Next Article in Journal
Photocuring of Epoxidized Cardanol for Biobased Composites with Microfibrillated Cellulose
Previous Article in Journal
Improving the Stability of Oil Body Emulsions from Diverse Plant Seeds Using Sodium Alginate
 
 
Font Type:
Arial Georgia Verdana
Font Size:
Aa Aa Aa
Line Spacing:
Column Width:
Background:
Article

Synthesis of Enantiomerically Pure N-Boc-Protected 1,2,3-Triaminopropylphosphonates and 1,2-Diamino-3-Hydroxypropylphosphonates

by
Aleksandra Trocha
,
Dorota G. Piotrowska
and
Iwona E. Głowacka
*
Bioorganic Chemistry Laboratory, Faculty of Pharmacy, Medical University of Lodz, Muszynskiego 1, 90-151 Lodz, Poland
*
Author to whom correspondence should be addressed.
Molecules 2019, 24(21), 3857; https://doi.org/10.3390/molecules24213857
Submission received: 20 September 2019 / Revised: 16 October 2019 / Accepted: 22 October 2019 / Published: 25 October 2019
(This article belongs to the Section Organic Chemistry)

Abstract

:
All possible isomers of 1,2,3-tri(N-tert-butoxycarbonylamino)propylphosphonate 6 were synthesized from the respective diethyl [N-(1-phenylethyl)]-1-benzylamino-2,3-epiiminopropylphosphonates 5 via opening the aziridine ring with trimethylsilyl azide (TMSN3) followed by hydrogenolysis in the presence of di-tert-butyl dicarbonate (Boc2O). [N-(1-phenylethyl)]-1-benzylamino-2,3-epiiminopropylphosphonates (1R,2R,1′S)-5a and (1S,2S,1′R)-5c were smoothly transformed into diethyl 3-acetoxy-1-benzylamino-2-[N-(1-phenylethyl)amino]propylphosphonates (1R,2R,1′S)-9a and (1S,2S,1′R)-9c, respectively by the opening of the aziridine ring with acetic acid. Transformations of [N-(1-phenylethyl)]-1-benzylamino-2,3-epiiminopropylphosphonates (1S,2R,1′S)-5b and (1R,2S,1′R)-5d into diethyl 3-acetoxy-1-benzylamino-2-[(1-phenylethyl)amino]propylphosphonates (1S,2R,1′S)-9b and (1R,2S,1′R)-9d were accompanied by the formation of ethyl {1-(N-benzylacetamido)-3-hydroxy-2-[(1-phenylethyl)amino]propyl}phosphonate (1S,2R,1′S)-10b and (1R,2S,1′R)-10d and 3-(N-benzylacetamido)-4-[N-(1-phenylethyl)]amino-1,2-oxaphospholane (3S,4R,1′S)-11b and (3R,4S,1′R)-11d as side products. Diethyl (1R,2R)-, (1S,2S)-, (1S,2R)- and (1R,2S)-3-acetoxy-1,2-di(N-tert-butoxycarbonylamino)propylphosphonates 7a7d were obtained from the respective 3-acetoxy-1-benzylamino-2-[N-(1-phenylethyl)amino]propylphosphonates 9a9d by hydrogenolysis in the presence of Boc2O.

Graphical Abstract

1. Introduction

Aside from their fundamental role as components of proteins, amino acids are also of great interest in organic synthesis since they may serve as chiral building blocks for the preparation of new pharmacologically valuable compounds, and they may also be used in peptide synthesis. Non-proteinogenic amino acids are an important class of compounds since they are structural fragments of complex natural products and possess interesting biological properties. Among them, the amino acids functionalized with an additional amino group appear especially interesting (Figure 1). Important diamino acids include (S)-2,3-diaminopropanoic acid (S)-1, which is found in the structure of capreomycin [1,2] and dipeptides Sch3717 and A19009 exhibiting antifungal properties [1,3]. The 3-(N-methyl) derivative of (S)-1 [β-N-methylamino-L-alanine] is a strong neurotoxin found in the majority of cyanobacterial genera [4,5,6,7,8,9,10], while its 3-(N-oxalyl) analogue has been isolated from the grass pea, Lathyrus sativus [1,11,12]. On the other hand, alanosine [(S)-2-amino-3-[hydroxy(nitroso)amino] propanoic acid] produced by the fermentation of Streptomyces alanosinicus, has been reported to possess antineoplastic properties [13,14,15,16]. Isomeric 2,3-diaminobutanoic acids 2 have been recognized as structural fragments of several polypeptide antibiotics [4,5,6,7,8,9,10]. Similarly, the 3-(N-methyl) derivative of 2,3-diaminobutanoic acid is an important subunit in uridyl peptide antibiotics [4,5,6,7,8,9,10]. 2,3-Diaminopropanoic and 2,5-diaminopentanoic acids are both part of the structure of cyclotheonamide B, a cyclopeptide isolated from the marine sponge Theonella swinhoei, which acts as an inhibitor of serine proteases [13,17,18,19]. (2S,3R)-2,3,5-Triaminopentanoic acid 3 and (2S,3S,4R)-2,3,5-triamino-4-hydroxypentanoic acid 4 are triamino acids found in the structure of streptothricin and capreomycin type antibiotics [20,21].
The interest in the synthesis of phosphonates as bioisosteres of amino acids has been growing over recent decades, as many examples of biologically active compounds have been identified [22,23]. Recently, we succeeded in the synthesis of four enantiomers of diethyl 1,2-diaminopropylphosphonates by the application of the Kabachnik‒Fields reaction of enantiomerically pure and configurationally stable N-(1-phenylethyl)aziridine-2-carbaldehydes followed by catalytic hydrogenolysis of the resulting isomeric 1-benzylamino-2,3-epiiminopropylphosphonates 5 [24]. Prompted by previous studies on reactivity of the aziridinephosphonates [24,25,26,27] we concluded that compound 5 would serve as a convenient substrate for the synthesis of the N-Boc-protected 1,2,3-triaminopropylphosphonates 6 and 1,2-diamino-3-acetoxypropylphosphonates 7 when the respective nitrogen and oxygen nucleophiles are applied for the opening of the aziridine ring in phosphonate 5 (Scheme 1).

