Next Article in Journal
Experimental Design Modeling of the Effect of Hexagonal Wurtzite—ZnO Synthesis Conditions on Its Characteristics and Performance as a Cationic and Anionic Adsorbent
Previous Article in Journal
Electrical Characteristics and Reliability of Nitrogen-Stuffed Porous Low-k SiOCH/Mn2O3−xN/Cu Integration
 
 
Font Type:
Arial Georgia Verdana
Font Size:
Aa Aa Aa
Line Spacing:
Column Width:
Background:
Article

Carbohydrate-Based Chiral Iodoarene Catalysts: A Survey through the Development of an Improved Catalyst Design

by
Michael R. Imrich
1,
Linda E. Biehler
1,
Cäcilia Maichle-Mössmer
2 and
Thomas Ziegler
1,*
1
Institute of Organic Chemistry, University of Tuebingen, Auf der Morgenstelle 18, 72076 Tuebingen, Germany
2
Institute of Inorganic Chemistry, University of Tuebingen, Auf der Morgenstelle 18, 72076 Tuebingen, Germany
*
Author to whom correspondence should be addressed.
Molecules 2019, 24(21), 3883; https://doi.org/10.3390/molecules24213883
Submission received: 9 October 2019 / Revised: 24 October 2019 / Accepted: 24 October 2019 / Published: 28 October 2019

Abstract

Iodoarene catalysts can be applied in versatile reactions, for instance in the construction of complex chiral molecules via dearomatization of simple aromatic compounds. Recently, we reported the synthesis of the first carbohydrate-based chiral iodoarene catalysts and their application in asymmetric catalysis. Here we describe the synthesis of some new and improved catalysts. An account on how we got to the improved catalyst design, as well as the X-ray structure of one of the carbohydrate-based iodoarenes, is given.

Graphical Abstract

1. Introduction

Carbohydrates are prevalent in nature. For instance, they occur as skeleton substances in plants or are used to store energy in almost all living creatures. Carbohydrates can be isolated from many different sources; therefore, common carbohydrates like d-glucose, d-galactose, or d-fructose are commercially available at low cost [1]. Bearing multiple stereo centers, carbohydrates contain a large amount of stereochemical information. Thus, they have already been widely used as starting materials for chiral auxiliaries as well as for the synthesis of chiral ligands for enantioselective, transition metal catalyzed reactions [2,3,4,5,6,7].
Transition metal catalyzed reactions provide a plethora of selective chemical modifications with a high tolerance against many functional groups [8]. Numerous catalytic reactions proceed in an enantioselective manner [9]. For a long time, metal-catalyzed reactions were nearly the only way of performing enantioselective catalytic reactions in an effective way. Since the beginning of the 2000s, the field of organocatalysis expanded rapidly, and many metal-free protocols for enantioselective catalysis can be found in the literature. Advantages of organocatalysis over transition metal catalysis are, for example, their lower toxicity and lower cost of the catalysts. Furthermore, organocatalysts are often more tolerant against moisture and oxygen [10].
Chiral iodoarenes have gained significant importance as metal-free catalysts for stereoselective oxidation reactions. Oxidative dearomatization, for instance, provides the opportunity to construct complex molecules, like natural products, by starting from simple aromatic molecules [11,12,13]. Kita and coworkers developed a method for the enantioselective dearomatization of naphthole derivatives like compound 1 (Scheme 1) to the corresponding spiro lactone 2 using the chiral iodoarene catalyst 3 (Figure 1) and stoichiometric amounts of oxidant [14]. In the meantime, the iodoarene catalysts 47 (Figure 1) have been developed and were used in effective enantioselective dearomatizations of naphthole derivatives [15,16,17,18,19].
Recently, we reported on the synthesis of the first carbohydrate-derived chiral iodoarene catalysts 8 (Figure 1), which combined the benefits of carbohydrates as chiral auxiliary compounds with the advantages of organocatalysis for inexpensive, easily accessible, and robust catalysis processes. For example, catalyst 8d gave an enantiomeric ratio (er) of 2 of 80:20 in 77% yield (Scheme 1) [20]. Here, we present a detailed study about the influence of the symmetric and stereochemical properties and the steric effects of the carbohydrate moiety of iodoarene catalysts in order to gain a better understanding of the origin of stereoinduction of these chiral catalysts.

2. Results and Discussion

Our first attempt to improve the enantioselectivity of our carbohydrate-based iodoarene catalysts was to change the linkage between the monosaccharide and the iodine-substituted aromatic ring. Instead of linking the carbohydrate moiety, via its position 6, and a phenyl ether, like in 8, we now accomplished the linkage via a corresponding benzyl ether. An advantage of a benzylic connection of the sugar part over a phenolic connection is that the bond formation is not solely limited to position 6 at the monosaccharide, and other positions could be used as well. For this purpose, we chose 1,3-bis(bromomethyl)-2-iodo-benzene (10) as the iodoarene building block. The latter was prepared from 1,3-dimethyl-2-iodobenze according to a literature protocol [21]. For the introduction of the carbohydrate moiety, 1,2:5,6-di-O-isopropylidene-α-d-glucofuranose 9 and 1,2:4,5-di-O isopropylidene-β-d-fructopyranose 13 were prepared in one step from d-glucose and d-fructose, respectively, as was previously described [22,23]. Deprotonation of the hydroxyl group at position 3 in compounds 9 and 13 followed by subsequent addition of iodoarene 10 provided catalysts 11 and 14 in high yields (Scheme 2). We also changed the substitution pattern of 11 and 14 as follows. First, the isopropylidene groups at positions 5 and 6 in 11 and positions 4 and 5 in 14 were removed under acidic conditions, respectively. Next, the hydroxyl groups were benzylated using sodium hydride and benzyl bromide. Glucose-based catalyst 12 was, thus, isolated in 62% yield and the fructose-based catalyst 15 in 80% yield.
With four new carbohydrate-derived iodoarenes at hand, we next tested their potential as catalysts in enantioselective spirolactonization, for which we chose the identical conditions reported previously for catalyst 8 [20]. At −20 °C none of the new benzyl ether linked catalysts showed any conversion of 1 to 2 (Table 1, entries 2, 4, 6, and 8). At room temperature, catalysts 11 and 14 gave low yields of products (12% and 13%, respectively), though with a slight enrichment of the R-enantiomer in the product (Table 1, entries 3 and 5). Catalysts 12 and 15 were not at all capable of catalyzing the spirolactonization of 1. Instead, a six-membered lactone between the naphtholic hydroxy and the acid group was formed (Table 1, entries 7 and 9). In comparison to the previously published phenol ether linked catalyst 8d, yields as well as enantioselectivities were significantly lower for benzyl ether linked catalysts.
Next, we tested whether decreasing the catalyst’s symmetry could lead to higher enantioselectivities because examples of C1 symmetric catalysts like 5 and 6 (Figure 1) are known to work well in asymmetric catalysis [16,19]. C1 symmetric catalyst 17 was prepared in high yield by deprotonation of 9 and subsequent addition of 1-(bromomethyl)-2-iodo-3-methylbenzene 16 (Scheme 3). The latter was obtained as a side product in the synthesis of 10. For the preparation of catalyst 20, a Mitsunobu protocol was used [24]. Condensation between commercially available 2-iodophenol 19 and known methyl d-glucoside 18 [25] afforded the respective carbohydrate-substituted iodoarene 20 in excellent yield. We selected 18 as the carbohydrate substituent for the catalyst because this substituent worked best in our previously reported catalyst 8.
Again, when 17 was applied as a catalyst in Kita’s spirolactonization, no conversion was observed at −20 °C (Table 1, entry 10). At room temperature, a small amount of 2 was isolated (Table 1, entry 11). Compared to the corresponding C2 symmetrical catalyst 11 (Table 1, entries 3 and 11), 20 also gave a slightly higher yield than 8d, but the enantioselectivity was much lower in this case (Table 1, entries 1 and 12).
From those experiments, it can be generally concluded that C2 symmetric catalysts, having the sugar moiety linked to the iodoarene through a phenyl ether bond, gave better yields and higher enantioselectivities than C1 symmetric catalysts where the sugar was bound via a benzylic linkage. Therefore, we decided to focus next on catalysts having the same or similar structures as catalyst 8 but now varying the sugar and its anomeric configuration instead.
For the above-mentioned purpose, we prepared derivatives of methyl-β-d-glucopyranoside, methyl-α-d-mannopyranoside, and methyl-α-d-galactopyranoside with a similar substitution pattern like 18. First, commercially available methyl glycosides 21, 22, and 23 were reacted with trityl chloride in pyridine to selectively protect the primary alcohol at position 6 (Scheme 4). Next, the remaining hydroxyl groups were benzylated using sodium hydride and benzyl bromide. Selective removal of the trityl group under acidic conditions gave catalyst precursors 30, 31, and 32.
Again we used a Mitsunobu protocol for the condensation of 2-iodoresorcinol (33) [24] and carbohydrate derivatives 30, 31, and 32 (Scheme 5). In the case of glucose- and mannose-based precursors, the previously used method (DIAD, PPh3, THF, room temperature) worked well. Carbohydrate-substituted iodoarenes 34 and 35 were obtained in 74% and 29% yields, respectively. In the case of galactose derivative 32, however, an inseparable mixture of products was formed. After slightly changing the Mitsunobu protocol (DIAD, PPh3, PhMe, reflux), as was previously described in similar cases [26], galactose-based iodoarene 36 was isolated in fair yield (57%) (Scheme 5).
The substituted iodoarenes 34, 35, and 36 were then applied as catalysts in Kita’s spirolactonization of 1-hydroxy-2-naphthalenepropionic acid (1). β-Configurated 34 gave 73% yield and an enantiomeric ratio of 70:30 (Table 1, entry 13). Compared to catalyst 8d, which had an α-configuration at the anomeric center, the yield was in a similar range, and the enantioselectivity was only slightly lower. Mannose-derived catalyst 35 had an axial substituent at position 2, whereas the respective substituent in 8d was equatorial. Catalyst 35 gave a lower yield and slightly lower enantioselectivity when applied in Kita’s spirolactonization (Table 1, entry 14) than 8d (Table 1, entry 1). Galactose-derived catalyst 36 had an inverted configuration at position 4 compared to 8d. The yield when using 36 as a catalyst was in a similar range as that of 35. However, the enantiomeric ratio decreased significantly. The almost complete loss of stereoinduction by changing the configuration at position 4 led us to the assumption that this stereocenter is of major importance for the catalyst design.
In order to verify our assumption of the importance of position 4 of the carbohydrate moiety further, we first took a closer look at the molecular structure of the C2 symmetrical phenyl ether linked catalysts. For that purpose, we tried to crystallize catalyst 8 as well as 34, 35, and 36. However, we could not get useful crystallographic data on catalysts 8a, 8b, 8d, 34, 35, and 36. Fortunately, we were able to obtain crystals of compound 8c that were suitable for X-ray crystallography. Compound 8c bears methyl groups instead of benzyl groups at positions 2, 3, and 4 like 8d does. Compound 8c gave an er of 69:31 and 61% yield by its application in Kitas spirolactonization, which was slightly lower than 8d (78:22; 67% at the same reaction conditions) [20]. Despite the fact that different protective groups might cause changes in the conformation of the catalyst, the X-ray structure of 8c can be used as a model system to get a better idea of the molecular structure of our catalysts. The molecular structure of 8c is shown in Figure 2. The molecule crystallized in the orthorhombic space group P212121 [27]. The molecular structure showed that the substituents at C-4 and C-4′ were both located close to the iodine where the catalytic reaction took place. The substituents at the anomeric centers did not come as close as the substituents at position 4, and the groups at positions 2 and 3 even pointed in different directions. Thus, we assumed that a very bulky substituent at position 4 was be beneficial for the enantioselectivity and that the other substituents were not that important.
In order to investigate the influence of the substituent at position 4 in greater detail, catalysts with very bulky substituents at this position and “small” substituents (methyl groups) at positions 1, 2, and 3 were prepared. For the substituents at position 4 we chose 3,5-dimethyl-benzyl, 3,5-di-tert-butyl-4-methoxy-benzyl and 1-naphthylmethyl since they were sufficiently bulky, were stable under the reaction conditions, and also could be easily introduced by using the corresponding benzylic bromides. The latter bromides were either commercially available or were prepared as described previously [3].
We started the preparation of the known 1,2,3-trimethyl-6-trity-glucose (37) [28]. Reaction of the latter with different benzyl bromides under basic conditions afforded glycosides 38, 39, and 40 in good to virtually quantitative yields (Scheme 6). Removal of the trityl protective group at position 6 with trifluoroacetic acid afforded primary alcohols 41, 42, and 43 in good yields as well. Finally, alcohols 4143 were coupled with 2-iodoresorcinol (33), using DIAD and PPh3 as reagents, to afford carbohydrate-substituted iodoarenes 44, 45, and 46. Catalysts 44, 45, and 46 were than applied in Kita’s spirolactonization of naphthole derivative 1. The catalysts with the substituted benzyl groups at position 4 gave similar enantiomeric ratios (79:21 for 44 and 81:19 for 45 respectively) and yields ranging between 70% and 80% (Table 1, entries 16 and 17). Enantioselectivities and yields were in a similar range as for the previously published catalyst 8d. 1-Naphthylmethyl-substituted α-d-glucose-based iodoarene 46, however, resulted in a yield in the same range as for 44 and 45 but in a slightly higher enantioselectivity (er 86:14, Table 1, entry 18), which proved our assumption that the substituents at position 4 of the sugar moiety were critical.
Finally, we also prepared a catalyst with sterically demanding 1-naphthylmethyl groups at all positions of the sugar moieties. If position 4 is indeed the main origin of stereoinduction in our catalyst design, such fully 1-naphthylmethyl protected iodoarenes should provide similar selectivities like 46.
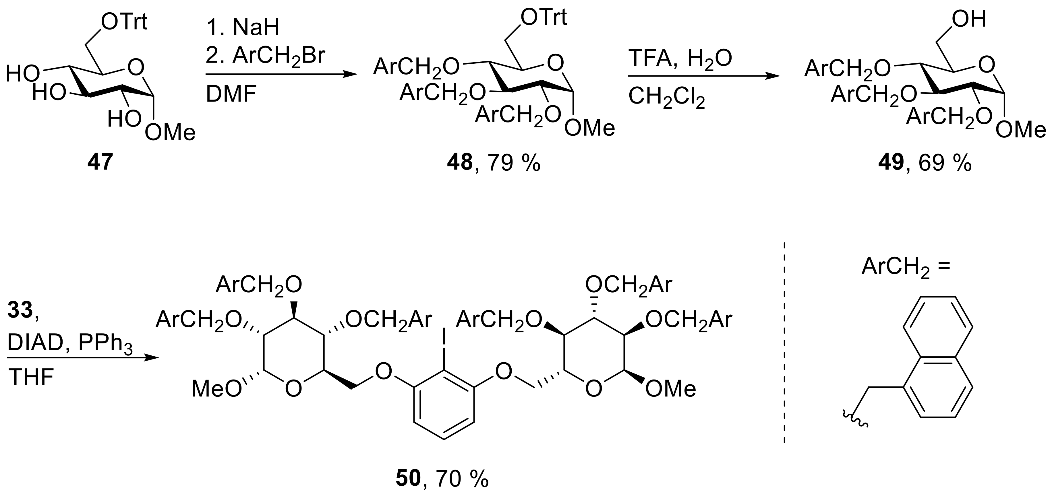
Once again, the preparation (Scheme 7) started with known 1-methyl-6-trityl-α-d-glucose 47 [25], which was reacted with 1-(bromomethyl)naphthalene to give glucoside 48 in 79% yield. Selective deprotection of the trityl group in 48, followed by Mitsunobu esterification of intermediate 49 with 2-iodoresocinol 33, afforded iodoarene 50 in 70% yield. The application of 50 in Kita’s spirolactonization resulted in 75% yield, which was nearly identical to the yield obtained with catalyst 46 (Table 1, entry 19). The enantiomeric ratio was slightly higher than with 46 (50: 88:12, 46: 86:14), but it was still in a similar range.
Indeed, position 4 at the monosaccharide derivative is most important for the stereoinduction of our carbohydrate-based iodoarene catalyst, but the other positions seem to have some influence too.

