Chemical Constituents of Stems and Leaves of Tagetespatula L. and Its Fingerprint
Abstract
:1. Introduction
2. Results and Discussion
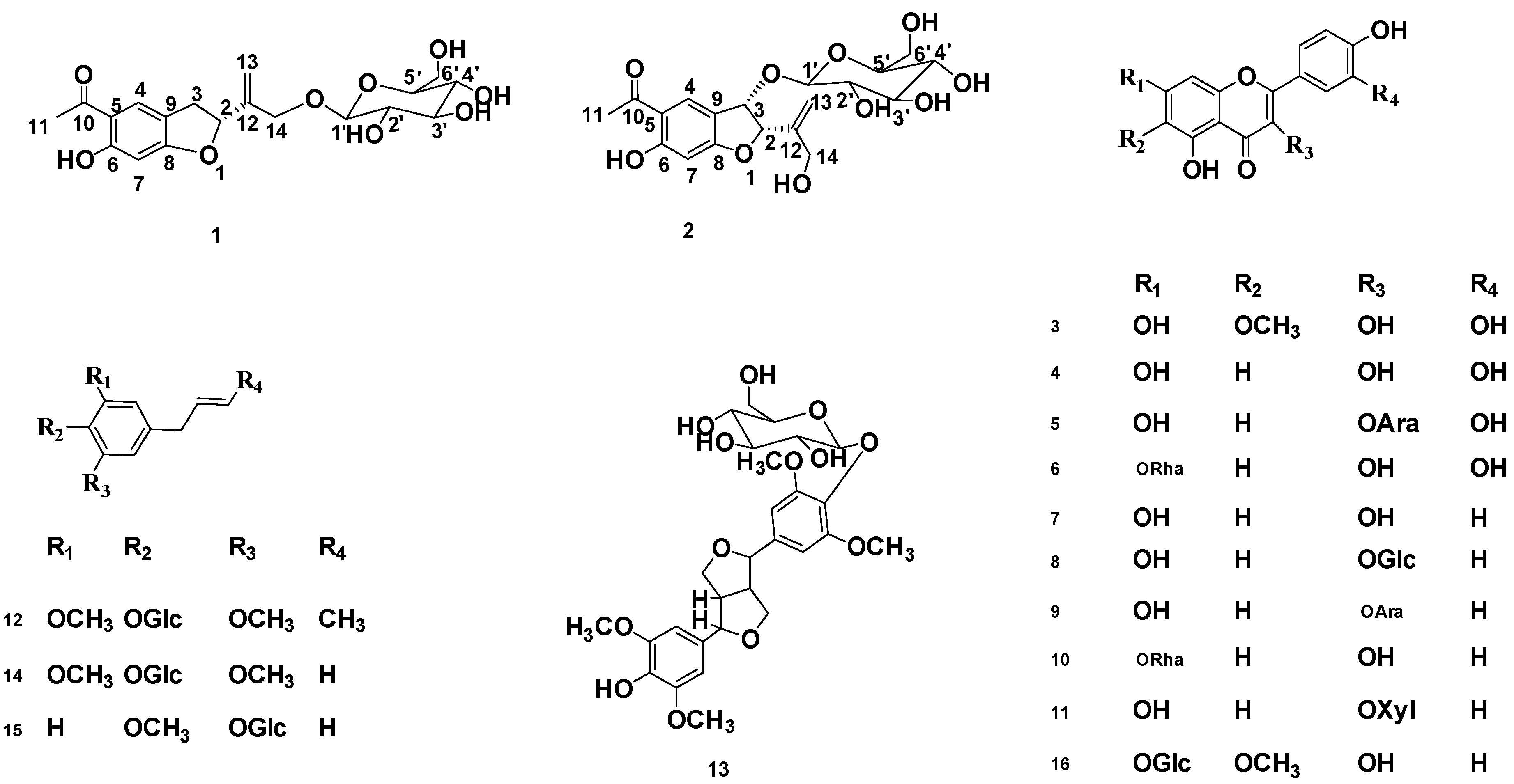
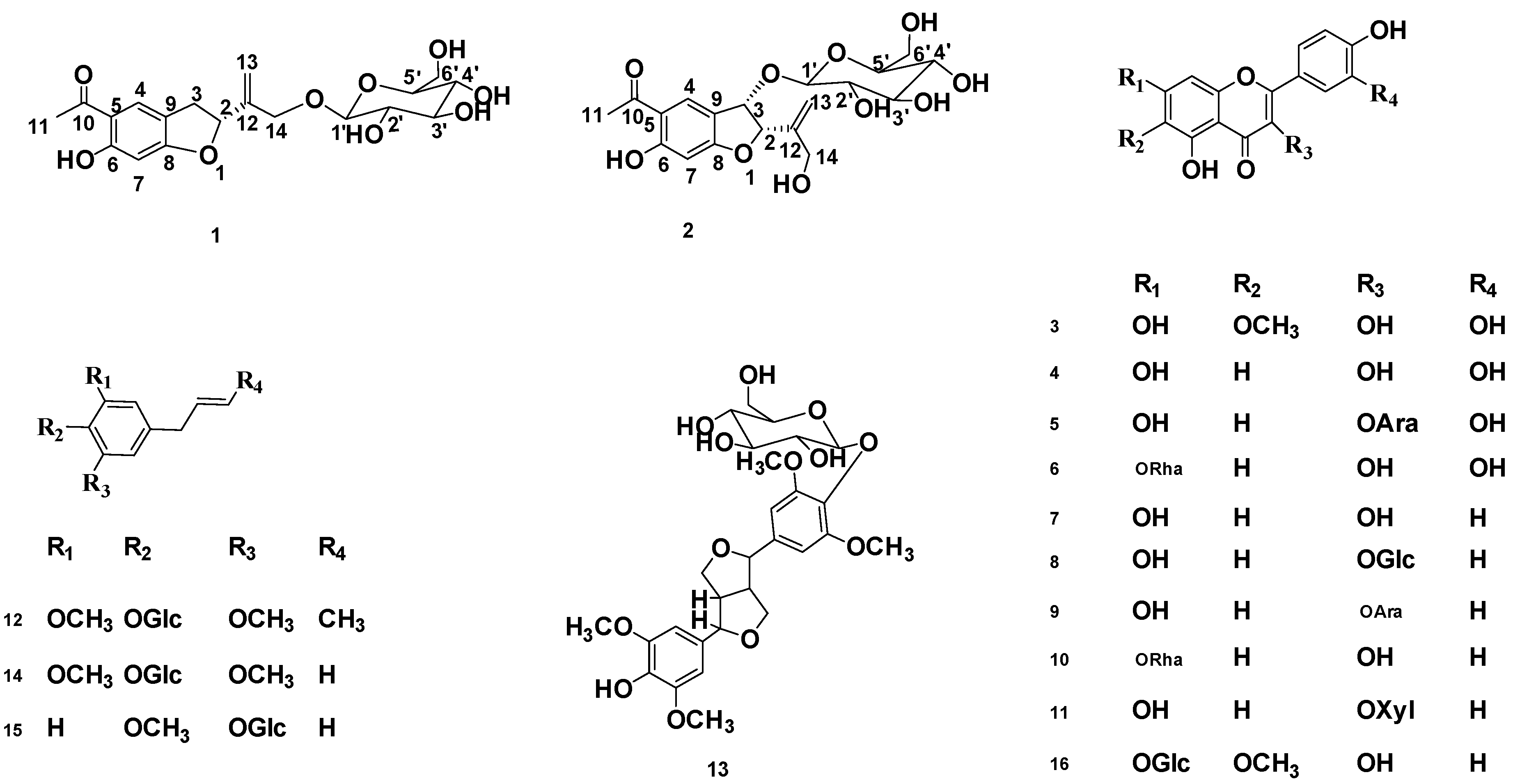
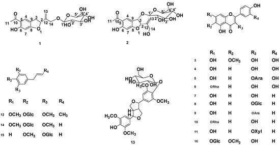
2.1. Structural Elucidation of the Isolated Compounds
2.2. HPLC Fingerprints and Similarity Analysis of the Various SLT Samples
2.3. Cytotoxicity Assay
3. Materials and Methods
3.1. General Experimental Procedures
3.2. Plant Material
3.3. Extraction and Isolation
3.4. Acid Hydrolysis of Compounds 1 and 2
3.5. Chromatographic Conditions
3.6. MTT Assay
4. Conclusions
Author Contributions
Funding
Acknowledgments
Conflicts of Interest
Appendix A
| Position | 1 | 2 | |||
|---|---|---|---|---|---|
| δH | HMBC | δH | HMBC | NOESY | |
| 2 | 5.48 (1H, t, 8.5) | C-3,C-9,C-12,C-13,C-14, | 5.17 (1H, d, 5.0) | C-12,C-13,C-14 | H-3,H-14, H-1’ |
| 3 | 3.12 (1H, dd, 8.0, 15.5), 3.38 (1H, dd, 8.0, 15.5) | C-2,C-4,C-8,C-9,C-12 | 5.33 (1H, d, 5.0) | C-1’,C-8 | H-3, H-4, H-13, H-14 |
| 4 | 7.68 (1H, s) | C-3, C-5, C-6, C-7, C-8, C-9 | 8.18 (1H, s) | C-8,C-10 | H-11, H-1’ |
| 5 | |||||
| 6 | |||||
| 7 | 6.27 (1H, s) | C-5,C-6,C-8,C-9 | 6.32 (1H, s) | C-5,C-6,C-9 | |
| 8 | |||||
| 9 | |||||
| 10 | |||||
| 11 | 2.54 (3H, s) | C-5, C-10 | 2.61 (3H, s) | C-5,C10 | |
| 12 | |||||
| 13 | 5.32 (1H, s), 5.28 (1H, s) | C-2, C-12, C-14 | 5.36 (1H, s), 5.41 (1H, s) | C-2,C12,C-14 | H-14 |
| 14 | 4.49 (1H, d, 10.0), 4.22 (1H, d, 12.8) | C-1’, C-2, C-12, C-13 | 4.16 (1H, d, 15.0), 4.23 (1H, d, 10.0) | C2,C-12,C-13 | H-2, H-13, H-1’ |
| 1’ | 4.28 (1H, d, 4.3) | C-14, C-2’ | 4.54 (1H, d, 5.0) | C-3 | H-3, H-4, H-14 |
| 2’ | 3.35 (1H, m) | C-1’, C-3’ | 3.17 (1H, dd, 5.0, 10.0) | C-1’, C-3’ | |
| 3’ | 3.40 (1H, m) | C-2’, C-4’ | 3.36 (1H, s) | C-2’ | |