2. Results and Discussion

Enantiomerically pure 1-benzylamino-2,3-epiiminopropylphosphonates (1R,2R,1′S)-5a and (1S,2R,1′S)-5b as well as (1S,2S,1′R)-5c and (1R,2S,1′R)-5d were prepared as described previously [24] by the application of enantiomerically pure N-(1-phenylethyl)aziridine-2-carbaldehydes in the one-pot three-component Kabachnik‒Fields reaction.
The treatment of a dichloromethane solution of aziridinephosphonate (1R,2R,1′S)-5a with trimethylsilyl azide at room temperature led to the formation of 3-azidophosphonate (1R,2R,1′S)-8a after 15 days (Scheme 2). Phosphonate (1R,2R,1′S)-8a was obtained in 81% yield after chromatographic purification. However, the same aziridine ring opening of (1R,2R,1′S)-5a with trimethylsilyl azide was accomplished in 3 days and in good yield (76%) when the reaction was carried out without solvent. Regioselectivity of the aziridine ring opening at C3 was evident from 1H and 13C NMR spectral data of 3-azidophosphonates 8 with chemical shifts of H–C3 and the appearance of a two-bond H–C3–H coupling. Careful analysis of crude reaction mixtures showed that a minor regioisomer (opening at C2) was not formed. Then subsequent catalytic reduction of the azide function in (1R,2R,1′S)-8a together with the simultaneous hydrogenolytic removal of (S)-1-phenylethyl and benzyl groups in the presence of di-tert-butyl dicarbonate (Boc2O) gave (1R,2R)-tri(N-Boc-amino)propylphosphonate (1R,2R)-6a in 86% yield.
The synthesis of (1S,2R)-tri(N-Boc-amino)propylphosphonate (1S,2R)-6b was accomplished in an analogous manner starting from the isomeric aziridinephosphonate (1S,2R,1′S)-5b (Scheme 3). In this case, a complete conversion of (1S,2R,1′S)-5b into (1S,2R)-8b was achieved in 3 days regardless of whether the reaction was performed with trimethylsilyl azide in dichloromethane or without a solvent. Hydrogenolysis of (1S,2R)-8b proceeded smoothly leading to the formation of (1S,2R)-6b in 67% yield.
We reasoned that the syntheses of the other two enantiomers of tri(N-Boc-amino)propylphosphonates, namely (1S,2S)-6c and (1R,2S)-6d, could be accomplished using aziridinephosphonates 5 having the chiral auxiliary with the opposite configuration, i.e., (R)-1-phenylethyl moiety (Scheme 4). Thus, when aziridinephosphonates (1S,2S,1′R)-5c and (1R,2S,1′R)-5d were treated with neat trimethylsilyl azide azidophosphonates (1S,2S,1′R)-8c and (1R,2S,1′R)-8d were formed in 74% and 77% yield, respectively. The catalytic hydrogenolysis of (1S,2S,1′R)-8c and (1R,2S,1′R)-8d in the presence of Boc2O produced tri(N-Boc-amino)phosphonates (1S,2S)-6c and (1R,2S)-6d in 91% and 70% yield, respectively.
We noticed that isomeric aziridinephosphonates 5 could also serve as convenient substrates for synthesis of the protected 1,2-diamino-3-hydroxypropylphosphonates 7 when an appropriate oxygen nucleophile is applied to open the aziridine ring (Scheme 1).
When phosphonate (1R,2R,1′S)-5a was treated with glacial acetic acid at room temperature for 24 h opening of the aziridine ring at C3 was observed. Phosphonate (1R,2R,1′S)-9a was isolated in 59% yield after the chromatographic purification. However, irradiation of the reaction mixture in a microwave oven allowed us to shorten the reaction time to 1.5 h. Thus, phosphonate (1R,2R,1′S)-9a was obtained in 61% yield after purification on a silica gel column. Again, regioselectivity of the aziridine ring opening at C3 was evident from 1H and 13C NMR spectral data of 3-acetoxyphosphonates 9, with chemical shifts of H–C3 and the appearance of a two-bond H–C3–H coupling. Careful analysis of crude reaction mixtures showed that a minor regioisomer (opening at C2) was not formed. Hydrogenolytic removal of N-(1-phenylethyl) and N-benzyl groups in (1R,2R,1′S)-9a performed in the presence of Boc2O gave O-acetyl-N,N-diBoc-protected phosphonate (1R,2R)-7a in 74% yield after purification by column chromatography (Scheme 5).
Similarly, phosphonate (1S,2S,1′R)-9c was synthesized from aziridinephosphonate (1S,2S,1′R)-5c and glacial acid as a nucleophile. Pure 3-acetoxyphosphonate (1S,2S,1′R)-9c was obtained in 53% yield when the reaction was conducted at room temperature for 24 h, or in 54% when microwave irradiation was applied for 1.5 h. The hydrogenolysis of (1S,2S,1′R)-9c in the presence of Boc2O gave O-acetyl-N,N-diBoc-protected phosphonate (1S,2S)-7c in 75% yield after column chromatography (Scheme 6).
By analogy, in order to obtain enantiomerically pure phosphonates (1S,2R,1′S)-9b and (1R,2S,1′R)-9d, the aziridinephosphonates (1S,2R,1′S)-5b and (1R,2S,1′R)-5d were used as starting materials. Surprisingly, when phosphonates (1S,2R,1′S)-5b or (1R,2S,1′R)-5d were treated with acetic acid under similar conditions as described above for stereoisomers (1R,2R,1′S)-5a or (1S,2S,1′R)-5c, the formation of complex mixtures of products was observed.
In the attempts to optimize reaction conditions for the reaction of phosphonate (1S,2R,1′S)-5b with acetic acid, several parameters were changed including the reaction time, temperature, solvent/neat and the application of microwave irradiation.
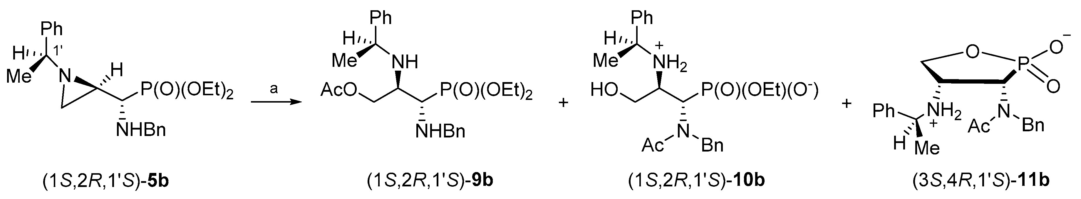
When a dichloromethane solution of aziridinephosphonate (1S,2R,1′S)-5b was heated with glacial acetic acid for 9 h, a mixture of phosphonate (1S,2R,1′S)-9b (41%), the starting phosphonate (1S,2R,1′S)-5b (16%), monophosphonate ester (1S,2R,1′S)-10b (22%), 1,2-oxaphospholane (3S,4R,1′S)-11b (5%), and other unidentified by-products (ca. 16%) was formed (Scheme 7). After the purification of the crude reaction mixture on a silica gel column, phosphonate (1S,2R,1′S)-9b was obtained in 24% yield. Additional purification of selected fractions on a HPLC column allowed us to isolate a monophosphonate ester (1S,2R,1′S)-10b and 1,2-oxaphospholane (3S,4R,1′S)-11b in 10% and 4% yields, respectively.
Similarly, treatment of aziridinephosphonate (1R,2S,1′R)-5d with glacial acetic acid in dichloromethane at reflux for 9 h resulted in the formation of a mixture of phosphonate (1R,2S,1′R)-9d (54%), the starting phosphonate (1R,2S,1′R)-5d (14%), monophosphonate ester (1R,2S,1′R)-10d (10%), 1,2-oxaphospholane (3R,4S,1′R)-11d (5%), and with other unidentified by-products (ca. 17%) (Scheme 8). The purification of the crude reaction mixture on a silica gel column allowed us to obtain (1R,2S,1′R)-9d in 30% yield. The additional purification of selected fractions by HPLC gave a monophosphonate ester (1R,2S,1′R)-10d and 1,2-oxaphospholane (3R,4S,1′R)-11d in 7% and 13% yields, respectively.
Finally, the hydrogenolysis of (1S,2R,1′S)-9b and (1R,2S,1′R)-9d in the presence of Boc2O gave O-acetyl-N,N-diBoc-protected phosphonates (1S,2R)-7b and (1R,2S)-7d, in 40% and 25% yield respectively (Scheme 9).
We observed a significant difference in the aziridine ring openings with acetic acid in diastereoisomeric 1-aminophosphonates (1R,2R,1′S)-5a and its enantiomer (1S,2S,1′R)-5c when compared with phosphonates (1S,2R,1′S)-5b and its enantiomer (1R,2S,1′R)-5d. The former pair was cleanly transformed into 3-acetoxypropylphosphonates (1R,2R,1′S)-9a and (1S,2S,1′R)-9c while the latter pair provided 3-acetoxypropylphosphonates (1S,2R,1′S)-9b and its enantiomer (1R,2S,1′R)-9d contaminated with the starting materials and other organophosphorus compounds. Undoubtedly, in the presence of acetic acid, protonation of the ring nitrogen atom occurred and formed aziridinium ions A and B (Scheme 10). If we assume that these ions are additionally stabilized by hydrogen bonding with the BnNH–C1 nitrogen atoms, a spatial disposition of the diethoxyphosphoryl group would have been responsible for the observed differences in reactivity of diastereoisomeric pairs. Thus, the approach of the acetate anion to the less substituted carbon atom (C3) from the opposite side of the protonated nitrogen atom in A is sterically facilitated while in B the sterically bulky diethoxyphosphoryl group retards the attack of the nucleophile. Similar observations were made several years ago on diastereoisomeric 2,3-epiimino-1-hydroxypropylphosphonates [27].
To rationalize the problem of the oxygen to nitrogen transfer of the acetyl group observed during the acetolysis of phosphonate (1S,2R,1′S)-5b, possible transition states were discussed. First, 3-acetoxypropylphosphonate (1R,2R,1′S)-9a should be transformed into a chair-like (six membered) conformer C which is energetically unfavoured since the bulky diethoxyphosphoryl group is positioned axially and thus the O→N acetyl transfer was not noticed under the reaction conditions applied (Scheme 11). On the other hand, in an analogous chair-like conformer of 3-acetoxypropylphosphonate (1S,2R,1′S)-9b (D) the diethoxyphosphoryl group is located in the equatorial position minimizing steric interactions. Under these circumstances the acetyl transfer provides (1S,2R,1′S)-E as a primary product (not isolated). The 3-hydroxypropylphosphonate readily underwent cyclization to form substituted 1,2-oxaphospholane (3S,4R,1′S)-F (also not isolated). However, their prior formation was proved by isolation of monophosphonate ester (1S,2R,1′S)-10b [by the ring opening of (3S,4R,1′S)-F] and (3S,4R,1′S)-11b.

3. Experimental Section

3.1. General

1H NMR spectra were taken in chloroform-d (CDCl3), benzene-d6 (C6D6) or deuterium oxide (D2O) on a Bruker Avance III (600 MHz). For spectra recorded in CDCl3 and C6D6 tetramethylsilane (TMS) was used as an internal standard; chemical shifts δ are given in ppm with respect to TMS and coupling constants J in Hz. Chemical shifts in D2O are referenced to the residual solvent peak, δ = 4.80 ppm. 13C NMR and 31P NMR spectra were recorded in a 1H-decoupled mode for CDCl3, C6D6, and D2O solutions on the Bruker Avance III (600 MHz) spectrometer at 151 and 243 MHz, respectively. IR spectral data were measured on a Bruker Alpha-T FT-IR spectrometer. Melting points were determined on a Boetius apparatus and are uncorrected. Elemental analyses were performed by the Microanalytical Laboratory of the Faculty of Pharmacy (Medical University of Lodz) on a Perkin Elmer PE 2400 CHNS analyzer and their results were found to be in good agreement (±0.3%) with the calculated values. Polarimetric measurements were conducted on an Optical Activity PolAAr 3001 apparatus. Microwave irradiation experiments were carried out in a Plazmatronika RM 800 microwave reactor. The reaction was carried out in a 50 mL glass vial.
The following adsorbents were used: column chromatography, Merck silica gel 60 (70–230 mesh), analytical thin layer chromatography (TLC), Merck TLC plastic sheets silica gel 60 F254. TLC plates were developed in dichloromethane‒ethyl acetate and dichlorometane‒methanol solvent systems. Visualization of spots was effected with iodine vapors. All solvents were purified by methods described in the literature.
No special protection measures were taken when working with liquid (oily) aziridinephosphonates even under solvent free conditions.

3.2. Ring Opening of Aziridinephosphonates 5 with trimethylsilyl azide

3.2.1. Reaction of Aziridinephosphonates 5 with Neat Trimethylsilyl Azide (General Procedure, Method A)

A mixture of aziridinephosphonate 5 (1.00 mmol) and TMSN3 (3.00 mmol) was stirred at room temperature for 3 days. The crude product was chromatographed on a silica gel column (12 g of silica gel) with dichloromethane‒ethyl acetate (4:1, v/v, 500 mL) to give the protected 1,2-diamino-3-azidopropylphosphonates 8.