3. Materials and Methods

3.1. General Remarks

Reactions in dry solvents were carried out under an atmosphere of nitrogen using Schlenk techniques. Dry THF and PhMe were distilled from sodium and benzophenone, and dry CH2Cl2 and DMF were distilled from P4O10. Solvents used for preparative column chromatography were of technical grade and distilled prior to their use. Petroleum ether (PE) refers to the fraction boiling at 60−90 °C. Silica gel “60 M” from Macherey-Nagel (Düren, Germany) was used for preparative column chromatography. For TLC, “Polygram Sil G/U254” plates purchased from Machery-Nagel were used. Melting points were measured with a Büchi “Melting Point M-560” apparatus (Flawil, Switzerland). Optical rotations were determined with a Perkin-Elmer “Polarimeter 341” (Wattham, MA, USA). NMR spectra were measured with a Bruker “Avance III HD 400” or a Bruker “Avance III HD 300 NanoBay” spectrometer (Billerica, MA, USA). NMR spectra were calibrated to the solvent signal (CDCl3: 1H 7.27 ppm, 13C 77.0 ppm; CD2Cl2 1H 5.32 ppm, 13C 53.8 ppm; PhMe-d8: 1H 2.08 ppm, 13C 20.81 ppm). Additional spectra (DEPT-135; 1H,1H-COSY; 1H,13C-HMBC; 1H,13C-HSQC) were recorded for peak assignment, and the atoms were numbered according to the carbohydrate nomenclature. Chemical shifts were given in ppm. High-resolution mass spectra (HRMS) were recorded on a Bruker “maXis 4G” with electrospray ionization and a time-of-flight detector. Elemental analysis was performed using a HEKAtech “Euro 3000 CHN” (Wegberg, Germany). Enantiomeric ratios were determined by chiral HPLC using a Dr Maisch (Ammerbuch-Entringen, Germany) “Reprosil Chiral-OM, 5 μm, 125 × 4.6 mm” column with n-hexanes/2-propanol, 85/15, as eluent and 0.7 mL/min as the flow rate. The Supplementary Materials contains copies of NMR spectra, HPLC chromatograms, and crystallographic data.

3.2. Experimental Procedures

3.2.1. General Procedure A: Benzylic Substitution

Respective carbohydrate derivative (1.0 equiv) was dissolved in dry DMF (0.15 m), and NaH (2.0 equiv for each hydroxyl group; 60% dispersion in mineral oil) was added in small portions. After complete addition, the resulting mixture was stirred for 10 min at room temperature. The reaction mixture was cooled in an ice bath, and the particular benzylic bromide (1.0 to 1.5 equiv for each hydroxyl group) was slowly added. The mixture was allowed to reach room temperature and was stirred until TLC showed complete consumption of the starting material, at which point the reaction was quenched by the addition of MeOH. The solvent was evaporated in vacuo, and the residue was re-dissolved in H2O and EtOAc. The aqueous layer was extracted with EtOAc (3 times), and the combined organic layers were dried (Na2SO4). The crude product was purified by column chromatography.

3.2.2. General Procedure B: Changing Isoproylidene Groups to Benzyl Groups

The respective isopropylidene-protected compound (1.0 equiv) was dissolved in THF (0.03 m), aqueous HCl (10 mL for each mol of isopropylidene-protected compound; 2 m) was added, and the resulting mixture was stirred at room temperature until TLC indicated complete consumption of the starting material. The reaction mixture was neutralized with solid NaHCO3, and the solvent was evaporated in vacuo. The solid residue was extracted with 2-propanol, which was evaporated in vacuo afterwards. The crude product was dissolved in dry DMF (0.05 m with respect to the isopropylidene-protected compound), and NaH (4.0 equiv for each removed isopropylidene group, 60% dispersion in mineral oil) was added. The reaction mixture was stirred 10 min at room temperature, and BnBr (3.0 equiv for each removed isopropylidene group) was added slowly. The reaction mixture was stirred at room temperature overnight, quenched with MeOH, and the solvent evaporated in vacuo. The residue was re-dissolved in H2O and EtOAc, the aqueous layer was extracted with EtOAc (3 times), and the combined organic layers were dried (Na2SO4). The crude product was purified by column chromatography.

3.2.3. General Procedure C: Mitsunobu Reaction

Particular iodophenol (1.0 equiv) and carbohydrate derivatives (1.0 to 1.1 equiv for each hydroxyl group at the iodophenol) were dissolved in dry THF (0.2 m with respect to the iodophenol), and PPh3 (1.15 equiv for each hydroxyl group at the iodophenol) and DIAD (1.2 equiv for each hydroxyl group at the iodophenol) were added. The resulting mixture was stirred at room temperature for 15 h, PPh3 (0.3 equiv for each hydroxyl group at the iodophenol) and DIAD (0.3 equiv for each hydroxyl group at the iodophenol) were added, and the reaction mixture was stirred at room temperature for an additional 4 h. The solvent was evaporated in vacuo, and the residue was purified by column chromatography.

3.2.4. General Procedure D: Mitsunobu Reaction

Compound 33 (1.0 equiv) and PPh3 (3.0 equiv) were dissolved in dry PhMe (0.05 m with respect to 33), DIAD (3.0 equiv) was added, and the mixture was stirred at room temperature for 5 min. A solution of carbohydrate derivative (2.5 equiv) in dry PhMe (0.2 m) was added, and the reaction mixture was heated to reflux for 17 h. The solvent was evaporated in vacuo, and the residue was purified by column chromatography.

3.2.5. General Procedure E: Introduction of the Trityl Group

A solution of methyl glycoside (1.0 equiv) and Ph3CCl (1.2 equiv) in dry pyridine was heated to 60 °C until TLC showed complete consumption of the starting material. MeOH was added, and the solvent was evaporated in vacuo. The residue was coevaporated with PhMe (3 times) and purified by column chromatography.

3.2.6. General Procedure F: Cleavage of the Trityl Group

To a solution of trityl-protected compound (1 equiv) in CH2Cl2 (0.3 m), H2O (4 equiv) and TFA (2 equiv) were added, and the mixture was stirred at room temperature until TLC showed complete consumption of the starting material. The reaction mixture was diluted with CH2Cl2 and H2O. The aqueous phase was saturated with NaCl and extracted with CH2Cl2 (3 times). The combined organic layers were washed with saturated NaHCO3 solution and dried (Na2SO4). The crude product was purified by column chromatography.

3.2.7. General Procedure G: Kita’s Spirolactonization

The spirolactonization was performed according to known procedure in the literature, and the enantiomeric ratio was determined as described previously [16,20].

