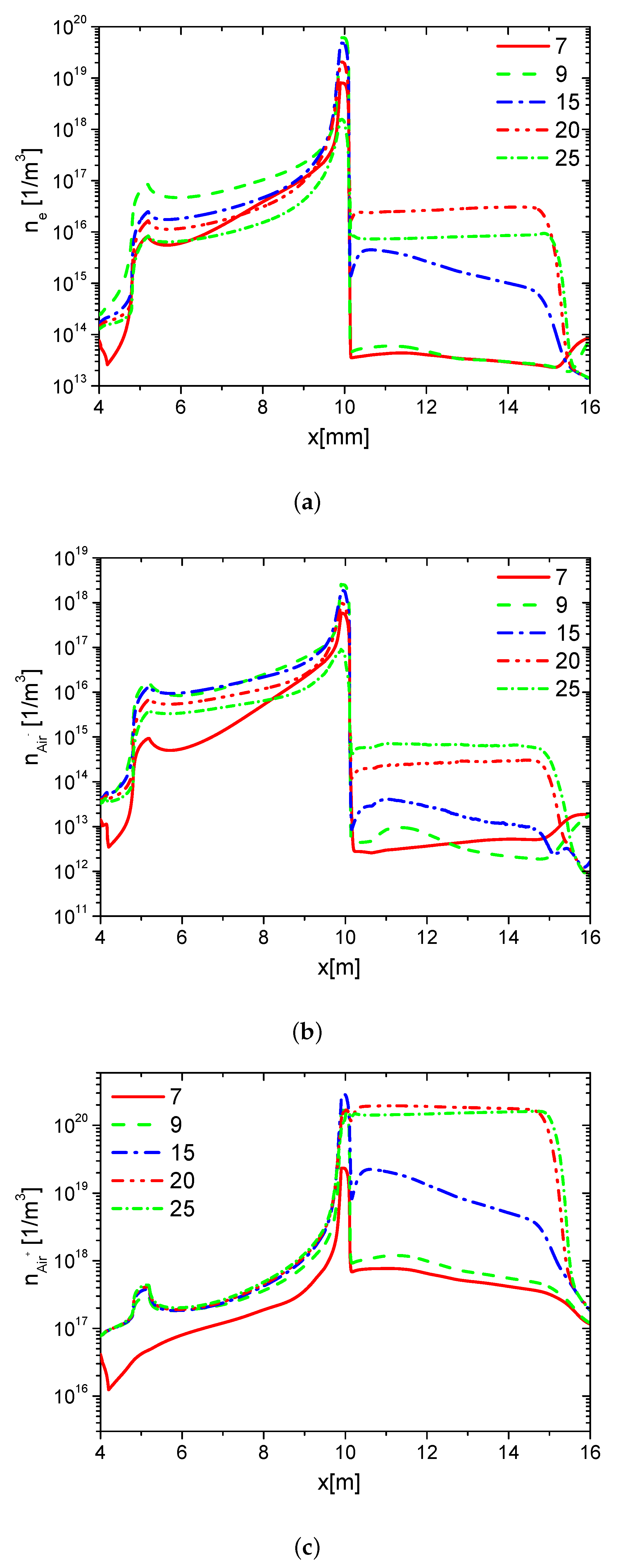
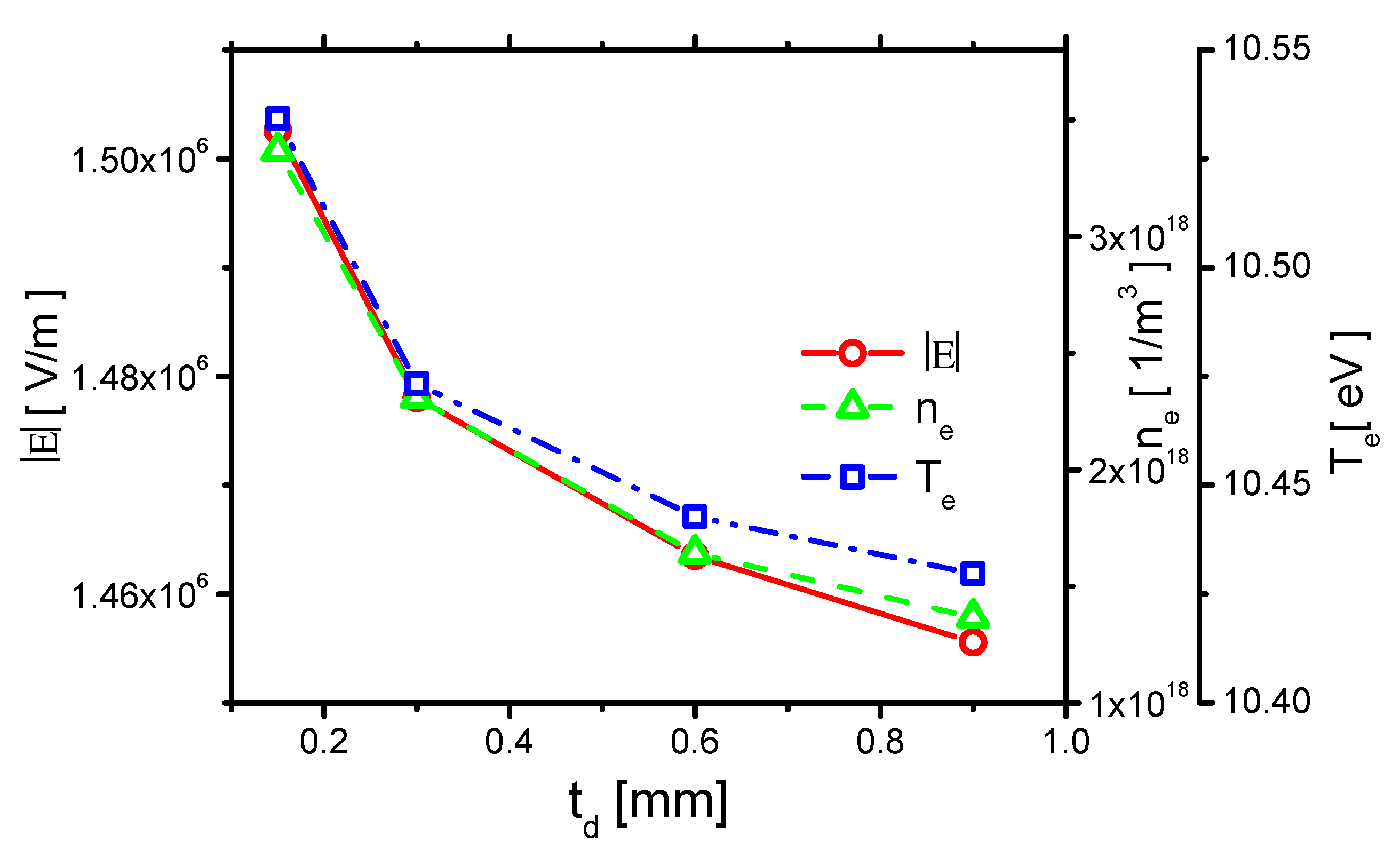
3.2.1. Plasma Characteristics and Current
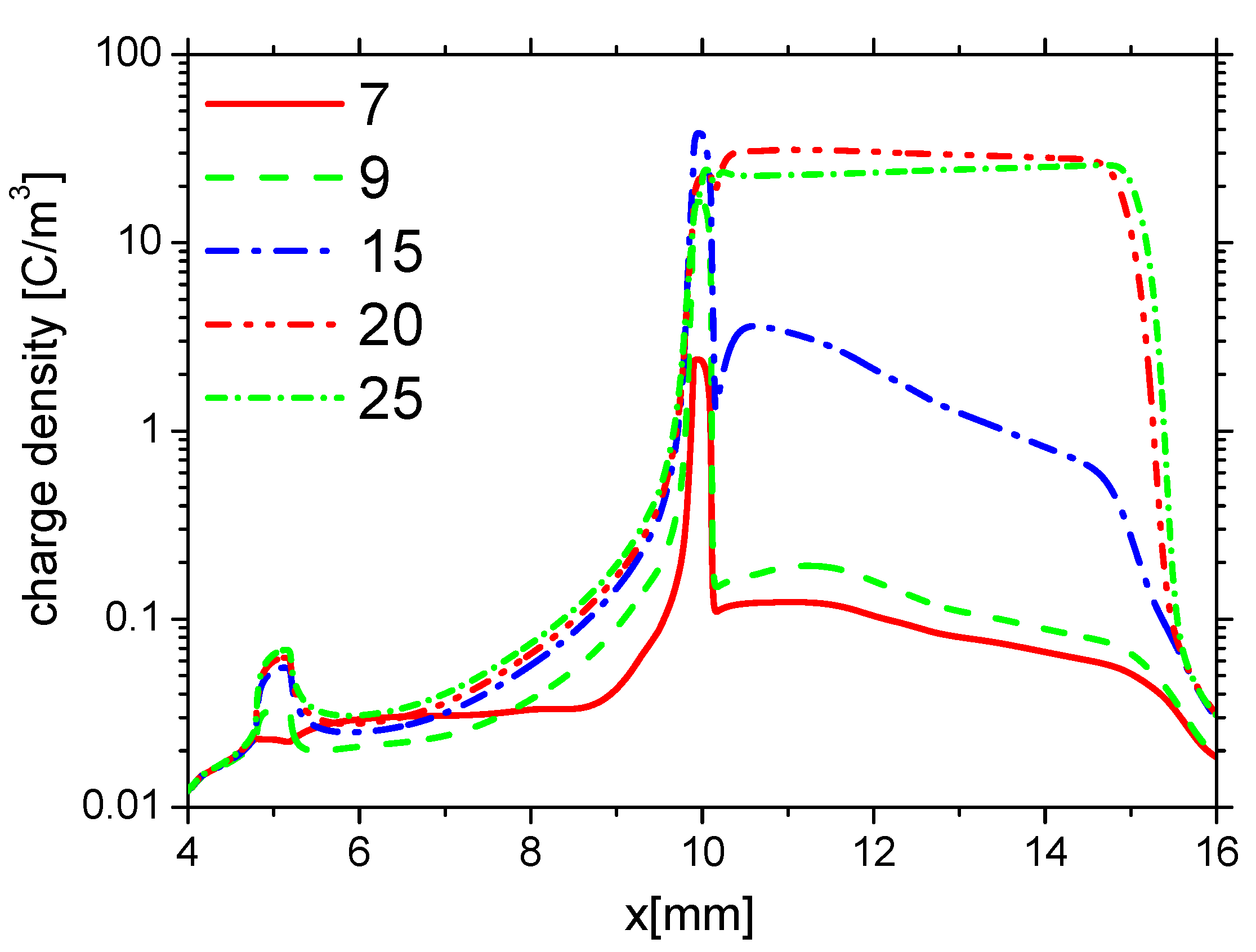
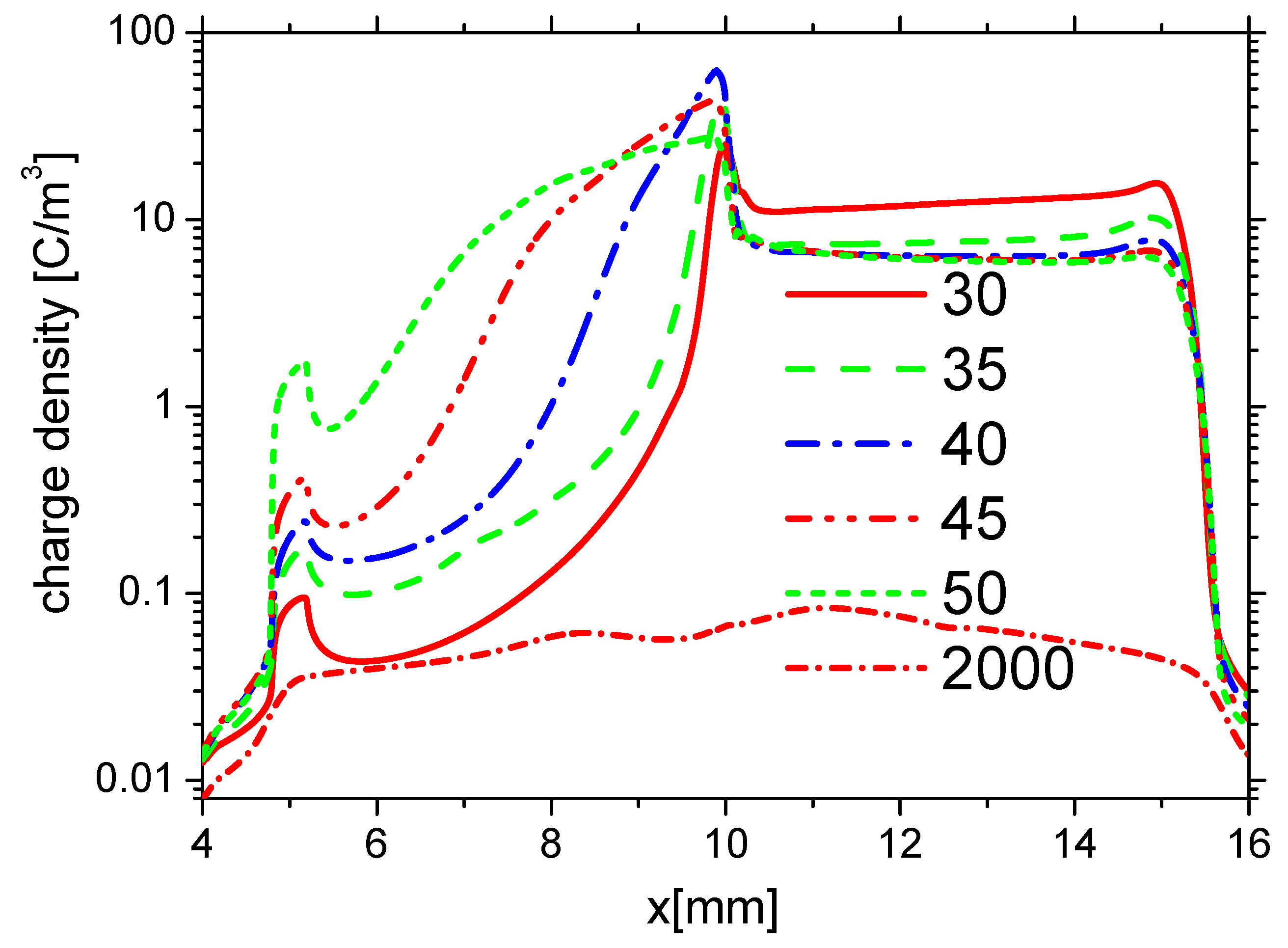
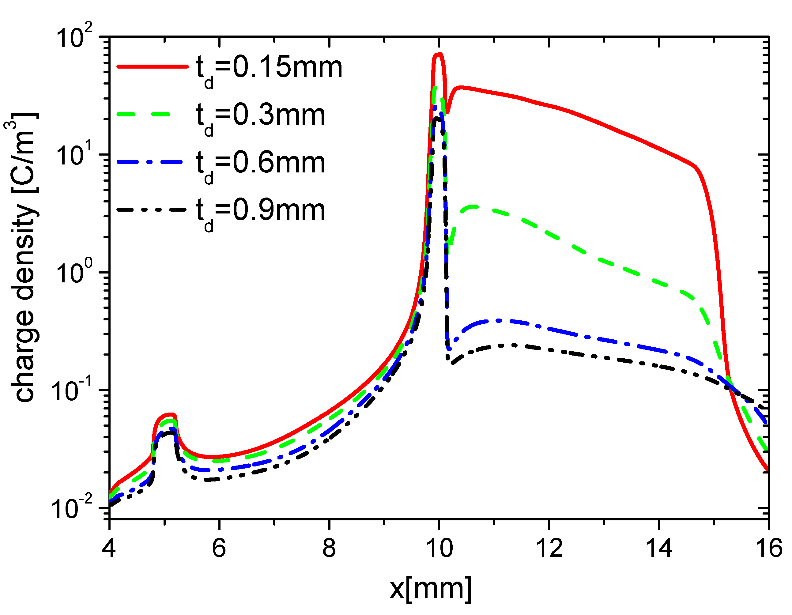
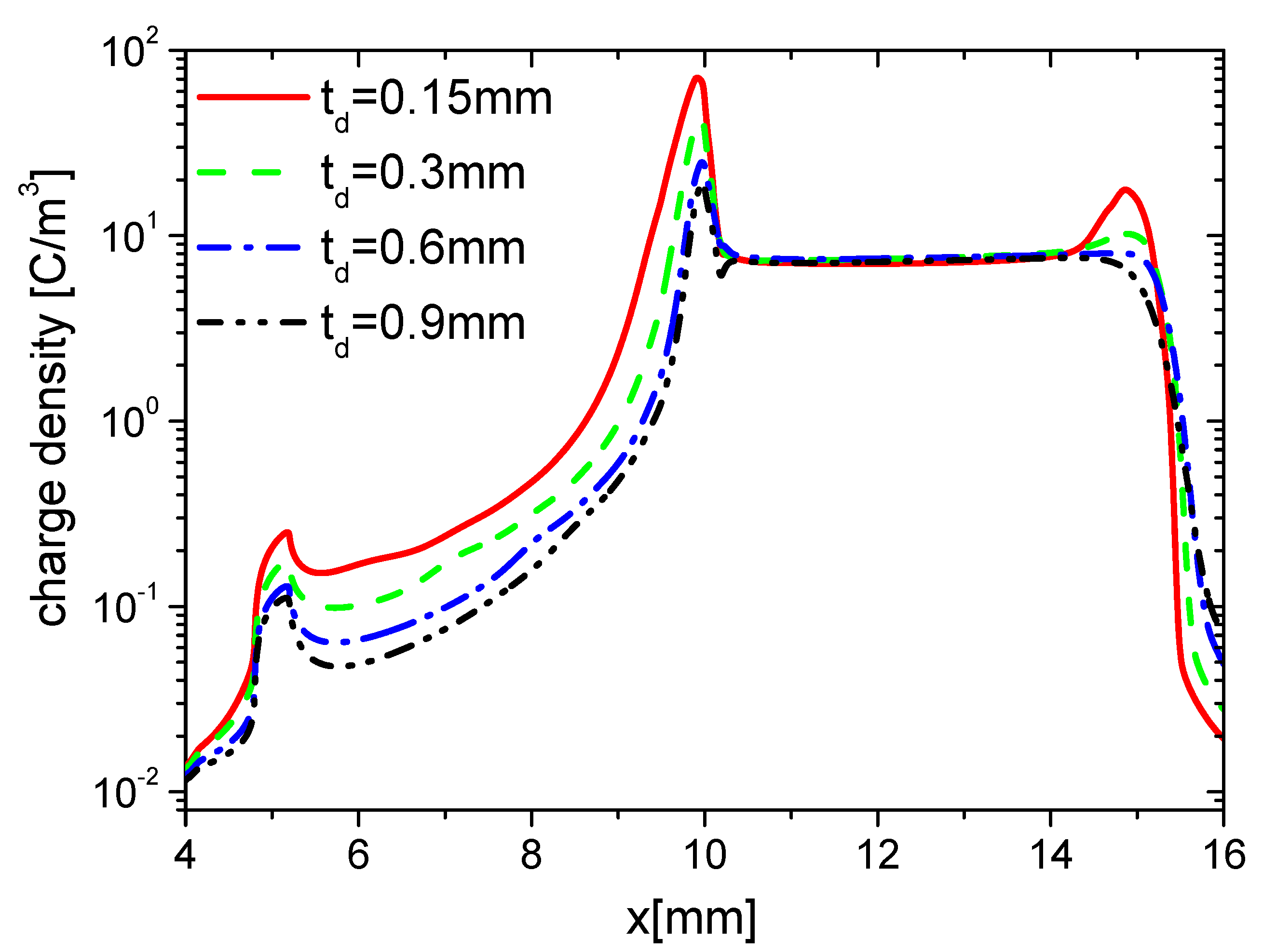
3.2.2. Surface Charge
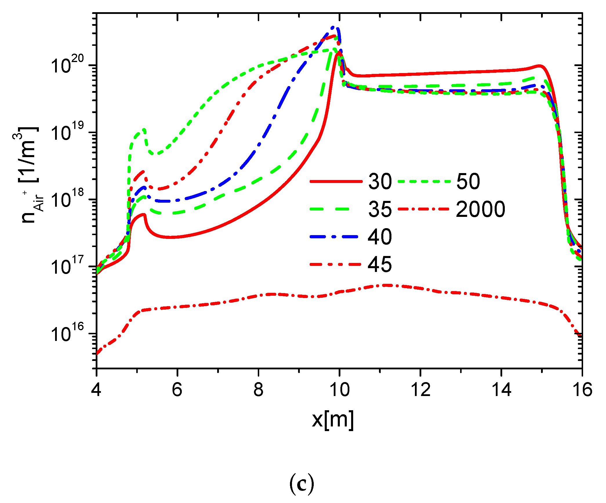
3.2.3. Streamer Morphology
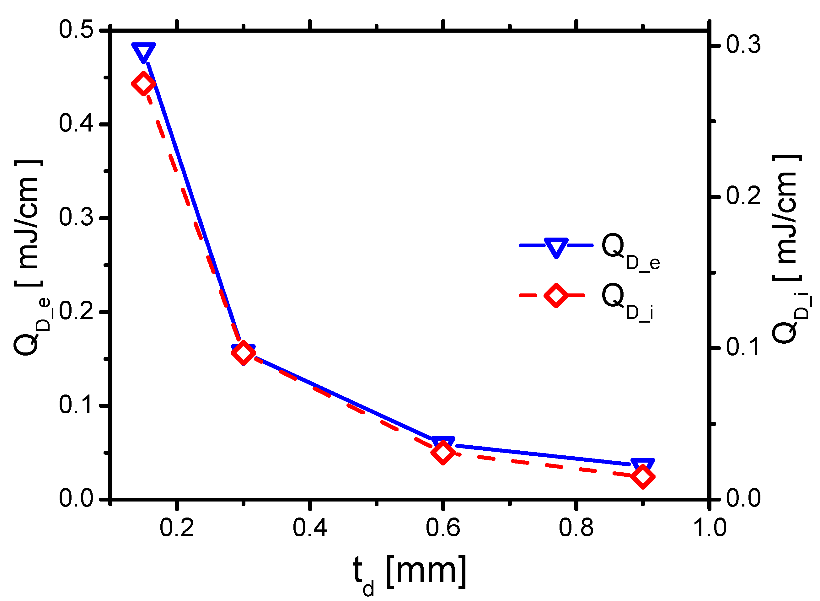
3.2.4. Discharge Energy and Gas Heating
4. Conclusions
Author Contributions
Funding
Conflicts of Interest
References
- Lee, C.G.; Kanarik, K.J.; Gottscho, R.A. The grand challenges of plasma etching: A manufacturing perspective. J. Phys. D Appl. Phys. 2014, 47, 273001. [Google Scholar] [CrossRef]
- Ikegami, H. Characteristics of PDP Plasmas. Adv. Plasma Technol. 2007, 393–399. [Google Scholar] [CrossRef]
- Von Woedtke, T.; Reuter, S.; Masur, K.; Weltmann, K.D. Plasmas for medicine. Phys. Rep. 2013, 530, 291–320. [Google Scholar] [CrossRef]