3.2.2. Reaction of Aziridinephosphonates 5 with Trimethylsilyl Azide with CH2Cl2 (General Procedure, Method B)

To a solution of aziridinephosphonate 5 (1.00 mmol) in dichloromethane (4 mL), TMSN3 (3.00 mmol) was added at room temperature. The reaction mixture was stirred at ambient temperature for 15 days [for (1R,2R,1′S)-5a] or for 3 days [for (1S,2R,1′S)-5b] and then was chromatographed on a silica gel column (12 g of silica gel) with dichloromethane‒ethyl acetate (4:1, v/v, 500 mL) to give the protected 1,2-diamino-3-azidopropylphosphonates 8.
Diethyl (1R,2R)-3-azido-1-benzylamino-2-[(S)-1-phenylethylamino]propylphosphonate [(1R,2R,1′S)-8a]: According to method A from aziridinephosphonate (1R,2R,1′S)-5a (0.213 g, 0.529 mmol), phosphonate (1R,2R,1′S)-8a (0.179 g, 76%) was obtained as a yellowish oil.
According to method B from aziridinephosphonate (1R,2R,1′S)-5a (0.736 g, 1.829 mmol), phosphonate (1R,2R,1′S)-8a (0.664 g, 81%) was obtained as a yellowish oil. Rf = 0.47 (dichloromethane‒ethyl acetate, 1:2, v/v). IR (film): ν = 3449, 3314, 3028, 2978, 2927, 2101, 1453, 1234, 1025, 762, 701 cm−1. [ α ] D 20 = −73.1 (c 1.46, CHCl3). 1H NMR (600 MHz, C6D6): δ = 7.29−7.27 (m, 4H), 7.19−7.15 (m, 4H), 7.11−7.08 (m, 1H), 7.07−7.04 (m, 1H), 3.99−3.92 (m, 2H, CH3CH2OP), 3.89 (d, 2J(HCH) = 13.0 Hz, 1H, HaCHbPh), 3.85−3.77 (m, 2H, CH3CH2OP), 3.76 (d, 2J(HCH) = 13.0 Hz, 1H, HaCHbPh), 3.72 (q, 3J(HCCH) = 6.6 Hz, 1H, HCCH3), 3.36 (ddd, 2J(HCH) = 12.3 Hz, 3J(HCCH) = 4.6 Hz, 4J(HCCCP) = 1.7 Hz, 1H, HaCHbCCP), 3.29 (dd, 2J(HCH) = 12.3 Hz, 3J(HCCH) = 6.4 Hz, 1H, HaCHbCCP), 3.07 (dd, 2J(HCP) = 14.5 Hz, 3J(HCCH) = 4.4 Hz, 1H, HCP), 3.02 (dddd, 3J(HCCP) = 13.6 Hz, 3J(HCCH) = 6.4 Hz, 3J(HCCH) = 4.6 Hz, 3J(HCCH) = 4.4 Hz, 1H, HCCP), 1.27 (d, 3J(HCCH) = 6.6 Hz, 3H, HCCH3), 1.00 (t, 3J(HCCH) = 7.1 Hz, 3H, CH3CH2OP), 0.95 (t, 3J(HCCH) = 7.1 Hz, 3H, CH3CH2OP). 13C NMR (151 MHz, CDCl3): δ= 144.8, 139.8, 128.5, 128.4, 128.3, 127.2, 127.1, 126.8, 62.4 (d, 2J(COP) = 7.2 Hz, COP), 61.9 (d, 2J(COP) = 7.2 Hz, COP), 55.2, 55.1 (d, 1J(CP) = 149.3 Hz, CP), 54.3 (d, 3J(CNCP) = 5.6 Hz, CH2Ph), 53.4 (d, 2J(CCP) = 3.8 Hz, CCP), 51.1 (d, 3J(CCCP) = 8.7 Hz, CCCP), 24.8 (CCH3), 16.6 (d, 3J(CCOP) = 5.8 Hz, CCOP), 16.4 (d, 3J(CCOP) = 5.8 Hz, CCOP). 31P NMR (243 MHz, C6D6): δ = 26.51. Anal. Calcd. for C22H32N2O3P: C, 59.31; H, 7.24; N, 15.72. Found: C, 59.25; H, 7.23; N, 15.62.
Diethyl (1S,2S)-3-azido-1-benzylamino-2-[(R)-1-phenylethylamino]propylphosphonate [(1S,2S,1′R)-8c]: According to method A from aziridinephosphonate (1S,2S,1′R)-5c (0.201 g, 0.499 mmol), phosphonate (1S,2S,1′R)-8c (0.165 g, 74%) was obtained as a yellowish oil. [ α ] D 20 = +70.7 (c 1.23, CHCl3). Anal. Calcd. for C22H32N2O3P: C, 59.31; H, 7.24; N, 15.72. Found: C, 59.03; H, 7.45; N, 15.62. NMR spectra of (1S,2S,1′R)-8c identical with its enantiomer (1R,2R,1′S)-8a.
Diethyl (1S,2R)-3-azido-1-benzylamino-2-[(S)-1-phenylethylamino]propylphosphonate [(1S,2R,1′S)-8b]: According to method A from aziridinephosphonate (1S,2R,1′S)-5b (0.207 g, 0.514 mmol), phosphonate (1S,2R,1′S)-8b (0.164 g, 72%) was obtained as a yellowish oil.
According to method B from aziridinephosphonate (1S,2R,1′S)-5b (0.100 g, 0.248 mmol), phosphonate (1S,2R,1′S)-8b (0.078 g, 71%) was obtained as a yellowish oil. Rf = 0.58 (dichloromethane‒ethyl acetate, 1:2). IR (film): ν = 3448, 3317, 3028, 2980, 2099, 1453, 1234, 1026, 756, 701 cm−1. [ α ] D 20 = −26.3 (c 1.20, CHCl3). 1H NMR (600 MHz, C6D6): δ = 7.32−7.02 (m, 10H), 4.00−3.96 (m, 2H, CH3CH2OP), 3.90−3.85 (m, 2H, CH3CH2OP), 3.69 (q, 3J(HCCH) = 6.5 Hz, 1H, HCCH3), 3.64 (d, 2J(HCH) = 13.0 Hz, 1H, HaCHbPh), 3.55 (d, 2J(HCH) = 13.0 Hz, 1H, HaCHbPh), 3.52 (dd, 2J(HCH) = 12.5 Hz, 3J(HCCH) = 5.3 Hz, 1H, HaCHbCCP), 3.35 (dd, 2J(HCH) = 12.5 Hz, 3J(HCCH) = 5.6 Hz, 1H, HaCHbCCP), 3.03 (dd, 2J(HCP) = 19.9 Hz, 3J(HCCH) = 4.7 Hz, 1H, HCP), 2.99 (dddd, 3J(HCCP) = 20.6 Hz, 3J(HCCH) = 5.6 Hz, 3J(HCCH) = 5.3 Hz, 3J(HCCH) = 4.7 Hz, 1H, HCCP), 1.26 (d, 3J(HCCH) = 6.5 Hz, 3H, HCCH3), 1.03 and 1.02 (2 × t, 3J(HCCH) = 7.0 Hz, 6H, 2 × CH3CH2OP). 13C NMR (151 MHz, CDCl3): δ = 145.5, 139.7, 128.5, 128.4, 128.3, 127.1, 126.9, 62.4 (d, 2J(COP) = 7.1 Hz, COP), 61.9 (d, 2J(COP) = 7.1 Hz, COP), 55.8, 55.5 (d, 1J(CP) = 156.9 Hz, CP), 55.1 (d, 3J(CNCP) = 5.6 Hz, CH2Ph), 52.6 (d, 3J(CCCP) = 6.4 Hz, CCCP), 51.7 (d, 2J(CCP) = 2.1 Hz, CCP), 24.4, 16.6 (d, 3J(CCOP) = 5.9 Hz, CCOP), 16.5 (d, 3J(CCOP) = 5.9 Hz, CCOP). 31P NMR (243 MHz, CDCl3): δ= 26.19. Anal. Calcd. for C22H32N2O3P: C, 59.31; H, 7.24; N, 15.72. Found: C, 59.05; H, 7.41; N, 15.79.
Diethyl (1R,2S)-3-azido-1-benzylamino-2-[(R)-1-phenylethylamino]propylphosphonate [(1R,2S,1′R)-8d]: According to method A from aziridinephosphonate (1R,2S,1′R)-5d (0.221 g, 0.549 mmol), phosphonate (1R,2S,1′R)-8d (0.189 g, 77%) was obtained as a yellowish oil. [ α ] D 20 = +25.6 (c 1.33, CHCl3). Anal. Calcd. for C22H32N2O3P: C, 59.31; H, 7.24; N, 15.72. Found: C, 59.19; H, 7.32; N, 15.57. NMR spectra of (1R,2S,1′R)-8d identical with its enantiomer (1S,2R,1′S)-8b.