3.3. Characterization of Compounds

11: Prepared from 9 (599 mg, 2.30 mmol) and 10 (390 mg, 1.00 mmol) accordingly to general procedure A; colorless solid; 81% (604 mg) yield after column chromatography (PE/EtOAc, 5/1); Rf = 0.53 (PE/EtOAc, 5/1); mp = 56 °C (PE, EtOAc); [α]20D = −23.3° (c = 1.0, CHCl3); 1H-NMR (300 MHz, CDCl3) δ = 7.29–7.47 (m, 3H, H-Ar), 5.93 (d, J = 3.8 Hz, 2H, H-1), 4.63–4.81 (m, 6H, CH2Ar, H-2), 4.35–4.45 (m, 2H, H-5), 4.08–4.21 (m, 6H, H-3, H-4, H-6b), 3.98–4.04 (m, 2H, H-6a), 1.52 (s, 6H, CH3), 1.44 (s, 6H, CH3), 1.35 (s, 6H, CH3), 1.35 (s, 6H, CH3); 13C-NMR (75 MHz, CDCl3) δ = 140.4, 128.1, 128.0 (C-Ar), 111.9, 109.1 (C(CH3)2), 105.3 (C-1), 100.9 (CI), 82.5 (C-2), 82.2 (C-5), 81.3 (C-3), 76.6 (CH2Ar), 72.4 (C-4), 67.5 (C-6), 26.8, 26.8, 26.3, 25.5 (CH3); HRMS (ESI-TOF) m/z [M + Na]+: calcd for C32H45IO12Na: 771.18480, found: 771.18465; Anal calcd for C32H45IO12: C 51.34, H 6.06, found: C 51.37, H 6.20.
12: Prepared from 11 (408 mg, 0.545 mmol) accordingly to general procedure B; colorless syrup; 62% (348 mg) yield after column chromatography (PE/EtOAc, 5/1 → 3/1); Rf = 0.41 (PE/EtOAc, 3/1); [α]20D = −34.3° (c = 1.0, CH2Cl2); 1H-NMR (400 MHz, CD2Cl2) δ = 7.15–7.41 (m, 23H, H-Ar), 5.89 (d, J = 3.8 Hz, 2H, H-1), 4.64–4.79 (m, 6H, CH2Ar, H-2), 4.57 (s, 4H, CH2Ar), 4.44 (dd, J = 8.5, 11.9 Hz, 4H, CH2Ar), 4.30 (dd, J = 2.9, 9.2 Hz, 2H, H-4), 4.16 (d, J = 2.9 Hz, 2H, H-3), 3.97–4.04 (m, 2H, H-5), 3.91 (dd, J = 1.8, 10.6 Hz, 2H, H-6a), 3.67 (dd, J = 5.4, 10.6 Hz, 2H, H-6b), 1.48 (s, 6H, CH3), 1.31 (s, 6H, CH3); 13C-NMR (101 MHz, CD2Cl2) δ = 141.2, 139.4, 139.3, 128.8, 128.7, 128.4, 128.1, 128.0, 128.0, 127.9 (C-Ar), 112.3 (C(CH3)2), 105.8 (C-1), 101.1 (CI), 82.7 (C-3), 82.2 (C-2), 79.5 (C-4), 76.8 (CH2Ar), 76.3 (C-5), 73.9, 72.9 (CH2Ar), 71.5 (C-6), 27.1, 26.6 (CH3); HRMS (ESI-TOF) m/z [M + Na]+: calcd for C54H61IO12Na: 1051.31000, found: 1051.31032; Anal calcd for C54H61IO12: C 63.03, H 5.98, found: C 63.31, H 6.12.
14: Prepared from 13 (599 mg, 2.30 mmol) and 10 (390 mg, 1.00 mmol) accordingly to general procedure A; colorless solid; 83% (620 mg) yield after column chromatography (PE/EtOAc, 4/1); Rf = 0.59 (PE/EtOAc, 2/1); mp = 148 °C (PE, EtOAc); [α]20D = −79.3° (c = 1.0, CHCl3); 1H-NMR (400 MHz, CDCl3) δ = 7.40–7.48 (m, 2H, H-Ar), 7.26–7.34 (m, 1H, H-Ar), 4.99–5.08 (m, 2H, CH2Ar), 4.63–4.74 (m, 2H, CH2Ar), 4.39 – 4.44 (m, 2H, H-4), 4.25 (dd, J = 2.1, 5.6 Hz, 2H, H-5), 4.12–4.19 (m, 4H, H-1b, H6-b), 3.99–4.07 (m, 2H, H-6a), 3.93 (d, J = 8.6 Hz, 2H, H-1a), 3.59–3.65 (m, 2H, H-3), 1.61 (s, 6H, CH3), 1.51 (s, 6H, CH3), 1.44(s, 6H, CH3), 1.46 (s, 6H, CH3); 13C-NMR (101 MHz, CDCl3) δ = 141.1, 128.3, 127.9, (C-Ar), 112.2, 109.1 (C(CH3)2), 104.4 (C-2), 101.1 (CI), 77.6 (C-4), 76.9 (C-3), 73.9 (C-5), 72.9 (CH2Ar), 72.0 (C-1), 60.2 (C-6), 28.2, 26.9, 26.3, 26.1 (CH3); HRMS (ESI-TOF) m/z [M + Na]+: calcd for C32H45IO12Na: 771.18480, found: 771.18507; Anal calcd for C32H45IO12: C 51.34, H 6.06, found: C 51.45, H 6.12.
15: Prepared from 14 (363 mg, 0.485 mmol) accordingly to general procedure B; colorless solid; 80% (400 mg) yield after column chromatography (PE/EtOAc, 4/1); Rf = 0.27 (PE/EtOAc, 3/1); mp = 54 °C (n-heptane, CH2Cl2); [α]20D = −61.7° (c = 1.0, CH2Cl2); 1H-NMR (400 MHz, CD2Cl2) δ = 7.22–7.51 (m, 23H, H-Ar), 5.07 (d, J = 13.0 Hz, 2H, H-1a), 4.60–4.75 (m, 8H, H-1b, CH2Ar), 4.55 (d, J = 11.5 Hz, 2H, CH2Ar), 4.08 (d, J = 8.4 Hz, 2H, CH2Ar), 3.76–4.02 (m, 12H, CH2Ar, H-3, H-4, H-5, H-6a, H-6b), 1.48 (s, 6H, CH3), 1.43 (m, 6H, CH3); 13C-NMR (101 MHz, CD2Cl2) δ = 141.9, 139.1, 139.0, 128.9, 128.8, 128.5, 128.4, 128.3, 128.2, 128.2, 128.0, 127.9 (C-Ar), 112.3 (C(CH3)2), 106.4 (C-2), 100.1 (CI), 80.5(C-5), 79.9 (C-1), 76.0 (C-3), 74.5 (C-4), 72.6, 72.3, 72.1 (CH2Ar), 61.8 (C-6), 27.4, 26.8 (CH3); HRMS (ESI-TOF) m/z [M + Na]+: calcd for C54H61IO12Na: 1051.31000, found: 1051.30988, Anal calcd for C54H61IO12: C 63.03, H 5.98; found: C 63.07, H 6.09.
17: Prepared from 9 (312 mg, 1.20 mmol) and 16 (311 mg, 1.00 mmol) accordingly to general procedure A; slight yellow oil; 94% (460 mg) yield after column chromatography (PE/EtOAc, 5/1); Rf = 0.66 (PE/EtOAc, 2/1); [α]20D = −13.0° (c = 1.0, CHCl3); 1H-NMR (400 MHz, CDCl3) δ = 7.21–7.35 (m, 3H, H-Ar), 5.97 (d, J = 3.7 Hz, 1H, H-1), 4.67–4.81 (m, 3H, H-2, CH2), 4.42–4.48 (m, 1H, H-5), 4.13–4.24 (m, 3H, H-4, H-6b), 4.05 (dd, J = 6.0, 8.4 Hz, 1H, H-6a), 2.52 (s, 3H, CH3Ar), 1.56 (s, 3H, CH3), 1.48 (s, 3H, CH3), 1.40 (s, 3H, CH3), 1.38 (s, 3H, CH3); 13C-NMR (101 MHz, CDCl3) δ = 142.1, 140.5, 129.0, 129.0 (Ar-C), 127.9 (Ar-C),125.9, 125.9 (C-Ar), 111.9, 109.0 (C(CH3)2), 105.3 (C-1), 104.6 (CI), 82.5 (C-2), 82.1 (C-3), 81.3 (C-4), 77.0 (CH2Ar), 72.5 (C-5), 67.4 (C-6), 29.2 (CH3Ar), 26.9, 26.8, 26.3, 25.4 (CH3); HRMS (ESI-TOF) m/z [M + Na]+: calcd for C20H27IO6Na: 513.07446, found: 513.07419; Anal calcd for C20H27IO6: C 48.99, H 5.55, found: C 48.92, H 5.79.
20: Prepared from 18 (550 mg, 1.18 mmol) and 19 (238 mg, 1.08 mmol) accordingly to general procedure C; colorless oil; 96% (688 mg) yield after column chromatography (PhMe/EtOAc, 40/1 → 10/1); Rf = 0.27 (PhMe/EtOAc, 30/1); [α]20D = +53.9° (c = 1.0, CH2Cl2); 1H-NMR (400 MHz, CD2Cl2) δ = 7.77 (dd, J = 1.5, 7.7 Hz, 1H, H-Ar), 7.11–7.43 (m, 15H, H-Ar), 6.74 (d, J = 7.7 Hz, 2H, H-Ar), 4.99 (d, J = 10.9 Hz, 1H, CH2Ar), 4.93 (d, J = 11.2 Hz, 1H, CH2Ar), 4.85 (d, J = 10.9 Hz, 1H, CH2Ar), 4.74–4.81 (m, 2H, H-1, CH2Ar), 4.61–4.72 (m, 2H, CH2Ar), 4.18 (dd, J = 1.7, 10.3 Hz, 1H, H-6a), 4.10 (dd, J = 4.5, 10.3 Hz, 1H, H-6b), 3.91–4.04 (m, 2H, H-4, H-5), 3.78–3.87 (m, 1H, H-3), 3.64 (dd, J = 3.5, 9.5 Hz, 1H, H-2), 3.45 (s, 3H, CH3); 13C-NMR (101 MHz, CD2Cl2) δ = 157.7, 139.9, 139.5, 139.0, 130.0, 129.5, 128.9, 128.8, 128.7, 128.6, 128.5, 128.4, 128.3, 128.1, 128.1, 123.1, 112.4 (C-Ar), 98.5 (C-1), 86.6 (CI), 82.5 (C-4), 81.0 (C-2), 78.3 (C-3), 76.1, 75.6, 73.6 (CH2Ar), 69.8 (C-5), 68.5 (C-6), 55.7 (CH3); HRMS (ESI-TOF) m/z [M + Na]+: calcd for C34H35IO6Na: 689.13705, found: 689.13711; Anal calcd for C34H35IO6: C 61.27, H 5.29, found: C 61.39, H 5.39.
24: Prepared from 21 (5.08 g, 26.2 mmol) accordingly to general procedure E; colorless solid; 85% (9.70 g) yield after column chromatography (PhMe/EtOAc, 1/4); Rf = 0.30 (PhMe/EtOAc, 1/4); mp = 75 °C (n-heptane, EtOAc); [α]20D = −44.0° (c = 1.0, CHCl3); 1H-NMR (400 MHz, CDCl3) δ = 7.32–7.43 (m, 5H, H-Ar), 7.04–7.27 (m, 10H, H-Ar), 4.09 (d, J = 7.7 Hz, 1H, H-1), 4.03 (bs, 1H, OH), 3.56 (bs, 1H, OH), 3.44 (s, 3H, CH3), 3.19–3.41 (m, 7H, OH, H-2, H-3, H-4, H-5, H-6a, H-6b); 13C-NMR (101 MHz, CDCl3) δ = 143.7, 129.6, 129.0, 128.6, 128.2, 127.9, 127.1, 125.3 (C-Ar), 103.3 (C-1), 86.9 (CPh3), 76.3, 74.2, 73.4, 71.6 (C-2, C-3, C-4, C-5), 64.1 (C-6), 56.8 (CH3); HRMS (ESI-TOF) m/z [M + Na]+: calcd for C26H28O6Na: 459.17781, found: 459.17772; Anal calcd for C26H28O6: C 71.54, H 6.47, found: C 71.50, H 6.57.
25: Prepared from 22 (5.91 g, 30.0 mmol) accordingly to general procedure E; colorless solid; 71% (9.30 g) yield after column chromatography (PE/EtOAc, 1/2); analytical data were in good accordance with literature values [29].