| 4’ | 3.21 (1H, m) | C-3’, C-5’ | 3.28 (1H, br s) | C-3’, C-6’ | |
| 5’ | 3.13 (1H, m) | C-4’, C-5’, C-6’ | 3.36 (1H, s) | C-4’ | |
| 6’ | 3.25 (2H, m) | C-5’ | 3.73(1H, dd, 5.0, 10.0) 4.00 (1H, dd, 2.0, 11.5) | C-4’, C-5’ | H-4’ |
| Peak No. | RSD of RPA (%) | RSD of RRT (%) | ||||
|---|---|---|---|---|---|---|
| Precision | Stability | Repeatability | Precision | Stability | Repeatability | |
| 5 | 4.397 | 4.769 | 3.401 | 0.492 | 0.458 | 0.246 |
| 6 | 3.504 | 5.883 | 1.574 | 0.321 | 0.238 | 0.258 |
| 11 | 3.343 | 6.253 | 3.652 | 0.375 | 0.522 | 0.586 |
| 15 | 4.840 | 4.976 | 4.701 | 0.125 | 0.131 | 0.098 |
| 18(S) | 0.000 | 0.000 | 0.000 | 0.000 | 0.000 | 0.000 |
| 25 | 6.224 | 1.351 | 3.806 | 0.064 | 0.049 | 0.052 |

References
- Vasudevan, P.; Kashyap, S.; Sharma, S. Tagetes: A multipurpose plant. Bioresource Technol. 1997, 62, 29–35. [Google Scholar] [CrossRef]
- Editorial Committee of Flora of China. Flora Reipublicae Popularis Sinicae; Beijing Science Press: Beijing, China, 1979; Volume 75, p. 387. [Google Scholar]
- Chadha, Y.R. The Wealth of India. Publications & Information Directorate: New Delhi, India, 1976; Volume 10, p. 203. [Google Scholar]
- Ken, Y.; Yoshimasa, K. Effects of Flavonoids from French Marigold (Florets of Tagetespatula L.) on Acute Inflammation Model. Int. J. Inflam. 2013, 1–5. [Google Scholar] [CrossRef]
- Kunkel, G. Plants for human consumption. Koeltz Scientific Books: Koenigstein, Germany, 1985; Volume 39, p. 176. [Google Scholar]
- Bhardwaj, D.K.; Bisht, M.S.; Uain, S.C.; Mehta, C.K.; Sharma, G.C. Quercetagetin 5-methyl ether from the petals of Tagetespatula. Phytochemistry 1980, 19, 713–714. [Google Scholar] [CrossRef]
- Heywood, V.H.; Turner, B.L. The Biology and Chemistry of the Compositae. Sys. Bot. 1978, 3, 435. [Google Scholar] [CrossRef]