3.3. Hydrogenolysis of Diethyl 3-Azido-1-Benzylamino-2-[1-Phenylethylamino]propylphosphonates 8 (General Procedure)

A solution of diethyl 3-azido-1-benzylamino-2-(1-phenylethylamino)propylphosphonate 8 (1.00 mmol) in ethanol (5 mL) containing Boc2O (3.3 mmol) was stirred under an atmospheric pressure of hydrogen over 20% Pd/C (50 mg) at room temperature for 3 days. The suspension was filtered through a layer of Celite, then the solution was concentrated and chromatographed on a silica gel column (20 g of silica gel) with dichloromethane‒methanol (100:1, v/v, 400 mL and then 50:1, v/v, 100 mL). The appropriate fractions were collected and crystallized from hexane to produce corresponding enantiomerically pure diethyl 1,2,3-tri(N-tert-butoxycarbonylamino)propylphosphonate 6.
Diethyl (1R,2R)-1,2,3-tri(N-tert-butoxycarbonylamino)propylphosphonate [(1R,2R)-6a]: From phosphonate (1R,2R,1′S)-8a (0.106 g, 0.238 mmol), (1R,2R)-6a (0.108 g, 86%) was obtained as a white solid. Rf = 0.46 (dichloromethane‒methanol, 10:1, v/v). Mp = 131‒134 °C. IR (KBr): ν = 3355, 2980, 2931, 1710, 1680, 1520, 1172. [ α ] D 20 = +19.6 (c 1.14, CHCl3). 1H NMR (600 MHz, CDCl3): δ = 5.44 (brs, 1H, HNCHP), 5.33 (brs, 1H, HNCHCHP), 5.25 (brs, 1H, HNCH2), 4.20‒4.16 (m, 4H, 2 × CH3CH2OP), 4.13−4.08 (m, 1H, CHCP), 4.06−4.01 (m, 1H, HCP), 3.51−3.32 (m, 2H, CH2CCP), 1.46 (s, 27H, 3 × (CH3)3C), 1.36 and 1.35 (2 × t, 3J(HCCH) = 7.0 Hz, 6H, 2 × CH3CH2OP). 13C NMR (151 MHz, CDCl3): δ = 156.8 (C=O), 156.3 (C=O), 155.8 (d, 3J(CNCP) = 6.0 Hz, C=O), 80.2, 79.6, 79.5, 63.1 (d, 2J(COP) = 6.6 Hz, COP), 62.7 (d, 2J(COP) = 6.6 Hz, COP), 51.7, 49.5 (d, 1J(CP) = 156.4 Hz, CP), 42.3, 28.4, 28.3, 28.2, 16.4 (d, 3J(CCOP) = 5.6 Hz, CCOP), 16.3 (d, 3J(CCOP) = 6.1 Hz, CCOP). 31P NMR (243 MHz, CDCl3): δ= 22.54. Anal. Calcd. for C22H44N3O9P × 0.25 H2O: C, 49.85; H, 8.46; N, 7.93. Found: C, 49.72; H, 8.42; N, 7.65.
Diethyl (1S,2S)-1,2,3-tri(N-tert-butoxycarbonylamino)propylphosphonate [(1S,2S)-6c]: From phosphonate (1S,2S,1′R)-8c (0.096 g, 0.215 mmol), (1S,2S)-6c (0.103 g, 91%) was obtained as a white solid. Mp = 136‒138 °C. [ α ] D 20 = ‒21.5 (c 1.17, CHCl3). Anal. Calcd. for C22H44N3O9P × 0.5 H2O: C, 49.43; H, 8.49; N, 7.86. Found: C, 49.70; H, 8.42; N, 7.62. NMR spectra of (1S,2S)-6c identical with its enantiomer (1R,2R)-6a.
Diethyl (1S,2R)-1,2,3-tri(N-tert-butoxycarbonylamino)propylphosphonate [(1S,2R)-6b]: From phosphonate (1S,2R,1′S)-8b (0.075 g, 0.168 mmol), (1S,2R)-6b (0.066 g, 67%) was obtained as a white solid. Rf = 0.63 (dichloromethane‒methanol, 10:1, v/v). Mp = 126–128 °C. IR (KBr): ν = 3380, 3352, 2978, 1697, 1537, 1172. [ α ] D 20 = +16.2 (c 1.31, CHCl3). 1H NMR (600 MHz, CDCl3): δ = 5.58 (brs, 1H, HNCHP), 5.14 (brs, 1H, HNCHCHP), 5.13 (brs, 1H, HNCH2), 4.42‒4.28 (m, 1H, HCP), 4.24−4.12 (m, 4H, 2 × CH3CH2OP), 4.10‒3.98 (m, 1H, HCCP), 3.47−3.31(m, 2H, CH2CCP), 1.47 and 1.46 (2 × s, 27H, 3 × (CH3)3C), 1.37 and 1.35 (2 × t, 3J(HCCH) = 7.1 Hz, 6H, 2 × CH3CH2OP). 13C NMR (151 MHz, CDCl3): δ = 156.5 (C=O), 155.9 (C=O), 155.2 (d, 3J(CNCP) = 6.0 Hz, C=O), 80.4, 79.7, 79.6, 63.4 (d, 2J(COP) = 6.8 Hz, COP), 62.7 (d, 2J(COP) = 6.8 Hz, COP), 52.3, 48.2 (d, 1J(CP) = 152.4 Hz, CP), 42.3, 28.4, 28.2, 16.4 (d, 3J(CCOP) = 5.8 Hz, CCOP), 16.3 (d, 3J(CCOP) = 5.8 Hz, CCOP). 31P NMR (243 MHz, CDCl3): δ = 22.40. Anal. Calcd. for C22H44N3O9P × 0.25 H2O: C, 49.85; H, 8.46; N, 7.93. Found: C, 49.70; H, 8.21; N, 7.66.
Diethyl (1R,2S)-1,2,3-tri(N-tert-butoxycarbonylamino)propylphosphonate [(1R,2S)-6d]: From phosphonate (1R,2S,1′R)-8d (0.099 g, 0.222 mmol), (1R,2S)-6d (0,090 g, 70%) was obtained as a white solid. Mp = 129–133 °C. [ α ] D 20 = −16.5 (c 1.33, CHCl3). Anal. Calcd. for C22H44N3O9P × 0.25 H2O: C, 49.85; H, 8.46; N, 7.93. Found: C, 49.79; H, 8.54; N, 7.65. NMR spectra of (1R,2S)-6d identical with its enantiomer (1S,2R)-6b.

3.4. Ring Opening of Aziridinephosphonates 5 with AcOH

3.4.1. Reaction of Aziridinephosphonates 5 with AcOH at Room Temperature (General Procedure, Method A)

A solution of phosphonate (1R,2R,1′S)-5a or (1S,2S,1′R)-5c (1.00 mmol) in glacial acetic acid (34.9 mmol) was stirred at room temperature for 24 h. The reaction mixture was then concentrated in vacuo with toluene (3 × 10 mL). The crude product was chromatographed on a silica gel column (10 g of silica gel) with dichloromethane‒ethyl acetate (4:1, v/v, 400 mL) to give the pure protected 1,2-diamino-3-hydroxypropylphosphonate 9.