26: Prepared from 23 (5.91 g, 30.0 mmol) accordingly to general procedure E; colorless solid; 65% (8.52 g) yield after column chromatography (PhMe/EtOAc, 1/4 → EtOAc); Rf = 0.36 (EtOAc); mp = 127 °C (n-heptane, CH2Cl2); [α]20D = +53.0° (c = 1.0, CHCl3); 1H-NMR (400 MHz, CDCl3) δ = 7.30–7.44 (m, 5H, H-Ar), 7.08–7.29 (m, 10H, H-Ar), 4.71 (d, J = 3.8 Hz, 1H, H-1), 3.88–3.90 (m, 1H, H-3 or H-4), 3.69–3.76 (m, 2H, H-2, H-5), 3.59–3.66 (m, 1H, H-3 or H-4), 3.31–3.38 (m, 4H, CH3, H-6a), 3.28 (dd, J = 4.0, 9.6 Hz, 1H, H-6b); 13C-NMR (101 MHz, CDCl3) δ = 146.8, 143.7, 128.6, 127.9, 127.2, 127.1 (C-Ar), 99.4 (C-1), 87.0 (CPh3), 71.1, 69.7, 69.6, 69.1 (C-2, C-3, C-4, C-5), 63.2 (C-6), 55.3 (CH3); HRMS (ESI-TOF) m/z [M + Na]+: calcd for C26H28O6Na: 459.17781, found: 459.17816; Anal calcd for C26H28O6: C 71.54, H 6.47, found: C 71.55, H 6.51.
27: Prepared from 24 (3.64 g, 8.34 mmol) and BnBr (6.42 g, 37.5 mmol) accordingly to general procedure A; colorless syrup; 76% (4.50 g) yield after column chromatography (PE/EtOAc, 14/1 → PE/EtOAc, 3/1); Rf = 0.27 (PE/EtOAc, 14/1); [α]20D = +3.9° (c = 1.0, CHCl3); 1H-NMR (400 MHz, CDCl3) δ = 7.38–7.52 (m, 6H, H-Ar), 7.05–7.35 (m, 22H, H-Ar), 6.73–6.83 (m, 2H, H-Ar), 4.90 (d, J = 11.0 Hz, 1H, CH2Ph), 4.82 (d, J = 10.6 Hz, 1H, CH2Ph), 4.66–4.76 (m, 2H, CH2Ph), 4.62 (d, J = 10.3 Hz, 1H, CH2Ph), 4.24–4.36 (m, 2H, CH2Ph, H-1), 3.71–3.83 (m, 1H, H-4), 3.59 (s, 3H, CH3), 3.43–3.57 (m, 3H, H-2, H-3, H-6a), 3.30–3.36 (m, 1H, H-6), 3.17 (dd, J = 3.8, 10.1 Hz, 1H, H-6b); 13C-NMR (101 MHz, CDCl3) δ = 144.0, 138.7, 138.6, 137.9, 128.9, 128.5, 128.4, 128.3, 128.2, 128.1, 127.8, 127.8, 127.7 (C-Ar), 104.6 (C-1), 86.4 (CPh3), 84.7 (C-3), 82.7 (C-2), 77.9 (C-4), 76.0, 75.1, 74.9 (CH2Ph), 74.6 (C-5), 62.4 (C-6), 56.7 (CH3); HRMS (ESI-TOF) m/z [M + Na]+: calcd for C47H46O6Na: 729.31866, found: 729.31931; Anal calcd for C47H46O6: C 79.86, H 6.56, found: C 79.84, H 6.66.
28: Prepared from 25 (3.86 g, 8.84 mmol) and BnBr (6.80 g, 39.8 mmol) accordingly to general procedure A; colorless solid; 81% (5.04 g) yield after column chromatography (PE/EtOAc, 9/1); Rf = 0.52 (PE/EtOAc, 4/1); mp = 112 °C (n-heptane, CH2Cl2); [α]20D = +17.8° (c = 1.0, CHCl3); 1H-NMR (400 MHz, CDCl3) δ = 7.40–7.49 (m, 6H, H-Ar), 7.36 (dd, J = 1.5, 7.8 Hz, 2H, H-Ar), 7.05–7.30 (m, 20H, H-Ar), 6.81 (dd, J = 1.5, 7.8 Hz, 2H, H-Ar), 4.7–4.80 (m, 2H, CH2Ph, H-1), 4.61–4.69 (m, 2H, CH2Ph), 4.56 (s, 2H, CH2Ph), 4.19 (d, J = 10.5 Hz, 1H, CH2Ph), 3.90–3.97 (m, 1H, H-4), 3.80 (dd, J = 3.2, 9.3 Hz, 1H, H-3), 3.74 (dd, J = 1.9, 3.2 Hz, 1H, H-2), 3.66–3.72 (m, 1H, H-5), 3.44 (dd, J = 1.7, 9.8 Hz, 1H, H-6a), 3.30 (s, 3H, CH3), 3.19 (dd, J = 5.3, 9.8 Hz, 1H, H-6b); 13C-NMR (101 MHz, CDCl3) δ = 144.2, 138.6, 138.6, 138.2, 128.8, 128.3, 128.3, 128.1, 127.7, 127.6, 127.5, 127.4, 127.4, 126.8 (C-Ar), 98.7 (C-1), 86.2 (CPh3), 80.2 (C-3), 75.4 (C-2), 75.0 (C-4), 72.7, 72.2, 71.7 (CH2Ph), 63.0 (C-6), 54.5 (CH3); HRMS (ESI-TOF) m/z [M + Na]+: calcd for C47H46O6Na: 729.31866, found: 729.31900; Anal calcd for C47H46O6: C 79.86, H 6.56, found: C 79.75, H 6.62.
29: Prepared from 26 (3.69 g, 8.45 mmol) and BnBr (6.50 g, 38.0 mmol) accordingly to general procedure A; colorless syrup; 81% (4.81 g) yield after column chromatography (PE/EtOAc, 9/1 → 3/1); Rf = 0.36 (PE/EtOAc, 6/1); [α]20D = +20.2° (c = 1.0, CHCl3); 1H-NMR (400 MHz, CDCl3) δ = 7.25–7.37 (m, 12H, H-Ar), 7.07–7.24 (m, 16H, H-Ar), 6.97–7.05 (m, 2H, H-Ar), 4.69–4.82 (m, 3H, CH2Ph), 4.52–4.67 (m, 3H, CH2Ph, H-1), 4.40 (d, J = 11.4 Hz, 1H, CH2Ph), 3.89 (dd, J = 3.7, 9.9, 1H, H-2), 3.77–3.84 (m, 2H, H-3, H-4), 3.63 (m, 1H, H-5), 3.33 (dd, J = 6.2, 9.7 Hz, 1H, H-6a), 3.29 (s, 3H, CH3), 3.05–3.09 (m, 1H, H-6b); 13C-NMR (101 MHz, CDCl3) δ = 143.9, 138.9, 138.5, 138.5, 128.6, 128.3, 128.3, 128.1, 128.1, 128.0, 127.8, 127.6, 127.5, 127.5, 127.4, 127.0 (C-Ar), 98.6 (C-1), 86.9 (CPh3), 79.0 (C-3), 76.4 (C-2), 75.6 (C-4), 74.6, 73.5, 73.3 (CH2Ph), 69.5 (C-5), 63.1 (C-6), 55.1 (CH3); HRMS (ESI-TOF) m/z [M + Na]+: calcd for C47H46O6Na: 729.31866, found: 729.31864; Anal calcd for C47H46O6: C 79.86, H 6.56, found: C 79.87, H 6.57.
30: Prepared from 27 (4.30 g, 6.08 mmol) accordingly to general procedure F; colorless solid; 56% (1.58 g) yield after column chromatography (PE/EtOAc, 3/1 → 2/1); analytical data were in good accordance with literature values [30].
31: Prepared from 28 (3.14 g, 4.44 mmol) accordingly to general procedure F; colorless solid; 76% (1.56 g) yield after column chromatography (PE/EtOAc, 3/1 → 2/1); analytical data were in good accordance with literature values [31].
32: Prepared from 29 (4.31 g, 6.10 mmol) accordingly to general procedure F; colorless syrup; 71% (2.00 g) yield after column chromatography (PE/EtOAc, 2/1 → 1/2); analytical data were in good accordance with literature values [31].
34: Prepared from 30 (585 mg, 1.26 mmol) and 33 (135 mg, 0.572 mmol) accordingly to general procedure C; colorless solid; 74% (480 mg) yield after column chromatography (PhMe/EtOAc, 10/1 → 6/1); Rf = 0.55 (PhMe/EtOAc, 6/1); mp = 145 °C (n-heptane, CH2Cl2); [α]20D = +49.4° (c = 1.0, CH2Cl2); 1H-NMR (400 MHz, CD2Cl2) δ = 7.15–7.43 (m, 31H, H-Ar), 6.49 (d, J = 8.3 Hz, 2H, H-Ar), 4.88–4.99 (m, 6H, CH2Ph), 4.83 (d, J = 11.1 Hz, 2H, CH2Ph), 4.74 (d, J = 11.1 Hz, 2H, CH2Ph), 4.65 (d, J = 11.1 Hz, 2H, CH2Ph), 4.39 (d, J = 7.8 Hz, 2H, H-1), 4.32 (dd, J = 1.6, 10.4 Hz, 2H, H-6a), 4.17 (dd, J = 4.3, 10.4 Hz, 2H, H-6b), 3.89–3.99 (m, 2H, H-4), 3.67–3.73 (m, 2H, H-3), 3.60–3.66 (m, 2H, H-5), 3.57 (s, 6H, CH3), 3.48 (dd, J = 7.8, 9.0 Hz, 2H, H-2); 13C-NMR (101 MHz, CH2Cl2) δ = 159.2, 139.4, 139.4, 139.0, 130.3, 128.8, 128.6, 128.5, 128.5, 128.1, 128.1, 105.9 (C-Ar), 105.4 (C-1), 85.1 (C-3), 82.8 (C-2), 79.0 (CI), 78.2 (C-4), 76.0, 75.6, 75.0 (CH2 Ph), 74.2 (C-5), 68.6 (C-6), 57.5 (CH3); HRMS (ESI-TOF) m/z [M + Na]+: calcd for C62H65IO12Na: 1151.34130, found: 1151.34152; Anal calcd for C62H65IO12: C 65.95, H 5.80, found: C 65.92, H 5.83.
35: Prepared from 31 (470 mg, 1.01 mmol) and 33 (109 mg, 0.460 mmol) accordingly to general procedure C; slight yellow syrup; 29% (153 mg) yield after column chromatography (PhMe/EtOAc, 15/1 → 6/1); Rf = 0.55 (PhMe/EtOAc, 6/1); [α]20D = +31.5° (c = 1.0, CH2Cl2); 1H-NMR (400 MHz, CD2Cl2) δ = 7.14–7.48 (m, 31H, H-Ar), 6.43 (d, J = 8.3 Hz, 2H, H-Ar), 4.96 (d, J = 11.1 Hz, 2H, CH2Ph), 4.83 (d, J = 1.6 Hz, 2H, H-1), 4.65–4.80 (m, 8H, CH2Ph), 4.63 (d, J = 11.2 Hz, 2H, CH2Ph), 4.24 (dd, J = 1.5, 10.2 Hz, 2H, H-6a), 4.09–4.21 (m, 4H, H-5, H-6b), 3.85–3.96 (m, 6H, H-2, H-3, H-4), 3.40 (s, 6H, CH3); 13C-NMR (101 MHz, CH2Cl2) δ = 159.3, 139.3, 139.1, 130.2, 128.9, 128.8, 128.8, 128.6, 128.4, 128.2, 128.1, 128.1, 128.0, 105.4 (C-Ar), 99.6 (C-1), 80.9 (C-3 or C-4), 78.7 (CI), 75.8 (C-2), 75.6 (CH2Ph), 75.4 (C-5), 73.4, 72.5 (CH2Ph), 71.2 (C-3 or C-4), 69.1 (C-6), 55.4 (CH3); HRMS (ESI-TOF) m/z [M + Na]+: calcd for C62H65IO12Na: 1151.34130, found: 1151.34185; Anal calcd for C62H65IO12: C 65.95, H 5.80, found: C 66.00, H 5.85.