- Shaheen, F.; Shahina, F.; Samina, B.; Erum, Y.I.; Humaira, S. Isolation of nematicidal compounds from Tagetespatula L. yellow flowers: Structure-activity relationship studies against cyst nematode Heteroderazeae infective stage larvae. J. Agric. Food Chem. 2011, 59, 9080–9093. [Google Scholar] [CrossRef]
- Bano, H.; Ahmed, S.W.; Azhar, I.; Ali, M.S.; Alam, N. Chemical constituents of Tagetespatula L. Pak. J. Pharm. Sci. 2002, 15, 1–12. [Google Scholar]
- Saleem, R.; Ahmad, M.; Naz, A.; Siddiqui, H.; Ahmad, S.L.; Faizi, S. Hypotensive and toxicological study of citric acid and other constituents from Tagetespatula roots. Arch. Pharm. Res. 2004, 27, 1037–1042. [Google Scholar] [CrossRef]
- Tang, C.S.; Wat, C.K.; Towers, G.H.N. Thiophenes and benzofurans in the undisturbed rhizosphere of Tagetespatula L. Plant Soil 1987, 98, 93–97. [Google Scholar] [CrossRef]
- Menelaou, M.; Fronczek, F.; Hjortso, M.; Morrison, A.; Foroozesh, M.; Thibodeaux, T.; Flores, H.; Fisher, N. NMR Spectral Data of Benzofurans and Bithiophenes from Hairy Root Cultures of TagetesPatula Andthe Molecular Structure of Isoeuparin. Spectroscopy Lett. 1991, 24, 1405–1413. [Google Scholar] [CrossRef]
- Ahmed, A.A.; Abou-Douh, A.M.; Mohamed, A.H.; Hassan, M.E.; Karchesy, J. A new chromene glucoside from Ageratum conyzoides. Planta Med. 1999, 65, 171–172. [Google Scholar] [CrossRef]
- Dobner, M.J.; Ellmerer, E.P.; Schwaiger, S.; Batsugkh, O.; Narantuya, S.; Stiitz, M.; Stuppner, H. New Lignan, Benzofuran, and Sesquiterpene Derivatives from the Roots of Leontopodiumalpinum and L.leontopodioides. Helv. Chim. Acta 2003, 86, 86–733. [Google Scholar] [CrossRef]
- Mosaad, A.W.; Said, A.; Huefner, A. NMR and Radical Scavenging Activities of Patuletinfrom Urticaurens Against Aflatoxin B1. Pharm. Biol. 2005, 43, 515–525. [Google Scholar]