3.4.2. Reaction of Aziridinephosphonates 5 with AcOH in the Microwave Reactor (General Procedure, Method B)

A solution of phosphonate (1R,2R,1′S)-5a or (1S,2S,1′R)-5c (1.00 mmol) in glacial acetic acid (34.9 mmol) was microwave irradiated in the microwave reactor (Plazmatronika RM 800, 320 W) at 35–40 °C for 1.5 h. After cooling, the reaction mixture was concentrated in vacuo with toluene (3 × 10 mL). The crude product was chromatographed on a silica gel column column (10 g of silica gel) with dichloromethane‒ethyl acetate (4:1, v/v, 400 mL) to give the protected 1,2-diamino-3-hydroxypropylphosphonate 9.
Diethyl (1R,2R)-3-acetoxy-1-benzylamino-2-[(S)-1-phenylethylamino]propylphosphonate [(1R,2R,1′S)-9a]: According to the method A from aziridinephosphonate (1R,2R,1′S)-5a (0.158 g, 0.393 mmol), phosphonate (1R,2R,1′S)-9a (0.107 g, 59%) was obtained as a yellowish oil.
According to the method B from aziridinephosphonate (1R,2R,1′S)-5a (0.203 g, 0.504 mmol), phosphonate (1R,2R,1′S)-9a (0.143 g, 61%) was obtained as a yellowish oil. Rf = 0.42 (dichloromethane‒ethyl acetate, 1:2, v/v). IR (film): ν = 3459, 3335, 3028, 2979, 2929, 2867, 1739, 1453, 1367, 1235, 1027, 963, 763, 702 cm−1. [ α ] D 20 = −78.0 (c 1.28, CHCl3). 1H NMR (600 MHz, CDCl3): δ = 7.34−7.22 (m, 10H), 4.22 (ddd, 2J(HCH) = 11.1 Hz, 3J(HCCH) = 4.1 Hz, 4J(HCCCP) = 2.9 Hz, 1H, HaCHbCCP), 4.19−4.12 (m, 3H, CH3CH2OP, HaCHbCCP), 4.08‒3.97 (m, 3H, CH3CH2OP, HaCHbPh), 3.90 (q, 3J(HCCH) = 6.6 Hz, 1H, HCCH3), 3.82 (d, 2J(HCH) = 12.8 Hz, 1H, HaCHbPh), 3.02 (dd, 2J(HCP) = 14.8 Hz, 3J(HCCH) = 3.7 Hz, HCP), 2.98 (dddd, 3J(HCCP) = 14.8 Hz, 3J(HCCH) = 7.2 Hz, 3J(HCCH) = 4.1 Hz, J = 3.7 Hz, HCCP), 1.94 (s, 3H, CH3CO), 1.33 (d, 3J(HCCH) = 6.6 Hz, HCCH3), 1.31 and 1.25 (2 × t, 3J(HCCH) = 7.1 Hz, 6H, 2 × CH3CH2OP). 1H NMR (600 MHz, C6D6): δ = 7.37−7.36 (m, 2H), 7.31−7.30 (m, 2H), 7.19−7.13 (m, 4H), 7.07−7.04 (m, 2H), 4.40 (ddd, 2J(HCH) = 11.0 Hz, 3J(HCCH) = 4.5 Hz, 4J(HCCCP) = 2.7 Hz, 1H, HaCHbCCP), 4.33 (dd, 2J(HCH) = 11.0 Hz, 3J(HCCH) = 7.4 Hz, HaCHbCCP), 4.04‒4.00 (m, 2H, CH3CH2OP), 3.91 (d, 2J(HCH) = 12.8 Hz, HaCHbPh), 3.84 (d, 2J(HCH) = 12.8 Hz, HaCHbPh), 3.89‒3.82 (m, 3H, CH2OP, HCCH3), 3.24 (dddd, 3J(HCCP) = 12.0 Hz, 3J(HCCH) = 7.4 Hz, 3J(HCCH) = 4.5 Hz, 3J(HCCH) = 3.2 Hz, 1H, HCCP), 3.16 (dd, 2J(HCP) = 15.0 Hz, 3J(HCCH) = 3.2 Hz, 1H, HCP), 1.53 (s, 3H, CH3CO), 1.25 (d, 3J(HCCH) = 6.6 Hz, 3H, HCCH3), 1.03 (t, 3J(HCCH) = 7.1 Hz, 3H, CH3CH2OP), 0.96 (t, 3J(HCCH) = 7.1 Hz, 3H, CH3CH2OP). 13C NMR (151 MHz, CDCl3): δ= 170.6 (C=O), 144.9, 139.9, 128.6, 128.4, 128.3, 127.1, 127.0, 126.9, 63.0 (d, 3J(CCCP) = 10.3 Hz, CCCP), 62.2 (d, 2J(COP) = 7.2 Hz, COP), 61.8 (d, 2J(COP) = 7.2 Hz, COP), 55.1, 54.7 (d, 1J(CP) = 150.1 Hz, CP), 53.3 (d, 2J(CCP) = 3.7 Hz, CCP), 53.1 (d, 3J(CNCP) = 4.7 Hz, CH2Ph), 25.1, 20.9, 16.5 (d, 3J(CCOP) = 5.7 Hz, CCOP), 16.4 (d, 3J(CCOP) = 5.7 Hz, CCOP). 31P NMR (243 MHz, CDCl3): δ = 27.02. Anal. Calcd. for C24H35N2O5P: C, 62.32; H, 7.63; N, 6.06. Found: C, 62.12; H, 7.64; N, 6.12.
Diethyl (1S,2S)-3-acetoxy-1-benzylamino-2-[(R)-1-phenylethylamino]propylphosphonate [(1S,2S,1′R)-9c]: According to the method A from aziridinephosphonate (1S,2S,1′R)-5c (0.224 g, 0.556 mmol), phosphonate (1S,2S,1′R)-9c (0.137 g, 53%) was obtained as a yellowish oil.
According to the method B from aziridinephosphonate (1S,2S,1′R)-5c (0.201 g, 0.499 mmol), phosphonate (1S,2S,1′R)-9c (0.125 g, 54%) was obtained as a yellowish oil. [ α ] D 20 = +75.2 (c 1.34, CHCl3). Anal. Calcd. for C24H35N2O5P: C, 62.32; H, 7.63; N, 6.06. Found: C, 62.12; H, 7.50; N, 6.21. NMR spectra of (1S,2S,1′R)-9c identical with its enantiomer (1R,2R,1′S)-9a.

3.5. Ring Opening of (1S,2R,1′S)- and (1R,2S,1′R)-Aziridinephosphonates 5 with AcOH (General Procedure)

A solution of aziridinephosphonate (1S,2R,1′S)-5b or (1R,2S,1′R)-5d (1.00 mmol) in dichloromethane (4 mL) containing acetic acid (3.00 mmol) was refluxed for 9 h. The reaction mixture was then concentrated in vacuo with toluene (3 × 10 mL). The crude product was chromatographed on a silica gel column (15 g of silica gel) with dichloromethane‒ethyl acetate (4:1, v/v, 650 mL) to give the respective phosphonate 9. The appropriate fractions were collected and purified by HPLC using a X Bridge Prep, C18, 5 µm, OBD (Optimum Bed Density), 19 × 100 mm column and acetonitrile‒water mixture (28:72, v/v) as eluent to afford 10 and 11.
Diethyl (1S,2R)-3-acetoxy-1-benzylamino-2-[(S)-1-phenylethylamino]propylphosphonate [(1S,2R,1′S)-9b]: From aziridinephosphonate (1S,2R,1′S)-5b (0.157 g, 0.390 mmol), phosphonate (1S,2R,1′S)-9b (0.044 g, 24%) was obtained as a yellowish oil. Rf = 0.40 (dichloromethane‒ethyl acetate, 1:2, v/v). IR (film): ν = 3456, 3321, 3028, 2978, 1738, 1453, 1367, 1235, 1028, 963, 702 cm−1. [ α ] D 20 = −35.3 (c 0.98, CHCl3). 1H NMR (600 MHz, CDCl3): δ = 7.35−7.23 (m, 8H), 7.20−7.18 (m, 2H), 4.36 (dd, 2J(HCH) = 11.3 Hz, 3J(HCCH) = 5.2 Hz, 1H, HaCHbCCP), 4.29 (dd, 2J(HCH) = 11.3 Hz, 3J(HCCH) = 6.5 Hz, 1H, HaCHbCCP), 4.24−4.19 (m, 2H, CH3CH2OP), 4.13−4.08 (m, 2H, CH3CH2OP), 3.95 (q, 3J(HCCH) = 6.6 Hz, 1H, HCCH3), 3.56 (AB, JAB = 13.1 Hz, 1H, HaCHbPh), 3.53 (AB, JAB = 13.1 Hz, 1H, HaCHbPh), 2.98 (dddd, 3J(HCCP) = 23.5 Hz, 3J(HCCH) = 6.5 Hz, 3J(HCCH) = 5.2 Hz, 3J(HCCH) = 4.3 Hz, 1H, HCCP), 2.95 (dd, 2J(HCP) = 14.1 Hz, 3J(HCCH) = 4.3 Hz, 1H, HCP), 2.02 (s, 3H, CH3CO), 1.36 (d, 3J(HCCH) = 6.6 Hz, 3H, HCCH3), 1.34 and 1.32 (2 × t, 3J(HCCH) = 7.1 Hz, 6H, 2 × CH3CH2OP). 13C NMR (151 MHz, CDCl3): δ = 170.8 (C=O), 145.6, 139.7, 128.5, 128.3, 128.2, 127.1, 127.05, 127.0, 64.3 (CCCP), 62.7 (d, 2J(COP) = 7.3 Hz, COP), 61.7 (d, 2J(COP) = 7.3 Hz, COP), 55.7, 55.6 (d, 1J(CP) = 150.1 Hz, CP), 53.5 (d, 2J(CCP) = 4.0 Hz, CCP), 52.2 (d, 3J(CNCP) = 9.7 Hz, CH2Ph), 24.9, 20.9, 16.6 (d, 3J(CCOP) = 5.8 Hz, CCOP), 16.4 (d, 3J(CCOP) = 5.8 Hz, CCOP). 31P NMR (243 MHz, CDCl3): δ= 25.74. Anal. Calcd. for C24H35N2O5P: C, 62.32; H, 7.63; N, 6.06. Found: C, 62.09; H, 7.89; N, 5.99.
Diethyl (1R,2S)-3-acetoxy-1-benzylamino-2-[(R)-1phenylethylamino]propylphosphonate [(1R,2S,1′R)-9d]: From aziridinephosphonate (1R,2S,1′R)-5d (0.147 g, 0.365 mmol), phosphonate (1R,2S,1′R)-9d (0.051 g, 30%) was obtained as a yellowish oil. [ α ] D 20 = +35.9 (c 0.70, CHCl3). Anal. Calcd. for C24H35N2O5P: C, 62.32; H, 7.63; N, 6.06. Found: C, 62.28; H, 7.93; N, 6.03. NMR spectra of (1R,2S,1′R)-9d identical with its enantiomer (1S,2R,1′S)-9b.
Ethyl (1S,2R)-{1-(N-benzylacetamido)-3-hydroxy-2-[(S)-(1-phenylethyl)amino]propyl}phosphonate [(1S,2R,1’S)-10b]: From aziridinephosphonate (1S,2R,1′S)-5b (0.157 g, 0.390 mmol), phosphonate (1S,2R,1′S)-10b (0.017 g, 10%) was obtained as a white solid. Retention time: tR = 4.03 min. Mp = 104–106 °C. IR (film): ν = 3386, 3063, 2982, 1644, 1591, 1453, 1359, 1217, 1043, 948, 702. [ α ] D 20 = −56.6 (c 1.09, CHCl3). 1H NMR (600 MHz, CDCl3): δ = 7.48−7.37 (m, 7H), 7.34−7.32 (m, 1H), 7.18 (d, J = 7.2 Hz, 2H), 6.58 (brs, 1H, NH), 5.36 (d, J = 16.9 Hz, 1H, HaCHbPh), 5.05 (q, J = 7.1 Hz, 1H, HCCH3), 4.86 (d, J = 16.9 Hz, 1H, HaCHbPh), 4.54−4.46 (m, 3H, CH2CCP, HCP), 4.05−3.99 (m, 1H, HCHOP), 3.78−3.73 (m, 1H, HCHOP), 3.72−3.65 (m, 1H, HCCP), 2.06 (s, 3H, CH3CO), 1.92 (d, 3J(HCCH) = 7.2 Hz, 3H, HCCH3), 1.11 (t, 3J(HCCH) = 7.1 Hz, 3H, CH3CH2OP). 13C NMR (151 MHz, CDCl3): δ = 166.9 (d, 3J(CNCP) = 5.7 Hz, C=O), 138.6, 134.1, 129.5, 129.2, 128.7, 128.2, 126.4, 125.9, 67.5, 60.7 (d, 2J(COP) = 6.2 Hz, COP), 60.2 (d, 3J(CNCP) = 7.7 Hz), 60.0 (d, 1J(CP) = 139.0 Hz, CP), 55.8, 49.1, 18.6, 16.8 (d, 3J(CCOP) = 5.7 Hz, CCOP), 12.8. 31P NMR (243 MHz, CDCl3): δ= 6.93. Anal. Calcd. for C22H31N2O5P × 0.5 H2O: C, 59.59; H, 7.27; N, 6.32. Found: C, 59.47; H, 7.20; N, 6.15.
Ethyl (1R,2S)-{1-(N-benzylacetamido)-3-hydroxy-2-[(R)-(1-phenylethyl)amino]propyl}phosphonate [(1R,2S,1’R)-10d]: From aziridinephosphonate (1R,2S,1′R)-5d (0.147 g, 0.365 mmol), phosphonate (1R,2S,1′R)-10d (0.012 g, 7%) was obtained as a white solid. Mp = 101‒103 °C. [ α ] D 20 = +55.6 (c 0.88, CHCl3). Anal. Calcd. for C22H31N2O5P × 1.25 H2O: C, 57.83; H, 7.39; N, 6.13. Found: C, 57.58; H, 7.02; N, 5.85. NMR spectra of (1R,2S,1′R)-10d identical with its enantiomer (1S,2R,1′S)-10b.
(3S,4R)-3-(N-benzylacetamido)-4-[(S)-N-(1-phenylethyl)]amino-1,2-oxaphospholane [(3S,4R,1′S)-11b]: From aziridinephosphonate (1S,2R,1′S)-5b (0.157 g, 0.390 mmol), 1,2-oxaphospholane (3S,4R,1′S)-11b (0.006 g, 4%) was obtained as a thick colorless oil. Retention time: tR = 1.91 min. IR (film): ν = 3406, 3063, 2980, 1650, 1594, 1238, 1087, 703. [ α ] D 20 = ‒24.7 (c 0.75, MeOH). 1H NMR (600 MHz, D2O): δ = 7.49‒7.37 (m, 10H), 5.39 (q, 3J(HCCH) = 7.0 Hz, 1H, HCCH3), 5.14 (dddd, 3J(HCCP) = 21.0 Hz, 3J(HCCH) = 11.3 Hz, 3J(HCCH) = 4.6 Hz, 3J(HCCH) = 2.3 Hz, 1H, HCCP), 5.06 (d, 2J(HCH) = 15.4 Hz, 1H, HaCHbPh), 4.75 (d, 2J(HCH) = 15.4 Hz, 1H, HaCHbPh), 4.05 (d, 3J(HCCH) = 11.3 Hz, 1H, HCP), 3.60 (ddd, 2J(HCH) = 11.8 Hz, 3J(HCOP) = 7.0 Hz, 3J(HCCH) = 4.6 Hz, 1H, HaCHbCCP), 3.55 (ddd, 3J(HCOP) = 20.6 Hz, 2J(HCH) = 11.8 Hz, 3J(HCCH) = 2.3 Hz, 1H, HaCHbCCP), 2.47 (s, 3H, CH3CO), 1.70 (d, 3J(HCCH) = 7.0 Hz, 3H, HCCH3). 13C NMR (151 MHz, D2O): δ = 166.0 (d, 3J(CNCP) = 2.1 Hz, C=O), 138.1, 132.6, 129.4, 129.3, 129.1, 128.8, 128.6, 126.6, 64.0 (d, 3J(CCCP) = 10.4 Hz, CCCP), 63.2 (d, 2J(CCP) = 5.5 Hz, CCP), 55.4, 54.6 (d, 1J(CP) = 130.6 Hz, CP), 49.9, 16.6, 11.8. 31P NMR (243 MHz, D2O): δ = 29.81. Anal. Calcd. for C20H25N2O4P × 1.25 H2O: C, 58.46; H, 6.75; N, 6.82. Found: C, 58.23; H, 6.51; N, 6.63.
(3R,4S)-3-(N-benzylacetamido)-4-[(R)-N-(1-phenylethyl)]amino-1,2-oxaphospholane [(3R,4S,1′R)-11d]: From aziridinephosphonate (1R,2S,1′R)-5d (0.147 g, 0.365 mmol), 1,2-oxaphospholane (3R,4S,1′R)-11d (0.019 g, 13%) was obtained as a thick colorless solid. [ α ] D 20 = +24.9 (c 0.82, MeOH). Anal. Calcd. for C20H25N2O4P × 1.75 H2O: C, 57.21; H, 6.84; N, 6.67. Found: C, 56.96; H, 6.73; N, 6.71. NMR spectra of (3R,4S,1′R)-11d identical with its enantiomer (3S,4R,1′S)-11b.