36: Prepared from 32 (568 mg, 1.22 mmol) and 33 (116 mg, 0.490 mmol) accordingly to general procedure D; slight yellow syrup; 57% (315 mg) yield after column chromatography (PhMe/EtOAc, 15/1 → 10/1); Rf = 0.58 (PhMe/EtOAc, 6/1); [α]20D = +19.8° (c = 1.0, CH2Cl2); 1H-NMR (400 MHz, CD2Cl2) δ = 7.42–7.48 (m, 4H, H-Ar), 7.11–7.41 (m, 28H, H-Ar), 6.41 (d, J = 8.3 Hz, 2H, H-Ar), 4.99 (d, J = 11.0 Hz, 2H, CH2Ph), 4.89 (d, J = 12.0 Hz, 2H, CH2Ph), 4.78–4.84 (m, 6H, CH2Ph, H-1), 4.65 (d, J = 11.7 Hz, 2H, CH2Ph), 4.54 (d, J = 11.0 Hz, 2H, CH2Ph), 4.21–4.24 (m, 2H, H-3), 4.14–4.20 (m, 2H, H-5), 3.89–4.12 (m, 8H, H-2, H-4, H-6a, H-6b), 3.43 (s, 6H, CH3); 13C-NMR (101 MHz, CH2Cl2) δ = 158.9, 139.5, 139.4, 139.2, 130.5, 129.5, 128.9, 128.9, 128.8, 128.8, 128.7, 128.4, 128.2, 128.1, 128.1, 105.5 (C-Ar), 99.3 (C-1), 79.1 (C-2 or C-4), 78.2 (CI), 77.2 (C-2 or C-4), 76.0 (C-3), 75.6, 73.8, 73.6 (CH2Ph), 69.0 (C-5), 68.3 (C-6), 55.9 (CH3); HRMS (ESI-TOF) m/z [M + Na]+: calcd for C62H65IO12Na: 1151.34130, found: 1151.34058, Anal calcd for C62H65IO12: C 65.95, H 5.80; found: C 65.85, H 6.04.
38: Prepared from 37 (2.02 g, 4.35 mmol) and 3,5-dimethyl-benzyl bromide (1.30 g, 6.53 mmol) accordingly to general procedure A; colorless solid; 97% (2.47 g) yield after column chromatography (PE/EtOAc, 5/1 → 4/1); Rf = 0.29 (PE/EtOAc, 5/1); mp = 53 °C (n-heptane, CH2Cl2); [α]20D = +81.7° (c = 1.0, CHCl3); 1H-NMR (400 MHz, CDCl3) δ = 7.37–7.48 (m, 6H, H-Ar), 7.09–7.27 (m, 9H, H-Ar), 6.79 (s, 1H, H-Ar), 6.50 (s, 2H, H-Ar), 4.87 (d, J = 3.6 Hz, 1H, H-1), 4.50 (d, J = 10.0 Hz, 1H, CH2Ar), 4.15 (d, J = 10.0 Hz, 1H, CH2Ar), 3.63 – 3.71 (m, 1H, H-5), 3.59 (s, 3H, CH3O), 3.48–3.56 (m, 5H, CH3O, H-3, H-4), 3.43 (dd, J = 1.8, 10.0 Hz, 1H, H-6a), 3.37 (s, 3H, CH3O), 3.27 (dd, J = 3.6, 9.3 Hz, 1H, H-2), 3.13 (dd, J = 4.3, 10.0 Hz, 1H, H-6b), 2.16 (s, 6H, CH3Ar); 13C-NMR (101 MHz, CHCl3) δ = 144.0, 137.7, 137.7, 129.3, 128.8, 127.8, 126.9, 126.0 (C-Ar), 97.3 (C-1), 86.2 (CPh3), 83.7 (C-3), 82.0 (C-2), 77.9 (C-4), 75.0 (CH2Ar), 70.1 (C-5), 62.4 (C-6), 61.2, 59.0, 54.8 (CH3O), 21.2 (CH3Ar); HRMS (ESI-TOF) m/z [M + Na]+: calcd for C37H42O6Na: 605.28736, found: 605.28801; Anal calcd for C37H42O6: C 76.26, H 7.27, found: C 76.05, H 7.52.
39: Prepared from 37 (1.82 g, 3.91 mmol) and 3,5-ditbutyl-4-methoxy-benzyl bromide (1.47 g, 4.69 mmol) accordingly to general procedure A; colorless solid; 84% (2.29 g) yield after column chromatography (PE/EtOAc, 5/1 → 4/1); Rf = 0.37 (PE/EtOAc, 5/1); mp = 69 °C (n-heptane, CH2Cl2); [α]20D = +49.3° (c = 1.0, CHCl3); 1H-NMR (400 MHz, CDCl3) δ = 7.39–7.48 (m, 6H, H-Ar), 7.10–7.27 (m, 9H, H-Ar), 6.88 (s, 2H, H-Ar), 4.88 (d, J = 3.5 Hz, 1H, H-1), 4.45 (d, J = 9.7 Hz, 1H, CH2Ar), 4.05 (d, J = 9.7 Hz, 1H, CH2Ar), 3.63–3.70 (m, 1H, H-5), 3.62 (s, 3H, CH3O), 3.49–3.60 (m, 8H, 2 × CH3O, H-3, H-4), 3.46 (dd, J = 1.7, 10.1 Hz, 1H, H-6a), 3.36 (s, 3H, CH3O), 3.29 (dd, J = 3.5, 9.2 Hz, 1H, H-2), 3.14 (dd, J = 3.9, 10.1 Hz, 1H, H-6b), 1.29 (s, 18H, C(CH3)3); 13C-NMR (101 MHz, CHCl3) δ = 159.1, 144.0, 143.3, 132.0, 128.8, 127.7, 127.0, 126.8 (C-Ar), 97.3 (C-1), 86.2 (CPh3), 83.5 (C-3), 82.3 (C-2), 78.1 (C-4), 75.7 (CH2Ar), 70.1 (C-5), 64.2 (CH3O), 62.4 (C-6), 61.4, 59.0, 54.9 (CH3O), 35.6 (C(CH3)3), 32.0 (C(CH3)3); HRMS (ESI-TOF) m/z [M + Na]+: calcd for C44H56O7Na: 719.39182, found: 719.39276; Anal calcd for C44H56O7: C 75.83, H 8.10, found: C 75.83, H 8.36.
40: Prepared from 37 (2.02 g, 4.35 mmol) and 1-(bromomethyl)-naphthalene (1.44 g, 6.53 mmol) accordingly to general procedure A; colorless solid; 99% (2.60 g) yield after column chromatography (PE/EtOAc, 5/1 → 4/1); Rf = 0.19 (PE/EtOAc, 5/1); mp = 65 °C (n-heptane, CH2Cl2); [α]20D = +95.5° (c = 1.0, CHCl3); 1H-NMR (400 MHz, CDCl3) δ = 7.78 (d, J = 8.3 Hz, 1H, H-Ar), 7.74 (d, J = 8.1 Hz, 1H, H-Ar), 7.67 (d, J = 8.2 Hz, 1H, H-Ar), 7.30–7.43 (m, 7H, H-Ar), 7.07–7.28 (m, 11H, H-Ar), 6.95 (d, J = 6.5 Hz, 1H, H-Ar), 5.10 (d, J = 11.0 Hz, 1H, CH2Ar), 4.87 (d, J = 3.6 Hz, 1H, H-1), 4.63 (d, J = 11.1 Hz, 1H, CH2Ar), 3.67–3.75 (m, 1H, H-5), 3.58–3.63 (m, 1H, H-4), 3.48–3.57 (m, 7H, 2 × CH3O, H-3), 3.44 (dd, J = 1.8, 10.1 Hz, 1H, H-6a), 3.38 (s, 3H, CH3O), 3.30 (dd, J = 3.6, 9.4 Hz, 1H, H-2), 3.08 (dd, J = 4.7, 10.1 Hz, 1H, H-6b); 13C-NMR (101 MHz, CHCl3) δ = 143.9, 133.7, 133.5, 131.4, 128.7, 128.3, 128.3, 127.7, 126.9, 126.6, 126.1, 125.5, 125.1, 123.9 (C-Ar), 97.1 (C-1), 86.3 (CPh3), 83.5 (C-3), 82.5 (C-2), 77.8 (C-4), 72.6 (CH2Ar), 70.2 (C-5), 62.7 (C-6), 61.3, 58.9, 54.9 (CH3O); HRMS (ESI-TOF) m/z [M + Na]+: calcd for C39H40O6Na: 627.27171, found: 627.27231; Anal calcd for C39H40O6: C 77.46, H 6.67, found: C 77.51, H 7.01.
41: Prepared from 38 (2.34 g, 4.02 mmol) accordingly to general procedure F; colorless solid; 78% (1.07 g) yield after column chromatography (PE/EtOAc, 1/1 → 1/2); Rf = 0.25 (PE/EtOAc, 1/1); mp = 109 °C (n-heptane, CH2Cl2); [α]20D = +115.6° (c = 1.0, CHCl3); 1H-NMR (400 MHz, CDCl3) δ = 6.89–7.02 (m, 3H, H-Ar), 4.78–4.86 (m, 2H, CH2Ar, H-1), 4.58 (d, J = 10.8 Hz, 1H, CH2Ar), 3.80 (dd, J = 2.8, 11.7 Hz, 1H, H-6a), 3.73 (dd, J = 3.9, 11.7 Hz 1H), 3.59–3.69 (m, 5H, CH3O, H-3, H-4), 3.54 (s, 3H, CH3O), 3.36–3.47 (m, 4H, CH3O, H-4), 3.22 (dd, J = 3.5, 9.5 Hz, 1H, H-2), 2.32 (s, 6H, CH3Ar); 13C-NMR (101 MHz, CHCl3) δ = 138.1, 137.9, 129.5, 126.0 (C-Ar), 97.5 (C-1), 83.6 (C-3), 82.0 (C-2), 77.2 (C-4), 75.0 CH2Ar, 70.6 (C-5), 61.9 (C-6), 61.0, 59.0, 55.1 (CH3O), 21.2 (CH3Ar); HRMS (ESI-TOF) m/z [M + Na]+: calcd for C18H28O6Na: 363.17781, found: 363.17822; Anal calcd for C18H28O6: C 63.51, H 8.29, found: C 63.46, H 8.40.
42: Prepared from 39 (2.15 g, 3.09 mmol) accordingly to general procedure F; colorless solid; 78% (1.10 g) yield after column chromatography (PE/EtOAc, 1/1 → 1/2); Rf = 0.20 (PE/EtOAc, 1/1); mp = 139 °C (n-heptane, CH2Cl2); [α]20D = +92.7° (c = 1.0, CHCl3); 1H-NMR (400 MHz, CDCl3) δ = 7.24 (s, 2H, H-Ar), 4.77–4.85 (m, 2H, CH2Ar, H-1), 4.56 (d, J = 10.5 Hz, 1H, CH2Ar), 3.78 (dd, J = 2.8, 11.8 Hz, 1H, H-6a) 3.60–3.74 (m, 9H, 2 × CH3O, H-3, H-5, H-6b), 3.55 (s, 3H, CH3O), 3.40–3.45 (m, 4H, CH3O, H-4), 3.23 (dd, J = 3.6, 9.5 Hz, 1H, H-2), 1.43 (s, 18H, C(CH3)3); 13C-NMR (101 MHz, CHCl3) δ = 159.4, 143.8, 131.9, 126.9 (C-Ar), 97.5 (C-1), 83.7 (C-3), 82.1 (C-2), 77.2 (C-4), 75.5 (CH2Ar), 70.5 (C-5), 64.2 (CH3O), 61.8 (C-6), 61.1, 59.0, 55.1 (CH3O), 35.7 (C(CH3)3), 32.0 (C(CH3)3); HRMS (ESI-TOF) m/z [M + Na]+: calcd for C25H42O7Na: 477.28277, found: 477.28230; Anal calcd for C25H42O7: C 66.05, H 9.31, found: C 66.06, H 9.53.
43: Prepared from 40 (2.46 g, 4.7 mmol) accordingly to general procedure F; colorless solid; 80% (1.18 g) yield after column chromatography (PE/EtOAc, 1/1 → 1/2); Rf = 0.19 (PE/EtOAc, 1/1); mp = 74 °C (n-heptane, CH2Cl2); [α]20D = +138.9° (c = 1.0, CHCl3); 1H-NMR (400 MHz, CDCl3) δ = 8.16 (d, J = 8.4 Hz, 1H, H-Ar), 7.79–7.92 (m, 2H, H-Ar), 7.41–7.60 (m, 4H, H-Ar), 5.41 (d, J = 11.4 Hz, 1H, CH2Ar), 5.08 (d, J = 11.4 Hz, 1H, CH2Ar), 4.83 (d, J = 3.6 Hz, 1H, H-1), 3.51–3.73 (m, 11H, 2 × CH3O, H-3, H-4, H-5, H-6a, H-6b), 3.39 (s, 3H, CH3O), 3.27 (dd, J = 3.6, 9.5 Hz, 1H, H-2); 13C-NMR (101 MHz, CHCl3) δ = 133.8, 133.7, 131.6, 128.8, 128.6, 126.9, 126.3, 125.8, 125.3, 123.9 (C-Ar), 97.4 (C-1), 83.6 (C-3), 82.3 (C-2), 76.8 (C-4), 72.7 (CH2Ar), 70.5 (C-5), 61.7 (C-6), 61.1, 58.9, 55.1 (CH3O); HRMS (ESI-TOF) m/z [M + Na]+: calcd for C20H26O6Na: 385.16216, found: 385.16198; Anal calcd for C20H26O6: C 66.28, H 7.23, found: C 66.23, H 7.36.
