Diffusion of Resveratrol in Silica Alcogels
Abstract
1. Introduction
2. Results and Discussion
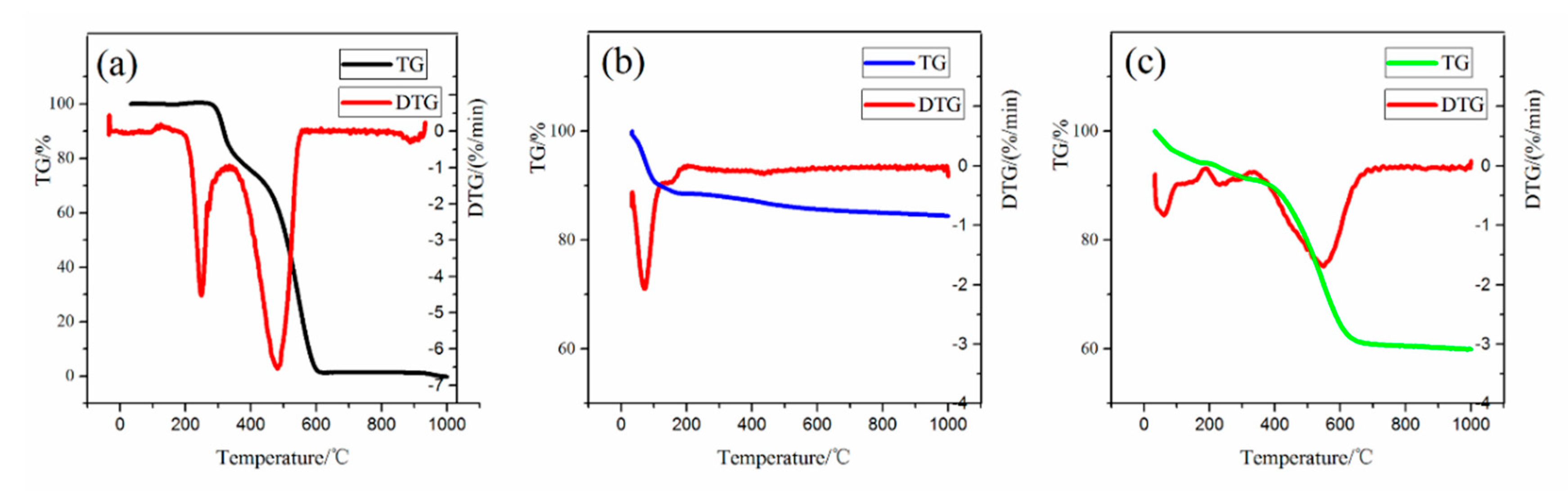
2.1. The Characterization of Silica Aerogel and Trans-Resveratrol (RSV)-Loaded Silica Aerogel (RLSA)
2.2. Inward Diffusion Coefficient
2.3. Outword Diffusion Coefficient
2.4. Internal Diffusion Coefficient
3. Experiments and Characterizations
3.1. Materials
3.2. Preparation of Silica Gels
3.3. One-Dimensional Diffusion Model
3.3.1. Inward Diffusion
3.3.2. Outward Diffusion
3.3.3. Internal Diffusion
3.4. Measurement of Concentration of RSV
3.5. Freeze-Drying Process
3.6. Characterizations
4. Conclusions
Author Contributions
Funding
Acknowledgments
Conflicts of Interest
References
- Ulker, Z.; Erkey, C. An emerging platform for drug delivery: Aerogel based systems. J. Control. Release 2014, 177, 51–63. [Google Scholar] [CrossRef]
- Siepmann, J.; Siegel, R.A.; Rathbone, M.J. Fundamentals and Applications of Controlled Release Drug Delivery; Springer: New York, NY, USA, 2012; pp. 15–16. [Google Scholar]
- Hamidi, M.; Azadi, A.; Rafiei, P. Hydrogel nanoparticles in drug delivery. Adv. Drug Deliv. Rev. 2008, 60, 1638–1649. [Google Scholar] [CrossRef]
- Zhou, P.; Yu, X.; Yang, L.; Yang, S.; Gao, W. Synthesis of Y2Si2O7: Eu nanocrystal and its optical properties. J. Lumin. 2007, 124, 241–244. [Google Scholar] [CrossRef]
- Rajanna, S.K.; Kumar, D.; Vinjamur, M.; Mukhopadhyay, M. Silica aerogel microparticles from rice husk ash for drug delivery. Ind. Eng. Chem. Res. 2015, 54, 949–956. [Google Scholar] [CrossRef]
- Xiang, X.; Pan, F.; Li, Y. A review on adsorption-enhanced photoreduction of carbon dioxide by nanocomposite materials. Adv. Compos. Hybrid Mater. 2018, 1, 6–31. [Google Scholar] [CrossRef]
- Du, A.; Zhou, B.; Zhang, Z.H.; Shen, J. A special material or a new state of matter: A review and reconsideration of the aerogel. Materials 2013, 6, 941–968. [Google Scholar] [CrossRef]
- Fricke, J.; Tillotson, T. Aerogels: Production, characterization, and applications. Thin Solid Films 1997, 297, 212–223. [Google Scholar] [CrossRef]
- Hüsing, N.; Schubert, U. Aerogels—Airy materials: Chemistry, structure, and properties. Angew. Chem. Int. Ed. 1998, 37, 22–45. [Google Scholar] [CrossRef]
- Zhao, W.; Shi, Z.; Hu, S.; Yang, G.; Tian, H. Understanding piezoelectric characteristics of PHEMA-based hydrogel nanocomposites as soft self-powered electronics. Adv. Compos. Hybrid Mater. 2018, 1, 320–331. [Google Scholar] [CrossRef]
- Munusamy, P.; Seleem, M.N.; Alqublan, H.; Tyler, R., Jr.; Sriranganathan, N.; Pickrell, G. Targeted drug delivery using silica xerogel systems to treat diseases due to intracellular pathogens. Mater. Sci. Eng. C 2009, 29, 2313–2318. [Google Scholar] [CrossRef]