3.6. Hydrogenolysis of Diethyl 3-Acetoxy-1-Benzylamino-2-[1-Phenylethylamino]propylphosphonates 9 (General Procedure)

A solution of diethyl 3-acetoxy-1-benzylamino-2-(1-phenylethylamino)propylphosphonate 9 (1.00 mmol) in ethanol (10 mL) containing Boc2O (2.2 mmol) was stirred in a pressure reactor (15 bar) over 20% Pd(OH)2/C (50 mg) at room temperature for 18 h. The suspension was filtered through a layer of Celite, then the solution was concentrated and chromatographed on a silica gel column (17 g of silica gel) with dichloromethane‒methanol (100:1, v/v, 500 mL and then 50:1, v/v, 250 mL) to give respective enantiomerically pure diethyl 3-acetoxy-1,2-di(N-Boc-amino)propylophosphonates 7.
Diethyl (1R,2R)-3-acetoxy-1,2-di(N-Boc-amino)propylophosphonate [(1R,2R)-7a]: From phosphonate (1R,2R,1′S)-9a (0.160 g, 0.346 mmol), phosphonate (1R,2R)-7a (0.120 g, 74%) was obtained as a thick colorless oil. Rf = 0.57 (dichloromethane‒methanol, 10:1, v/v). IR (film): ν = 3320, 2980, 2933, 1748, 1715, 1684, 1240, 1166, 1050, 1025 cm−1. [ α ] D 20 = +7.0 (c 1.23, CHCl3). 1H NMR (600 MHz, CDCl3): δ = 5.39 (brs, 1H, HNCHP), 5.24 (brs, 1H, HNCHCHP), 4.33−4.30 (m, 1H), 4.30−4.20 (m, 3H), 4.20−4.15(m, 4H, 2 × CH3CH2OP), 2.09 (s, 3H, CH3CO), 1.45 (s, 18H, 2 × (CH3)3C), 1.35 and 1.34 (2 × t, 3J(HCCH) = 7.1 Hz, 6H, 2 × CH3CH2OP). 13C NMR (151 MHz, CDCl3): δ = 170.6 (C=O), 155.7 (C=O), 155.6 (d, 3J(CNCP) = 6.5 Hz, C=O), 80.3, 79.9, 63.6 (brs), 62.9 (brs), 49.7, 48.1 (d, 1J(CP) = 155.8 Hz, CP), 28.3, 28.2, 20.8, 16.5 (d, 3J(CCOP) = 5.6 Hz, CCOP), 16.3 (d, 3J(CCOP) = 5.9 Hz, CCOP). 31P NMR (243 MHz, CDCl3): δ = 22.00. Anal. Calcd. for C19H37N2O9P × 0.5 H2O: C, 47.80; H, 8.02; N, 5.87. Found: C, 47.91; H, 7.78; N, 5.85.
Diethyl (1S,2S)-3-acetoxy-1,2-di(N-Boc-amino)propylophosphonate [(1S,2S)-7c]: From phosphonate (1S,2S,1′R)-9c (0.133 g, 0.288 mmol), propylphosphonate (1S,2S)-7c (0.101 g, 75%) was obtained as a thick colorless oil. [ α ] D 20 = −7.2 (c 1.21, CHCl3). Anal. Calcd. for C19H37N2O9P: C, 48.72; H, 7.96; N, 5.98. Found: C, 48.68; H, 8.20; N, 6.14. NMR spectra of (1S,2S)-7c identical with its enantiomer (1R,2R)-7a.
Diethyl (1S,2R)-3-acetoxy-1,2-di(N-Boc-amino)propylophosphonate [(1S,2R)-7b]: From phosphonate (1S,2R,1′S)-9b (0.040 g, 0.087 mmol), phosphonate (1S,2R)-7b (0.016 g, 40%) was obtained as a thick colorless oil. Rf = 0.52 (dichloromethane‒methanol, 10:1, v/v). IR (film): ν = 3319, 2958, 2925, 1743, 1712, 1239, 1165,1045, 1026 cm−1. [ α ] D 20 = +12.7 (c 0.71, CHCl3). 1H NMR (600 MHz, CDCl3): δ = 5.48 (d, 3J(HNCH) = 8.0 Hz, 1H, HN), 5.10 (d, 3J(HNCH) = 10.3 Hz, 1H, HN), 4.38 (ddd, J = 15.0 Hz, J = 10.1 Hz, J = 3.1 Hz, 1H), 4.28‒4.13 (m, 7H, HaCHb, HaCHb, CHCP, CHP, CH2OP), 2.10 (s, 3H, CH3CO), 1.48 (s, 9H, (CH3)C), 1.47 (s, 9H, (CH3)3C), 1.35 and 1.34 (2 × t, 3J(HCCH) = 7.0 Hz, 6H, 2 × CH3CH2OP). 13C NMR (151 MHz, CDCl3): δ = 170.6 (C=O), 155.5 (C=O), 155.0 (d, 3J(CNCP) = 5.4 Hz, C=O), 80.6, 80.0, 63.6, 63.5 (d, 2J(COP) = 7.1 Hz, COP), 62.6 (d, 2J(COP) = 7.4 Hz, COP), 50.9 (d, 2J(CCP) = 3.7 Hz), 47.3 (d, 1J(CP) = 155.1 Hz, CP), 28.3, 28.2, 20.8, 16.5 (d, 3J(CCOP) = 5.6 Hz, CCOP), 16.3 (d, 3J(CCOP) = 6.1 Hz, CCOP). 31P NMR (243 MHz, CDCl3): δ= 22.08. Anal. Calcd. for C19H37N2O9P × 0.25 H2O: C, 48.25; H, 7.99; N, 5.93. Found: C, 48.14; H, 8.27; N, 5.86.
Diethyl (1R,2S)-3-acetoxy-1,2-di(N-Boc-amino)propylophosphonate [(1R,2S)-7d]: From propylphosphonate (1R,2S,1′R)-9d (0.040 g, 0.087 mmol), propylphosphonate (1R,2S)-7d (0.010 g, 25%) was obtained as a colorless oil. [ α ] D 20 = −9.8 (c 0.61, CHCl3). Anal. Calcd. for C19H37N2O9P × 0.5 H2O: C, 47.80; H, 8.02; N, 5.87. Found: C, 47.77; H, 7.85; N, 5.87. NMR spectra of (1R,2S)-7d identical with its enantiomer (1S,2R)-7b.