- Parvulescu, V.I.; Magureanu, M.; Lukes, P. Plasma Chemistry and Catalysis in Gases and Liquids; John Wiley and Sons: Hoboken, NJ, USA, 2012. [Google Scholar]
- Leonov, S.B.; Adamovich, I.V.; Soloviev, V.R. Dynamics of near-surface electric discharges and mechanisms of their interaction with the airflow. Plasma Sourc. Sci. Technol. 2016, 25, 063001. [Google Scholar] [CrossRef]
- Popov, N. Erratum: Kinetics of plasma-assisted combustion: Effect of non-equilibrium excitation on the ignition and oxidation of combustible mixtures. Plasma Sourc. Sci. Technol. 2016, 25, 049601. [Google Scholar] [CrossRef]
- Jiang, N.; Hui, C.X.; Li, J.; Lu, N.; Shang, K.F.; Wu, Y.; Mizuno, A. Improved performance of parallel surface/packed-bed discharge reactor for indoor VOCs decomposition: Optimization of the reactor structure. J. Phys. D Appl. Phys. 2015, 48, 405205. [Google Scholar] [CrossRef]
- Jiang, N.; Zhao, Y.; Qiu, C.; Shang, K.; Lu, N.; Li, J.; Wu, Y.; Zhang, Y. Enhanced catalytic performance of CoOx-CeO2 for synergetic degradation of toluene in multistage sliding plasma system through response surface methodology (RSM). Appl. Catal. B Environ. 2019, 259, 118061. [Google Scholar] [CrossRef]
- Jiang, N.; Guo, L.; Qiu, C.; Zhang, Y.; Shang, K.; Lu, N.; Li, J.; Wu, Y. Reactive species distribution characteristics and toluene destruction in the three-electrode DBD reactor energized by different pulsed modes. Chem. Eng. J. 2018, 350, 12–19. [Google Scholar] [CrossRef]
- Jiang, N.; Qiu, C.; Guo, L.; Shang, K.; Lu, N.; Li, J.; Zhang, Y.; Wu, Y. Plasma-catalytic destruction of xylene over Ag-Mn mixed oxides in a pulsed sliding discharge reactor. J. Hazard. Mater. 2019, 369, 611–620. [Google Scholar] [CrossRef]
- Zhu, Y.; Shcherbanev, S.; Baron, B.; Starikovskaia, S. Nanosecond surface dielectric barrier discharge in atmospheric pressure air: I. measurements and 2D modeling of morphology, propagation and hydrodynamic perturbations. Plasma Sourc. Sci. Technol. 2017, 26, 125004. [Google Scholar] [CrossRef]