- Novelle, M.G.; Wahl, D.; Dieguez, C.; Bernier, M.; de Cabo, R. Resveratrol supplementation: Where are we now and where should we go? Ageing Res. Rev. 2015, 21, 1–15. [Google Scholar] [CrossRef] [PubMed]
- Diaz-Gerevini, G.T.; Repossi, G.; Dain, A.; Tarres, M.C.; Das, U.N.; Eynard, A.R. Beneficial action of resveratrol: How and why? Nutrition 2016, 32, 174–178. [Google Scholar] [CrossRef] [PubMed]
- Giray, S.; Bal, T.; Kartal, A.M.; Kızılel, S.; Erkey, C. Controlled drug delivery through a novel PEG hydrogel encapsulated silica aerogel system. J. Biomed. Mater.Res. A 2012, 100, 1307–1315. [Google Scholar] [CrossRef] [PubMed]
- Smirnova, I.; Mamic, J.; Arlt, W. Adsorption of drugs on silica aerogels. Langmuir 2003, 19, 8521–8525. [Google Scholar] [CrossRef]
- Smirnova, I.; Suttiruengwong, S.; Arlt, W. Feasibility study of hydrophilic and hydrophobic silica aerogels as drug delivery systems. J. Non-Cryst. Solids 2004, 350, 54–60. [Google Scholar] [CrossRef]
- Zhang, T.; Wang, H.; Zhou, B.; Ji, X.J.; Wang, H.Q.; Du, A. One-Dimension Diffusion Preparation of Concentration-Gradient Fe2O3/SiO2 Aerogel. Molecules 2018, 23, 1502. [Google Scholar] [CrossRef]
- Kruk, M.; Jaroniec, M. Gas adsorption characterization of ordered organic−inorganic nanocomposite materials. Chem. Mater. 2001, 13, 3169–3183. [Google Scholar] [CrossRef]
- Davidov-Pardo, G.; Joye, I.J.; McClements, D.J. Encapsulation of resveratrol in biopolymer particles produced using liquid antisolvent precipitation. Part 1: Preparation and characterization. Food Hydrocoll. 2015, 45, 309–316. [Google Scholar] [CrossRef]
- Anappara, A.A.; Rajeshkumar, S.; Mukundan Warrier, P.R.S.; Ghosh, S.; Warrier, K.G.K. Impedance spectroscopic studies of sol–gel derived subcritically dried silica aerogels. Acta Mater. 2004, 52, 369–375. [Google Scholar] [CrossRef]
- Shewale, P.M.; Rao, A.V.; Rao, A.P. Effect of different trimethyl silylating agents on the hydrophobic and physical properties of silica aerogels. Appl. Surf. Sci. 2008, 254, 6902–6907. [Google Scholar] [CrossRef]
- Sekine, T.; Nakatani, K. Intraparticle diffusion and adsorption isotherm for sorption in silica gel studied by single-microparticle injection and microabsorption methods. Langmuir 2002, 18, 694–697. [Google Scholar] [CrossRef]
- Gutenwik, J.; Nilsson, B.; Axelsson, A. Coupled diffusion and adsorption effects for multiple proteins in agarose gel. AIChE J. 2004, 50, 3006–3018. [Google Scholar] [CrossRef]
- Usha, S.; Johnson, I.M.; Malathi, R. Interaction of resveratrol and genistein with nucleic acids. BMB Rep. 2005, 38, 198–205. [Google Scholar] [CrossRef]