4. Conclusions

An efficient synthetic strategy for four enantiomers of diethyl 1,2,3-tri(N-tert-butoxycarbonylamino)propylphosphonates 9 was developed. It relies on the opening of the aziridine ring in aziridinephosphonate (1R,2R,1′S)-5a, (1S,2R,1′S)-5b, (1S,2S,1′R)-5c and (1R,2S,1′R)-5d with trimethylsilyl azide followed by the reduction of the azido group together with the hydrogenolytic removal of the 1-phenylethyl and benzyl residues and simultaneous protection of the amino functions with a tert-butoxycarbonyl group.
Aziridinephosphonate (1R,2R,1′S)-5a and (1S,2S,1′R)-5c were smoothly converted into syn 3-acetoxy-1-benzylamino-2-[N-(1-phenylethyl)amino]propylphosphonates (1R,2R,1′S)-9a and (1S,2S,1′R)-9c via aziridine ring opening with acetic acid as a nucleophile. The synthesis of anti phosphonates (1S,2R,1′S)-9b and (1R,2S,1′R)-9d from (1S,2R,1′S)-5b and (1R,2S,1′R)-5d was less effective, as the formation of several by-products, including the respective monophosphonate esters 10b and 10d and 1,2-oxaphospholanes 11b and 11d, was noticed. The hydrogenolysis of 3-acetoxy-1-benzylamino-2-[N-(1-phenylethyl)amino]propylphosphonates (1R,2R,1′S)-9a and (1S,2S,1′R)-9c as well as (1S,2R,1′S)-9b and (1R,2S,1′R)-9d in the presence of Boc2O gave 3-acetoxy-1,2-di(N-tert-butoxycarbonylamino)propylphosphonates, (1R,2R)-7a, (1S,2S)-7c, (1S,2R)-7b and (1R,2S)-7d, respectively, in good yields.

Supplementary Materials

Supplementary File 1

Author Contributions

A.T. carried out the synthesis of the compounds, interpreted the results and characterized all the obtained compounds. I.E.G. and D.G.P. conceived the research project, discussed the experimental data and prepared the manuscript. All authors read, commented and approved the manuscript.

Funding

This work was funded by the Medical University of Lodz (internal fund 503/3-014-01/503-31-001).

Conflicts of Interest

The authors declare no conflict of interest.