- Ge, L.L.; Li, J.M.; Wan, H.Q.; Zhang, K.D.; Wu, W.G.; Zou, X.T.; Wu, S.P.; Zhou, B.P.; Tian, J.; Zeng, X.B. Novel flavonoids from Lonicera japonica flower buds and validation of their anti-hepatoma and hepatoprotective activity in vitro studies. Ind. Crops Prod. 2018, 125, 114–122. [Google Scholar] [CrossRef]
- Sanbongi, C.; Osakabe, N.; Natsume, M.; Takizawa, T.; Gomi, S.; Osawa, T. Antioxidative Polyphenols Isolated from Theobroma cacao. J. Agric. Food Chem. 1998, 46, 454–457. [Google Scholar] [CrossRef] [PubMed]
- Wang, X.W.; Mao, Y.; Wang, N.L.; Yao, X.S. A new phloroglucinol diglycoside derivative from Hypericum japonicum Thunb. Molecules 2008, 13, 2796–2803. [Google Scholar] [CrossRef]
- Rezende, F.M.; Ferreira, M.J.P.; Clausen, M.H.; Rossi, M.; Furlan, C.M. Acylated Flavonoid Glycosides are the Main Pigments that Determine the Flower Color of the Brazilian Native Tree Tibouchina pulchra (Cham.) Cogn. Molecules 2019, 24, 718. [Google Scholar] [CrossRef]
- Ibrahim, A.; Khalifa, S.I.; Khafagi, I.; Youssef, D.T.; Khan, S.; Mesbah, M.; Khan, I. Microbial metabolism of biologically active secondary metabolites from Nerium oleander L. Chem. Pharm. Bull. 2008, 56, 1253–1258. [Google Scholar] [CrossRef]
- Loizzo, M.R.; Said, A.; Tundis, R.; Rashed, K.; Statti, G.A.; Hufner, A.; Menichini, F. Inhibition of angiotensin converting enzyme (ACE) by flavonoids isolated from Ailanthus excelsa (Roxb) (Simaroubaceae). Phytother. Res. 2007, 21, 32–36. [Google Scholar] [CrossRef]
- Ouyang, X.L.; Wei, L.X.; Fang, X.M.; Wang, H.S.; Pan, Y.M. Flavonoid constituents of Euonymus fortune. Chem. Nat. Compd. 2013, 54, 195–197. [Google Scholar]
- Wu, T.S.; Zhang, F.C.; Wu, P.L.; Guo, C.S.; Chen, Y.S. Constituents of Leaves of TefradiumglabrifoJium. J. Chin. Chem. Soc. 1995, 42, 929–934. [Google Scholar] [CrossRef]