44: Prepared from 41 (561 mg, 1.65 mmol) and 33 (194 mg, 0.824 mmol) accordingly to general procedure C; colorless solid; 86% (624 mg) yield after column chromatography (PE/EtOAc, 4/1 → 1/1); Rf = 0.26 (PE/EtOAc, 1/1); mp = 107 °C (n-heptane, CH2Cl2); [α]20D = +120.0° (c = 1.0, CH2Cl2); 1H-NMR (400 MHz, CD2Cl2) δ = 7.22 (t, J = 8.3 Hz, 1H, H-Ar), 6.94 (s, 2H, H-Ar), 6.78 (s, 4H, H-Ar), 6.41 (d, J = 8.3 Hz, 2H, H-Ar), 4.86 (d, J = 3.6 Hz, 2H, H-1), 4.80 (d, J = 11.0 Hz, 2H, CH2Ar), 4.51 (d, J = 11.0 Hz, 2H, CH2Ar), 4.17 (dd, J = 1.6, 10.3 Hz, 2H, H-6a), 4.07 (dd, J = 4.4, 10.3 Hz, 2H, H-6b), 3.81–3.88 (m, 2H, H-5), 3.68–3.77 (m, 2H, H-6), 3.63 (s, 6H, CH3O), 3.52–3.58 (m, 2H, H-3), 3.48 (s, 6H, CH3O), 3.43 (s, 6H, CH3O), 3.29 (dd, J = 3.6, 9.5 Hz, 2H, H-2), 2.21 (s, 12H, CH3Ar); 13C-NMR (101 MHz, CH2Cl2) δ = 159.2, 138.9, 138.4, 130.3, 129.7, 126.6, 105.4 (C-Ar), 98.1 (C-1), 84.3 (C-3), 82.5 (C-2), 78.5 (CI), 78.1 (C-4), 75.6 (CH2Ar), 69.8 (C-5), 68.7 (C-6), 61.2, 58.9, 55.6 (CH3O), 21.5 (CH3Ar); HRMS (ESI-TOF) m/z [M + Na]+: calcd for C42H57IO12Na: 903.27870, found: 903.27835; Anal calcd for C42H57IO12: C 57.27, H 6.52, found: C 57.05, H 6.55.
45: Prepared from 42 (636 mg, 1.40 mmol) and 33 (157 mg, 0.661 mmol) accordingly to general procedure C; colorless solid; 89% (660 mg) yield after column chromatography (PE/EtOAc, 3/1 → 2/1); Rf = 0.55 (PE/EtOAc, 1/1); mp = 69 °C (n-heptane, CH2Cl2); [α]20D = +87.6° (c = 1.0, CH2Cl2); 1H-NMR (400 MHz, CD2Cl2) δ = 7.21 (t, J = 8.2 Hz, 1H, H-Ar), 7.11 (s, 4H, H-Ar), 6.47 (d, J = 8.2 Hz, 2H, H-Ar), 4.86 (d, J = 3.6 Hz, 2H, H-1), 4.78 (d, J = 10.4 Hz, 2H, CH2Ar), 4.48 (d, J = 10.4 Hz, 2H, CH2Ar), 4.22 (dd, J = 1.6, 10.3 Hz, 2H, H-6a), 4.16 (dd, J = 4.5, 10.3 Hz, 2H, H-6b), 3.82–3.89 (m, 2H, H-5), 3.70–3.79 (m, 2H, H-4), 3.65 (s, 6H, CH3O), 3.63 (s, 6H, CH3O), 3.54–3.59 (m, 2H, H-3), 3.48 (s, 6H, CH3O), 3.42 (s, 6H, CH3O), 3.30 (dd, J = 3.6, 9.5 Hz, 2H, H-2), 1.36 (s, 36H, C(CH3)3); 13C-NMR (101 MHz, CH2Cl2) δ = 159.7, 159.2, 144.1, 133.0, 130.5, 127.3, 105.6 (C-Ar), 98.1 (C-1), 84.3 (C-3), 82.5 (C-2), 78.6 (CI), 78.2 (C-4), 76.1 (CH2Ar), 69.8 (C-5), 68.8 (C-6), 64.8, 61.2, 58.9, 55.6 (CH3O), 36.1 (C(CH3)3), 32.4 (C(CH3)3); HRMS (ESI-TOF) m/z [M + Na]+: calcd for C56H85IO14Na: 1131.48763, found: 1131.48813; Anal calcd for C56H85IO14: C 60.64, H 7.72, found: C 60.59, H 8.02.
46: Prepared from 43 (600 mg, 1.66 mmol) and 33 (178 mg, 0.750 mmol) accordingly to general procedure C; colorless solid; 78% (541 mg) yield after column chromatography (PE/EtOAc, 2/1 → 1/1); Rf = 0.26 (PE/EtOAc, 1/1); mp = 78 °C (n-heptane, CH2Cl2); [α]20D = +120.3° (c = 1.0, CH2Cl2); 1H-NMR (400 MHz, CD2Cl2) δ = 8.02 (d, J = 8.4 Hz, 2H, H-Ar), 7.83 (d, J = 8.2 Hz, 2H, H-Ar), 7.75 (d, J = 7.9 Hz, 2H, H-Ar), 7.26–7.48 (m, 8H, H-Ar), 7.08 (t, J = 8.3 Hz, 1H, H-Ar), 6.08 (d, J = 8.3 Hz, 2H, H-Ar), 5.39 (d, J = 11.4 Hz, 2H, CH2Ar), 5.05 (d, J = 11.4 Hz, 2H, CH2Ar), 4.86 (d, J = 3.5 Hz, 2H, H-1), 4.04 (dd, J = 1.2, 10.0 Hz, 2H, H-6a), 3.85–3.94 (m, 4H, H-4, H-6a), 3.80–3.85 (m, 2H, H-5), 3.68 (s, 6H, CH3), 3.60–3.64 (m, 2H, H-3), 3.49 (s, 6H, CH3), 3.41 (s, 6H, CH3), 3.34 (dd, J = 3.5, 9.5 Hz, 2H, H-2); 13C-NMR (101 MHz, CH2Cl2) δ = 158.9, 134.6, 134.2, 132.3, 130.3, 129.1, 129.0, 127.8, 126.7, 126.2, 125.8, 124.7, 105.3 (C-Ar), 98.0 (C-1), 84.4 (C-3), 82.8 (C-2), 78.4 (CI), 77.4 (C-4), 73.3 (CH2Ar), 69.6 (C-5), 68.5 (C-6), 61.2, 58.8, 55.6 (CH3); HRMS (ESI-TOF) m/z [M + Na]+: calcd for C46H53IO12Na: 947.24740, found: 947.24650; Anal calcd for C46H53IO12: C 59.74, H 5.78, found: C 59.81, H 6.08.
48: Prepared from 47 (3.00 g, 6.87 mmol) and 1-(bromomethyl)-naphthalene (5.32 g, 24.1 mmol) accordingly to general procedure A; colorless solid; 79% (4.65 g) yield after column chromatography (PhMe → PhMe/EtOAc, 20/1); Rf = 0.26 (PhMe); mp = 71 °C (PhMe, EtOH); [α]20D = +58.2° (c = 1.0, PhMe); 1H-NMR (400 MHz, PhMe-d8) δ = 7.87 (d, J = 8.3 Hz, 1H, H-Ar), 7.46–7.62 (m, 13H, H-Ar), 7.39 (dd, J = 6.7, 17.2 Hz, 2H, H-Ar), 6.87–7.28 (m, 28H, H-Ar), 5.42 (d, J = 11.6 Hz, 1H, CH2Ar), 5.25 (d, J = 12.1 Hz, 1H, CH2Ar), 5.05 (d, J = 11.8 Hz, 1H, CH2Ar), 4.98 (d, J = 11.8 Hz, 1H, CH2Ar), 4.87 (d, J = 11.8 Hz, 1H, CH2Ar), 4.79 (d, J = 12.1 Hz, 1H, CH2Ar), 4.73 (d, J = 3.5 Hz, 1H, H-1), 4.31 (t, J = 9.2 Hz, 1H, H-3), 4.01–4.06 (m, 1H, H-5), 3.83–3.91 (m, 1H, H-4), 3.80 (dd, J = 3.5, 9.5 Hz, 1H, H-2), 3.61 (dd, J = 1.7, 9.9 Hz, 1H, H-6a), 3.31 (dd, J = 5.0, 9.9 Hz, 1H, H-6b), 3.23 (s, 3H, CH3); 13C-NMR (101 MHz, PhMe-d8) δ = 144.7, 135.5, 134.8, 134.7, 134.2, 134.0, 133.8, 132.3, 132.0, 131.5, 129.3, 129.2, 129.1, 128.6, 128.5, 128.2, 128.0, 127.7, 127.1, 126.5, 126.2, 125.9, 125.9, 125.8, 125.8, 125.6, 125.5, 125.5, 125.4, 125.3, 124.9, 124.5, 123.9 (C-Ar), 98.3 (C-1), 86.9 (CPh3), 82.3 (C-3), 81.6 (C-2), 78.8 (C-4), 73.7, 72.6, 71.5 (CH2Ar), 71.0 (C-5), 63.6 (C-6), 54.8 (CH3); HRMS (ESI-TOF) m/z [M + Na]+: calcd for C59H52O6Na: 879.36561, found: 879.36644; Anal calcd for C59H52O6: C 82.68, H 6.12, found: C 82.45, H 6.34.
49: Prepared from 48 (4.45 g, 5.19 mmol) accordingly to general procedure F; colorless solid; 69% (2.19 g) yield after column chromatography (PhMe/EtOAc, 5/1); Rf = 0.31 (PhMe/EtOAc, 5/1); mp = 67 °C (CH2Cl2, EtOH); [α]20D = +23.0° (c = 1.0, CHCl3); 1H-NMR (400 MHz, CDCl3) δ = 8.12 (dd, J = 1.0 8.0 Hz, 1H, H-Ar), 7.96 (d, J = 8.4 Hz, 1H, H-Ar), 7.80 (d, J = 8.3 Hz, 1H, H-Ar), 7.62–7.76 (m, 6H, H-Ar), 7.11–7.43 (m, 13H, H-Ar), 5.44 (d, J = 11.5 Hz, 1H, CH2Ar), 5.12–5.29 (m, 3H, CH2Ar), 4.90–4.99 (m, 2H, CH2Ar), 4.23 (d, J = 3.5 Hz, 1H, H-1), 4.09–4.15 (m, 1H, H-3), 3.55–3.66 (m, 3H, H-2, H-4, H-5), 3.46 – 3.53 (m, 1H, H-6a), 3.41 (dd, J = 3.4, 10.9 Hz, 1H, H-6b), 3.07 (s, 3H, CH3); 13C-NMR (101 MHz, CHCl3) δ = 134.4, 133.8, 133.7, 133.5, 133.5, 133.4, 131.7, 131.3, 131.2, 129.1, 128.5, 128.2, 127.2, 126.2, 126.2, 126.1, 126.0, 125.8, 125.7, 125.7, 125.5, 125.3, 125.2, 125.1, 124.3, 123.8, 123.6 (C-Ar), 98.1 (C-1), 82.0 (C-2), 79.7 (C-3), 77.1 (C-4), 73.5, 72.6, 72.0 (CH2Ar), 70.6 (C-5), 61.7 (C-6), 55.1 (CH3); HRMS (ESI-TOF) m/z [M + Na]+: calcd for C40H38O6Na: 637.2560677, found: 637.25562; Anal calcd for C40H38O6: C 78.15, H 6.23, found: C 78.13, H 6.28.
50: Prepared from 49 (1062 mg, 1.73 mmol) and 33 (186 mg, 0.786 mmol) accordingly to general procedure C; colorless solid; 70% (784 mg) yield after column chromatography (PhMe/EtOAc, 30/1 → 20/1); Rf = 0.48 (PhMe/EtOAc, 10/1); mp = 98 °C (n-heptane, CH2Cl2); [α]20D = +54.5° (c = 1.0, CH2Cl2); 1H-NMR (400 MHz, CD2Cl2) δ = 8.19 (d, J = 8.3 Hz, 2H, H-Ar), 8.08 (d, J = 8.4 Hz, 2H, H-Ar), 7.75–7.97 (m, 12H, H-Ar), 7.64–7.74 (m, 2H, H-Ar), 7.54 (d, J = 6.7 Hz, 4H, H-Ar), 7.33–7.49 (m, 12H, H-Ar), 7.22–7.31 (m, 6H, H-Ar), 7.17–7.19 (m, 3H, H-Ar), 7.00 (t, J = 8.3 Hz, 1H, H-Ar), 5.96 (d, J = 8.3 Hz, 2H, H-Ar), 5.52 (d, J = 11.5 Hz, 2H, CH2Ar), 5.34 (d, J = 11.9 Hz, 2H, CH2Ar), 5.18–5.29 (m, 4H, CH2Ar), 5.13 (d, J = 11.7 Hz, 2H, CH2Ar), 5.02 (d, J = 11.9 Hz, 2H, CH2Ar), 4.71 (d, J = 3.4 Hz, 2H, H-1), 4.15–4.27 (m, 2H, H-3), 3.89–4.07 (m, 6H, H-4, H-5, H-6a), 3.76–3.88 (m, 4H, H-2, H-6b), 3.31 (s, 6H, CH3); 13C-NMR (101 MHz, CH2Cl2) δ = 158.8, 135.3, 134.5, 134.5, 134.3, 134.1, 132.3, 132.0, 132.0, 130.2, 129.5, 129.3, 128.9, 128.9, 128.9, 128.7, 128.6, 127.3, 127.2, 126.7, 126.6, 126.5, 126.5, 126.3, 126.1, 125.9, 125.8, 125.8, 124.8, 124.6, 124.4, 105.2 (C-Ar), 98.4 (C-1), 82.7 (C-3), 81.2 (C-2), 78.4 (CI), 77.9 (C-4), 73.9, 73.3, 71.9 (CH2Ar), 69.7 (C-5), 68.5 (C-6), 55.7 (CH3); HRMS (ESI-TOF) m/z [M + Na]+: calcd for C86H77IO12Na: 1451.43520, found: 1451.43439; Anal calcd for C86H77IO12: C 72.26, H 5.43, found: C 72.55, H 5.86.