References

  1. Bunnage, M.E.; Burke, A.J.; Davies, S.G.; Millican, N.L.; Nicholson, R.L.; Roberts, P.M.; Smith, A.D. Asymmetric synthesis of anti-(2S,3S)- and syn-(2R,3S)-diaminobutanoic acid. Org. Biomol. Chem. 2003, 1, 3708–3715. [Google Scholar] [CrossRef] [PubMed]
  2. Wang, M.; Gould, S.J. Biosynthesis of Capreomycin. 2. Incorporation of L-Serine, L-Alanine, and L-2,3-Diaminopropionic Acid. J. Org. Chem. 1993, 58, 5176–5180. [Google Scholar] [CrossRef]
  3. Rane, D.F.; Girijavallabhan, V.M.; Ganguly, A.K.; Pike, R.E.; Saksena, A.K.; McPhail, A.T. Total Synthesis and Absolute Stereochemistry of the Antifungal Dipeptide Sch 37137 and Its 2S,3S-Isomer. Tetrahedron Lett. 1993, 34, 3201–3204. [Google Scholar] [CrossRef]
  4. Nunn, P.B.; Codd, G.A. Metabolic solutions to the biosynthesis of some diaminomonocarboxylic acids in nature: Formation in cyanobacteria of the neurotoxins 3-N-methyl-2,3-diaminopropanoic acid (BMAA) and 2,4-diaminobutanoic acid (2,4-DAB). Phytochemistry 2017, 144, 253–270. [Google Scholar] [CrossRef] [PubMed]
  5. Cox, P.A.; Banack, S.A.; Murch, S.J.; Rasmussen, U.; Tien, G.; Bidigare, R.R.; Metcalf, J.S.; Morrison, L.F.; Codd, G.A.; Bergman, B. Diverse taxa of cyanobacteria produce β-N-methylamino-L-alanine, a neurotoxic amino acid. Proc. Natl. Acad. Sci. USA 2005, 102, 5074–5078. [Google Scholar] [CrossRef] [PubMed]
  6. Banack, S.A.; Johnson, H.E.; Cheng, R.; Cox, P.A. Production of the neurotoxin BMAA by a marine cyanobacterium. Mar. Drugs 2007, 5, 180–196. [Google Scholar] [CrossRef]
  7. Metcalf, J.S.; Banack, S.A.; Lindsay, J.; Morrison, L.F.; Cox, P.A.; Codd, G.A. Co-occurrence of β-N-methylamino-L-alanine, a neurotoxic amino acid with other cyanobacterial toxins in British waterbodies, 1990–2004. Environ. Microbiol. 2008, 10, 702–708. [Google Scholar] [CrossRef]
  8. Esterhuizen, M.; Downing, T.G. β-N-methylamino-L-alanine (BMAA) in novel South African cyanobacterial isolates. Ecotoxicol. Environm. Saf. 2008, 71, 309–313. [Google Scholar] [CrossRef]
  9. Downing, S.; Banack, S.A.; Metcalf, J.S.; Cox, P.A.; Downing, T.G. Nitrogen starvation of cyanobacteria results in the production of β-N-methylamino-L-alanine. Toxicon 2011, 58, 187–194. [Google Scholar] [CrossRef]
  10. De Munck, E.; Muñoz-Sáeza, E.; Antonio, M.T.; Pineda, J.; Herrera, A.; Begoña, G.M.; Arahuetesa, R.M. Effect of β-N-methylamino-L-alanine on oxidative stress of liver and kidney in rat. Enviromental Toxicol. Pharmacol. 2013, 35, 193–199. [Google Scholar] [CrossRef]
  11. Khan, J.K.; Kuo, Y.H.; Haque, A.; Lambein, F. Inhibitory and excitatory amino acids in cerebrospinal fluid of neurolathyrism patients, a highly prevalent motorneurone disease. Acta Neurol. Scand. 1995, 91, 506–510. [Google Scholar] [CrossRef]
  12. Woldeamanuel, Y.W.; Hassan, A.; Zenebe, G. Neurolathyrism: Two Ethiopian case reports and review of the literature. J. Neurol. 2012, 259, 1263–1268. [Google Scholar] [CrossRef] [PubMed]
  13. Viso, A.; Fernandez de la Pradilla, R.; Garcia, A.; Flores, A. α,β-Diamino acids: Biological significance and synthetic approaches. Chem. Rev. 2005, 105, 3167–3196. [Google Scholar] [CrossRef] [PubMed]
  14. Eaton, C.N.; Denny, G.H., Jr.; Rayder, M.A.; Ly, M.G.; Babson, R.D. Improved synthesis of DL-alanosine. J. Med. Chem. 1973, 16, 289–290. [Google Scholar] [CrossRef] [PubMed]
  15. Strazzolini, P.; Malabarba, A.; Ferrari, P.; Grandi, M.; Cavalleri, B. Synthesis and in vitro biological evaluation of N-[(5-amino-1-beta-D-ribofuranosyl-1H-imidazol-4-yl)carbonyl]-3- (hydroxynitrosamino)-L-alanine (L-alanosine AICO ribonucleoside). J. Med. Chem. 1984, 27, 1295–1299. [Google Scholar] [CrossRef] [PubMed]
  16. Yu, J. Alanosine (UCSD). Curr. Opin. Investig. Drugs 2001, 2, 1623–1630. [Google Scholar] [PubMed]
  17. Bastiaans, H.M.M.; van der Baan, J.L.; Ottenheijm, H.C.J. Flexible and Convergent Total Synthesis of Cyclotheonamide B. J. Org. Chem. 1997, 62, 3880–3889. [Google Scholar] [CrossRef]
  18. Maryanoff, B.E.; Greco, M.N.; Zhang, H.-C.; Andrade-Gordon, P.; Kauffman, J.A.; Nicolaou, K.C.; Liu, A.; Brungs, P.H. Macrocyclic peptide inhibitors of serine proteases. Convergent total synthesis of cyclotheonamides A and B via a late-stage primary amine intermediate. Study of thrombin inhibition under diverse conditions. J. Am. Chem. Soc. 1995, 117, 1225–1239. [Google Scholar] [CrossRef]
  19. Maryanoff, B.E.; Zhang, H.-C.; Greco, M.N.; Glover, K.A.; Kauffman, J.A.; Andrade-Gordon, P. Cyclotheonamide derivatives: Synthesis and thrombin inhibition. Exploration of specific structure-function issues. Bioorg. Med. Chem. 1995, 3, 1025–1038. [Google Scholar] [CrossRef]
  20. DeMong, D.E.; Williams, R.M. Asymmetric Synthesis of (2S,3R)-Capreomycidine and the Total Synthesis of Capreomycin IB. J. Am. Chem. Soc. 2003, 125, 8561–8565. [Google Scholar] [CrossRef]
  21. Wagner, I.; Musso, H. New naturally occurring amino acids. Angew. Chem. Int. Ed. Engl. 1983, 22, 816–828. [Google Scholar] [CrossRef]
  22. Elliott, T.S.; Slowey, A.; Ye, Y.; Conway, S.J. The use of phosphate bioisosteres in medicinal chemistry and chemical biology. Med. Chem. Commun. 2012, 3, 735–751. [Google Scholar] [CrossRef]
  23. Ballatore, C.; Huryn, D.M.; Smith, A.B., III. Carboxylic acid (bio)isosteres in drug design. ChemMedChem 2013, 8, 385–395. [Google Scholar] [CrossRef] [PubMed]
  24. Głowacka, I.E.; Piotrowska, D.G.; Wróblewski, A.E.; Trocha, A. Synthesis of four enantiomers of diethyl 1,2-di(N-Boc-amino)propylphosphonates. Tetrahedron Asymmetry 2017, 28, 1602–1607. [Google Scholar] [CrossRef]
  25. Wróblewski, A.E.; Drozd, J. Synthesis of four enantiomers of 2-acetamido-1-hydroxypropylphosphonates. Tetrahedron Asymmetry 2007, 18, 1134–1141. [Google Scholar] [CrossRef]
  26. Wróblewski, A.E.; Drozd, J. Synthesis of four enantiomers of 2,3-di(N-Boc-amino)-1-hydroxypropylphosphonates. Tetrahedron Asymmetry 2009, 20, 2240–2246. [Google Scholar] [CrossRef]
  27. Wróblewski, A.E.; Drozd, J. Synthesis of four stereoisomers of protected 1,2-epiimino-3-hydroxypropylphosphonates. Tetrahedron Asymmetry 2011, 22, 200–206. [Google Scholar] [CrossRef]
Sample Availability: Samples are not avaliable.
Figure 1. Examples of naturally occurring polyamino acids.
Figure 1. Examples of naturally occurring polyamino acids.
Molecules 24 03857 g001
Scheme 1. Retrosynthesis of diethyl 1,2,3-triaminopropylphosphonates and 3-acetoxy-1,2-diaminopropylphosphonates.
Scheme 1. Retrosynthesis of diethyl 1,2,3-triaminopropylphosphonates and 3-acetoxy-1,2-diaminopropylphosphonates.
Molecules 24 03857 sch001
Scheme 2. Reactions and conditions: a. trimethylsilyl azide, CH2Cl2, rt, 15 d, 81%; b. TMSN3, rt, 3 d, 76%; c. H2, Pd/C, di-tert-butyl dicarbonate, EtOH, 3 d, 86%.
Scheme 2. Reactions and conditions: a. trimethylsilyl azide, CH2Cl2, rt, 15 d, 81%; b. TMSN3, rt, 3 d, 76%; c. H2, Pd/C, di-tert-butyl dicarbonate, EtOH, 3 d, 86%.
Molecules 24 03857 sch002
Scheme 3. Reactions and conditions: a. TMSN3, CH2Cl2, rt, 3 d, 71%; b. TMSN3, rt, 3 d, 72%; c. H2, Pd/C, Boc2O, EtOH, 3 d, 67%.
Scheme 3. Reactions and conditions: a. TMSN3, CH2Cl2, rt, 3 d, 71%; b. TMSN3, rt, 3 d, 72%; c. H2, Pd/C, Boc2O, EtOH, 3 d, 67%.
Molecules 24 03857 sch003
Scheme 4. Reactions and conditions: a. TMSN3, rt, 3 d, 74% for 8c and 77% for 8d; b. H2, Pd/C, Boc2O, EtOH, 3 d, 91% for 6c and 70% for 6d.
Scheme 4. Reactions and conditions: a. TMSN3, rt, 3 d, 74% for 8c and 77% for 8d; b. H2, Pd/C, Boc2O, EtOH, 3 d, 91% for 6c and 70% for 6d.
Molecules 24 03857 sch004
Scheme 5. Reactions and conditions: a. glacial AcOH, rt, 24 h, 59%; b. glacial AcOH, microwave, 35‒40 °C, 320 W, 1.5 h, 61%; c. H2, Pd(OH)2/C, Boc2O, EtOH, 18 h, 15 bar, 74%.
Scheme 5. Reactions and conditions: a. glacial AcOH, rt, 24 h, 59%; b. glacial AcOH, microwave, 35‒40 °C, 320 W, 1.5 h, 61%; c. H2, Pd(OH)2/C, Boc2O, EtOH, 18 h, 15 bar, 74%.
Molecules 24 03857 sch005
Scheme 6. Reactions and conditions: a. glacial AcOH, rt, 24 h, 53%; b. glacial AcOH, microwave oven, 35‒40 °C, 320 W, 1.5 h, 54%; c. H2, Pd(OH)2/C, Boc2O, EtOH, 18 h, 15 bar, 75%.
Scheme 6. Reactions and conditions: a. glacial AcOH, rt, 24 h, 53%; b. glacial AcOH, microwave oven, 35‒40 °C, 320 W, 1.5 h, 54%; c. H2, Pd(OH)2/C, Boc2O, EtOH, 18 h, 15 bar, 75%.
Molecules 24 03857 sch006
Scheme 7. Reactions and conditions: a. AcOH, CH2Cl2, reflux, 9 h, 24% for 9b, 22% for 10b, 4% for 11b.
Scheme 7. Reactions and conditions: a. AcOH, CH2Cl2, reflux, 9 h, 24% for 9b, 22% for 10b, 4% for 11b.
Molecules 24 03857 sch007
Scheme 8. Reactions and conditions: a. AcOH, CH2Cl2, reflux, 9 h, 30% for 9d, 7% for 10d, 12% for 11d.
Scheme 8. Reactions and conditions: a. AcOH, CH2Cl2, reflux, 9 h, 30% for 9d, 7% for 10d, 12% for 11d.
Molecules 24 03857 sch008
Scheme 9. Reactions and conditions: a. H2, Pd(OH)2/C, Boc2O, EtOH, 18 h, 15 bar, 40% for 7b, 25% for 7d.
Scheme 9. Reactions and conditions: a. H2, Pd(OH)2/C, Boc2O, EtOH, 18 h, 15 bar, 40% for 7b, 25% for 7d.
Molecules 24 03857 sch009
Scheme 10. Plausible mechanism of the aziridine ring opening with acetic acid in diastereoisomeric phosphonates (1R,2R,1′S)-5a and (1S,2R,1′S)-5b.
Scheme 10. Plausible mechanism of the aziridine ring opening with acetic acid in diastereoisomeric phosphonates (1R,2R,1′S)-5a and (1S,2R,1′S)-5b.
Molecules 24 03857 sch010
Scheme 11. Plausible mechanism of O→N acetyl transfer in (1S,2R,1′S)-9b and formation of (1S,2R,1′S)-10b and (3S,4R,1′S)-11b.
Scheme 11. Plausible mechanism of O→N acetyl transfer in (1S,2R,1′S)-9b and formation of (1S,2R,1′S)-10b and (3S,4R,1′S)-11b.
Molecules 24 03857 sch011

Share and Cite

MDPI and ACS Style

Trocha, A.; Piotrowska, D.G.; Głowacka, I.E. Synthesis of Enantiomerically Pure N-Boc-Protected 1,2,3-Triaminopropylphosphonates and 1,2-Diamino-3-Hydroxypropylphosphonates. Molecules 2019, 24, 3857. https://doi.org/10.3390/molecules24213857

AMA Style

Trocha A, Piotrowska DG, Głowacka IE. Synthesis of Enantiomerically Pure N-Boc-Protected 1,2,3-Triaminopropylphosphonates and 1,2-Diamino-3-Hydroxypropylphosphonates. Molecules. 2019; 24(21):3857. https://doi.org/10.3390/molecules24213857

Chicago/Turabian Style

Trocha, Aleksandra, Dorota G. Piotrowska, and Iwona E. Głowacka. 2019. "Synthesis of Enantiomerically Pure N-Boc-Protected 1,2,3-Triaminopropylphosphonates and 1,2-Diamino-3-Hydroxypropylphosphonates" Molecules 24, no. 21: 3857. https://doi.org/10.3390/molecules24213857

APA Style

Trocha, A., Piotrowska, D. G., & Głowacka, I. E. (2019). Synthesis of Enantiomerically Pure N-Boc-Protected 1,2,3-Triaminopropylphosphonates and 1,2-Diamino-3-Hydroxypropylphosphonates. Molecules, 24(21), 3857. https://doi.org/10.3390/molecules24213857

Article Metrics

Back to TopTop