- Gibalov, V.I.; Pietsch, G.J. The development of dielectric barrier discharges in gas gaps and on surfaces. J. Phys. D Appl. Phys. 2000, 33, 2618. [Google Scholar] [CrossRef]
- Correale, G.; Winkel, R.; Kotsonis, M. Energy deposition characteristics of nanosecond dielectric barrier discharge plasma actuators: Influence of dielectric material. J. Appl. Phys. 2015, 118, 083301. [Google Scholar] [CrossRef]
- Sokolova, M.; Voevodin, V.; Malakhov, J.I.; Aleksandrov, N.; Anokhin, E.; Soloviev, V. Barrier properties influence on the surface dielectric barrier discharge driven by single voltage pulses of different duration. J. Phys. D Appl. Phys. 2019, 52, 324001. [Google Scholar] [CrossRef]
- Ndong, A.A.; Zouzou, N.; Benard, N.; Moreau, E. Geometrical optimization of a surface DBD powered by a nanosecond pulsed high voltage. J. Electrost. 2013, 71, 246–253. [Google Scholar] [CrossRef]
- Dawson, R.; Little, J. Characterization of nanosecond pulse driven dielectric barrier discharge plasma actuators for aerodynamic flow control. J. Appl. Phys. 2013, 113, 103302. [Google Scholar] [CrossRef]
- Ebato, S.; Ogino, Y.; Ohnishi, N. Computational study of flow generation by charged particles in DBD plasma actuators. In Proceedings of the 49th AIAA Aerospace Sciences Meeting, Orlando, FL, USA, 4–7 January 2011; p. 1142. [Google Scholar]
- Babaeva, N.Y.; Tereshonok, D.V.; Naidis, G.V. Fluid and hybrid modeling of nanosecond surface discharges: Effect of polarity and secondary electrons emission. Plasma Sourc. Sci. Technol. 2016, 25, 044008. [Google Scholar] [CrossRef]
- Graves, D.B.; Jensen, K.F. A Continuum Model of DC and RF Discharges. IEEE Trans. Plasma Sci. 2007, 14, 78–91. [Google Scholar] [CrossRef]