4. Conclusions

In summary, thirteen new carbohydrate-based iodoarene catalysts were prepared. Three of them gave higher er’s in Kita’s spirolactonization than the previously reported ones. The way which led us to the improved catalyst design was described in detail. Investigation of the molecular structure and catalysts derived from different monosaccharides provided insights into the origin of the stereoselectivity of the carbohydrate-based iodoarene catalysts.
First, we changed the type of linkage between the carbohydrate moiety and the aromatic ring, and we found that a phenolic connection outmatched a benzylic linkage in terms of enantioselectivity of the catalyst. Next, we investigated if a different catalyst symmetry was beneficial for the catalyst design, and we found that a C2 symmetrical catalyst worked better than one with C1 symmetry. Afterwards, we introduced different carbohydrates as substituents as our catalyst. With d-galactose, the catalyst gave poor enantioselectivity by its application in Kita’s spirolactonization. The catalyst with d-galactose worked best. This led us to the assumption that position 4 is of major importance for the stereoselectivity. To gain further insight into the origin of stereoselectivity, we prepared crystals of one catalyst in order to obtain S-ray data to get the detailed molecular structure of our catalysts. With these findings at hand, we prepared improved catalysts with bulky substituents at position 4. One of our new catalysts gave a maximum er of 88:12 by its application in Kita’s spirolactonization.

Supplementary Materials

Supplementary information (copies of NMR Spectra, HPLC chromatograms, and crystallographic data) is available at https://www.mdpi.com/1420-3049/24/21/3883/s1.

Author Contributions

Experiment design, M.R.I. and T.Z.; experiment performance, M.R.I. and L.E.B.; crystallography, C.M.-M. and M.R.I.; data interpretation, M.R.I., L.E.B., and T.Z.; writing—original draft preparation, M.R.I.; writing—review and editing, M.R.I., L.E.B., and T.Z.; supervision, T.Z.

Funding

This research received no external funding.

Acknowledgments

The work of Jochen Neumaier (maintenance of the HPLC), Dorothee Wistuba (HRMS), and Petra Schülzle (elemental analysis) is gratefully acknowledged. We would like to thank www.pixabay.com for providing pictures for the graphical abstract.

Conflicts of Interest

The authors declare no conflict of interest.