- Olszewska, M.; Wolbiś, M. Flavonoids from the flowers of Prunus spinosa L. Acta Pol. Pharm. 2001, 58, 367–372. [Google Scholar] [PubMed]
- Kiem, P.V.; Minh, C.V.; Dat, N.T.; Cai, X.F.; Lee, J.J.; Kim, Y.H. Two new phenylpropanoid glycosides from the stem bark of Acanthopanaxtrifoliatus. Arch. Pharm. Res. 2003, 26, 1014–1017. [Google Scholar] [CrossRef] [PubMed]
- Jiao, Q.S.; Xu, L.L.; Zhang, J.Y.; Wang, Z.J.; Jiang, Y.Y.; Liu, B. Rapid Characterization and Identification of Non-Diterpenoid Constituents in Tinosporasinensis by HPLC-LTQ-Orbitrap MSn. Molecules 2018, 23, 274. [Google Scholar] [CrossRef] [PubMed]
- Zhou, J.; Zhou, X.L.; Liang, C.Q.; Su, X.J.; Li, B.L.; Qing, Y.Y.; Wu, Y.E. Chemical constituents of Dendrobium officinale. Chin. Trad. Herb. Drugs 2015, 46, 1292–1295. [Google Scholar]
- Wilfried, S.; Gerhard, S.; Peter, S. Glycosidically bound aroma components from sour cherry. Phytochemistry 1990, 29, 607–612. [Google Scholar]
- Zhang, M.; Liu, W.L.; Gao, X.; Tan, J.W.; Wan, F.H. Study on Chemical Constituents from Eupatorium adenophorumSpreng. J. Trop. Subtrop. Botany 2015, 23, 697–702. [Google Scholar]
Sample availability: The samples of the compounds are not available from the authors. |





| Position | 1 | 2 | ||
|---|---|---|---|---|
| δC | δH | δC | δH | |
| 2 | 86.4 | 5.48 (1H, t, 8.5) | 90.0 | 5.27 (1H, d, 5.0) |
| 3 | 34.4 | 3.12 (1H, dd, 8.0, 15.5), 3.38 (1H, dd, 8.0, 15.5) | 81.0 | 5.33 (1H, d, 5.0) |
| 4 | 128.6 | 7.68 (1H, s) | 133.1 | 8.18 (1H, s) |
| 5 | 115.0 | 115.8 | ||
| 6 | 166.6 | 167.7 | ||
| 7 | 98.4 | 6.27 (1H, s) | 98.7 | 6.32 (1H, s) |
| 8 | 167.8 | 167.7 | ||
| 9 | 120.4 | 121.1 | ||
| 10 | 204.2 | 205.0 | ||
| 11 | 26.4 | 2.54 (3H, s) | 26.6 | 2.61 (3H, s) |
| 12 | 145.8 | 144.8 | ||