- Uddi, M.; Jiang, N.; Adamovich, I.; Lempert, W. Nitric oxide density measurements in air and air/fuel nanosecond pulse discharges by laser induced fluorescence. J. Phys. D Appl. Phys. 2009, 42, 075205. [Google Scholar] [CrossRef]
- Zhu, Y.; Wu, Y.; Cui, W.; Li, Y.; Jia, M. Modelling of plasma aerodynamic actuation driven by nanosecond SDBD discharge. J. Phys. D Appl. Phys. 2013, 46, 355205. [Google Scholar] [CrossRef]
- Unfer, T.; Boeuf, J. Modeling and comparison of sinusoidal and nanosecond pulsed surface dielectric barrier discharges for flow control. Plasma Phys. Control. Fusion 2010, 52, 124019. [Google Scholar] [CrossRef]
- Zhang, S.; Chen, Z.; Zhang, B.; Chen, Y. Numerical investigation on the effects of discharge conditions on a nanosecond pulsed surface dielectric barrier discharge. J. Appl. Phys. 2019, 125, 113301. [Google Scholar] [CrossRef]
- Hagelaar, G.; Pitchford, L. BOLSIG+ 2005. Available online: http://www.codiciel.fr/plateforme/plasma/bolsig/bolsig.php (accessed on 5 October 2005).