References and Note

  1. Lindhorst, T.K. Essentials of Carbohydrate Chemistry and Biochemistry; Wiley-VCH: Weinheim, Germany, 2007; Volume 3. [Google Scholar]
  2. Imrich, M.R.; Kraft, J.; Maichle-Mössmer, C.; Ziegler, T. d-Fructose-based spiro-fused PHOX ligands: Synthesis and application in enatioselective allylic alkylation. Beilstein J. Org. Chem. 2018, 14, 2082–2089. [Google Scholar] [CrossRef] [PubMed]
  3. Imrich, M.R.; Maichle-Mössmer, C.; Ziegler, T. d-Fructose based spiro-fused PHOX ligands: Palladium complexes and application in catalysis. Eur. J. Org. Chem. 2019, 3955–3963. [Google Scholar] [CrossRef]
  4. Kraft, J.; Golkowski, M.; Ziegler, T. Spiro-fused carbohydrate oxazoline ligands: Synthesis and application as enantio-discrimination agents in asymmetric allylic alkylation. Beilstein J. Org. Chem. 2016, 12, 166. [Google Scholar] [CrossRef] [PubMed]
  5. Kraft, J.; Mill, K.; Ziegler, T. Sugar-Annulated Oxazoline Ligands: A Novel Pd (II) Complex and Its Application in Allylic Substitution. Molecules 2016, 21, 1704. [Google Scholar] [CrossRef]
  6. Kraft, J.; Ziegler, T. Synthesis of spirofused carbohydrate-oxazoline based palladium(II) complexes. Carbohydr. Res. 2015, 411, 56–63. [Google Scholar] [CrossRef]
  7. Boysen, M.M.K. Carbohydrates: Tools for Stereoselective Synthesis; John Wiley & Sons: Weinheim, Germany, 2012; Volume 1. [Google Scholar]
  8. Hartwig, J.F. Carbon–heteroatom bond formation catalysed by organometallic complexes. Nature 2008, 455, 314. [Google Scholar] [CrossRef]
  9. Blaser, H.U. The chiral pool as a source of enantioselective catalysts and auxiliaries. Chem. Rev. 1992, 92, 935–952. [Google Scholar] [CrossRef]
  10. MacMillan, D.W.C. The advent and development of organocatalysis. Nature 2008, 455, 304. [Google Scholar] [CrossRef]
  11. Quideau, S.; Pouységu, L.; Deffieux, D. Oxidative Dearomatization of Phenols: Why, How and What For? Synlett 2008, 2008, 467–495. [Google Scholar] [CrossRef]
  12. Zhuo, C.-X.; Zhang, W.; You, S.-L. Catalytic Asymmetric Dearomatization Reactions. Angew. Chem. Int. Ed. 2012, 51, 12662–12686. [Google Scholar] [CrossRef]
  13. Roche, S.P.; Porco, J.A., Jr. Dearomatization Strategies in the Synthesis of Complex Natural Products. Angew. Chem. Int. Ed. 2011, 50, 4068–4093. [Google Scholar] [CrossRef] [PubMed]
  14. Dohi, T.; Maruyama, A.; Takenaga, N.; Senami, K.; Minamitsuji, Y.; Fujioka, H.; Caemmerer, S.B.; Kita, Y. A chiral hypervalent iodine (III) reagent for enantioselective dearomatization of phenols. Angew. Chem. Int. Ed. 2008, 47, 3787–3790. [Google Scholar] [CrossRef] [PubMed]
  15. Ghosh, S.; Pradhan, S.; Chatterjee, I. A survey of chiral hypervalent iodine reagents in asymmetric synthesis. Beilstein J. Org. Chem. 2018, 14, 1244–1262. [Google Scholar] [CrossRef] [PubMed]
  16. Hempel, C.; Maichle-Mössmer, C.; Pericàs, M.A.; Nachtsheim, B.J. Modular Synthesis of Triazole-Based Chiral Iodoarenes for Enantioselective Spirocyclizations. Adv. Synth. Catal. 2017, 359, 2931–2941. [Google Scholar] [CrossRef]
  17. Parra, A.; Reboredo, S. Chiral hypervalent iodine reagents: Synthesis and reactivity. Chem. Eur. J. 2013, 19, 17244–17260. [Google Scholar] [CrossRef]
  18. Flores, A.; Cots, E.; Bergès, J.; Muñiz, K. Enantioselective Iodine (I/III) Catalysis in Organic Synthesis. Adv. Synth. Catal. 2019, 361, 2–25. [Google Scholar] [CrossRef]
  19. Wang, Y.; Zhao, C.-Y.; Wang, Y.-P.; Zheng, W.-H. Enantioselective Intramolecular Dearomative Lactonization of Naphthols Catalyzed by Planar Chiral Iodoarene. Synthesis 2019, 51, 3675–3682. [Google Scholar] [CrossRef]
  20. Imrich, M.R.; Ziegler, T. Carbohydrate based chiral iodoarene catalysts for enantioselective dearomative spirocyclization. Tetrahedron Lett. 2019, 38, 150954. [Google Scholar] [CrossRef]
  21. Casitas, A.; Canta, M.; Solà, M.; Costas, M.; Ribas, X. Nucleophilic Aryl Fluorination and Aryl Halide Exchange Mediated by a CuI/CuIII Catalytic Cycle. J. Am. Chem. Soc. 2011, 133, 19386–19392. [Google Scholar] [CrossRef]
  22. Kartha, K.P.R. Iodine, a novel catalyst in carbohydrate reactions I. O-isopropylidination of carbohydrates. Tetrahedron Lett. 1986, 27, 3415–3416. [Google Scholar] [CrossRef]
  23. Brady, R.F., Jr. Cyclic acetals of ketoses: Part III. Re-investigation of the synthesis of the isomeric Di-O-isopropylidene-β-d-fructopyranoses. Carbohydr. Res. 1970, 15, 35–40. [Google Scholar] [CrossRef]
  24. Haubenreisser, S.; Wöste, T.H.; Martínez, C.; Ishihara, K.; Muñiz, K. Structurally defined molecular hypervalent iodine catalysts for intermolecular enantioselective reactions. Angew. Chem. Int. Ed. 2016, 55, 413–417. [Google Scholar] [CrossRef] [PubMed]
  25. Łopatkiewicz, G.; Buda, S.; Mlynarski, J. Application of the EF and GH Fragments to the Synthesis of Idraparinux. J. Org. Chem. 2017, 82, 12701–12714. [Google Scholar] [CrossRef] [PubMed]
  26. Crucius, G.; Hanack, M.; Ziegler, T. Synthesis and characterization of [1,4-bis (α, β-galactopyranos-6-yl) phthalocyaninato] zinc (II). J. Porphyr. Phthalocyanin 2013, 17, 807–813. [Google Scholar] [CrossRef]
  27. Details regarding the refinement and crystallographic data are listed in the supporting information and in the CIF files. CCDC deposition 1952578 contains all supplementary crystallographic data for this paper. These data can be obtained free of charge from The Cambrige Crystallographic Data Centre via www.ccdc.cam.ac.uk.tc.
  28. Matwiejuk, M.; Thiem, J. Defining oxyanion reactivities in base-promoted glycosylations. Chem. Commun. 2011, 47, 8379–8381. [Google Scholar] [CrossRef]
  29. Zou, L.; Zheng, R.B.; Lowary, T.L. Studies on the substrate specificity of a GDP-mannose pyrophosphorylase from Salmonella enterica. Beilstein J. Org. Chem. 2012, 8, 1219–1226. [Google Scholar] [CrossRef]
  30. Roën, A.; Padrón, J.I.; Vázquez, J.T. Hydroxymethyl Rotamer Populations in Disaccharides. J. Org. Chem. 2003, 68, 4615–4630. [Google Scholar] [CrossRef]
  31. Viuff, A.H.; Besenbacher, L.M.; Kamori, A.; Jensen, M.T.; Kilian, M.; Kato, A.; Jensen, H.H. Stable analogues of nojirimycin–synthesis and biological evaluation of nojiristegine and manno-nojiristegine. Org. Biomol. Chem. 2015, 13, 9637–9658. [Google Scholar] [CrossRef]
Sample Availability: Samples of the compounds are available from the authors.
Scheme 1. Enantioselective dearomatization of naphthole derivative 1 to 2 catalyzed by a chiral iodoarene.
Scheme 1. Enantioselective dearomatization of naphthole derivative 1 to 2 catalyzed by a chiral iodoarene.
Molecules 24 03883 sch001
Figure 1. Some examples of chiral iodoarene catalysts described in the literature [15,16,17,18,19,20].
Figure 1. Some examples of chiral iodoarene catalysts described in the literature [15,16,17,18,19,20].
Molecules 24 03883 g001
Scheme 2. Preparation of catalysts 11, 12, 14, and 15.
Scheme 2. Preparation of catalysts 11, 12, 14, and 15.
Molecules 24 03883 sch002
Scheme 3. Synthesis of C1 symmetrical catalysts 17 and 20.
Scheme 3. Synthesis of C1 symmetrical catalysts 17 and 20.
Molecules 24 03883 sch003
Scheme 4. Synthesis of carbohydrate derivatives of different monosaccharides with similar substitution patterns at positions 1, 2, 3, and 4 and a hydroxyl group at position 6.
Scheme 4. Synthesis of carbohydrate derivatives of different monosaccharides with similar substitution patterns at positions 1, 2, 3, and 4 and a hydroxyl group at position 6.
Molecules 24 03883 sch004
Scheme 5. Mitsunobu reaction between 2-iodoresorcinol 33 and carbohydrate derivatives 30, 31, and 32 to synthesize catalysts 34, 35, and 36.
Scheme 5. Mitsunobu reaction between 2-iodoresorcinol 33 and carbohydrate derivatives 30, 31, and 32 to synthesize catalysts 34, 35, and 36.
Molecules 24 03883 sch005
Figure 2. Molecular structure of 8c. Ellipsoids are given at the 50% probability level; hydrogens are omitted for better clarity. Grey: carbon, red: oxygen, purple: iodine.
Figure 2. Molecular structure of 8c. Ellipsoids are given at the 50% probability level; hydrogens are omitted for better clarity. Grey: carbon, red: oxygen, purple: iodine.
Molecules 24 03883 g002
Scheme 6. Preparation of α-d-glucose-based iodoarenes 44, 45, and 46 with a bulky substituent at position 4 and small methyl groups at positions 1, 2, and 3.
Scheme 6. Preparation of α-d-glucose-based iodoarenes 44, 45, and 46 with a bulky substituent at position 4 and small methyl groups at positions 1, 2, and 3.
Molecules 24 03883 sch006
Scheme 7. Synthesis of 1-naphthylmethyl-substituted catalyst 50.
Scheme 7. Synthesis of 1-naphthylmethyl-substituted catalyst 50.
Molecules 24 03883 sch007
Table 1. Application of catalysts in Kita’s oxidative spirolactonisation of 3-(1-hydroxynaphthalen-2-yl)propanoic acid.
Table 1. Application of catalysts in Kita’s oxidative spirolactonisation of 3-(1-hydroxynaphthalen-2-yl)propanoic acid.
Molecules 24 03883 i001
EntryCatalystTemperatureYieldaer [R:S]b
1c8d−20 °C77%80:20
211−20 °Cno conversionn.d.d
311rt12%55:45
412−20 °Cno conversionn.d. d
512rt13%60:40
614−20 °Cno conversionn.d. d
714rt0% en.d. d
815−20 °Cno conversionn.d. d
915rt0% en.d. d
1017−20 °Cno conversionn.d. d
1117rt18%52:48
1220−20 °C81%63:37
1334−20 °C73%70:30
1435−20 °C67%71:29
1536−20 °C68%55:45
1644−20 °C72%79:21
1745−20 °C78%81:19
1846−20 °C74%86:14
1950−20 °C75%88:12
a: Isolated yield. b: Determined by chiral HPLC. c: Taken from [20]. d: Not determined. e: No product was obtained; 3,4-dihydro-2H-naphtho [1,2-b]pyran-2-one was isolated instead.

Share and Cite

MDPI and ACS Style

Imrich, M.R.; Biehler, L.E.; Maichle-Mössmer, C.; Ziegler, T. Carbohydrate-Based Chiral Iodoarene Catalysts: A Survey through the Development of an Improved Catalyst Design. Molecules 2019, 24, 3883. https://doi.org/10.3390/molecules24213883

AMA Style

Imrich MR, Biehler LE, Maichle-Mössmer C, Ziegler T. Carbohydrate-Based Chiral Iodoarene Catalysts: A Survey through the Development of an Improved Catalyst Design. Molecules. 2019; 24(21):3883. https://doi.org/10.3390/molecules24213883

Chicago/Turabian Style

Imrich, Michael R., Linda E. Biehler, Cäcilia Maichle-Mössmer, and Thomas Ziegler. 2019. "Carbohydrate-Based Chiral Iodoarene Catalysts: A Survey through the Development of an Improved Catalyst Design" Molecules 24, no. 21: 3883. https://doi.org/10.3390/molecules24213883

APA Style

Imrich, M. R., Biehler, L. E., Maichle-Mössmer, C., & Ziegler, T. (2019). Carbohydrate-Based Chiral Iodoarene Catalysts: A Survey through the Development of an Improved Catalyst Design. Molecules, 24(21), 3883. https://doi.org/10.3390/molecules24213883

Article Metrics

Back to TopTop