| 13 | 113.9 | 5.32 (1H, s), 5.28 (1H, s) | 114.5 | 5.36 (1H, s), 5.41 (1H, s) |
| 14 | 70.0 | 4.49 (1H, d, 10.0), 4.22 (1H, d,12.8) | 63.6 | 4.16 (1H, d, 15.0), 4.23 (1H, d, 10.0) |
| 1’ | 103.7 | 4.28 (1H, d, 4.3) | 105.5 | 4.54 (1H, d, 5.0) |
| 2’ | 75.1 | 3.35 (1H, m) | 75.3 | 3.17 (1H, dd, 5.0, 10.0) |
| 3’ | 78.1 | 3.40 (1H, m) | 78.4 | 3.36 (1H, s) |
| 4’ | 71.7 | 3.21 (1H, m) | 71.6 | 3.28 (1H, br s) |
| 5’ | 78.0 | 3.13 (1H, m) | 78.1 | 3.36 (1H, s) |
| 6’ | 62.83 | 3.25 (2H, m) | 62.8 | 3.73(1H, dd, 5.0, 10.0) 4.00 (1H, dd, 2.0, 11.5) |
| Peak No. | S1 | S2 | S3 | S4 | S5 | S6 | S7 | S8 | S9 | S10 |
|---|---|---|---|---|---|---|---|---|---|---|
| 4 | 0.425 | 0.416 | 0.940 | 0.425 | 0.243 | 0.468 | 0.594 | 0.130 | 0.712 | 0.468 |
| 7 | 0.806 | 0.694 | 1.092 | 0.560 | 0.432 | 0.718 | 0.977 | 0.283 | 0.596 | 0.485 |
| 11 | 0.824 | 1.674 | 2.878 | 1.901 | 0.707 | 1.756 | 2.523 | 1.001 | 1.740 | 1.166 |
| 12 | 0.373 | 1.116 | 1.377 | 0.898 | 0.346 | 0.897 | 1.239 | 0.483 | 0.628 | 0.440 |
| patuletin | 1.000 | 1.000 | 1.000 | 1.000 | 1.000 | 1.000 | 1.000 | 1.000 | 1.000 | 1.000 |
| 20 | 0.388 | 1.841 | 1.934 | 2.137 | 0.683 | 1.966 | 3.057 | 1.223 | 1.626 | 2.995 |
| 22 | 0.201 | 1.304 | 1.673 | 1.079 | 0.697 | 1.234 | 2.072 | 0.370 | 0.928 | 0.303 |
| 24 | 0.289 | 2.620 | 2.942 | 1.918 | 0.721 | 2.037 | 3.036 | 0.369 | 1.102 | 0.558 |
| 25 | 0.468 | 0.629 | 1.320 | 1.244 | 0.696 | 0.658 | 0.702 | 0.362 | 1.819 | 0.839 |
| Similarity | S1 | S2 | S3 | S4 | S5 | S6 | S7 | S8 | S9 | S10 | R |
|---|---|---|---|---|---|---|---|---|---|---|---|
| S1 | 1 | ||||||||||
| S2 | 0.825 | 1 | |||||||||
| S3 | 0.887 | 0.952 | 1 | ||||||||
| S4 | 0.876 | 0.954 | 0.933 | 1 | |||||||
| S5 | 0.894 | 0.907 | 0.892 | 0.926 | 1 | ||||||
| S6 | 0.868 | 0.944 | 0.927 | 0.949 | 0.943 | 1 | |||||
| S7 | 0.849 | 0.963 | 0.933 | 0.976 | 0.898 | 0.952 | 1 | ||||