- Hagelaar, G.; Pitchford, L. Solving the Boltzmann equation to obtain electron transport coefficients and rate coefficients for fluid models. Plasma Sourc. Sci. Technol. 2005, 14, 722. [Google Scholar] [CrossRef]
- Lagmich, Y.; Callegari, T.; Pitchford, L.C.; Boeuf, J.P. Model description of surface dielectric barrier discharges for flow control. J. Phys. D Appl. Phys. 2008, 41, 095205. [Google Scholar] [CrossRef]
- Bird, R.B.; Lightfoot, E.N.; Stewart, W.E. Transport Phenomena; John Wiley and Sons Inc.: New York, NY, USA, 1961; p. 780. [Google Scholar]
- Kee, R.J.; Dixon-Lewis, G.; Warnatz, J.; Coltrin, M.E.; Miller, J.A. A Fortran Computer Code Package For The Evaluation Of Gas Phase Multicomponent Transport Properties. Lewis 1986, 13, 96–8216. [Google Scholar]
- Benilov, M.S.; Naidis, G.V. Modelling of discharges in a flow of preheated air. Plasma Sourc. Sci. Technol. 2005, 14, 129. [Google Scholar] [CrossRef][Green Version]
- Lieberman, M.A.; Lichtenberg, A.J. Principles of Plasma Discharges and Materials Processing, 2nd ed.; John Wiley & Sons: Hoboken, NJ, USA, 2005; Volume 11, p. 800. [Google Scholar]
- Johnson, C. Numerical solution of partial differential equations by the finite element method. Acta Appl. Math. 1990, 18, 184–186. [Google Scholar]
- Butcher, J.C. Numerical Methods for Ordinary Differential Equations, 2nd ed.; John Wiley: Hoboken, NJ, USA, 2008. [Google Scholar]
- Brenan, K.E.; Campbell, S.L.V.; Petzold, L.R. Numerical Solution of Initial-Value Problems In Differential- Algebraic Equations. Phys. Rev. D Part. Fields 1996, 85, 261–268. [Google Scholar]
- Deuflhard, P. A modified Newton method for the solution of ill-conditioned systems of nonlinear equations with application to multiple shooting. Numer. Math. 1974, 22, 289–315. [Google Scholar] [CrossRef]
- Guermouche, A.; L’excellent, J.Y. Constructing memory-minimizing schedules for multifrontal methods. ACM Trans. Math. Softw. 2006, 32, 17–32. [Google Scholar] [CrossRef]
- Baragiola, R.A.; Riccardi, P. Electron Emission from Surfaces Induced by Slow Ions and Atoms; Springer: Berlin/Heidelberg, Germany, 2008; pp. 43–60. [Google Scholar]
- Michaelson, H.B. The work function of the elements and its periodicity. J. Appl. Phys. 1977, 48, 4729–4733. [Google Scholar] [CrossRef]
- Bak, M.S.; Cappelli, M.A. Simulations of nanosecond-pulsed dielectric barrier discharges in atmospheric pressure air. J. Appl. Phys. 2013, 113, 337–347. [Google Scholar]
- Unfer, T.; Boeuf, J.P. Modelling of a nanosecond surface discharge actuator. J. Phys. D Appl. Phys. 2009, 42, 194017. [Google Scholar] [CrossRef]
- Starikovskii, A.Y.; Nikipelov, A.A.; Nudnova, M.M.; Roupassov, D.V. SDBD plasma actuator with nanosecond pulse-periodic discharge. Plasma Sourc. Sci. Technol. 2009, 18, 034015. [Google Scholar] [CrossRef]
- Peng, B.; Jiang, N.; Yao, X.; Ruan, Y.; Wang, D.; Shang, K.; Lu, N.; Namihira, T.; Li, J.; Wu, Y. Experimental and numerical studies of primary and secondary streamers in a pulsed surface dielectric barrier discharge. J. Phys. D Appl. Phys. 2019, 52, 325202. [Google Scholar] [CrossRef]
- Van Laer, K.; Bogaerts, A. How bead size and dielectric constant affect the plasma behaviour in a packed bed plasma reactor: A modelling study. Plasma Sourc. Sci. Technol. 2017, 26, 085007. [Google Scholar] [CrossRef]