- Wong, S.S.M. Computational Methods in Physics and Engineering; World Scientific Publishing Company: Singapore, 1997; pp. 32–33. [Google Scholar]
- Da Silva, R.D.C.; Teixeira, J.A.; Nunes, W.D.G.; Zangaro, G.A.C.; Pivatto, M.; Caires, F.J.; Ionashiro, M. Resveratrol: A thermoanalytical study. Food Chem. 2017, 237, 561–565. [Google Scholar] [CrossRef] [PubMed]
Sample Availability: Samples of the compounds are not available from the authors. |









| Samples | D1 | D2 | a/nm | b/nm |
|---|---|---|---|---|
| Silica aerogel | 1.58 | 2.79 | 0.96 | 2.02 |
| RLSA | 1.36 | 2.37 | 1.20 | 2.35 |
| D (m2/s) | R2 | n0 (mg/L) | L (mm) |
|---|---|---|---|
| 2.93 × 10−10 | 0.98 | 9.50 | 34 |
| x /mm | 3.5 | 7.0 | 10.5 | 14.0 | 17.5 |
|---|---|---|---|---|---|
| C mg/L | 7.04 | 5.23 | 3.71 | 2.52 | 1.91 |
| residual | −0.17 | 0.05 | 0.11 | 0.07 | 0.27 |
| percentage | −2.4% | 1.0% | 3.0% | 2.8% | 14.3% |
| D (m2/s) | R2 | C Range (mg/L) | Positions (mm) | |
|---|---|---|---|---|
| low C | 3.34 × 10−10 | 0.89 | 0.18–2.52 | 14.0 and 17.5 (D and E) |
| high C | 2.64 × 10−10 | 0.98 | 1.54–7.04 | 3.5 and 7.0 (A and B) |
| D (m2/s) | R2 | C0 (mg/L) | L (mm) |
|---|---|---|---|
| 4.25 × 10−10 | 0.94 | 3.56 | 20 |
| Inward D (m2/s) | R2 | Fitted n0 (mg/L) | n0 (mg/L) |
| 3.46 × 10−10 | 0.99 | 8.61 | 9.50 |
| Outward D (m2/s) | R2 | Fitted C0 (mg/L) | C0 (mg/L) |
| 4.27 × 10−10 | 0.93 | 3.57 | 3.56 |
| D (m2/s) | R2 | L (mm) | |
|---|---|---|---|
| Inward diffusion | 2.57 × 10−10 | 0.98 | 20 |
| Internal diffusion | 3.38 × 10−10 | 0.96 | 20 |
© 2019 by the authors. Licensee MDPI, Basel, Switzerland. This article is an open access article distributed under the terms and conditions of the Creative Commons Attribution (CC BY) license (http://creativecommons.org/licenses/by/4.0/).
Share and Cite
Wang, Y.; Kao, Z.; Zhang, T.; Zhang, Y.; Qin, L.; Zhang, Z.; Zhou, B.; Wu, G.; Shen, J.; Du, A. Diffusion of Resveratrol in Silica Alcogels. Molecules 2019, 24, 3931. https://doi.org/10.3390/molecules24213931
Wang Y, Kao Z, Zhang T, Zhang Y, Qin L, Zhang Z, Zhou B, Wu G, Shen J, Du A. Diffusion of Resveratrol in Silica Alcogels. Molecules. 2019; 24(21):3931. https://doi.org/10.3390/molecules24213931
Chicago/Turabian StyleWang, Yuxiang, Zeyu Kao, Ting Zhang, Yujun Zhang, Lili Qin, Zhihua Zhang, Bin Zhou, Guangming Wu, Jun Shen, and Ai Du. 2019. "Diffusion of Resveratrol in Silica Alcogels" Molecules 24, no. 21: 3931. https://doi.org/10.3390/molecules24213931
APA StyleWang, Y., Kao, Z., Zhang, T., Zhang, Y., Qin, L., Zhang, Z., Zhou, B., Wu, G., Shen, J., & Du, A. (2019). Diffusion of Resveratrol in Silica Alcogels. Molecules, 24(21), 3931. https://doi.org/10.3390/molecules24213931