| S8 | 0.884 | 0.882 | 0.874 | 0.922 | 0.946 | 0.939 | 0.897 | 1 | |||
| S9 | 0.921 | 0.879 | 0.952 | 0.911 | 0.906 | 0.897 | 0.878 | 0.895 | 1 | ||
| S10 | 0.785 | 0.845 | 0.825 | 0.872 | 0.858 | 0.884 | 0.841 | 0.928 | 0.855 | 1 | |
| R | 0.915 | 0.964 | 0.963 | 0.979 | 0.958 | 0.977 | 0.967 | 0.958 | 0.949 | 0.910 | 1 |
| Compounds | IC50 (μmol/L) |
|---|---|
| 1 | 41.2 (25.94–70.53) |
| 2 5-Fluorouracil | 30.4 (9.13–59.06) 11.8 (−0.63–20.78) |
© 2019 by the authors. Licensee MDPI, Basel, Switzerland. This article is an open access article distributed under the terms and conditions of the Creative Commons Attribution (CC BY) license (http://creativecommons.org/licenses/by/4.0/).
Share and Cite
Wang, Y.-M.; Ran, X.-K.; Riaz, M.; Yu, M.; Cai, Q.; Dou, D.-Q.; Metwaly, A.M.; Kang, T.-G.; Cai, D.-C. Chemical Constituents of Stems and Leaves of Tagetespatula L. and Its Fingerprint. Molecules 2019, 24, 3911. https://doi.org/10.3390/molecules24213911
Wang Y-M, Ran X-K, Riaz M, Yu M, Cai Q, Dou D-Q, Metwaly AM, Kang T-G, Cai D-C. Chemical Constituents of Stems and Leaves of Tagetespatula L. and Its Fingerprint. Molecules. 2019; 24(21):3911. https://doi.org/10.3390/molecules24213911
Chicago/Turabian StyleWang, Yu-Meng, Xiao-Ku Ran, Muhammad Riaz, Miao Yu, Qian Cai, De-Qiang Dou, Ahmed M. Metwaly, Ting-Guo Kang, and De-Cheng Cai. 2019. "Chemical Constituents of Stems and Leaves of Tagetespatula L. and Its Fingerprint" Molecules 24, no. 21: 3911. https://doi.org/10.3390/molecules24213911
APA StyleWang, Y.-M., Ran, X.-K., Riaz, M., Yu, M., Cai, Q., Dou, D.-Q., Metwaly, A. M., Kang, T.-G., & Cai, D.-C. (2019). Chemical Constituents of Stems and Leaves of Tagetespatula L. and Its Fingerprint. Molecules, 24(21), 3911. https://doi.org/10.3390/molecules24213911