- Zhang, S.; Chen, Z.; Zhang, B.; Chen, Y. Energy Balance and Discharge Characteristics of a Repetitive High Voltage NSDBD Actuator. In Proceedings of the 48th AIAA Plasmadynamics and Lasers Conference, Denver, CO, USA, 5–9 June 2017; p. 3480. [Google Scholar]
- Shao, T.; Jiang, H.; Zhang, C.; Yan, P.; Lomaev, M.I.; Tarasenko, V.F. Time behaviour of discharge current in case of nanosecond-pulse surface dielectric barrier discharge. EPL (Europhys. Lett.) 2013, 101, 45002. [Google Scholar] [CrossRef]
- Soloviev, V.; Krivtsov, V. Surface barrier discharge modelling for aerodynamic applications. J. Phys. D Appl. Phys. 2009, 42, 125208. [Google Scholar] [CrossRef]
- Soloviev, V.R.; Krivtsov, V.M. Numerical modelling of nanosecond surface dielectric barrier discharge evolution in atmospheric air. Plasma Sourc. Sci. Technol. 2018, 27, 114001. [Google Scholar] [CrossRef]
- Takashima, K.; Adamovich, I.V.; Xiong, Z.; Kushner, M.J.; Starikovskaia, S.; Czarnetzki, U.; Luggenhilscher, D. Experimental and modeling analysis of fast ionization wave discharge propagation in a rectangular geometry. Phys. Plasmas 2011, 18, 083505. [Google Scholar] [CrossRef]
- Franklin, R.; Ockendon, J. Asymptotic matching of plasma and sheath in an active low pressure discharge. J. Plasma Phys. 1970, 4, 371–385. [Google Scholar] [CrossRef]
- Burkle, S. Environmental Impacts on Dielectric Barrier Discharge Plasma Actuators. Master’s Thesis, Technische Universität, Darmstadt, Germany, 2013. [Google Scholar]
- Kegel, W.H. Plasmaphysik; Springer: Berlin/Heidelberg, Germany, 1998. [Google Scholar]






























| No. | Reaction | Reaction Type | Rate Expression |
|---|---|---|---|
| (1) | Ei | ||
| (2) | Att | ||
| (3) | |||
| (4) |
| Case | L | h | V | |||||
|---|---|---|---|---|---|---|---|---|
| [mm] | [mm] | [ mm] | [mm/ns] | [mJ/cm] | [mJ/cm] | [100%] | ||
| 1 | 2.7 | 0.3 | 5.5 | 4.3 | 1.068 | 0.254 | 0.129 | 50.88 |
| 2 | 5.0 | 0.3 | 5.7 | 4.0 | 1.100 | 0.651 | 0.317 | 48.67 |
| 3 | 7.5 | 0.3 | 5.75 | 3.5 | 1.117 | 0.976 | 0.461 | 47.23 |
| 4 | 10.0 | 0.3 | 5.8 | 3.4 | 1.124 | 1.253 | 0.582 | 46.43 |
| 5 | 2.7 | 0.15 | 5.7 | 3.7 | 1.074 | 0.754 | 0.364 | 48.39 |
| 6 | 2.7 | 0.6 | 5.4 | 4.5 | 1.064 | 0.090 | 0.046 | 51.11 |
| 7 | 2.7 | 0.9 | 5.3 | 4.7 | 1.042 | 0.050 | 0.026 | 52.00 |
© 2019 by the authors. Licensee MDPI, Basel, Switzerland. This article is an open access article distributed under the terms and conditions of the Creative Commons Attribution (CC BY) license (http://creativecommons.org/licenses/by/4.0/).
Share and Cite
Zhang, S.; Chen, Z.; Zhang, B.; Chen, Y. Numerical Investigation on the Effects of Dielectric Barrier on a Nanosecond Pulsed Surface Dielectric Barrier Discharge. Molecules 2019, 24, 3933. https://doi.org/10.3390/molecules24213933
Zhang S, Chen Z, Zhang B, Chen Y. Numerical Investigation on the Effects of Dielectric Barrier on a Nanosecond Pulsed Surface Dielectric Barrier Discharge. Molecules. 2019; 24(21):3933. https://doi.org/10.3390/molecules24213933
Chicago/Turabian StyleZhang, Shen, Zhenli Chen, Binqian Zhang, and Yingchun Chen. 2019. "Numerical Investigation on the Effects of Dielectric Barrier on a Nanosecond Pulsed Surface Dielectric Barrier Discharge" Molecules 24, no. 21: 3933. https://doi.org/10.3390/molecules24213933
APA StyleZhang, S., Chen, Z., Zhang, B., & Chen, Y. (2019). Numerical Investigation on the Effects of Dielectric Barrier on a Nanosecond Pulsed Surface Dielectric Barrier Discharge. Molecules, 24(21), 3933. https://doi.org/10.3390/molecules24213933
